Next Article in Journal
Adaptive Remaining Useful Life Estimation of Rolling Bearings Using an Incremental Unscented Kalman Filter with Nonlinear Degradation Tracking
Previous Article in Journal
Vibration Characteristics and Fatigue Performance of Bogie Frame with Inner Axle Box for High-Speed Trains
 
 
Font Type:
Arial Georgia Verdana
Font Size:
Aa Aa Aa
Line Spacing:
Column Width:
Background:
Article

Optimization Analysis of the Dynamic Performance of Permanent Magnet Levitation Vehicles Based on Magnetic Wheelset

1
School of Electrical Engineering and Automation, Jiangxi University of Science and Technology, Ganzhou 341000, China
2
Jiangxi Province Key Laboratory of Maglev Rail Transit Equipment, Ganzhou 341000, China
3
School of Mechanical and Electrical Engineering, Jiangxi University of Science and Technology, Ganzhou 341000, China
*
Author to whom correspondence should be addressed.
Machines 2025, 13(11), 1057; https://doi.org/10.3390/machines13111057 (registering DOI)
Submission received: 5 October 2025 / Revised: 3 November 2025 / Accepted: 10 November 2025 / Published: 15 November 2025
(This article belongs to the Section Vehicle Engineering)

Abstract

The permanent magnet levitation (PML) transportation system utilizes Halbach arrays to achieve zero-power levitation. However, the system’s lateral negative stiffness characteristic leads to a significant increase in lateral force during operation, exacerbating lateral vibration and compromising system stability. Taking the Xingguo Line PML system as the research object, this study systematically analyzes the nonlinear characteristics of the levitation force and lateral force in a single-point levitation system through theoretical modeling, finite element simulation, and experimental validation. The concept of a ‘Magnetic Wheelset’ coupling the left and right levitation points of the bogie is proposed. The influence of five mounting forms—Aligned, X-type, Different center distance, Double V-type, and Single V-type—on the levitation performance of the Magnetic Wheelset is investigated. The coefficient of variation (CV) method is employed to evaluate force stability, and an optimal case is subsequently screened out using a dual-objective constraint approach that incorporates mean levitation force and lateral force thresholds. Results indicate that the X-type mounting at 25° is the optimal case. At 40 km/h, compared to the baseline Aligned configuration, the root mean square (RMS) values of the bogie’s vertical and lateral vibration accelerations are reduced by 14.7% and 23.8%, respectively. The vehicle’s vertical and lateral ride comfort indices decrease by 0.33 and 0.27, respectively, and the track beam’s vertical and lateral vibration accelerations are reduced by 19.4% and 13.3%. The methodology presented in this study provides a valuable reference for vibration suppression in PML systems.

1. Introduction

With the acceleration of urbanization and the escalating demand for low-carbon transport, maglev systems have emerged as a pivotal technology for addressing urban congestion and regional connectivity, owing to their advantages of low noise, contactless operation, and robust gradient-climbing capability [1]. Currently, typical maglev transport systems comprise four categories: electromagnetic suspension (EMS), electric suspension (EDS), high-temperature superconducting pinning suspension (HTSS), and permanent magnet levitation (PML) [2,3,4,5]. Among these, PML achieves levitation through the repulsive force between permanent magnets, eliminating the need for an external power supply. This ‘zero-power levitation’ characteristic confers unique advantages in energy efficiency and operational reliability [5,6].
Halbach arrays, the core technology in PML systems, have found applications in numerous fields since their invention in 1979, including in maglev trains and magnetic bearings. By orienting the permanent magnets in a specific pattern, the Halbach array can significantly strengthen the magnetic field on one side while reducing it to near zero on the other, thereby greatly improving the levitation force [7]. Extensive research has been conducted on the application of Halbach arrays in maglev trains, focusing on the magnetic field distribution and force characteristics of these arrays [8,9]. Studies have also been carried out to optimize the dimensions and magnetization directions of Halbach-type permanent magnets for enhanced magnetic performance [10,11]. However, most current optimization efforts are primarily focused on increasing the levitation force of the system, while paying scant attention to the issue of lateral force stability.
The Xingguo permanent magnet levitation (PML) test line (Figure 1), spearheaded by Jiangxi University of Science and Technology and commissioned in 2022 in Xingguo County, Jiangxi Province, spans a total length of 0.8 km. It represents China’s first engineering test line for rare-earth permanent magnet levitation rail transit. The system utilizes Halbach arrays composed of both onboard and track-mounted permanent magnets to achieve “zero-power” levitation.
Current research on the dynamics of PML systems remains at a preliminary stage. Shi et al. [12,13] established a vehicle-bridge coupling model for the PML system, laying a foundation for dynamic analysis. Kuang et al. [14] analyzed the vibration response of the PML train’s bogie and car body, finding that the lateral vibration acceleration of the car body exceeds its vertical acceleration at the same speed. This phenomenon is primarily attributed to the lateral negative stiffness of the Halbach array, which compromises system stability and has become a critical bottleneck hindering the engineering advancement of PML technology. Current research on improving the lateral stability of PML trains mainly focuses on electromagnetic levitation control. For instance, Hu et al. [15] introduced electromagnetic guidance to regulate the dynamic lateral displacement of magnets, thereby reducing coupled vibrations. Guo et al. [16] proposed a hybrid permanent magnet and electromagnetic model, utilizing electromagnetic control to mitigate system vibrations and achieve motion decoupling, offering insights for vehicle vibration suppression. Liu [17] explored optimizing vehicle vibration performance by leveraging interactions and combinations of structure, device, and control. However, employing electromagnetic control introduces complex control systems and increases construction costs.
In the Xingguo PML, each bogie levitates through four discrete levitation points. Among them, the suspension points symmetrically arranged on the left and right sides of the bogie form a basic suspension unit. This unit is similar to the wheelset in wheel–rail traffic in structure, and is the core of bearing and transmitting magnetic force. In this paper, the levitation unit formed by the left and right two-point coupling is defined as “Magnetic Wheels”. Consequently, each bogie essentially achieves stable levitation through the collective interaction of two sets of dual “Magnetic Wheels”. Current research predominantly focuses on theoretical analysis and simulation verification of single-point levitation characteristics [18], overlooking the coupling effects between Magnetic Wheelset in practical operation. Importantly, different mounting types—with parameters such as inclination angle and center distance—directly affect the balance between levitation and lateral forces, thereby critically determining the vehicle’s dynamic performance. Therefore, investigating how a magnetic pair mounting type influences force characteristics and identifying optimal structures that achieve a balance between levitation and lateral forces are essential for enhancing the system’s operational stability.
This paper makes its primary contributions in two key areas:
(1)
This study first employs the CV to evaluate force stability. As a dimensionless metric, the CV eliminates the influence of physical dimensions and comprehensively reflects the fluctuation degree of forces. A smaller CV indicates lower force variations, which corresponds to better operational stability of the vehicle. Taking the existing dual-levitator installation configuration of the Xingguo PML system as the baseline case, the CV values of its levitation force and lateral force are used as benchmarks. Cases satisfying the condition that both their levitation and lateral force CVs are smaller than those of the baseline are regarded as qualified. This approach effectively screens out cases with higher force stability during vehicle operation.
(2)
Since the CV only reflects the fluctuation amplitude of data and not their absolute magnitudes, a mean force threshold is introduced to prevent cases with sufficient stability but inadequate levitation force or excessive lateral force. Using the mean levitation and lateral forces of the baseline case as references, this study sets threshold values to eliminate configurations with insufficient levitation force or overly large lateral force. The dual-constraint method—combining the CV and mean force thresholds—enables rapid identification of the optimal case. This strategy provides a valuable reference for structural design and performance optimization of PML transportation systems.
The structure of this paper is as follows: Section 2 introduces the levitation characteristics of a single point in the permanent magnet levitation system, establishes theoretical and finite element models, and validates model accuracy through experiments. Based on the single-point levitation; Section 3 designs five mounting type of “Magnetic Wheelsets” and analyzes their influence on levitation and lateral forces; Section 4 describes the constraint method combining the coefficient of variation and mean force thresholds to screen the optimal case; Section 5 validates the case selected by the proposed constraint method through dynamic simulations; and Section 6 concludes the primary work of this research.

