A Digital Twin Model for UAV Control to Lift Irregular-Shaped Payloads Using Robust Model Predictive Control
Abstract
1. Introduction
2. Related Work
2.1. Digital Twin Technology in Autonomous Systems
2.2. Model Predictive Control for UAV Stabilization
2.3. Control Strategies for Irregularly Shaped Payloads
2.4. Summary and Research Gap
- Real-Time DT of Irregular Payload Kinetics: In this paper, the authors present a DT framework for a UAV carrying an irregularly shaped hanging payload, which extends the current DT models beyond operation only in the case of a static environment. The DT dynamically recreates time-varying payload properties, including mass reallocation, CoG variations, and aerodynamic behavior, which gives a digital platform for predictive control and mitigation of disturbances.
- DT-MPC Integration: The present work combines the DT and MPC, making possible the adaptive and precise control of UAVs even in the case of complicated payloads. This hybrid command utilizes real-time data from a DT to support MPC in managing uncertainties, ensuring stability and efficiency when other classic control methods fail.
- Adaptive Predictive Disturbance Mitigation: We propose a new adaptive predictive rejection mechanism with the use of DT measurements of payload-induced disturbance. This gives MPC the opportunity to make early corrections to control inputs, minimize oscillations, maximize energy consumption, and enhance stability during flight with highly variable payload geometries throughout the mission.
- Validation Across Diverse Payloads: The study validates the DT-MPC framework through extensive simulations across a wide range of payload configurations, addressing real-world irregularities. The results indicate that DT-MPC yields better performance in terms of stability, precision, and energy efficiency, establishing a robust foundation for autonomous UAV operations with irregular hanging payloads.
3. System Architecture
3.1. UAV and Payload Dynamics Model
3.1.1. UAV Flight Dynamics
3.1.2. Payload Dynamics
3.2. Digital Twin Framework
3.2.1. Real-Time Data Acquisition and Synchronization
3.2.2. Predictive Modeling and Simulation Engine
3.2.3. Feedback Loop for Control Adjustments
3.3. Robust Model Predictive Control Layer
3.3.1. MPC Optimization Engine
3.3.2. Robustness Enhancements for Uncertainty Management
3.3.3. Real-Time Control Adaptation via DT Feedback
3.4. System Integration and Workflow
4. Problem Formulation: Model Design and Analysis
4.1. Coupled UAV–Payload Dynamics
4.2. Digital Twin Predictive Model
4.3. Robust Model Predictive Control Formulation
4.4. Convergence and Stability Analysis
5. Results
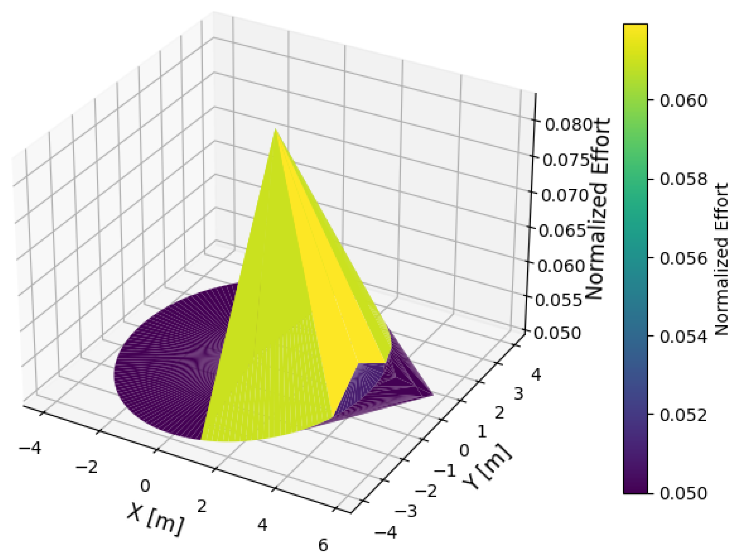
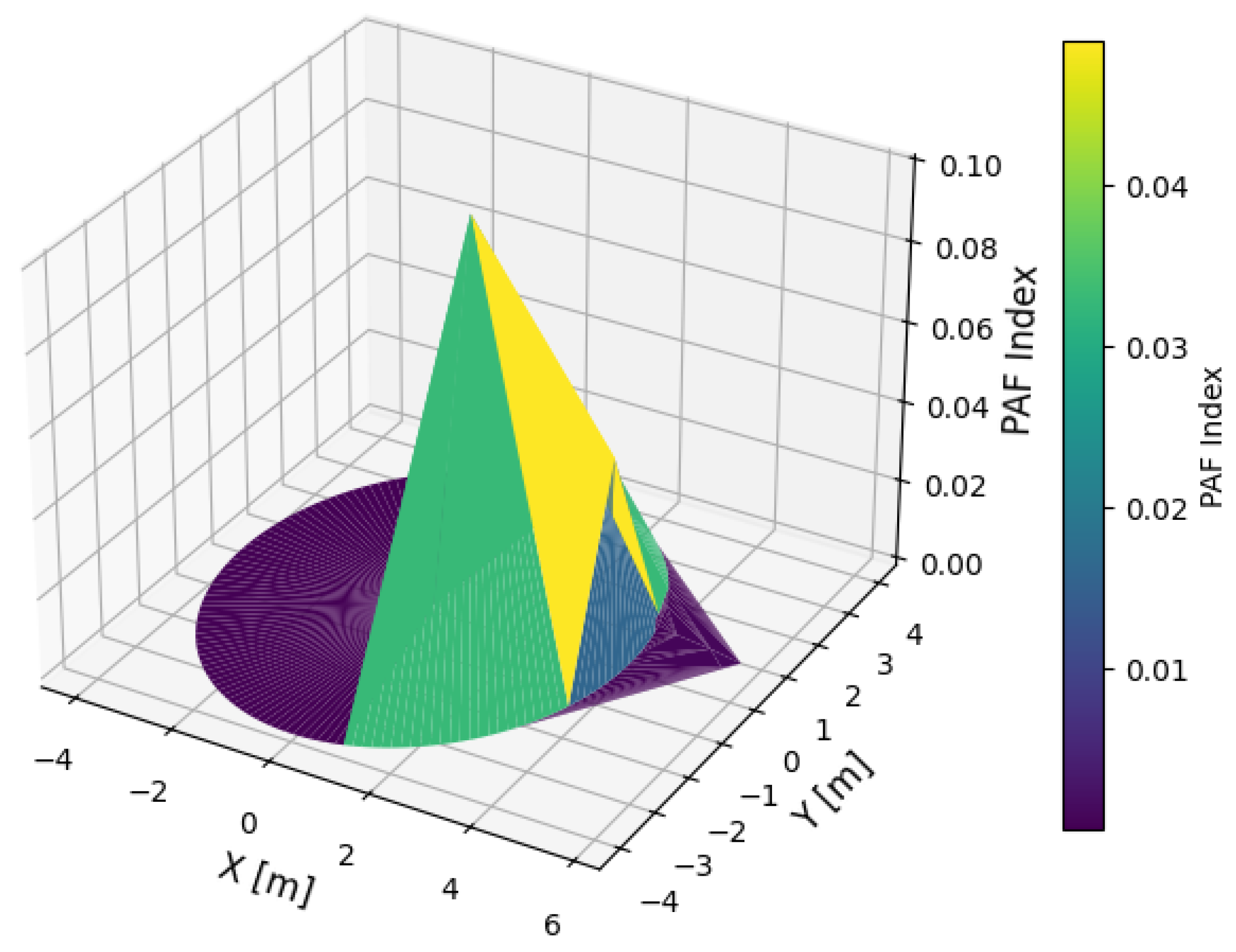
5.1. DT-MPC Performance Evaluation
5.2. DT-MPC Performance Evaluation with Disturbance
5.3. Comparative Analysis of DT-MPC and SMC Under Disturbance
6. Conclusions
Author Contributions
Funding
Informed Consent Statement
Data Availability Statement
Conflicts of Interest
Abbreviations and Nomenclature
| Abbreviation | Definition |
| DT | Digital Twin |
| MPC | Model Predictive Control |
| UAV | Unmanned Aerial Vehicle |
| CoG | Center of Gravity |
| CoM | Center of Mass |
