Abstract
In the context of the integration of hybrid energy storage systems (HESSs) and electric vehicles (EVs), this paper investigates the load frequency control (LFC) issue of the power system. Weighting coefficients are set for the generators, HESSs and EVs, respectively, to show their different abilities to regulate the power system. A fuzzy logic-based sliding mode control approach is designed to ensure the stable performance of the LFC power system integrated with HESSs and EVs. The improvement of the proposed method is the application of the linear matrix inequality (LMI) toolbox in fuzzy controller design, which solves the limitations and uncertainties caused by trial-error or experience in common fuzzy controllers. There is no general form for the membership function of the fuzzy control. This paper presents a design approach for the membership function based on the calculation results of LMI. Simulations are tested on an IEEE 39-bus system integrated with HESSs and EVs. The simulation results prove that the proposed method reduces the time required for the power system frequency to reach stability by approximately , demonstrating the superiority and usability of the proposed approach.
1. Introduction
Load frequency control (LFC) has been widely considered in multi-area power systems to balance the load demand and generation [1,2,3]. By changing the power generation of the grid, the system frequency can be maintained within a predetermined range. With the increasing concern about environmental issues, electric vehicles (EVs) are being widely adopted due to their zero-emission characteristics [4,5,6]. However, the emergence of a large numbers of EVs has changed the load distribution. The uncertainty of the discharging or charging behavior of EVs leads to the phenomenon of mismatch in the power system [7]. To support the normal operation of the power system integrating EVs, the LFC strategy has been widely applied [8]. Notably, EVs can be utilized with vehicle-to-grid (V2G) equipment to promote the working ability of LFC power systems in facing the complex environment, as the power output response characteristics of EVs are faster than those of conventional generators [9]. To enable EVs to participate in the LFC regulation of power systems, V2G techniques are usually used to update the joining of EVs in the discharging and charging states of the power grid. However, the limited ability and controllable behavior of individual EVs to participate requires the aggregation of regional or urban V2G EVs through communication networks to participate in the LFC power system [10]. To derive the frequency of interconnected microgrids in a stable state, a leader-follower configuration strategy was proposed to optimize the participation situation of EVs in [11]. Considering that the performance of LFC power systems may be affected by communication delays in the process of aggregating EVs, the authors in [12] investigated the stable issue of time-varying delayed power systems with EV aggregators. To ensure that each EV has sufficient SOC capacity to complete the mobility, the authors in [13] proposed an optimal dispatching strategy for the EV aggregator. The use of the aggregator demonstrated the connections among EVs, and there was no need to pay attention to the discharging or charging behavior of individual EVs while they were participating in the LFC power system.
The stability of the power system is well known to be impacted by the disorderly charging or discharging behavior of EVs. Moreover, the high-level integration of intermittent renewable energy into modern power systems has led to severe frequency fluctuations in the power grid. Researchers have found that hybrid energy storage systems (HESSs) provide a promising fast-frequency control capability for power systems [14]. Due to the fast active power compensation capability, HESSs have been widely integrated into modern power systems. This means that HESS can promote the LFC performance by discharging and charging. Due to the above advantages, HESSs have received much attention in the operation of power systems in recent years. A HESS is an energy storage hub that combines battery energy storage (BESS) technology with other energy storage equipment to provide a more regulated system. Some common energy storage devices, like superconducting magnetic energy storage, supercapacitor energy storage, and flywheel energy storage, can be combined with BESS to improve the operational capability of energy storage systems [15]. In [16], a unique topology structure was proposed to reflect the positive improvement of the HESSs in the LFC power system. To deal with the uncertainties caused by renewable energy, a proportional-fractional-based controller was designed for the LFC renewable power system with the support of a HESS in [17]. In [18], an adaptive sliding mode LFC strategy was investigated to promote the stable performance of a wind-diesel hybrid microgrid with HESSs. Unlike the uncertain participation capacity of EVs, the output and input power of HESSs are fixed at the time of construction. In order to ensure that HESSs are able to take part in the LFC power system, they are required to consider the different states related to the frequency response of the SOC of the HESSs and the power system. For convenience, a HESS is considered to have sufficient power to demonstrate its full ability to participate in the LFC power system.
The interconnection of EVs, HESSs, and the power grid has changed the traditional structure of the power system. Meanwhile, the solutions available to solve the LFC issue have also been expanded. In order to reasonably adjust the participation of different generation units, it is necessary to combine strong control strategies in LFC to improve the working capability of the power system. Sliding mode control (SMC) has been applied to tackle the disturbances or uncertainties [19]. As a robust control strategy, SMC has been widely used to solve the LFC problem in power systems. In order to improve the control performance of SMC, the related literature focuses on the design and improvement of the structure of the sliding surface. To deal with the parameter uncertainty issue, a second-order sliding mode load frequency control (SMLFC) approach was proposed for a multi-area steam-hydropower system in [20]. In [21], a fractional-order sliding mode controller was designed for time-delayed power systems to improve the stable performance of the power system. In addition, a related study proved that the utilization of fuzzy logic in a sliding mode controller reached a better performance [22]. In [23], a fuzzy adaptive SMC was proposed to ensure stable performance, in which the sliding surface was designed with a nonlinear integral term by introducing a potential-like function. In [24], a sliding mode controller was designed for a type-2 T-S fuzzy system to solve the communication issue. In [25], a fuzzy output SMLFC method was proposed for power systems under cyber-attack.