2. Single-Point Levitation Characteristics

2.1. Theoretical Model

Halbach arrays generate an enhanced magnetic field on one side and a near-zero field on the other through the directional arrangement of permanent magnets [7,19]. The Xingguo permanent magnet levitation transport system employs a Halbach permanent magnet array, comprising onboard permanent magnets and permanent magnet tracks, to achieve zero-power levitation, as illustrated in Figure 2b. Figure 2a presents the array model, where the arrow directions indicate the magnetization orientation of the permanent magnet blocks. The left and right levitation points form a Magnetic Wheelset, as shown in Figure 2c.
The magnetic flux density on the enhanced side [20,21] may be expressed as:
B 0 = B r ( 1 e k d ) sin ( π / m ) π / m B z = B 0 cos ( k x ) e k h B x = B 0 sin ( k x ) e k h
where B0 is the magnetic induction on the reinforced side, BX and BZ, are the components of the magnetic inductionon the reinforced side of the Halbach array along the X and Z axes, Br is the residual magnetization of the permanent magnet, k is the number of wavelengths in the magnetic group of the Halbach array, k = 2π/λ, λ is the wavelength of the permanent magnet, λ = mb, m is the number of blocks per unit wavelength, b is the width of the magnet, and h is the levitation gap. Using Maxwell’s formula [22,23], the levitation force and lateral force per unit area are obtained as:
F z = 1 2 μ 0 B z 2 B x 2 F x = 1 μ 0 ( B z ) B x
where μ0 is the magnetic permeability of free space. When the levitation height h remains constant and only a lateral displacement occurs, integrating with respect to Δx yields [21]:
F z = B 0 2 e 2 k h 4 μ 0 cos ( 2 π Δ x λ ) F x = B 0 2 e 2 k h 4 μ 0 sin ( 2 π Δ x λ )
From the above equation, it is evident that both Fz and Fx are monotonically decreasing exponential functions of h. As the levitation gap h increases, both Fz and Fx decrease. When the levitation gap h is constant, and there is no lateral displacement (i.e., Δx = 0), the levitation force Fz reaches its maximum value, while Fx = 0. Upon lateral displacement, the levitation force Fz diminishes whilst the lateral force Fx increases. The direction of the lateral force aligns with that of the displacement, indicating the Halbach array exhibits negative lateral stiffness. This explains why lateral vibrations in permanent magnet levitation rail transit systems are more pronounced than vertical vibrations during operation. Therefore, optimizing lateral impact by reducing lateral forces while maintaining sufficient lift force represents a critical issue that requires urgent resolution for this system.

2.2. Single-Point Finite Element Model

From Equation (3), the trends of the levitation force and lateral force with respect to the levitation gap and lateral displacement can be clearly understood. However, in most engineering applications, researchers predominantly employ finite element analysis to rapidly obtain the force values of the model under different conditions [24,25,26]. This paper established a finite element model of the magnetic track relationship in Ansoft Maxwell software (Ansys Electronics Desktop Student 2025 R2) based on the actual magnet dimensions of the Xingguo PML Test Line. The onboard permanent magnet utilizes N52M neodymium–iron–boron material, while the permanent magnet track employ N45 neodymium–iron–boron permanent magnet material. The magnet parameters are shown in Table 1.
Figure 3 shows the three-dimensional magnetic field finite element model. The permanent magnet track in the model measures 300 mm × 150 mm × 22 mm, and the onboard permanent magnet measures 100 mm × 150 mm × 60 mm.

2.3. Model Validation

Based on the single-point magnet-track relationship finite element model, the variation in levitation force with the levitation gap ranging from 5 to 30 mm under no lateral displacement was calculated, along with the variations in levitation force and lateral force with lateral displacement at a fixed levitation gap of 15 mm. To validate the simulation model, a full-scale levitation performance test bench was constructed, as shown in Figure 4. Experimental validation was conducted using this test bench, and the results are presented in Figure 5. The experimental data show excellent agreement with the simulation results, with maximum errors of 7.3% for the levitation force and 9.7% for the lateral force. This demonstrates the accuracy of the finite element model adopted in this study and confirms its suitability for engineering research requirements.
As shown in Figure 5, both the levitation force and lateral force are influenced by the levitation gap and lateral displacement, exhibiting a distinctly nonlinear relationship. From Figure 5b,c, it can be observed that as the lateral displacement increases, the levitation force decreases while the lateral force rises. At a levitation height of 15 mm and a lateral displacement of 15 mm, the simulated values of the lateral force and levitation force are 3.08 kN and 3.03 kN, respectively. At this point, the lateral force already exceeds the levitation force. Consequently, strict control of the lateral displacement in the permanent magnet levitation transportation system is imperative.