| EKF | Extended Kalman Filter |
| SMC | Sliding-Mode Controller |
| QP | Quadratic Programming |
| DoF | Degrees of Freedom |
| ARIMA | AutoRegressive Integrated Moving Average |
| IMU | Inertial Measurement Unit |
| GPS | Global Positioning System |
| FOV | Field of View |
| OTA | Over-the-Air |
| MTBF | Mean Time Between Failures |
| SIL | Safety Integrity Level |
| Nomenclature | |
| Symbol | Definition |
| Position vector in inertial frame () | |
| Velocity vector in body-fixed frame () | |
| Angular velocity in body-fixed frame () | |
| m | Mass of UAV (kg) |
| I | Inertia tensor of UAV () |
| R | Rotation matrix from body frame to inertial frame () |
| Gravity vector, , where | |
| Collective thrust vector, (, N) | |
| Aerodynamic drag force on UAV | |
| Payload force acting on UAV | |
| Attitude torques from differential rotor speeds, (Nm) | |
| Payload torque acting on UAV | |
| State vector, () | |
| Euler angle (rad) | |
| Control input vector, () | |
| A | System matrix, |
| B | Input matrix, |
| State deviation, | |
| Perturbation input | |
| Time-varying payload mass (kg) | |
| Relative position vector from UAV CoM to payload CoM () | |
| Payload inertia tensor () | |
| Payload-relative velocity, | |
| Payload-specific aerodynamic drag force | |
| Payload angular rate, | |
| Payload Euler angle (rad) | |
| Total mass, (kg) | |
| Coriolis/centripetal matrix (skew-symmetric) | |
| Rotational cross-terms matrix | |
| Parametric uncertainty in inertia tensor | |
| Digital twin state estimate () | |
| Sensor measurement vector | |
| H | Measurement matrix |
| Measurement noise, | |
| Kalman filter gain at step k | |
| Predicted covariance matrix | |
| Q | Process noise covariance matrix |
| Disturbance distribution matrix | |
| Disturbance covariance matrix | |
| Disturbance forecast via ARIMA model | |
| ARIMA noise, | |
| Adaptive sampling time step (s) | |
| MPC stage cost function | |
| Reference state trajectory | |
| MPC weighting matrices for state error, control effort, and terminal cost | |
| Disturbance set, | |
| Error set for tube MPC | |
| Robust invariant terminal set | |
| Augmented state vector, () | |
| Disturbance vector, | |
| Nonlinear dynamics function | |
| Linearized system, input, and disturbance matrices | |
| Filter gain for DT error dynamics | |
| Polytope of disturbances | |
| Terminal cost function, |
Appendix A
| Parameter | Value | Description |
|---|---|---|
| Simulation Time | 10 s | Total time duration for simulation |
| Time Step | 0.01 s | Discretization interval for simulation |
| Mass of UAV (m) | 1.5 kg | Mass of UAV, including structural weight |
| Payload Mass | 0.5 kg | Weight of payload carried by UAV |
| Max Thrust | 15 N | Maximum thrust force UAV motors can exert |
| Max Control Torque | 0.5 Nm | Maximum torque applied for attitude control |
| Air Density () | 1.225 kg/m3 | Standard air density at sea level used for aerodynamic calculations |
| Drag Coefficient () | 0.05 | Aerodynamic drag coefficient of UAV |
| Gravity (g) | 9.81 m/s2 | Acceleration due to gravity |
| Prediction Horizon (N) | 10 | Horizon length for MPC predictions |
| Control Horizon | 5 | Control horizon for MPC, determining number of steps over which control inputs are optimized |