This paper proposes the fuzzy SMC approach for a multi-area power system. Like other control methods, appropriate fuzzy controller gain helps the system to achieve better control performance. There exists an issue of how to choose the fuzzy controller gain to derive the power system in a stable state. In related literature, the controller gain was designed by experience or via trial and error [23]. However, experience or trial and error is not very beginner friendly and does not always ensure excellent control performance. In [25], the initial fuzzy controller gain was calculated using a LMI toolbox, then modified by fuzzy rules. Inspired by [25], the fuzzy gain in this paper was obtained by calculating the linear matrix inequalities (LMIs). The result proves that the LMI-based method is suitable for different LMIs and can be applied to other fuzzy control approaches. In addition, there is another issue with fuzzy control, which is the structure of fuzzy membership functions. The member function is crucial, as it determines the trajectory of the gain variation in the fuzzy controller. In [24], the controller’s membership functions were designed by combining the available system state. In [25], the fuzzy control membership functions were constructed by using a fuzzy controller gain that was computed by an LMI toolbox. In [25], the coordinate axis of the membership function was designed in a symmetrical form, which simplifies the process of membership function design in fuzzy controllers.
The main contributions are summarized as follows.
- 1.
- A fuzzy SMC strategy is investigated to ensure the stability performance of the power system integrated with HESSs and EVs. The combination of fuzzy logic and SMC obtains a better control performance than regular SMC [26].
- 2.
- The fuzzy controller gain calculated by LMIs ensures the stability of the power system. The fuzzy controller gain determined by LMIs avoids the uncertainty caused by experience or trial and error [23].
- 3.
- A design scheme for membership functions is being explored to further improve the performance of the FSMLFC. Compared with the fuzzy controller in [25], the proposed design method simplifies the design rules.
2. Model Description
This paper investigates the LFC issue for a multi-area power system with HESSs and EVs, as presented in Figure 1. To handle the LFC problem, the generator, HESSs, and EVs jointly participate in the power system. To enable the HESSs to participate in LFC power system, it is supposed that the HESSs have sufficient capacity. Due to the different adjustment capabilities provided by traditional generators, HESSs, and EVs, the weights have been set as , , and , satisfying . The existence of weight coefficients represent the regulation ability of generators, HESSs, and EVs in LFC. represents the ability of EVs aggregated within the region to participate in LFC relative to the generator. The value of is influenced by the number of EVs in the region, the willingness of EVs owners to participate in LFC, etc. [8]. means that the multi-area power system provides electrical power only by the generator. The participation of HESSs can smooth out fluctuations and enhance the operational capability of the LFC power system. Compared to generators and EVs, HESSs should be given priority consideration in LFC. Therefore, the weight is set to .
Figure 1.
The i-th area power system model with HESSs and EVs.
2.1. HESSs Model
Inspired by related work in [15,27], a simplified HESSs model is built for the LFC power system. Additionally, the HESSs model mainly consists of a BESS and super-capacitor. The exchanged power between the HESSs and the power system is given as follows:
wherein denotes the exchanged power of the BESS, and is the exchanged power of the super-capacitor.
The dynamic performance of the super-capacitor can be described as follows:
where and are time constant and super-capacitor gain, respectively. Notably, the working form of super-capacitor gain is assumed to be the same as BESS gain and will be given later.
Assuming that the charging power of the BESS is the same as the discharging power, the dynamics of the exchanged power between the BESS and the power system are given as follows:
where represents the time constant, and is defined as the control signal received from the control center. is the HESS controller gain, which is designed in the following form to describe the charging and discharging status:
Here, and are the discharging/charging controller gain, and and are the desired power rates in discharging mode and charging mode, respectively. and are the positive and negative thresholds of , respectively, and and are the positive and negative dead zone thresholds of , respectively.
Figure 2 shows the characteristics of BESS power exchange with .
Figure 2.
Power exchange of BESS with .
As can be seen in Figure 2, the charging and discharging power of the BESS needs to operate within a limited range. As the frequency deviation increases, the output/input power of the BESS gradually increases until the maximum power and . During this process, it is assumed that the input/output power of the BESS have a linear relationship with the frequency variation. Afterwards, even if the system frequency deviation continues to increase, the power and remains unchanged. There are several situations where the BESS is not working, including the following cases: the BESS has reached its maximum storage state and will no longer perform charging actions; the BESS does not have enough capacity to output electrical energy and will no longer perform discharge actions. Due to the small frequency deviation of the system, it cannot induce a response from BESS, which is in the dead zone.
Then, the relationship between the HESSs and state of charge (SOC) are explained in the following. Traditionally, SOC can be used to analyze the working performance of the HESS. Using the Coulomb counting method, one has the following:
where represents the initial SOC value, is defined as the capacity of the HESS, and is the output current. The power output of the HESS is as follows:
For convenience of discussion, the output voltage of the energy storage equipment can be assumed to remain constant for a large range of SOC values. Then, Equation (5) is transformed as follows:
For the system model in Figure 1, the power system frequency can be adjusted by changing the discharging and charging state of the energy storage equipment. To realize this, the main issue is to confirm the situation of charging or discharging. The i-th area power system frequency deviation is applied to determine the situation of charging or discharging, where is the reference frequency and is the system frequency. Hence,
The total active power generated by the generator in the power system is balanced with the total active power consumed by the load, and the system frequency can be maintained at the reference value. The change in system frequency directly reflects the balance of active power. When the system frequency increases, it leads to when the power generation is in surplus. When the system frequency decreases, it leads to when the power generation is less than the load demand.