3. Magnetic Wheelset Characteristics

In the preceding section, theoretical calculations and simulation analyses of the single-point permanent magnet levitation system have clearly revealed the nonlinear variation patterns of levitation force and lateral force, providing crucial insights into the magnetic characteristics of permanent magnet levitation. Each bogie of the Xingguo Line permanent magnet levitation transport system achieves levitation through the interaction of two sets of ‘Magnetic Wheelset’. When these magnetic pairs adopt a different mounting type, the resulting spatial magnetic field patterns also differ, consequently altering the overall levitation performance of the magnetic pair.
Therefore, this paper employs the validated single-point finite element model to construct a ‘Magnetic Wheelset’ model and investigates the characteristics of magnetic pairs under various mounting types.
As shown in Figure 6, several different mounting types of Magnetic Wheelset are illustrated, including ‘Aligned mounting’, ‘X-type mounting’, ‘different center distances mounting’, ‘Double V-type mounting’, and ‘Single V-type mounting’. When the vehicle-mounted magnet and the permanent magnet track have the same center distance and are installed horizontally, this configuration is referred to as ‘Aligned mounting’. As shown in Figure 7a, this mounting type is currently used in the Xingguo Line permanent magnet levitation transport systems. Its magnetic force characteristics will serve as the baseline reference model, designated as case 1. When the center distance between the on-board magnet and the permanent magnet track is the same and a certain angle is formed in the horizontal plane, the installed form is ‘X-type mounting’, as shown in Figure 7b, which is defined hereinafter as case 2. As shown in Figure 7c, when the vehicle magnet and the permanent magnet track are aligned in parallel, but both form a certain angle A with the horizontal plane, the installed form is ‘Double V-type mounting’, which is hereinafter defined as case 3. When the center distance between the vehicle magnet and the track magnet is different, the installed form is defined as ‘different center distances mounting’, as shown in Figure 7d, hereinafter defined as working case 4. As shown in Figure 7e, when the track magnet is horizontally installed while the vehicle-mounted magnet is installed at a certain angle relative to the track magnet, the resulting configuration is termed the Single V-type mounting, which will be defined as case 5. The angles α, β, and γ, corresponding to cases 2, 3, and 5, can be either positive or negative, while the center distance in case 4 can be either increased or decreased. The study revealed that the magnetic pair characteristics remain identical regardless of whether angle α is positive or negative, or whether the center distance is increased or decreased. Therefore, this paper will only analyze the cases illustrated in Figure 6.
As shown in Figure 6, except for Case 1, each installation form corresponds to specific variable parameters. Table 2 lists the parameter values for all cases according to the operational requirements of the permanent magnet levitation transportation system. Each case includes six parameters. To clearly identify the cases associated with different mounting type and parameters, the following naming convention is adopted: Case 2 with a parameter range of 5° to 30° corresponds to Cases 2-1 through 2-6; Case 3 with 4 mm to 24 mm corresponds to Cases 3-1 through 3-6; Case 4 with 2.5° to 15° corresponds to Cases 4-1 through 4-6; and Case 5 with the same 2.5° to 15° range corresponds to Cases 5-1 through 5-6. Simulations were performed using Ansoft Maxwell to evaluate the levitation and lateral forces across levitation heights of 5–30 mm and lateral displacements of −15 to 15 mm, with a 1 mm step size, yielding 750 data sets per case.
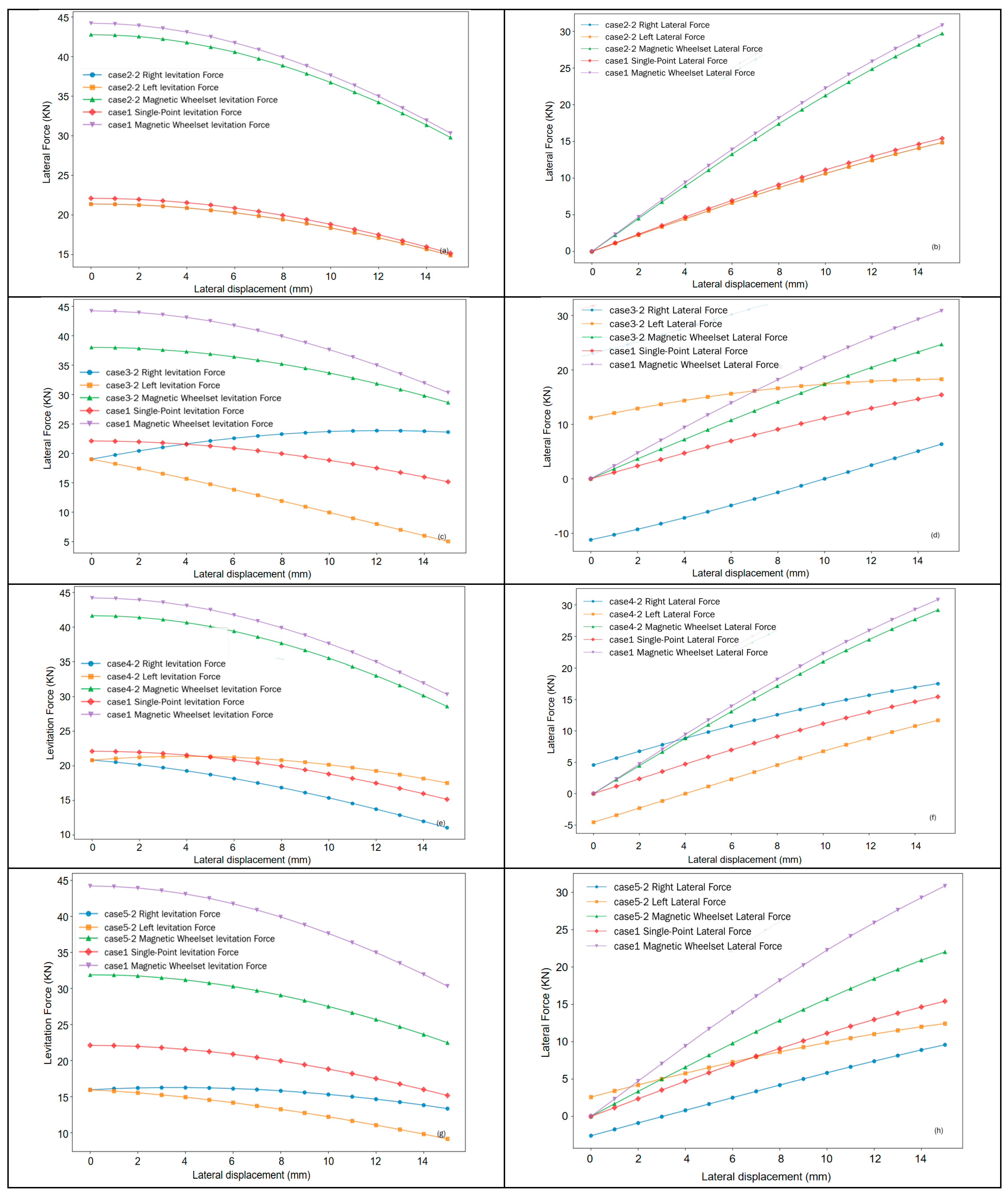
To analyze the levitation characteristics under different mounting types, comparative analyses were conducted between Case 2-2, Case 3-2, Case 4-2, Case 5-2, and the baseline, Case 1, examining both single-point and Magnetic Wheelset scenarios for levitation force and lateral force, as illustrated in Figure 7.
As shown in Figure 7a,b, the levitation forces and lateral forces corresponding to the Magnetic Wheelset under Case 2-2 and Case 1 are presented. It can be observed that under Case 2, the levitation and lateral forces of the left and right individual points of the Magnetic Wheelset are identical. Compared with Case 1, the variation trends of both the levitation and lateral forces remain similar, but their magnitudes decrease.
This reduction is primarily attributed to the fact that, in this mounting type, a certain angle is formed between the onboard magnet and the permanent magnet track in the horizontal plane, as illustrated in Figure 6b. As a result, the effective opposing area between them is reduced relative to Case 1, leading to a decrease in the levitation force. Consequently, the lateral force also decreases.
As shown in Figure 7c,d, the levitation and lateral forces corresponding to the Magnetic Wheelset formed by the left and right points under Case 3-2 and Case 1 are presented. The results indicate that under the mounting type of Case 3, the variation trends of both the levitation and lateral forces differ between the left and right points. At a lateral displacement of zero, the levitation forces on the left and right sides are equal, while the lateral forces are equal in magnitude but opposite in direction.
As the Magnetic Wheelset undergoes a leftward lateral displacement, the levitation force at the right point increases gradually, while its lateral force initially decreases before increasing. In contrast, the levitation force at the left point decreases rapidly, and its lateral force shows a gradual increase. This phenomenon occurs primarily due to the mounting type in Case 3, where an angle is formed between the onboard magnets and the permanent magnet track relative to the horizontal plane, as illustrated in Figure 6c. When a leftward lateral displacement occurs, the onboard permanent magnet at the right point moves closer to the track, while the magnet at the left point moves away. Consequently, the levitation force at the right point increases slowly, whereas that at the left point decreases rapidly. Since the lateral forces at the left and right points are opposite in direction at zero lateral displacement, a leftward shift causes the lateral force on the left side to decrease gradually to zero and then increase, while the lateral force on the right side increases continuously.
However, compared to Case 1, both the levitation and lateral forces of the Magnetic Wheelset in Case 3-2 are generally reduced. This overall reduction is mainly attributed to the inclination angle, which generates a horizontal component of the levitation force, thereby reducing the effective vertical levitation force. This horizontal component is always equal in magnitude and opposite in direction on the two sides, resulting in no net effect on the overall lateral force of the Magnetic Wheelset. Nevertheless, the decrease in levitation force ultimately leads to a reduction in the lateral force.