| Sampling Rate | 100 Hz | Frequency at which digital twin updates predictions and receives feedback |
| MPC Weight on Position | 1.0 | Weighting factor for position error in MPC cost function |
| MPC Weight on Velocity | 0.5 | Weighting factor for velocity adjustments in MPC cost function |
| MPC Weight on Control Effort | 0.1 | Weighting factor penalizing excessive control efforts in MPC optimization |
| Actuator Response Time | 0.05 s | Delay in actuator response to control signals |
| Stability Zone Threshold | 0.1 m | Distance threshold for acceptable stability deviations in CoM and CoG alignment |
| Accelerometer Noise | 0.001 g/ | Accelerometer noise density |
| Magnetometer Accuracy | ±2° | Heading accuracy from magnetometer |
| Barometer Resolution | 0.1 hPa | Pressure sensor resolution |
| Rotor Speed Limits | 0–3000 RPM | Maximum and minimum rotor speeds for thrust generation |
| Rotor Inertia () | 0.0001 kg·m2 | Moment of inertia for each rotor |
| Arm Length (L) | 0.25 m | Distance from center to each motor |
| Number of Rotors | 4 | Quadcopter configuration |
| Propeller Diameter | 0.254 m | Diameter of each propeller |
| Propeller Pitch | 0.114 m | Pitch of propeller blades |
| Thrust Coefficient () | Thrust coefficient for propeller | |
| Torque Coefficient () | Torque coefficient for propeller | |
| Roll Moment Arm | 0.25 m | Distance affecting roll torque generation |
| Pitch Moment Arm | 0.25 m | Distance affecting pitch torque generation |
| Yaw Moment Arm | 0.12 m | Distance affecting yaw torque generation |
| Payload Attachment Stiffness () | 1000 N/m | Spring constant for payload attachment modeling |
| Payload Damping Coefficient () | 50 Ns/m | Damping factor for payload oscillations |
| Payload Shape Factor | 0.5–2.0 | Geometric factor for irregular payloads |
| Payload Density Variation | ±20% | Variation in payload material density |
| Payload Surface Roughness | 0.1–1.0 mm | Surface texture affecting aerodynamics |
| Payload Attachment Points | 4 | Number of attachment points to UAV |
| Attachment Point Stiffness | 800 N/m | Individual attachment spring constant |
| Cable Length (If Applicable) | 0.3 m | Length of suspension cables |
| Cable Stiffness | 2000 N/m | Elastic modulus of suspension cables |
| Payload Rotation DOF | 2 | Degrees of freedom for payload rotation |
| Payload Translation DOF | 3 | Degrees of freedom for payload translation |
| Wind Speed () | 0–10 m/s | Variable wind speed in simulation |
| Wind Direction | Variable | Variable wind direction (0°-360°) |
| Turbulence Intensity | 0.1–0.3 | Normalized turbulence intensity factor |
| Ground Effect Height | 0.5 m | Height threshold for ground effect modeling |
| Ground Effect Gain | 0.3 | Gain reduction due to ground effect |
| Turbulence Filter Bandwidth | 10 Hz | Cutoff frequency for turbulence filtering |
| Wind Compensation Gain | 0.7 | Gain for wind disturbance rejection |
| Thermal Current Detection | ±0.5 m/s | Vertical air current detection threshold |
| Solar Radiation Model | Variable | Environmental heat input model |
| Humidity Effects | 0-100% | Relative humidity impact on performance |