For a normally operated power system, the system frequency fluctuates within a tolerable range. Therefore, combined with (4), the HESSs are predictably working in the following cases:
- For , the HESSs are discharging, and .
- For , the HESSs are disconnected, and . Note that is the dead zone with tolerable frequency deviation.
- For , the HESSs are charging, and .
2.2. EV Model
The participation ability of a single EV is limited, and the willingness to participate is unknown. To realize the successful V2G of EVs to the LFC power system, it is necessary to aggregate V2G EVs within a region or city through a communication network. By aggregating EVs, there is no need to focus on the status of every EV’s willingness, charging and discharging status, etc.
To describe the participation of the EVs, the dynamic model of the EVs is given as follows:
wherein denotes the deviation of the EV output power, is the EV gain, and denotes a time constant.
This assuming that the output power of the EVs is the same as the charging power. The output power deviation stands for the charging/discharging power of the EVs at time t.
2.3. Simplified Power System Model
Base on the above discussion, the dynamic equation of the system model in Figure 1 is given as follows:
Table 1.
Definition of notations.
Thus, by combining (3), (9) and (10), the state space function of the power system with HESSs and EVs is represented as follows:
wherein , , denotes the system disturbance and satisfies , with a constant parameter .
And, we have the following definitions:
3. Main Results
For a multi-area power system with HESSs and EVs, a FSMLFC strategy is proposed to ensure the normal operation of the system. The utilization of fuzzy logic in SMC promotes controller performance such that the power system reaches stability earlier. The stability conditions for the power system are derived based on Lyapunov theory. The membership functions of the fuzzy controller are designed using LMI technology.
3.1. Fuzzy Sliding Mode Controller Design
A fuzzy logic–based sliding surface scheme is design as follows:
where fuzzy gain is defined as , the fuzzy rules satisfy , , and should be selected to guarantee that is nonsingular.
The changing rules of fuzzy gain obey the fuzzy sets as shown in Table 2. The fuzzy rules are designed by observing the system status and its derivative.
Table 2.
Fuzzy rules for and .
On the basis of the fuzzy rules, the IF-THEN plant can be given as follows:
- is NB and is NB, is NB.
Thus, the fuzzy form of Equation (12) can be presented as follows.
- Rule 1: is ,
- Rule m: is ,
Based on sliding mode control theory, there exists for a proper sliding surface. The derivative form of (12) is as follows:
Combining with system model (11), a generic FSMLFC system function is formulated as follows:
- Rule 1: fuzzy gain is ,
- Rule j: fuzzy gain is ,
In fuzzy control, the initial controller gain is defined as . In most cases, is given or chosen by trial and error or experience. It should be noted that is applied to determine the control parameters to be adjusted by fuzzy logic. However, fuzzy control gain obtained via trial and error or experience cannot guarantee excellent control performance. The selected initial controller gain may not ensure stable performance of the system and must be adjusted by fuzzy logic to bring the system to stability. Unfortunately, this process may take a long time and consume significant computational resources. To solve the problem of selecting the initial controller gain, an LMI-based method is investigated below.
3.2. Stability Analysis
Considering the FSMLFC power system with HESSs and EVs (18), the conditions that ensure the stable performance of the power system are derived in this part.
Theorem 1.
For positive scalars γ and h, the power system with HESSs and EVs (18) is stabile if there exists matrices , , , , , and matrix with appreciate dimensions, such that the following inequalities hold:
Proof of Theorem 1.
Choosing the Lyapunov function as
wherein
Then, we can derive as follows:
Combined with the power system (18), is given as follows:
Focusing on , we have the following:
Additionally, we can derive the following:
Thus, becomes the following:
Considering and introducing the attenuation level , we have the following:
We define the following:
Under zero initial condition, the following can be obtained
exists if . Thus, it can be concluded that the FSMLFC power system (18) is ensured to be stabilized. The proof is completed. □
Theorem 1 provides the stable conditions for a power system with HESSs and EVs under the FSMLFC scheme. In a related fuzzy control method, the initial controller gain is obtained via trial and error or experience. However, such ways cannot ensure the control performance. On the basis of Theorem 1, Theorem 2 is derived to calculate . According to LMI theory, the calculated fuzzy gain in Theorem 2 guarantees the stability of the system (18). To calculate the initial fuzzy gain, the power model (17) is considered in Theorem 2.
3.3. LMI-Based Fuzzy Controller Gains
Theorem 2.
For positive scalars γ and h, the fuzzy controlled power system with HESSs and EVs (17) is ensured to be in the stable state if there exist matrices , , , , , and appreciate dimensions matrix , such that
Therefore, the initial fuzzy controller gain can be calculated as .
Proof of Theorem 2.
We define before and after multiplying both sides of (29) with . Furthermore, we define , , , , and . The initial fuzzy controller gain can be calculated using the MATLAB R2019b LMI toolbox. The proof is completed. □
Theorem 2 helps us to establish a solvable LMI. Then, we can use the LMI toolbox to calculate feasible solutions that can make the system stable. Through LMI theory, it can be known that the calculated gain matrix ensures the stable state of the system. However, a shortcoming of the MATLAB LMI toolbox is that when a feasible solution is found that ensures the system will be stabilized, the calculation will be stopped. In fuzzy control theory, the controller gain can be adjusted using fuzzy logic to achieve excellent control performance. Therefore, combining fuzzy logic and LMI enhances the control performance.