As shown in Figure 7e,f, the levitation and lateral forces of the Magnetic Wheelset formed by the left and right points under Case 4-2 and Case 1 are presented. The results indicate that under the mounting type of Case 4, the levitation and lateral forces differ between the left and right points. At zero lateral displacement, the levitation forces on both sides are equal. The lateral forces are equal in magnitude but opposite in direction, resulting in a net lateral force of zero for the Magnetic Wheelset.
When lateral displacement occurs, and as it increases from 0 to 4 mm, the levitation force at the left point shows an increasing trend, only beginning to decrease gradually after the displacement exceeds 4 mm. In contrast, the levitation force at the right point decreases continuously, and at a faster rate than that at the left point. The lateral force at the left point decreases to zero as the displacement increases from 0 to 4 mm, and then gradually increases as the displacement increases further to 15 mm. Meanwhile, the lateral force at the right point increases monotonically throughout the process.
This behavior is primarily attributed to the specific mounting in Case 4, where the center distance between the onboard magnets is greater than that of the permanent magnet track. This means that even at zero nominal lateral displacement, the left point is effectively pre-displaced to the left and the right point to the right, as illustrated in Figure 6d. Consequently, when an additional rightward lateral displacement is applied, the right point experiences further displacement relative to the track, leading to a rapid decrease in its levitation force and a concurrent rapid increase in its lateral force. For the left point, however, the initial displacement (from 0 to 4 mm) effectively reduces its pre-displacement. Once the displacement exceeds 4 mm, the left point begins to be displaced positively from its aligned position. This explains why the levitation force at the left point first increases and then decreases, and why its lateral force first decreases to zero before increasing again.
This behavior is primarily attributed to the specific mounting in Case 4, where the center distance between the vehicle magnets exceeds that between the permanent magnet tracks. This equates to the magnetic pair experiencing lateral deviation; the left vehicle magnet deviates leftwards relative to the left rail magnet, while the right vehicle magnet deviates leftwards relative to the right rail magnet, as illustrated in Figure 6d. Consequently, when an additional rightward lateral displacement is applied, the right point experiences further displacement relative to the track, leading to a rapid decrease in its levitation force and a concurrent rapid increase in its lateral force. For the left point, however, the initial displacement (from 0 to 4 mm) effectively reduces its pre-displacement. Once the displacement exceeds 4 mm, the left point begins to be displaced positively from its aligned position. This explains why the levitation force at the left point first increases and then decreases, and why its lateral force first decreases to zero before increasing again.
Nevertheless, compared to Case 1, both the levitation and lateral forces of the Magnetic Wheelset in Case 4-2 are generally reduced. This overall reduction is mainly because the effective opposing area between the magnets and the track is smaller than in Case 1, leading to a decrease in the levitation force, which in turn causes a reduction in the lateral force.
As shown in Figure 7g,h, the levitation and lateral forces corresponding to the Magnetic Wheelset under Case 5-2 and Case 1 are presented. The observed variation trends are consistent with those of Case 3-2. However, compared to other mounting types, the Magnetic Wheelset in Case 5-2 exhibits a more pronounced reduction in both levitation and lateral forces relative to Case 1. This significant decrease is primarily due to the angle formed between the onboard magnets and the permanent magnet track in this configuration, as illustrated in Figure 6e. This angle effectively alters the levitation air gap, which is equivalent to an increase in the effective levitation gap, consequently leading to a rapid decline in the forces.
Figure 8 presents the levitation and lateral forces for all cases at a levitation height of 15 mm under lateral displacements of 5 mm, 10 mm, and 15 mm. As shown in Figure 8a, the levitation force decreases with increasing lateral displacement across all cases. Furthermore, an increase in the key variable parameter of each specific case series also leads to a reduction in the levitation force generated by the corresponding Magnetic Wheelset. Analysis of the force variation from Case 5-1 to 5-6 indicates that the levitation force drops rapidly as the angle between the onboard permanent magnet and the permanent magnet track increases, demonstrating a high sensitivity of the levitation force to this inclination angle. In contrast, the most gradual change in levitation force is observed from Case 4-1 to 4-6, suggesting that variations in the center-to-center distance have the least pronounced effect. A minimal variation in levitation force is noted from Case 3-1 to 3-3; however, a sharp decrease occurs at Case 3-4. This suggests that when the inclination angle of the magnets relative to the horizontal plane exceeds 7.5°, lateral displacement induces a significant misalignment between the onboard and track magnets, resulting in a drastic attenuation of the magnetic field component responsible for levitation.
As shown in Figure 8b, the lateral force increases with growing lateral displacement across all cases. Among them, the lateral force in Case 2 exhibits the most gradual rate of increase. In contrast, for Case 5, the lateral force declines rapidly, which correlates directly with the sharp decrease in its levitation force. The sharp drop in lateral force observed in Case 3-4 is attributed to the same cause as its reduction in levitation force. A sharp increase in lateral force occurs in Case 4-3, where the corresponding increased center-to-center distance is 12 mm—a value close to half the width of a single permanent magnet block. This indicates that when the lateral displacement exceeds half the width of the permanent magnet, the lateral force increases abruptly. However, with a further increase in the center-to-center distance, the effective opposing area between the onboard magnet and the track magnet continuously decreases, resulting in a subsequent reduction in both the levitation force and the lateral force.
The preceding analysis indicates that almost all mounting types result in a reduction in the lateral force, albeit at the cost of a decreased levitation force. However, the rates at which these forces decrease vary significantly among the different configurations. From an engineering perspective, it is desirable to maximize the levitation force while minimizing the lateral force. Therefore, a primary focus of subsequent research is to develop a method for rapidly identifying a mounting form that satisfies the levitation requirement while simultaneously achieving a significant reduction in lateral force.