| Battery Capacity | 2200 mAh | Total energy available for UAV’s flight operations |
| Battery Voltage | 22.2 V | Nominal voltage for LiPo battery pack |
| Battery Discharge Rate (C) | 30C | Maximum continuous discharge rate |
| Motor Efficiency | 85% | Electrical to mechanical power conversion efficiency |
| Emergency Landing Threshold | 10% | Battery threshold for emergency procedures |
| Maximum Flight Duration | 15 min | Maximum continuous flight time |
| Sensor Update Rate | 200 Hz | IMU sensor data frequency |
| GPS Update Rate | 10 Hz | Global positioning system update frequency |
| Vision Sensor FOV | 120° | Field of view for onboard camera |
| Vision Sensor Resolution | 640 × 480 | Pixel resolution of vision system |
| Vision Processing Latency | 0.02 s | Delay in computer vision processing |
| Temperature Compensation | −20 °C to 60 °C | Operating temperature range for sensors |
| Obstacle Detection Range | 10 m | Forward-looking sensor range |
| Communication Bandwidth | 1 Mbps | Data link bandwidth for DT synchronization |
| Communication Latency | 5 ms | Average communication delay |
| DT Synchronization Rate | 100 Hz | Frequency of digital twin state synchronization |
| Control Loop Frequency | 100 Hz | Main control algorithm execution rate |
| Computation Platform | NVIDIA Jetson | Embedded computing platform for control |
| Processor Clock Speed | 2.2 GHz | CPU clock frequency |
| GPU CUDA Cores | 256 | Parallel processing cores for optimization |
| Memory Capacity | 4 GB LPDDR4 | RAM available for real-time computation |
| Storage Capacity | 32 GB eMMC | Non-volatile storage for logging |
| Operating System | Ubuntu 18.04 | Linux distribution for real-time operations |
| State Estimation Filter | EKF | Extended Kalman filter for state estimation |
| Kalman Gain Adaptation | Adaptive | Online adaptation of filter gains |
| QP Solver | OSQP | Quadratic programming solver used |
| QP Solver Tolerance | Convergence tolerance for optimization | |
| Disturbance Model | ARIMA (2,1,2) | Autoregressive model for disturbance prediction |
| Control Gain for Position | 0.8 | Proportional gain for position adjustments |
| Control Gain for Attitude | 1.2 | Proportional gain for attitude stabilization |
| Rate Limits | ±50°/s | Maximum angular rates for attitude |
| Acceleration Limits | ±5 m/s2 | Linear acceleration constraints |
| Jerk Limits | ±10 m/s3 | Smoothness constraints on acceleration |
| Collision Avoidance Margin | 2 m | Safety margin for obstacle avoidance |
| Fail-Safe Altitude | 5 m | Minimum altitude for safe operations |
| Geofence Radius | 500 m | Operational area boundary |
| Actuator Saturation Limits | ±100% | Percentage limits on actuator commands |
| Waypoint Tolerance | 0.5 m | Position accuracy for waypoint following |
| Coupled Mode Frequencies | 1–5 Hz | Natural frequencies of coupled modes |
| Damping Ratio | 0.1–0.3 | Damping ratio for coupled oscillations |
| Aerodynamic Damping | 0.05–0.2 | Aerodynamic contribution to damping |
| Control Allocation Matrix | 4 × 4 | Matrix mapping inputs to actuators |
| Trajectory Smoothing Factor | 0.8 | Factor for trajectory interpolation |
| Return-to-Home Speed | 2 m/s | Speed for automated return procedures |