Different from trial and error or experience, an LMI-based method is investigated to obtained the initial fuzzy controller gain . The system state is defined as . Then, the calculated initial fuzzy controller gain can be expressed as . Using the MATLAB LMI toolbox, each of the terms in can be easily calculated.
Membership functions are used to determine the nature of changes in the fuzzy controller parameters. For positive , , and values, there are , . Based on , Figure 3 shows how to design the membership functions.
Figure 3.
Design of membership functions.
Theorem 3.
The power system integrated with HESSs and EVs (18) guarantees the predefined sliding surface within a limited time if the SMC law is designed as follows:
where is the sign function and .
Proof.
We choose the following Lyapunov function:
Then, can be formulated as follows:
Therefore, the power system reaching condition is guaranteed by the designed control law. The proof is completed. □
4. Simulation Analysis
An IEEE 10-generator 39-bus system is considered to test the usability of the proposed method. The system parameters are the same as in [28]. The HESS parameters are similar to those in [15]. In each sub-area, there are generators, an HESS, and EVs. The HESS and EVs are in a different bus, only affecting the load changes of the nodes. Our focus is mainly on the changes in load and frequency of sub-areas composed of multiple nodes. The difference in the HESS and EVs in different positions will eventually be integrated into sub-areas. Thus, the placement of the HESS and EVs in different nodes will not affect the entire sub-area. The HESSs are allowed to work in 10∼90%. The initial SOCs are set to , , and , respectively.
The initial fuzzy controller gain can be calculated using Theorem 2, given as follows:
Example 1.
A three-area interconnected power system integrated with HESSs and EVs is constructed to test the effectiveness of the proposed scheme in realizing the participation of HESSs, EVs, and the generator in LFC.
The assignments of a three-area power system can be seen in Figure 4. To reflect the effectiveness of FSMLFC, system dynamic performance is represented by , and .
Figure 4.
Three-area interconnected IEEE 10-generator 39-bus system.
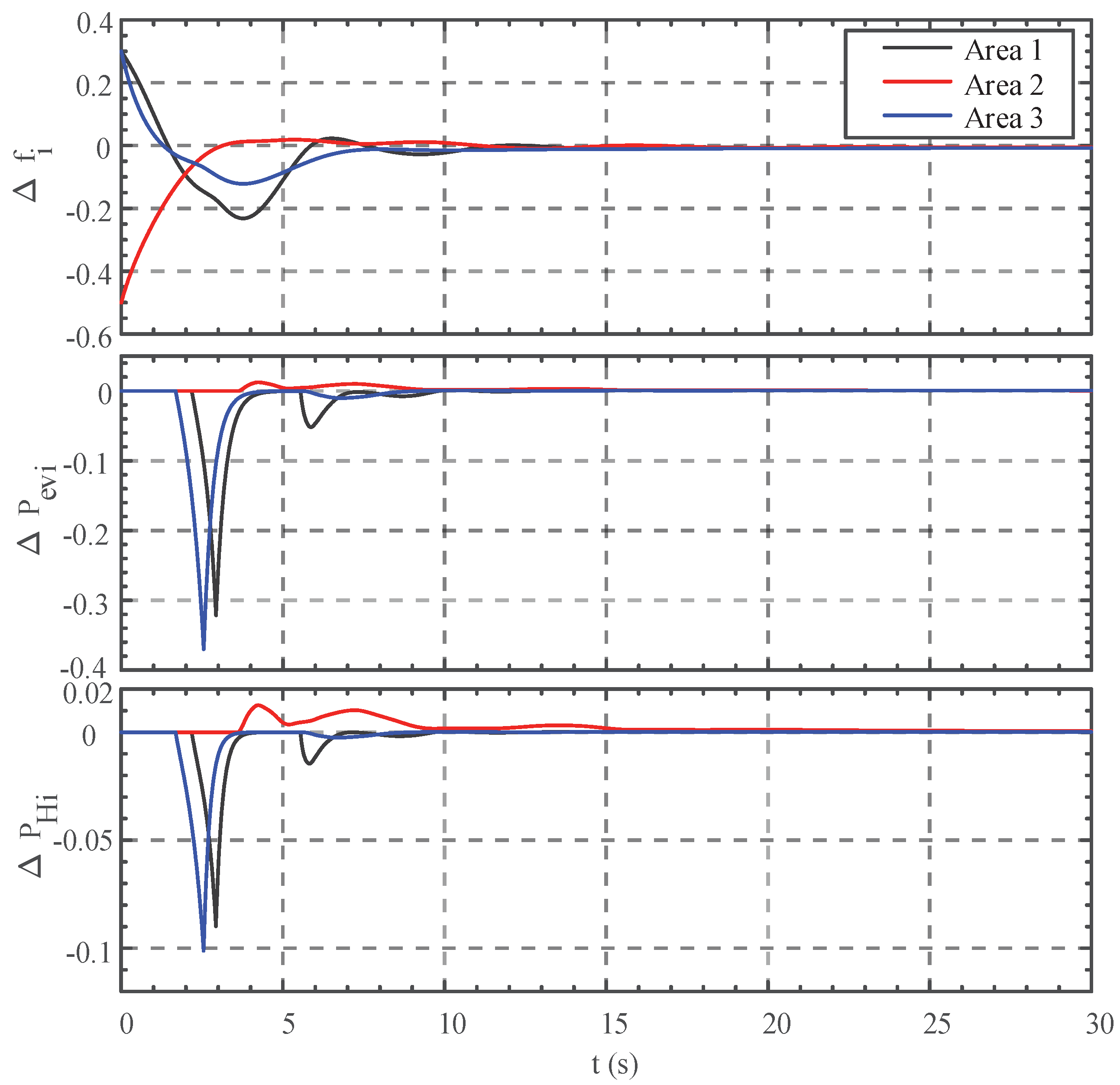
The state reaction of the three-area interconnected power system under FSMLFC is shown in Figure 5. The result in Figure 5 shows that , , and reach zero at about s, s, and s, respectively. The simulation results reveal the working situations of HESSs and EVs jointly in the system. Under the proposed scheme, the power generator, HESSs, and EVs jointly participate in realizing the balance between power generation and load demand, achieving LFC of the power system. Thus, the simulation results prove the effectiveness of the FSMLFC strategy.