4. Constraints on the Levitation and Lateral Forces

During vehicle operation, the levitation and lateral forces continually fluctuate. The magnitude of this variation is a critical indicator of the vehicle’s dynamic performance. Specifically, smaller force variations correspond to reduced vehicle oscillation, implying better stability and, consequently, superior dynamic performance. Therefore, the variation coefficient method (CV) is employed to analyze the degree of force variation under different mounting types to evaluate their levitation stability.
C V = σ μ
In the equation, CV stands for coefficient of variation. As a dimensionless indicator, it eliminates the influence of units and comprehensively reflects the relative fluctuation magnitude of the forces, where σ is the standard deviation and μ is the mean value. A smaller CV indicates more stable force characteristics and stronger robustness of the system against variations in operating conditions [27,28].
According to Equation (4), the coefficients of variation for the levitation force and lateral force are defined as follows:
C V F Z = σ F Z μ F Z , C V F X = σ F X μ F X
where C V F Z and C V F X are the coefficients of variation for the levitation force and lateral force under each case, respectively; σ F Z and σ F X are the standard deviations of the levitation force and lateral force; and µFZ and µFX are the mean values of the levitation force and lateral force, among which
μ F Z = 1 N i , j F Z ( i , j ) , μ F X = 1 N i , j F X ( i , j )
σ F Z = 1 N i , j ( F Z ( i , j ) μ F Z ) 2     σ F X = 1 N i , j ( F X ( i , j ) μ F X ) 2
where N is the number of simulations, i is the levitation height, and j is the lateral displacement.
To screen for cases exhibiting high stability during vehicle operation, Case 1 is used as the benchmark. A case is deemed satisfactory only if it simultaneously satisfies the condition that both its levitation force CV and its lateral force CV are smaller than those of Case 1. This requirement is specified by Equation (8):
C V F Z C V F Z , c a s e 1 C V F X C V F X , case 1
where C V F Z , c a s e 1 and C V F X , c a s e 1 are the coefficients of variation for the levitation force and lateral force of Case 1, respectively. The calculation results are as shown in Table 3.
As summarized in Table 3, the CV for the lateral force is consistently greater than that for the levitation force, typically by a factor of approximately two. This indicates that the fluctuation of the lateral force in the permanent magnet levitation system is significantly more pronounced than that of the levitation force, which is a primary reason why the lateral vibration exceeds the vertical vibration. Using Case 1 as the benchmark, ten cases meet the requirement specified by Equation (8): Cases 2-1 through 2-5, 3-2, 3-3, and 4-4 through 4-6. Consequently, these ten configurations are identified as candidates for the next stage of selection.
While the CV serves as a dimensionless stability indicator that reflects the amplitude of data fluctuation, it does not convey the absolute magnitude of the data. As the preceding analysis has shown, all other cases result in a reduction in both levitation and lateral forces compared to Case 1. Therefore, it is necessary to establish a mean force threshold for all cases to prevent an excessive decrease in levitation force or an insufficient reduction in lateral force. Based on the actual operational data of the Xing guo Line, a 20% reduction from the levitation force in Case 1 still meets the safety requirements for the levitation gap. Accordingly, using the mean levitation and lateral forces of Case 1 as benchmarks, the mean levitation force under any case must be no less than 0.8 times μ F Z , c a s e 1 r e f and the mean lateral force must be no greater than 0.8 times, μ F X , c a s e 1 r e f , as specified in Equation (9).
μ F Z 0.8 μ F Z , case 1 r e f μ F X 0.8 μ F X , c a s e 1 r e f
In accordance with the requirements specified in Equation (9), the bar chart shown in Figure 9 was generated.
As illustrated in Figure 8 and in accordance with the requirement stipulated in Equation (9), the mean levitation force must be greater than 0.8 times that of Case 1, meaning its value should lie above the red line. Simultaneously, the mean lateral force must be less than 0.8 times that of Case 1, meaning its value should fall below the blue line. Figure 8 indicates that only Cases 2-5, 3-4, and 3-5 satisfy these dual graphical criteria.
Based on the comprehensive analysis above, which considers both the stability requirement (CV) and the mean force threshold requirement, only Case 2-5 fulfills all conditions.

5. Dynamic Simulation Validation

5.1. Dynamic Model

To validate whether the case selected in the previous section can improve vehicle dynamic performance, a vehicle–track coupled dynamics model for the permanent magnet levitation transportation system was established using SIMPACK 2024-build101 software, based on the team’s prior research [12,13,14]. The model is shown in Figure 10. The permanent magnet levitation train system comprises a vehicle subsystem and a track beam subsystem. The train subsystem consists of two carriages. Each carriage includes one car body, two levitation bogies, and two levitation arms. Each levitation bogie is equipped with four running wheels and four stabilizing wheels. As determined in the previous section, only Case 2-5 simultaneously satisfies both constraint conditions. To verify the reliability of the multi-parameter constraint method employed, Case 1 was selected as the benchmark for comparison. Additionally, to investigate whether cases meeting only one constraint condition can also optimize dynamic performance, Case 3-5 (which meets only the mean force threshold condition) and Case 4-4 (which meets only the force stability condition) were also selected. Thus, a comparative dynamics analysis was conducted using these four cases.