| Obstacle Avoidance Speed | 1 m/s | Speed during obstacle avoidance maneuvers |
| Operating Temperature Range | 0–40 °C | Environmental temperature limits |
| Dust/Debris Resistance | IP54 | Ingress protection rating |
| Vibration Tolerance | 5 g RMS | Vibration resistance specification |
| Shock Resistance | 50 g | Impact resistance specification |
| MTBF | 10,000 h | Mean time between failures |
| Safety Integrity Level | SIL 2 | Functional safety classification |
| Software Update Mechanism | OTA | Over-the-air update capability |
| Diagnostic Logging | 1 MB/flight | Flight data recording capacity |
| Health Monitoring | Real-time | Component health monitoring system |
| Cybersecurity Protocols | AES-256 | Data encryption standards |
| EMI/EMC Compliance | FCC Part 15 | Electromagnetic compatibility standards |
References
- Li, Y.; Liu, M.; Jiang, D. Application of unmanned aerial vehicles in logistics: A literature review. Sustainability 2022, 14, 14473. [Google Scholar] [CrossRef]
- Saponi, M.; Borboni, A.; Adamini, R.; Faglia, R.; Amici, C. Embedded payload solutions in UAVs for medium and small package delivery. Machines 2022, 10, 737. [Google Scholar] [CrossRef]
- Mishra, H.; Mishra, D.; Tiwari, A.K.; Nishad, D.C. Cost–Benefit Analysis of Sensing and Data Collection with Drones for IoT Applications. In Machine Learning for Drone-Enabled IoT Networks: Opportunities, Developments, and Trends; Springer Nature: Cham, Switzerland, 2025; pp. 141–168. [Google Scholar]
- Pagare, P.N. Review of studies on the effects of various wind load parameters on tall buildings with irregular and diversified geometries. J. Harbin Eng. Univ. 2023, 44, 966–982. [Google Scholar]
- Wanner, D.; Hashim, H.A.; Srivastava, S.; Steinhauer, A. UAV avionics safety, certification, accidents, redundancy, integrity, and reliability: A comprehensive review and future trends. Drone Syst. Appl. 2024, 12, 1–23. [Google Scholar] [CrossRef]
- Takahashi, T.T.; Griffin, J.A.; Grandhi, R.V. High-Speed Aircraft Stability and Control Metrics. Aerospace 2024, 12, 12. [Google Scholar] [CrossRef]
- Imran; Li, J. Drone Airflow Dynamics and Crop Interaction. In UAV Aerodynamics and Crop Interaction: Revolutionizing Modern Agriculture with Drone; Springer Nature: Singapore, 2025; pp. 91–130. [Google Scholar]
- Mohsan, S.A.H.; Othman, N.Q.H.; Li, Y.; Alsharif, M.H.; Khan, M.A. Unmanned aerial vehicles (UAVs): Practical aspects, applications, open challenges, security issues, and future trends. Intell. Serv. Robot. 2023, 16, 109–137. [Google Scholar] [CrossRef] [PubMed]
- Massaoudi, M.S.; Abu-Rub, H.; Ghrayeb, A. Navigating the landscape of deep reinforcement learning for power system stability control: A review. IEEE Access 2023, 11, 134298–134317. [Google Scholar] [CrossRef]
- Rachakonda, A. Anti-Swing Control of Quadrotors During Human Interaction: An Adaptive Approach. Ph.D. Thesis, International Institute of Information Technology Hyderabad, Hyderabad, India, 2024. [Google Scholar]
- Zaynab, S.; Kayode, S. Exploring the Role of IoT in Autonomous Logistics and Drone Delivery Systems. SSRN 2025, 5157991. Available online: https://ssrn.com/abstract=5157991 (accessed on 28 April 2025).