Figure 5.
State response of three-area interconnected power system.
Example 2.
To reflect the superiority of the FSMLFC, simulations are tested between different control schemes.
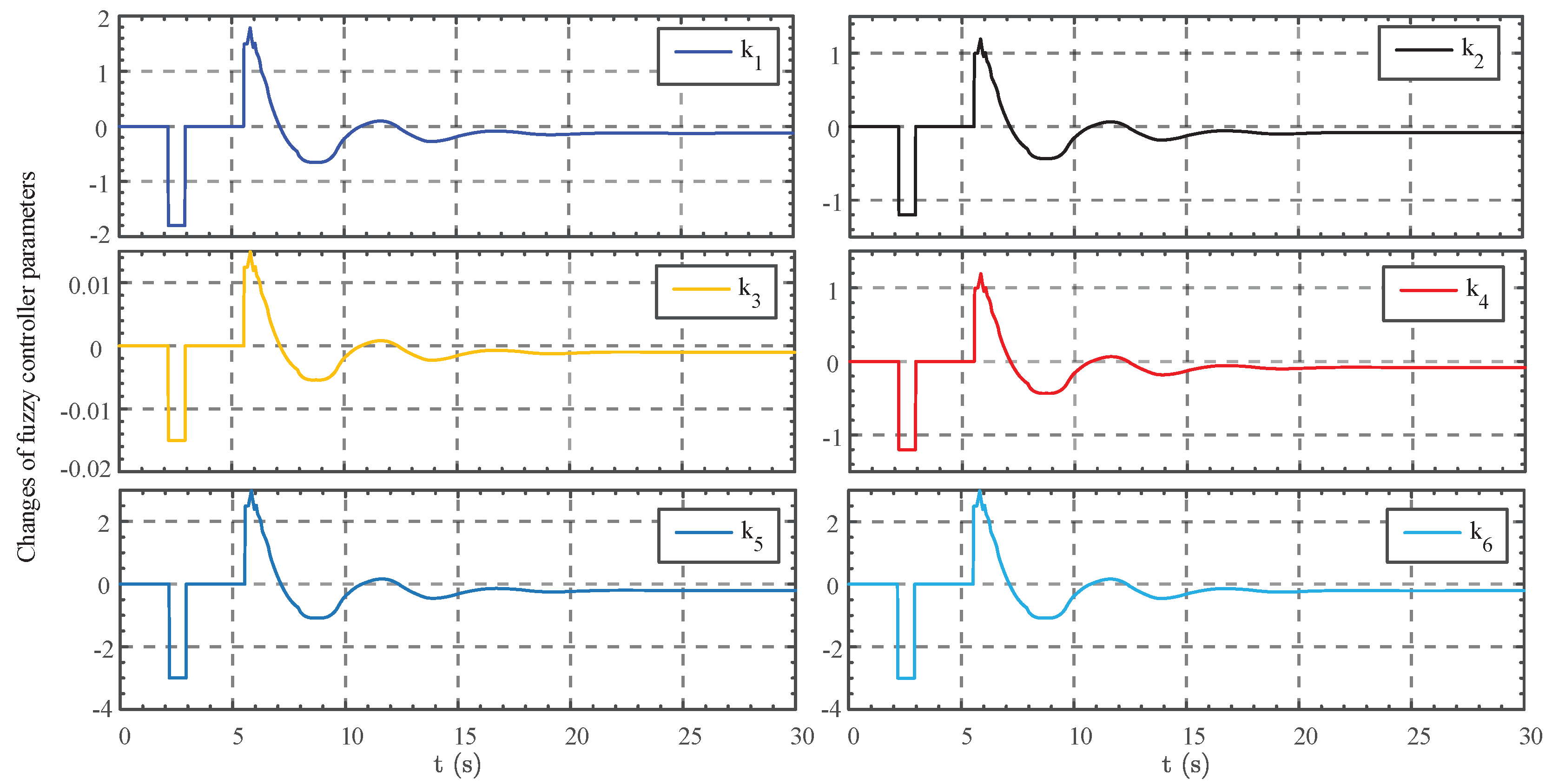
A FSMLFC strategy is investigated for a power system integrated with HESSs and EVs. By using LMI theory, the initial fuzzy gain can be calculated. Additionally, a design method for the fuzzy membership function is proposed by using . For area-1 in Figure 4, the initial fuzzy gain is calculated as . In the above definition, we have . Based on the obtained controller gain parameters, the fuzzy rules are applied to modify them. Due to the different parameters of each term in the fuzzy controller gain matrix, the optimization methods of fuzzy logic are also different. Therefore, each parameter has its own membership function in fuzzy logic. Meanwhile, to ensure that the fuzzy logic can smoothly adjust the parameters, we set the parameters within the range of the coordinate axis. Then, the membership function for fuzzy controller can be found in Figure 6.