5.2. Dynamic Validation Calculations

A comparative analysis of the root mean square RMS values of the bogie’s vertical and lateral vibration accelerations was conducted as the vehicle traversed a straight beam at different speeds, as shown in Figure 10. With increasing speed, the RMS values of vibration acceleration for all four cases exhibited an increasing trend. Figure 11a shows that the vertical vibration RMS value for Case 2-5 was consistently lower than those of the other three cases. The vertical vibration RMS values for Case 3-5 and Case 4-4 were higher than that of Case 1 at speeds below 60 km/h. At a speed of 40 km/h, the vertical RMS values for Case 2-5 and Case 1 were 1.57 and 1.84, respectively, representing a reduction of 14.7% for Case 2-5 compared to Case 1.
As shown in Figure 11b, the lateral vibration RMS value for Case 2-5 was lower than those of the other three cases. The lateral vibration RMS values for Case 3-5 and Case 4-4 only became lower than that of Case 1 at speeds above 40 km/h. At 40 km/h, the lateral RMS values for Case 2-5 and Case 1 were 8.24 and 10.81, respectively, indicating a reduction of 23.8% for Case 2-5 relative to Case 1.
As shown in Figure 12, the ride comfort of the first carriage, as it passes over a straight beam at different speeds, is presented. Vehicle running stability, commonly used to represent the vibrational performance of a vehicle, serves as the primary basis for evaluating passenger comfort. In the vertical direction, the vertical ride comfort index for Case 2-5 is lower than that of the other three cases at all speeds except at 40 km/h, where it is slightly higher than that of Case 3-5. At this specific speed (40 km/h), the vertical ride comfort indices for Case 2-5 and Case 1 are 2.48 and 2.81, respectively, indicating that the index for Case 2-5 is 0.33 lower than that of Case 1. In the lateral direction, the lateral ride comfort index for Case 2-5 is smaller than those of the other three cases at all speeds except at 80 km/h, where it is nearly identical to that of Case 1. At 40 km/h, the lateral ride comfort indices for Case 2-5 and Case 1 are 2.66 and 2.93, respectively, meaning the index for Case 2-5 is 0.27 lower. In contrast, the ride comfort indices for Case 3-5 and Case 4-4 are sometimes higher and sometimes lower than those of Case 1 at different speeds, showing no consistent trend. According to the vehicle ride comfort assessment standard GB/T 5599-2019, a lower ride comfort index indicates a smoother ride [29,30]. Therefore, the results demonstrate that Case 2-5 effectively improves vehicle operational smoothness.
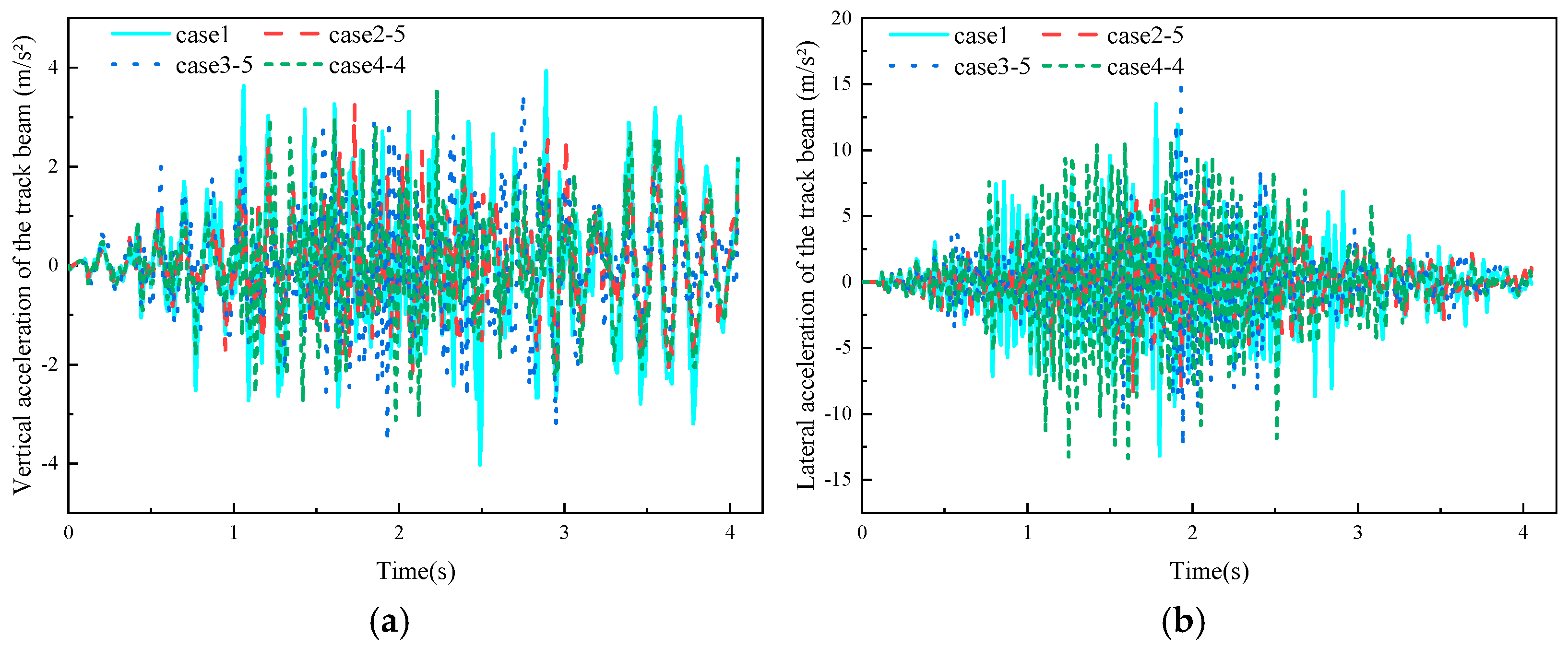
As shown in Figure 13, the mid-span vibration acceleration of the track beam is presented when the vehicle passes over it at a speed of 40 km/h. The results indicate that in the vertical direction, the maximum vibration accelerations for Case 1, Case 2-5, Case 3-5, and Case 4-4 are 4.02, 3.24, 3.60, and 3.53, respectively. In the lateral direction, the corresponding maximum accelerations for the four cases are 9.59, 8.31, 15.45, and 13.34. It can be concluded that Case 2-5 yields the smallest maximum vibration acceleration in both vertical and lateral directions. Compared to Case 1, these values represent reductions of 19.4% and 13.3%, respectively.
Based on the above analysis, the dynamic performance of Case 2-5, which was selected by applying both constraint conditions, is superior to that of Case 1 in both the lateral and vertical directions. In contrast, Case 3-5 and Case 4-4, which satisfy only one constraint condition, outperform Case 1 only in a limited number of scenarios. This indicates that fulfilling a single constraint is insufficient for achieving overall optimization.
In conclusion, the multi-parameter constraint method proves to be effective. This method first employs the CV to assess force stability and then sets thresholds for the mean levitation and lateral forces to eliminate cases with an excessive reduction in levitation force or an insufficient decrease in lateral force. This approach enables the rapid identification of the optimal mounting configuration and provides a valuable strategy for optimizing the dynamic performance of permanent magnet levitation rail transit systems.

6. Conclusions

Taking the Xingguo permanent magnet levitation test line as the research background, this paper first established theoretical and finite element models for a single-point Halbach array and conducted experimental validation. Subsequently, a comparative analysis of the force characteristics of five types of Magnetic Wheelset mounting was performed. Furthermore, the optimal case was screened using a dual-constraint method based on the coefficient of variation and mean force threshold. Finally, a Simpack vehicle–track coupled dynamics model was employed to verify the improvement in dynamic performance achieved by the optimized configuration. The main conclusions are as follows.
Both the levitation force and lateral force of the Halbach array decay exponentially with increasing levitation gap. Under lateral displacement, Fz decreases while Fx increases, with the direction of Fx consistent with the displacement direction, confirming the characteristic of lateral negative stiffness.
Among the five mounting types compared, the X-type installation at 25° performs optimally under the dual constraints of the coefficient of variation and the mean force threshold. It maintains sufficient levitation force while significantly reducing the lateral force. Simpack simulations show that, compared to the benchmark case (face-to-face installation), at a vehicle speed of 40 km/h, the RMS values of the bogie’s vertical and lateral vibration accelerations for the X-type 25° case are reduced by 14.7% and 23.8%, respectively. Concurrently, the vertical and lateral vibration accelerations of the track beam are reduced by 19.4% and 13.34%, respectively. Vehicle ride comfort is also significantly improved in this case.
The proposed multi-parameter constraint method, which integrates the CV and force thresholds, provides an efficient means for screening mounting forms and a viable pathway for optimizing the dynamics of permanent magnet levitation systems. The findings hold significant reference value for advancing the engineering application of permanent magnet levitation transportation.

Author Contributions

Methodology, P.Z.; data curation, H.L., C.L., and L.W.; writing—original draft preparation, P.Z.; writing—review and editing, P.Z. and B.Y.; visualization, H.L.; project administration, B.Y. All authors have read and agreed to the published version of the manuscript.

Funding

This research was funded by the National Key R&D Program of China (2023YFB4302102-7), Science and Technology Research Project of Jiangxi Provincial Department of Education (GJJ210848), and Jiangxi Province Major Science and Technology R&D Special Project (20232ACE01011).

Data Availability Statement

Data are contained within the article.

Conflicts of Interest

The authors declare no conflicts of interest.

