Proposed Feedback-Linearized Integral Sliding Mode Control for an Electro-Hydraulic Servo Material Testing Machine
Abstract
1. Introduction
2. Structure of Electro-Hydraulic Servo Material Testing Machine
3. Force Servo Control System of Electro-Hydraulic Servo Material Testing Machine
3.1. Structure of Force Servo Control System of Electro-Hydraulic Servo Material Testing Machine
3.2. Mathematical Modeling of Electro-Hydraulic Servo Valve-Controlled Hydraulic Cylinder Force Control System
4. Design of Feedback Linearized Integral Sliding Mode Controller
4.1. Feedback Linearization Design of Nonlinear Mathematical Model
4.2. Design of the Integrated Sliding Mode Controller
5. Simulation Experiment Analysis
5.1. Establishment of Simulation Model
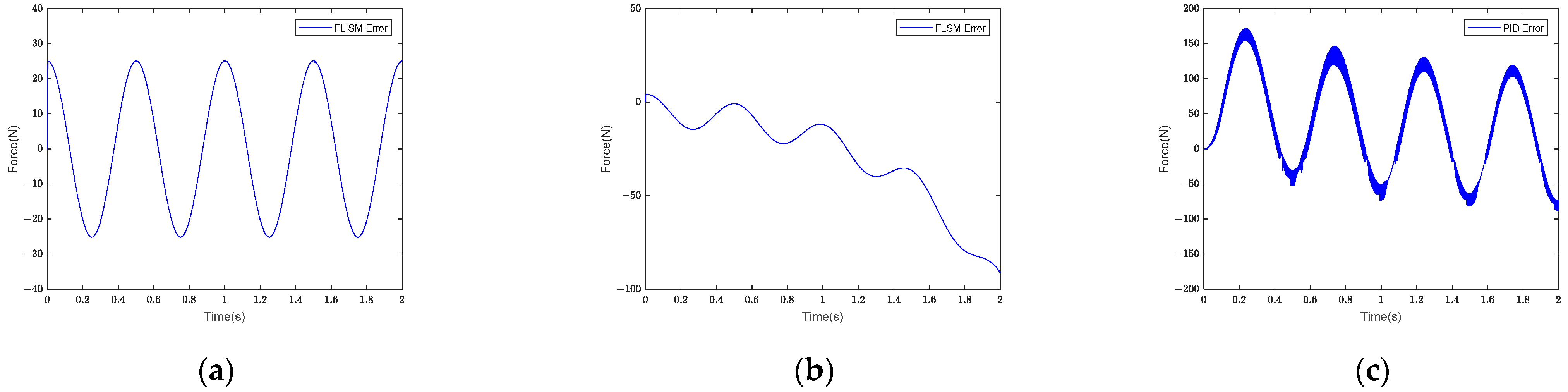
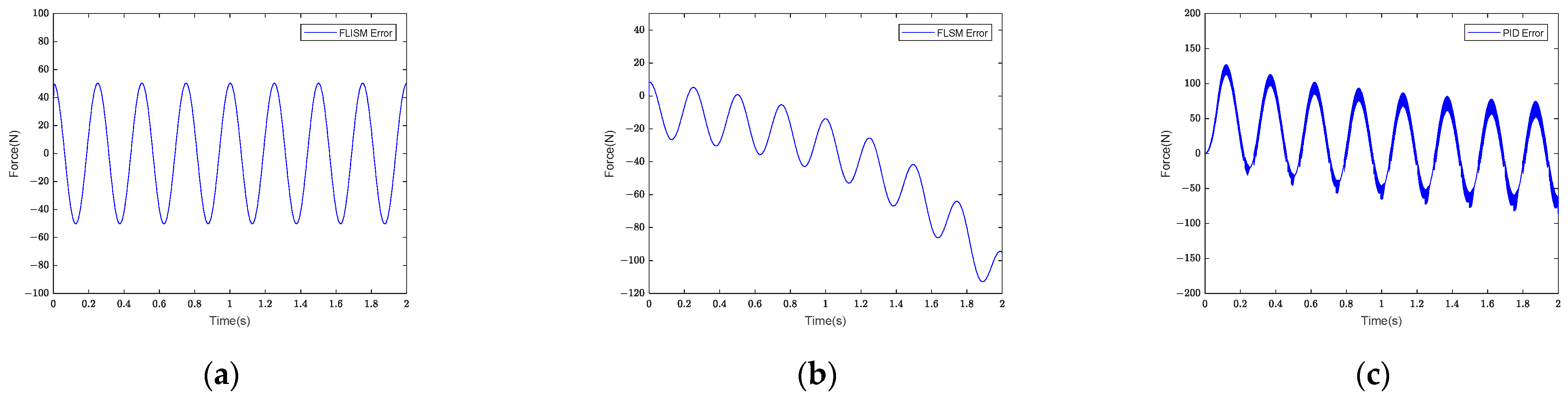
5.2. Analysis of Simulation Results
6. Conclusions
- (1)
- The simulation results show that the proposed FLISM controller reduced the force average tracking error compared with that of the FLSM and PID controllers. The FLISM controller was not affected by input signal changes and the control effect was worse, and after introducing a random interference signal, the FLISM control maintained good control performance. Compared with the FLSM and PID controllers, the system’s tracking effect was significantly improved.