Figure 6.
Membership functions for fuzzy controller.
Noticing the initial fuzzy gain and membership functions in Figure 6, the changes in FSLMFC gain can be viewed in Figure 7. As the system state changes, the fuzzy controller gain also changes dynamically. As shown in Figure 7, the controller gain parameters remain unchanged at about s, which means that the system trajectory becomes stable. The simulation results identify the usability of the proposed membership designed method for the fuzzy controller.
Figure 7.
Changes in fuzzy controller gain.
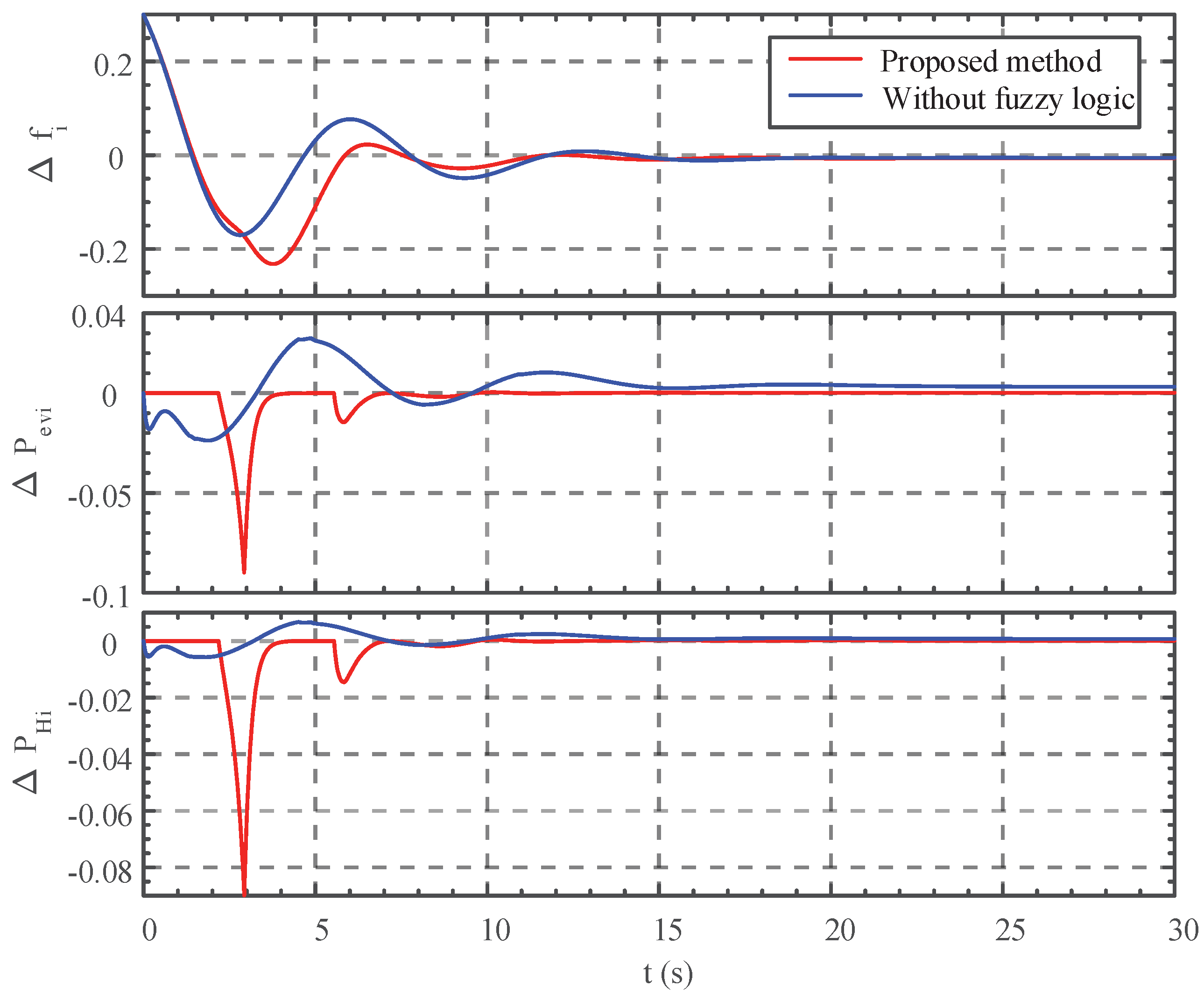
The comparison is tested between the proposed FSMLFC and SMLFC without fuzzy logic [26]. For the SMLFC approach, the controller gain can be calculated using LMI and equals the initial fuzzy gain . The simulation results can be seen in Figure 8. According to the result in Figure 8, both methods can drive the power system to stability. However, the system status under the proposed method reaches stability earlier than SMLFC without fuzzy logic. The proposed FSMLFC drives the power system frequency, the EV output power, and the exchanged power of the HESS to stability at about s, s, and s, respectively. In addition, the power system frequency, the EV output power, and the exchanged power of the HESS using the SMLFC method reach stability at about s, s, and s, respectively. The time required for system frequency stability is reduced by approximately . The time required for the exchanged power of EVs and HESSs is reduced by about and , respectively. The simulation results evidence the superiority of FSMLFC and the improvement effect of fuzzy logic in the controller.