References

  1. Zhai, W.; Zhao, C. Frontiers and challenges of sciences and technologies in modern railway engineering. J. Southwest Jiaotong Univ. 2016, 51, 209–226. [Google Scholar]
  2. Feng, Y.; Zhao, C.; Zhai, W.; Tong, L.; Liang, X.; Shu, Y. Dynamic performance of medium speed maglev train running over girders: Field test and numerical simulation. Int. J. Struct. Stab. Dyn. 2022, 23, 2350006. [Google Scholar] [CrossRef]
  3. Deng, Z.; Zhang, W.; Zheng, J.; Ren, Y.; Jiang, D.; Zheng, X.; Zhang, J.; Gao, P.; Lin, Q.; Song, B.; et al. A high-temperature superconducting maglev ring test line developed in Chengdu, China. IEEE Trans. Appl. Supercond. 2016, 26, 1–8. [Google Scholar] [CrossRef]
  4. Deng, Z.; Liu, Z.; Li, H.; Zhang, W. Development status and prospect of maglev train. J. Southwest Jiaotong Univ. 2022, 57, 455–474, 530. [Google Scholar]
  5. Gao, T.; Yang, J.; Jia, L.; Deng, Y.; Zhang, W.; Zhang, Z. Design of new energy-efficient permanent magnetic maglev vehicle levitation system. IEEE Access 2019, 7, 135917–135932. [Google Scholar] [CrossRef]
  6. Yang, J.; Gao, T.; Deng, Y.; Yang, B. Study and design on suspended permanent maglev rail transit system. J. China Railw. Soc. 2020, 42, 30–37. [Google Scholar]
  7. Halbach, K. Design of permanent multipole magnets with oriented rare earth cobalt material. Uclear Instrum. Methods 1980, 169, 1–10. [Google Scholar] [CrossRef]
  8. Zhang, J.; Zeng, Y.; Cheng, J.; Tang, X. Optimizationof permanent magnet guideway for HTS maglev vehicle withnumerical methods. IEEE Trans. Appl. Super Conduct. 2008, 18, 1681–1686. [Google Scholar] [CrossRef]
  9. Ikeda, M.; Wongsatanawarid, A.; Seki, H.; Murakami, M. Interaction of bulk superconductor with flywheel rings made ofmultiple permanent magnets. Physica C 2009, 469, 1270–1273. [Google Scholar] [CrossRef]
  10. Jiang, Y.; Deng, Y.; Zhu, P.; Yang, M.; Zhou, F. Optimization on Size of Halbach Array Permanent Magnets for Magnetic Levitation System for Permanent Magnet Maglev Train. IEEE Access 2021, 9, 44989–45000. [Google Scholar] [CrossRef]
  11. Zhou, F.; Yang, J.; Jia, L. Structure Size Optimization and Magnetic Circuit Design of Permanent Magnet Levitation System Based on Halbach Array. IEEE Access 2023, 11, 113244–113254. [Google Scholar] [CrossRef]
  12. Shi, M.; Su, B.; Kuang, H.; Gao, W.; Deng, Y.; Cao, K. Dynamic interaction analysis of a coupled system of permanent maglev train and flexible track beam. Int. J. Struct. Stab. Dyn. 2024, 17, 2650026. [Google Scholar] [CrossRef]
  13. Shi, M.; Su, B.; Zeng, J.; Gao, W.; Kuang, H.; Deng, F. Study on coupled vibration of maglev train-track girder based on relationship of permanent magnet and track. J. China Railw. Soc. 2025, 47, 203–213. [Google Scholar]
  14. Kuang, H.; Shi, M.; Zhan, P.; Wu, G.; Deng, Y.; Su, B. Vibration characterization of permanent magnet levitation vehicle system based on permanent magnetic track relationships. Int. J. Struct. Stab. Dyn. 2024, 25, 2250238. [Google Scholar] [CrossRef]
  15. Hu, L.; Wu, X.; Xiong, J.; Zhang, W.; Yang, J. Structural design and dynamic simulation analysis of new permanent magnet maglev vehicle. Railw. Stand. Des. 2025, 69, 1–11. [Google Scholar]
  16. Guo, Z.Y.; Yang, J. The DMC-PID control strategy of the lateral force control system of permanent magnetic levitation track. J. Railw. Sci. Eng. 2021, 18, 1373–1381. [Google Scholar]
  17. Liu, C.; Lai, S.K.; Ni, Y.Q.; Chen, L. Dynamic modelling and analysis of a physics-driven strategy for vibration control of railway vehicles. Veh. Syst. Dyn. 2024, 63, 1080–1110. [Google Scholar] [CrossRef]
  18. Wen, Y.; Xin, Y.; Hong, W.; Zhao, C.; Li, W. Comparative study between electromagnet and permanent magnet rails for HTS maglev. Supercond. Sci. Technol. 2020, 33, 035011. [Google Scholar] [CrossRef]
  19. Deng, Z.G.; Wang, J.S.; Zheng, J.; Jing, H.; Lu, Y.; Ma, G.; Liu, L.; Liu, W.; Zhang, Y.; Wang, S. High-efficiency and low-cost permanent magnet guideway consideration forhigh-Tc superconducting Maglev vehicle practical application. Supercond. Sci. Technol. 2008, 21, 115018. [Google Scholar] [CrossRef]
  20. Hoburg, J.F. Modeling maglev passenger compartment static magnetic fields from linear Halbach permanent-magnet arrays. IEEE Trans. Magn. 2004, 40, 59–64. [Google Scholar] [CrossRef]
  21. Insinga, A.R.; Bahl, C.R.H.; Bjørk, R.; Smith, A. Performance of Halbach magnet arrays with finite coercivity. J. Magn. Magn. Mater. 2016, 407, 369–376. [Google Scholar] [CrossRef]
  22. Sun, R.; Zheng, J.; Zheng, B.; Qian, N.; Li, J.; Deng, Z. New magnetic rails with double-layer Halbach structure by employing NdFeB and ferrite magnets for HTS maglev. J. Magn. Magn. Mater. 2018, 445, 44–48. [Google Scholar] [CrossRef]
  23. Sun, R.; Zheng, J.; Li, H.; Xiang, S.; Jiang, W. Halbach structure parameter optimization by Maxwell tensor method for PML in manned hybrid maglev. J. Magn. Magn. Mater. 2024, 610, 172566. [Google Scholar] [CrossRef]
  24. Zhang, Y.; Hu, J.; Hua, M.; Ma, W. Dynamics Analysis of Medium-and Low-Speed Maglev Vehicle with Small Capacity Using a New Levitation Frame. Railw. Stand. Des. 2024, 68, 196–202+210. [Google Scholar]
  25. Zhang, M.; Yang, X.; Zhang, L.; Li, M.; Liu, L. Dynamic Characteristics and Performance Assessment ofImproved levitation Frame System. J. Southwest Jiaotong Univ. 2023, 58, 827–835. [Google Scholar]
  26. Zhao, C.; Liu, H.; Feng, Y.; Luo, S.; Song, X. Magnetic Force Characteristics Between On-Board Permanent Magnetand Permanent Magnetic Rail Considering Five Pose Parameters. J. Southwest Jiaotong Univ. 2024, 59, 804–811. [Google Scholar]
  27. Liu, J.L.; Liu, L.; Ma, X.Y.; Fu, Q. Spatial Variability of Soil Salt in DifferentSoil Layers at Different Scales. J. Basic Sci. Eng. 2018, 26, 305–312. [Google Scholar]
  28. Zhang, Q.; Zhang, H.; Wang, L. Influence of characteristics of geotechnical parameter random field on slope stability. Structures 2025, 81, 110445. [Google Scholar] [CrossRef]
  29. Li, D.; Huang, J.; Cao, Q.; Zhang, Z. Global optimization of medium low-speed maglev train-bridge dynamic system based on multi-objective evolutionary algorithm. Int. J. Struct. Stab. Dyn. 2024, 24, 2450049. [Google Scholar] [CrossRef]
  30. Li, M.; Luo, S.; Ma, W.; Li, T.; Gao, D.; Xu, Z. Experimental and numerical investigations of the dynamic responses of low and medium speed maglev train-track-bridge coupled system. Veh. Syst. Dyn. 2022, 60, 1555–1578. [Google Scholar] [CrossRef]
Figure 1. Xingguo permanent magnet levitation (PML) test line.
Figure 1. Xingguo permanent magnet levitation (PML) test line.
Machines 13 01057 g001
Figure 2. Schematic diagram of Halbach array levitation: (a) Halbach array model; (b) cross-sectional structure of PML; (c) Magnetic Wheelset.
Figure 2. Schematic diagram of Halbach array levitation: (a) Halbach array model; (b) cross-sectional structure of PML; (c) Magnetic Wheelset.
Machines 13 01057 g002
Figure 3. Finite element model of the magnetic track.
Figure 3. Finite element model of the magnetic track.
Machines 13 01057 g003
Figure 4. A 1:1 scale levitation test performance platform.
Figure 4. A 1:1 scale levitation test performance platform.
Machines 13 01057 g004
Figure 5. Comparison of simulation and experimental results. (a) Trend of buoyancy force with variation in levitation gap under no lateral displacement; (b) Trend of lateral force with variation in lateral displacement at a levitation gap of 15 mm; (c) Trend of buoyancy force with variation in lateral displacement at a levitation gap of 15 mm.
Figure 5. Comparison of simulation and experimental results. (a) Trend of buoyancy force with variation in levitation gap under no lateral displacement; (b) Trend of lateral force with variation in lateral displacement at a levitation gap of 15 mm; (c) Trend of buoyancy force with variation in lateral displacement at a levitation gap of 15 mm.
Machines 13 01057 g005
Figure 6. Different mounting types of the Magnetic Wheelset.
Figure 6. Different mounting types of the Magnetic Wheelset.
Machines 13 01057 g006
Figure 7. Force distribution on single points and Magnetic Wheelset under different mounting types. (a) Levitation force of Case 2-2; (b) Lateral force of Case 2-2; (c) Levitation force of Case 3-2; (d) Lateral force of Case 3-2; (e) Levitation force of Case 4-2; (f) Lateral force of Case 4-2; (g) Levitation force of Case 5-2; (h) Lateral force of Case 5-2.
Figure 7. Force distribution on single points and Magnetic Wheelset under different mounting types. (a) Levitation force of Case 2-2; (b) Lateral force of Case 2-2; (c) Levitation force of Case 3-2; (d) Lateral force of Case 3-2; (e) Levitation force of Case 4-2; (f) Lateral force of Case 4-2; (g) Levitation force of Case 5-2; (h) Lateral force of Case 5-2.
Machines 13 01057 g007
Figure 8. Force characteristics of the Magnetic Wheelset (levitation height: 15 mm). (a) Levitation force; (b) Lateral force.
Figure 8. Force characteristics of the Magnetic Wheelset (levitation height: 15 mm). (a) Levitation force; (b) Lateral force.
Machines 13 01057 g008
Figure 9. Mean values of levitation and lateral forces for different cases.
Figure 9. Mean values of levitation and lateral forces for different cases.
Machines 13 01057 g009
Figure 10. Vehicle–track coupled dynamic model of the permanent magnet levitation system.
Figure 10. Vehicle–track coupled dynamic model of the permanent magnet levitation system.
Machines 13 01057 g010
Figure 11. RMS values of bogie vibration: (a) vertical vibration acceleration RMS value of the bogie; (b) lateral vibration acceleration RMS value of the bogie.
Figure 11. RMS values of bogie vibration: (a) vertical vibration acceleration RMS value of the bogie; (b) lateral vibration acceleration RMS value of the bogie.
Machines 13 01057 g011
Figure 12. Vehicle ride comfort at different speeds: (a) vertical; (b) lateral.
Figure 12. Vehicle ride comfort at different speeds: (a) vertical; (b) lateral.
Machines 13 01057 g012
Figure 13. Vibration acceleration of the track beam: (a) vertical; (b) lateral.
Figure 13. Vibration acceleration of the track beam: (a) vertical; (b) lateral.
Machines 13 01057 g013
Table 1. Magnetic material parameters of NdFeB N45 and N52M.
Table 1. Magnetic material parameters of NdFeB N45 and N52M.
Material ParametersN45N52M
Residual magnetic induction intensity/T1.321.48
Coercive force/(kA·m−1)8901114
Magnetization/(kA·m−1)978.81178
Table 2. Different mounting types.
Table 2. Different mounting types.
Mounting TypeLevitation Height Range (mm)Lateral Offset Range (mm)
Mounting CategoryVariable Parameter5~30−15~15
Case 1/
Case 25°/10°/15°/20°/25°/30°
Case 34/8/12/16/20/24
Case 42.5°/5°/7.5°/10°/12.5°/15°
Case 52.5°/5°/7.5°/10°/12.5°/15°
Table 3. Coefficients of variation for different cases.
Table 3. Coefficients of variation for different cases.
CaseLevitation Force
(CV)
Lateral Force
(CV)
Satisfies Screening Criterion (Equation (8))
case10.3840.754/
case2-10.3840.747Yes
case2-20.3830.750Yes
case2-30.3810.754Yes
case2-40.3800.754Yes
case2-50.3780.754Yes
case2-60.3760.756No
case3-10.3850.745No
case3-20.3830.748Yes
case3-30.3830.748Yes
case3-40.3790.759No
case3-50.3790.763No
case3-60.3780.778No
case4-10.3890.747No
case4-20.3870.749No
case4-30.3860.750No
case4-40.3840.743Yes
case4-50.3800.753Yes
case4-60.3750.753Yes
case5-10.3860.747No
case5-20.3920.745No
case5-30.3860.748No
case5-40.3890.752No
case5-50.3840.759No
case5-60.3910.768No
Disclaimer/Publisher’s Note: The statements, opinions and data contained in all publications are solely those of the individual author(s) and contributor(s) and not of MDPI and/or the editor(s). MDPI and/or the editor(s) disclaim responsibility for any injury to people or property resulting from any ideas, methods, instructions or products referred to in the content.