- (2)
- Through the feedback linearization design, the FLISM controller could suppress the influence of nonlinear factors on the electro-hydraulic servo system’s force tracking accuracy and improve the system’s control accuracy and anti-interference performance.
- (3)
- Applying the FLISM controller in the electro-hydraulic servo material testing machine’s force control system could effectively improve the testing machine’s force output control precision, and it significantly helped improve the material’s test accuracy.
Author Contributions
Funding
Data Availability Statement
Conflicts of Interest
References
- Ma, M.Y. Design and Implementation of Measurement and Control System for Material Low Cycle Fatigue Testing Machine. Master’s Thesis, Henan University of Science and Technology, Luoyang, China, 2020. [Google Scholar]
- Wang, H. Research on Adaptive Sliding Mode Control of Electro-Hydraulic Servo Fatigue Testing Machine Based on RBFNN. Master’s Thesis, Northeastern University, Shenyang, China, 2020. [Google Scholar]
- Zhao, J.; Yang, T.; Ma, Z.; Yang, C.; Wang, Z.; Wang, C. Energy consumption minimizing for electro-hydraulic servo driving planar parallel mechanism by optimizing the structure based on genetic algorithm. IEEE Access 2019, 7, 47090–47101. [Google Scholar] [CrossRef]
- Shao, J.; Bian, Y.; Yang, M.; Liu, G. High precision adaptive fuzzy control method for hydraulic robot joint. In Proceedings of the 13th International Conference on Mechanical and Intelligent Manufacturing Technologies, Cape Town, South Africa, 26–28 May 2023. [Google Scholar]
- Guo, K.; Li, M.; Shi, W.; Pan, Y. Adaptive tracking control of hydraulic systems with improved parameter convergence. IEEE Trans. Ind. Electron. 2021, 69, 7140–7150. [Google Scholar] [CrossRef]
- Gu, F.; Yue, R.; Ma, Q.; Wang, J.; Wang, B. Frequency characteristic test of electro-hydraulic servo mechanism based on ADSTK. In Proceedings of the 29th Chinese Control and Decision Conference, Yichang, China, 20–22 May 2017. [Google Scholar]
- Fu, Y.L.; Chen, H.; Liu, H.S.; Qi, X. Research on missile electro-hydraulic Steering System based on active disturbance rejection Control. Acta Astronaut. Sin. 2010, 31, 1051–1055. [Google Scholar]
- Liu, X.; Liu, C. Testing and manufacture to shock absorber electro-hydraulic servo-testing system. In Proceedings of the 3rd Information Technology and Mechatronics Engineering Conference, Chongqing, China, 15–17 September 2017. [Google Scholar]
- Essa, M.E.S.M.; Aboelela, M.A.; Hassan, M.M.; Abdrabbo, S.M. Hardware in the loop of position tracking control of hydraulic servo mechanism. In Proceedings of the 13th International Computer Engineering Conference, Cairo, Egypt, 27–28 December 2017. [Google Scholar]
- Li, B.; Chen, J.; Zhang, W.M.; Zhang, Z.; Chen, Y. Research Status of Modeling, Identification and Control of Electro-Hydraulic Servo System. Mach. Tool Hydraul. 2016, 44, 168–172. [Google Scholar]