- Farid, U.; Khan, B.; Mehmood, C.A.; Ali, M.; Shi, Y. Coordinated Heterogeneous UAVs for Trajectory Tracking and Irregular Payload Transportation Using Sliding Mode Control. Drones 2025, 9, 314. [Google Scholar] [CrossRef]
- Romeo, S.A.S.; Oz, F.; Kassem, A.K.; San, O.; Kara, K. Physics Informed Data Fusion Model for Uncertainty Quantification in Atmospheric Entry Vehicle Dynamic Stability. In Proceedings of the AIAA Aviation Forum and ASCEND 2024, Las Vegas, NV, USA, 29 July–2 August 2024; p. 4446. [Google Scholar]
- Ahmad, M.; Zaheer, M.Z. Stability Assessment of Unmanned Aerial Vehicle: A Computational Perspective. Int. J. Aeronaut. Space Sci. 2025, 1–28. [Google Scholar] [CrossRef]
- Okasha, M.; Kralev, J.; Islam, M. Design and experimental comparison of pid, lqr and mpc stabilizing controllers for parrot mambo mini-drone. Aerospace 2022, 9, 298. [Google Scholar] [CrossRef]
- Miloš, M.; Mirosavljević, P. Analysis of the Performance and Kinematics of the Movement of UAV. FME Trans. 2023, 51, 627–636. [Google Scholar] [CrossRef]
- Hinss, M.F. Human-Drone Interaction: Taking into Account the Estimation of Operator Fatigue in the Design of Adaptive Interactions for the Control of Long-Endurance UAVs. Ph.D. Thesis, Institut Supérieur de l’Aéronautique et de l’Espace, Université de Toulouse, Toulouse, France, 2024. [Google Scholar]
- Babu, C.S.; Pal, A. Enhancing Security for Unmanned Aircraft Systems in IoT Environments: Defense Mechanisms and Mitigation Strategies. In Unmanned Aircraft Systems; John Wiley & Sons, Inc.: Hoboken, NJ, USA, 2024; pp. 429–476. [Google Scholar]
- Abro, G.E.M.; Abdallah, A.M. Digital twins and control theory: A critical review on revolutionizing quadrotor UAVs. IEEE Access 2024, 12, 43291–43307. [Google Scholar] [CrossRef]
- Meng, W.; Zhang, X.; Zhou, L.; Guo, H.; Hu, X. Advances in UAV Path Planning: A Comprehensive Review of Methods, Challenges, and Future Directions. Drones 2025, 9, 376. [Google Scholar] [CrossRef]
- McClellan, A.; Lorenzetti, J.; Pavone, M.; Farhat, C. A physics-based digital twin for model predictive control of autonomous unmanned aerial vehicle landing. Philos. Trans. R. Soc. A 2022, 380, 20210204. [Google Scholar] [CrossRef] [PubMed]
- Saccani, D.; Cecchin, L.; Fagiano, L. Multitrajectory model predictive control for safe uav navigation in an unknown environment. IEEE Trans. Control Syst. Technol. 2022, 31, 1982–1997. [Google Scholar] [CrossRef]
- Phadke, A.; Medrano, F.A. Towards resilient UAV swarms—A breakdown of resiliency requirements in UAV swarms. Drones 2022, 6, 340. [Google Scholar] [CrossRef]
- Modi, H.; Su, H.; Liang, X.; Zheng, M. MorphoCopter: Design, Modeling, and Control of a New Transformable Quad-Bi Copter. arXiv 2025, arXiv:2506.07204. [Google Scholar]
- Ajakwe, S.O.; Kim, D. Facets of security and safety problems and paradigms for smart aerial mobility and intelligent logistics. IET Intell. Transp. Syst. 2024, 18, 2827–2855. [Google Scholar] [CrossRef]
- Qian, C.; Liu, X.; Ripley, C.; Qian, M.; Liang, F.; Yu, W. Digital twin—Cyber replica of physical things: Architecture, applications and future research directions. Future Internet 2022, 14, 64. [Google Scholar] [CrossRef]
- Nguyen, T.N.; Ponciroli, R.; Bruck, P.; Esselman, T.C.; Rigatti, J.A.; Vilim, R.B. A digital twin approach to system-level fault detection and diagnosis for improved equipment health monitoring. Ann. Nucl. Energy 2022, 170, 109002. [Google Scholar] [CrossRef]
- Walton, R.B.; Ciarallo, F.W.; Champagne, L.E. A unified digital twin approach incorporating virtual, physical, and prescriptive analytical components to support adaptive real-time decision-making. Comput. Ind. Eng. 2024, 193, 110241. [Google Scholar] [CrossRef]