Share and Cite

MDPI and ACS Style

Zhan, P.; Luo, H.; Liao, C.; Wang, L.; Yang, B. Optimization Analysis of the Dynamic Performance of Permanent Magnet Levitation Vehicles Based on Magnetic Wheelset. Machines 2025, 13, 1057. https://doi.org/10.3390/machines13111057

AMA Style

Zhan P, Luo H, Liao C, Wang L, Yang B. Optimization Analysis of the Dynamic Performance of Permanent Magnet Levitation Vehicles Based on Magnetic Wheelset. Machines. 2025; 13(11):1057. https://doi.org/10.3390/machines13111057

Chicago/Turabian Style

Zhan, Pengfei, Hongping Luo, Chuanjin Liao, Linjie Wang, and Bin Yang. 2025. "Optimization Analysis of the Dynamic Performance of Permanent Magnet Levitation Vehicles Based on Magnetic Wheelset" Machines 13, no. 11: 1057. https://doi.org/10.3390/machines13111057

APA Style

Zhan, P., Luo, H., Liao, C., Wang, L., & Yang, B. (2025). Optimization Analysis of the Dynamic Performance of Permanent Magnet Levitation Vehicles Based on Magnetic Wheelset. Machines, 13(11), 1057. https://doi.org/10.3390/machines13111057

Note that from the first issue of 2016, this journal uses article numbers instead of page numbers. See further details here.

Article Metrics

Back to TopTop