Figure 8.
Comparison between different methods.
5. Conclusions
The LFC problem was investigated for power systems integrated with HESSs and EVs. Weight coefficients were set for generators, HESSs, and EVs to represent the different regulation capabilities. A FSMLFC strategy was proposed to drive the power system integrated with HESSs and EVs to stability. An LMI-based scheme was investigated to calculate the initial fuzzy controller gain, which overcomes the uncertainty caused by trial and error and experience. Then, a membership function design method was discussed to determine the range of membership function coordinates to improve FSMLFC performance. The effectiveness and superiority of FSMLFC in ensuring the stable operation of power systems integrated with HESSs and EVs was proven through an IEEE 39-bus system. The simulation results showed that the time required for system frequency stability was reduced by approximately . The time required for the exchanged power of EVs and HESSs was reduced by about and , respectively.
Author Contributions
Conceptualization and methodology, Y.X.; validation and formal analysis, P.L.; investigation and data curation, D.Z.; writing—original draft preparation, Y.X.; writing—review and editing, P.L. and Z.L. All authors have read and agreed to the published version of the manuscript.
Funding
This work was supported by the Technology Project of the State Grid Zhejiang Electric Power Co., Ltd. (No. 5211NB240006).
Data Availability Statement
The original contributions presented in this study are included in the article. Further inquiries can be directed to the corresponding authors.
Conflicts of Interest
Author Yuzhe Xie was employed by the company Ningbo Power Supply Company, State Grid Zhejiang Electric Power Co., Ltd. The remaining authors declare that the research was conducted in the absence of any commercial or financial relationships that could be construed as a potential conflict of interest.
References
- Deng, Z.; Xu, C.; Huo, Z.; Han, X.; Xue, F. Sliding mode based load frequency control and power smoothing of power systems with wind and BESS penetration. Machines 2022, 10, 1225. [Google Scholar] [CrossRef]
- Hu, Z.; Zhang, K.; Su, R.; Wang, R.; Li, Y. Robust cooperative load frequency control for enhancing wind energy integration in multi-area power systems. IEEE Trans. Autom. Sci. Eng. 2024. early access. [Google Scholar] [CrossRef]
- Xia, J.; Guo, X.; Park, J.H.; Chen, G.; Xie, X. Predictor-based load frequency control for large-scale networked control power systems. IEEE Trans. Power Syst. 2024, 39, 6263–6276. [Google Scholar] [CrossRef]
- Liu, Z.; Xi, L.; Quan, Y.; Cheng, C.; Zhu, J. Brain-inspired Collaborative Automatic Generation Control with Large-scale Electric Vehicles Integration. IEEE Trans. Sustain. Energy 2024. early access. [Google Scholar] [CrossRef]
- Tahir, M.; Hu, S.; Khan, T.; Zhu, H. Multi-energy station design for future electric vehicles: A synergistic approach starting from scratch. Appl. Energy 2024, 372, 123765. [Google Scholar] [CrossRef]
- Simarro-Garcia, A.; Villena-Ruiz, R.; Honrubia-Escribano, A.; Gómez-Lázaro, E. Effect of penetration levels for vehicle-to-grid integration on a power distribution network. Machines 2023, 11, 416. [Google Scholar] [CrossRef]
- Shangguan, X.C.; Wei, C.G.; Zhang, C.K.; He, Y.; Jiang, L. Performance enhancing control of frequency for future power systems with strong uncertainties. IEEE Trans. Ind. Inform. 2024, 20, 12439–12449. [Google Scholar] [CrossRef]
- Qiao, S.; Liu, X.; Wang, Y.; Xiao, G.; Wang, P. H∞ load frequency control of power system integrated with EVs under DoS attacks: Non-fragile output sliding mode control approach. IEEE Trans. Intell. Transp. Syst. 2024, 25, 4565–4577. [Google Scholar] [CrossRef]
- Tripathi, S.; Singh, V.P.; Kishor, N.; Pandey, A.S. Load frequency control of power system considering electric vehicles’ aggregator with communication delay. Int. J. Electr. Power Energy Syst. 2023, 145, 108697. [Google Scholar] [CrossRef]
- Zheng, Y.; Wang, Y.; Yang, Q. Two-phase operation for coordinated charging of electric vehicles in a market environment: From electric vehicle aggregators’ perspective. Renew. Sustain. Energy Rev. 2023, 171, 113006. [Google Scholar] [CrossRef]
- Shayeghi, H.; Rahnama, A.; Mohajery, R.; Bizon, N.; Mazare, A.G.; Ionescu, L.M. Multi-area microgrid load-frequency control using combined fractional and integer order master–slave controller considering electric vehicle aggregator effects. Electronics 2022, 11, 3440. [Google Scholar] [CrossRef]