- Emami, Y.; Li, K.; Almeida, L.; Zou, S.; Ni, W. On the use of immersive digital technologies for designing and operating UAVs. arXiv 2024, arXiv:2407.16288. [Google Scholar] [CrossRef]
- Souanef, T.; Al-Rubaye, S.; Tsourdos, A.; Ayo, S.; Panagiotakopoulos, D. Digital twin development for the airspace of the future. Drones 2023, 7, 484. [Google Scholar] [CrossRef]
- Muhammad, A.Q. Digital Twin-Assisted Multi-Layer Network: Resource Optimization for Low-Latency and Energy-Efficiency. Ph.D. Thesis, Lakehead University, Thunder Bay, ON, Canada, 2024. [Google Scholar]
- Nwamekwe, C.O.; Chikwendu, O.C. Machine learning-augmented digital twin systems for predictive maintenance in highspeed rail networks. Int. J. Multidiscip. Res. Growth Eval. 2025, 6, 1783–1795. [Google Scholar]
- Arsalan, A.; Umer, T.; Rehman, R.A.; Abdelmoniem, A.M.; Mumtaz, S. Toward Collaborative Intelligence in Digital Twin-based Federated Deep Reinforcement Learning: Applications, Case Studies and Challenges. IEEE Netw. 2025; early access. [Google Scholar] [CrossRef]
- Kim, W.; Kim, S.; Jeong, J.; Kim, H.; Lee, H.; Youn, B.D. Digital twin approach for on-load tap changers using data-driven dynamic model updating and optimization-based operating condition estimation. Mech. Syst. Signal Process. 2022, 181, 109471. [Google Scholar] [CrossRef]
- Aliyari, M.; Wong, W.-K.; Bouteraa, Y.; Najafinia, S.; Fekih, A.; Mobayen, S. Design and implementation of a constrained model predictive control approach for unmanned aerial vehicles. IEEE Access 2022, 10, 91750–91762. [Google Scholar] [CrossRef]
- Panjavarnam, K.; Ismail, Z.H.; Tang, C.H.H.; Sekiguchi, K.; Casas, G.G. Model Predictive Control for Autonomous UAV Landings: A Comprehensive Review of Strategies, Applications and Challenges. J. Eng. 2025, 2025, e70085. [Google Scholar] [CrossRef]
- Geronel, R.S.; Botez, R.M.; Bueno, D.D. On the Effect of Flexibility on the Dynamics of a Suspended Payload Carried by a Quadrotor. Designs 2022, 6, 31. [Google Scholar] [CrossRef]
- Peris, C.; Norton, M.; Khoo, S. Adaptive multi-surface sliding mode control with radial basis function neural networks and reinforcement learning for multirotor slung load systems. Electronics 2024, 13, 2424. [Google Scholar] [CrossRef]
- Sadi, M.A.; Jamali, A.; Kamaruddin, A.M.N.A. Optimizing UAV performance in turbulent environments using cascaded model predictive control algorithm and Pixhawk hardware. J. Braz. Soc. Mech. Sci. Eng. 2025, 47, 396. [Google Scholar] [CrossRef]
- Xu, T.; Liu, J.; Zhang, Z.; Chen, G.; Cui, D.; Li, H. Distributed MPC for trajectory tracking and formation control of multi-UAVs with leader-follower structure. IEEE Access 2023, 11, 128762–128773. [Google Scholar] [CrossRef]
- Gräfe, A.; Trimpe, S. Event-triggered Robust Model Predictive Control under Hard Computation Resource Constraints. arXiv 2025, arXiv:2504.19540. [Google Scholar] [CrossRef]
- Prasad, G. Aerodynamics Principles and Advances in Unmanned Aerial Vehicles. In Innovations and Developments in Unmanned Aerial Vehicles; IGI Global Scientific Publishing: Hershey, PA, USA, 2025; pp. 129–144. [Google Scholar]
- Hidayat, N.A.; Rosyid, D.M.; Hadiwidodo, Y.S. Sensitivity Study of Dynamic Response and Seismic Performance of Offshore Tripod Structure Under Variation of Center of Gravity Location. Int. J. Mar. Eng. Innov. Res. 2025, 10, 705–726. [Google Scholar]
- Wang, F.; Nishter, Z. Real-time load forecasting and adaptive control in smart grids using a hybrid neuro-fuzzy approach. Energies 2024, 17, 2539. [Google Scholar] [CrossRef]
- Mahdi, S.M.; Abdulkareem, A.I.; Humaidi, A.J.; Al Mhdawi, A.K.; Al-Raweshidy, H. Comprehensive Review of Control Techniques for Various Mechanisms of Parallel Robots. IEEE Access 2025, 13, 63381–63416. [Google Scholar] [CrossRef]
- Xiao, J.; Zhang, R.; Zhang, Y.; Feroskhan, M. Vision-based learning for drones: A survey. IEEE Trans. Neural Networks Learn. Syst. 2025, 36, 15601–15621. [Google Scholar] [CrossRef]