- Wang, L.H.; Wu, B.; Du, R.S.; Yang, S. Nonlinear Dynamic Characteristics of Hydraulic Cylinder Motion. Chin. J. Mech. Eng. 2007, 43, 12–19. [Google Scholar] [CrossRef]
- Jiang, W.L.; Zhu, Y.; Zheng, Z. Research Status and Prospect of Dynamic Characteristics of Electro-Hydraulic Servo System. Mach. Tool Hydraul. 2014, 42, 169–173. [Google Scholar]
- Sun, C.; Yuan, R.B. Adaptive robust cross-coupling position synchronization control of a hydraulic press slider-leveling. Sci. Prog. 2021, 104, 0036850420987037. [Google Scholar] [CrossRef]
- Li, C.C.; Jin, X.H.; Wang, K.; Zhang, S. Study on Adaptive Control of Dominant Pole Model for Electro-hydraulic Systems with Variable Stiffness. Mech. Electr. Eng. 2019, 37, 764–769. [Google Scholar]
- Wei, Q.; Zhou, G.; Hu, X.Y. Research on Force Trajectory Feedback Linearized sliding mode Tracking Control of Electro-hydraulic Servo System. J. Henan Polytech. Univ. (Nat. Sci. Ed.) 2023, 42, 108–113. [Google Scholar]
- Zhou, T.; Cheng, H. Design of Self-Tuning Fuzzy PID Controller for Electro-Hydraulic Servo System. Mach. Tool Hydraul. 2020, 48, 135–139+145. [Google Scholar]
- Li, B.; Rui, G.C.; Fang, L.; Sa, Y.; Tang, Y.; Shen, G. Research on Adaptive Disturbance Rejection Control of Electro-Hydraulic Servo System. Chin. Hydraul. Pneum. 2019, 12, 57–62. [Google Scholar]
- Jiang, S.X. Research on Control Strategy of Electro-Hydraulic Servo System Based on Data Fusion and Neural Network. Master’s Thesis, Beijing Jiaotong University, Beijing, China, 2022. [Google Scholar]
- Sidhom, L.; Chuhu, I.; Smaoui, M. Automation of a Hybrid Control for Electrohydraulic Servo-Actuators with Residual Dynamics. Appl. Sci. 2022, 12, 2856. [Google Scholar] [CrossRef]
- Xiao, L.; Flu, B.B.; Yu, B.; Ye, Z. Cascaded sliding mode force control for a single-rod electrohydraulic actuator. Neurocomputing 2015, 156, 117–120. [Google Scholar] [CrossRef]
- Fan, Y.Q.; Shao, J.P.; Sun, G.T.; Shao, X. Improved beetle antennae search algorithm-based Lévy flight for tuning of PID controller in force control system. Math. Probl. Eng. 2020, 2020, 1–22. [Google Scholar] [CrossRef]
- Lu, X.L.; Du, F.P.; Jia, Q.; Ren, B.; Wang, X. Sliding mode force control of an electrohydraulic servo system with RBF neural network compensation. Mechanics 2019, 25, 32–37. [Google Scholar] [CrossRef]
- Min, L.; Zhang, H.X.; Zhao, Q.H.; Fang, L.; Du, S. Research on Feedback Linearized sliding Mode Control of Electro-hydraulic Position Servo System. J. Qingdao Univ. (Eng. Technol. Ed.) 2021, 36, 9–14. [Google Scholar]
- Zhang, Z.; Li, H.J.; Qu, X.Y.; Zhang, Z. Robust Feedback Linearization Control of Electro-Hydraulic Position Servo System. Mach. Tool Hydraul. 2016, 44, 148–152. [Google Scholar]
- Wang, X.G.; Rui, G.C.; Ding, X.Y.; Shen, G. Feedback Linearized Sliding Mode Control of Electro-Hydraulic Servo System Based on Interference Observer. Chin. Hydraul. Pneum. 2018, 06, 8–13. [Google Scholar]
- Li, Y.M.; Guo, L. Feedback Linearized Asymmetric Systems based on Neural Networks. Appl. Comput. Syst. 2012, 21, 166–169+221. [Google Scholar]