- Ko, K.S.; Sung, D.K. The effect of EV aggregators with time-varying delays on the stability of a load frequency control system. IEEE Trans. Power Syst. 2017, 33, 669–680. [Google Scholar] [CrossRef]
- Cai, S.; Matsuhashi, R. Optimal dispatching control of EV aggregators for load frequency control with high efficiency of EV utilization. Appl. Energy 2022, 319, 119233. [Google Scholar] [CrossRef]
- Zhu, F.; Zhou, X.; Zhang, Y.; Xu, D.; Fu, J. A load frequency control strategy based on disturbance reconstruction for multi-area interconnected power system with hybrid energy storage system. Energy Rep. 2021, 7, 8849–8857. [Google Scholar] [CrossRef]
- Saxena, A.; Shankar, R. Improved load frequency control considering dynamic demand regulated power system integrating renewable sources and hybrid energy storage system. Sustain. Energy Technol. Assess. 2022, 52, 102245. [Google Scholar] [CrossRef]
- Yan, W.; Sheng, L.; Xu, D.; Yang, W.; Liu, Q. H∞ robust load frequency control for multi-area interconnected power system with hybrid energy storage system. Appl. Sci. 2018, 8, 1748. [Google Scholar] [CrossRef]
- Khan, I.A.; Mokhlis, H.; Mansor, N.N.; Illias, H.A.; Daraz, A.; Ramasamy, A.K.; Marsadek, M.; Afzal, A.R. Load frequency control in power systems with high renewable energy penetration: A strategy employing PIλ (1+ PDF) controller, hybrid energy storage, and IPFC-FACTS. Alex. Eng. J. 2024, 106, 337–366. [Google Scholar] [CrossRef]
- Mi, Y.; Chen, B.; Cai, P.; He, X.; Liu, R.; Yang, X. Frequency control of a wind-diesel system based on hybrid energy storage. Prot. Control Mod. Power Syst. 2022, 7, 1–13. [Google Scholar] [CrossRef]
- Sami, I.; Ullah, S.; Ullah, S.; Bukhari, S.S.H.; Ahmed, N.; Salman, M.; Ro, J.S. A non-integer high-order sliding mode control of induction motor with machine learning-based speed observer. Machines 2023, 11, 584. [Google Scholar] [CrossRef]
- Van Huynh, V.; Tran, P.T.; Dong, C.S.T.; Hoang, B.D.; Kaynak, O. Sliding surface design for sliding mode load frequency control of multiarea multisource power system. IEEE Trans. Ind. Inform. 2024, 20, 7797–7809. [Google Scholar] [CrossRef]
- Yang, F.; Shen, Y.; Li, D.; Lin, S.; Muyeen, S.M.; Zhai, H.; Zhao, J. Fractional-order sliding mode load frequency control and stability analysis for interconnected power systems with time-varying delay. IEEE Trans. Power Syst. 2023, 39, 1006–1018. [Google Scholar] [CrossRef]
- Delgado, P.; Gonzalez, N.; Yihun, Y. Integration of sEMG-based learning and adaptive fuzzy sliding mode control for an exoskeleton assist-as-needed support system. Machines 2023, 11, 671. [Google Scholar] [CrossRef]
- Feng, H.; Jiang, J.; Chang, X.; Yin, C.; Cao, D.; Yu, H.; Yu, H.; Xie, J. Adaptive sliding mode controller based on fuzzy rules for a typical excavator electro-hydraulic position control system. Eng. Appl. Artif. Intell. 2023, 126, 107008. [Google Scholar] [CrossRef]
- Yang, Y.; Niu, Y. Co-design of scheduling protocol and fuzzy sliding mode controller under communication constraints. Automatica 2023, 147, 110698. [Google Scholar] [CrossRef]
- Qiao, S.; Liu, X.; Wang, D.; Ge, S.S. Security concern and fuzzy output sliding mode load frequency control of power systems. Inf. Sci. 2024, 676, 120793. [Google Scholar] [CrossRef]
- Jiang, B.; Wu, Z.; Karimi, H.R. A distributed dynamic event-triggered mechanism to HMM-based observer design for H∞ sliding mode control of Markov jump systems. Automatica 2022, 142, 110357. [Google Scholar] [CrossRef]
- Khan, I.A.; Mokhlis, H.; Mansor, N.N.; Illias, H.A.; Usama, M.; Daraz, A.; Wang, L.; Awalin, L.J. Load frequency control using golden eagle optimization for multi-area power system connected through AC/HVDC transmission and supported with hybrid energy storage devices. IEEE Access 2023, 11, 44672–44695. [Google Scholar] [CrossRef]
- Wang, Y.; Wang, Z.; Gan, J.; Zhang, H.; Wang, R. Switched observer-based adaptive event-triggered load frequency control for networked power systems under aperiodic DoS attacks. IEEE Trans. Smart Grid 2023, 14, 4816–4826. [Google Scholar] [CrossRef]
Disclaimer/Publisher’s Note: The statements, opinions and data contained in all publications are solely those of the individual author(s) and contributor(s) and not of MDPI and/or the editor(s). MDPI and/or the editor(s) disclaim responsibility for any injury to people or property resulting from any ideas, methods, instructions or products referred to in the content. |
© 2025 by the authors. Licensee MDPI, Basel, Switzerland. This article is an open access article distributed under the terms and conditions of the Creative Commons Attribution (CC BY) license (https://creativecommons.org/licenses/by/4.0/).