- Ozkat, E.C. Vibration data-driven anomaly detection in UAVs: A deep learning approach. Eng. Sci. Technol. Int. J. 2024, 54, 101702. [Google Scholar] [CrossRef]
- Kidambi, K.B.; Tiwari, M.; Jayaprakash, A.K.; MacKunis, W.; Golubev, V. A sliding mode observer-based limit cycle oscillation suppression using a robust active flow control technique. In Proceedings of the 2022 IEEE Conference on Control Technology and Applications (CCTA), Trieste, Italy, 23–25 August 2022; pp. 516–521. [Google Scholar]
- Alzorgan, H.; Razi, A.; Moshayedi, A.J. Actuator trajectory planning for uavs with overhead manipulator using reinforcement learning. In Proceedings of the 2023 IEEE 34th Annual International Symposium on Personal, Indoor and Mobile Radio Communications (PIMRC), Toronto, ON, Canada, 5–8 September 2023; pp. 1–6. [Google Scholar]
- Moshayedi, A.J.; Roy, A.S.; Taravet, A.; Liao, L.; Wu, J.; Gheisari, M. A secure traffic police remote sensing approach via a deep learning-based low-altitude vehicle speed detector through uavs in smart cites: Algorithm, implementation and evaluation. Future Transp. 2023, 3, 189–209. [Google Scholar] [CrossRef]
- Farid, U.; Khan, B.; Mehmood, C.A.; Ali, S.M.; Mehmood, F.; Ullah, Z. Autonomous Payload Delivery: A Sequential Approach Using Single and Heterogeneous Drones. J. Eng. 2025, 2025, 7618520. [Google Scholar] [CrossRef]



















| Contribution | Novelty vs. Prior Art |
|---|---|
| 1. Real-Time DT for Irregular Payload Kinetics | Unlike [36], we model time-varying , , and using online identification. |
| 2. DT–Robust MPC Synergy | We are the first to use DT forecasts to update MPC & tube bounds in real time (Section 3.3.3). |
| 3. Adaptive Predictive Disturbance Mitigation | We achieve pre-emptive control via ARIMA-disturbance forecasting, not reactive control like in [51]. |
| 4. Comprehensive Validation | We present 18 figures across diverse irregular payloads + disturbances, beyond [46]. |
| Metric | DT-MPC | SMC |
|---|---|---|
| Peak Position Error (m) | 0.6 | 1.2 |
| Recovery Time (s) | 8 | 12 |
| Mean Control Effort | 0.45 | 0.60 |
| Angular Excursion (deg) | ||
| Energy Consumption (rel.) | 1.0 | 1.33 |
Disclaimer/Publisher’s Note: The statements, opinions and data contained in all publications are solely those of the individual author(s) and contributor(s) and not of MDPI and/or the editor(s). MDPI and/or the editor(s) disclaim responsibility for any injury to people or property resulting from any ideas, methods, instructions or products referred to in the content. |
© 2025 by the authors. Licensee MDPI, Basel, Switzerland. This article is an open access article distributed under the terms and conditions of the Creative Commons Attribution (CC BY) license (https://creativecommons.org/licenses/by/4.0/).
Share and Cite
Farid, U.; Khan, B.; Ali, S.M.; Ullah, Z. A Digital Twin Model for UAV Control to Lift Irregular-Shaped Payloads Using Robust Model Predictive Control. Machines 2025, 13, 1069. https://doi.org/10.3390/machines13111069
Farid U, Khan B, Ali SM, Ullah Z. A Digital Twin Model for UAV Control to Lift Irregular-Shaped Payloads Using Robust Model Predictive Control. Machines. 2025; 13(11):1069. https://doi.org/10.3390/machines13111069
Chicago/Turabian StyleFarid, Umar, Bilal Khan, Sahibzada Muhammad Ali, and Zahid Ullah. 2025. "A Digital Twin Model for UAV Control to Lift Irregular-Shaped Payloads Using Robust Model Predictive Control" Machines 13, no. 11: 1069. https://doi.org/10.3390/machines13111069
APA StyleFarid, U., Khan, B., Ali, S. M., & Ullah, Z. (2025). A Digital Twin Model for UAV Control to Lift Irregular-Shaped Payloads Using Robust Model Predictive Control. Machines, 13(11), 1069. https://doi.org/10.3390/machines13111069