- Pedro, J.O.; Dangor, M.; Dahunsi, O.A.; Ali, M.M. Intelligent feedback linearization control of nonlinear electrohydraulic suspension systems using particle swarm optimization. Appl. Soft Comput. 2014, 24, 50–62. [Google Scholar] [CrossRef]
- Dai, M.C.; Xu, T.Y.; Zhang, J.J.; Lan, Y. Trajectory Tracking Control of Electro-hydraulic Servo System Based on Continuous Sliding Mode Control. Mach. Tool Hydraul. 2021, 49, 54–58. [Google Scholar]
- Guo, X.P.; Wang, C.W.; Liu, H.; Zhang, Z.; Ji, X.; Zhao, B. Sliding mode control of pump-controlled electro-hydraulic Servo System based on Extended state observer. J. Beijing Univ. Aeronaut. Astronsutics 2020, 46, 1159–1168. [Google Scholar]
- Ji, X.H.; Wang, C.W.; Chen, S.; Zhang, Z.Y. Sliding Mode Reverse Step Control Method for Valve-controlled Electro-hydraulic Position Servo System. J. Cent. South Univ. (Nat. Sci. Ed.) 2020, 51, 1518–1525. [Google Scholar]
- Xu, G.; Lu, N.; Lv, G. High-gain observer-based sliding mode force control for the single-rod electrohydraulic servo actuator. IEEE Access 2019, 7, 161849–161857. [Google Scholar] [CrossRef]
- Han, G.Y.; Shi, G.L.; Guo, Q.Y. Sliding Mode Position Control of Electro-hydraulic Proportional System Based on Disturbance Observer. Modul. Mach. Tool Autom. Process. Technol. 2019, 01, 97–100. [Google Scholar]
- De Cuyper, J.; Verhaegen, M.; Swevers, J. Off-line feed-forward and H∞ feedback control on a vibration rig. Control. Eng. Pract. 2003, 11, 129–140. [Google Scholar] [CrossRef]
- Xia, J.; Li, Y.; Huang, D.; Yang, J.; Xing, X.; Ma, L. Spatial Iterative Learning Control with Human Guidance and Visual Detection for Path Learning and Tracking. IEEE Trans. Autom. Sci. Eng. 2022, 20, 1772–1784. [Google Scholar] [CrossRef]
- Li, X.; Wang, L.; Xia, X.; Liu, Y.; Zhang, B. Iterative learning-based negative effect compensation control of disturbance to improve the disturbance isolation of system. Sensors 2022, 22, 3464. [Google Scholar] [CrossRef]
- Wan, J.S. Structure Design and Optimization of Four-Column Hydraulic Brick Machine. Master’s Thesis, North China University of Water Resources and Electric Power, Zhengzhou, China, 2021. [Google Scholar]
- Sun, C.G. Research on Electro-Hydraulic Control System of Plastic Molding Hydraulic Press with Slider Guide. Ph.D. Thesis, Zhejiang University, Hangzhou, China, 2018. [Google Scholar]


















| Name | Symbol | Numerical Value |
|---|---|---|
| Effective area of hydraulic cylinder/ | ||
| Equivalent load mass/ | ||
| Equivalent load stiffness/ | ||
| Equivalent load damping/ | ||
| External load/ | ||
| Supply pressure/ | ||
| Internal leakage coefficient of hydraulic cylinder/ | ||
| External leakage coefficient of hydraulic cylinder/ | ||
| Initial volume of two-chambers of hydraulic cylinder/ | ||
| Volume elastic modulus of hydraulic oil/ | ||
| Flow coefficient of the servo valve/ | ||
| Hydraulic oil density/ |
| Name | Frequency/Hz | Amplitude/N |
|---|---|---|
| Sinusoidal Signal I | 2 | 2000 |
| Sinusoidal Signal II | 4 | 2000 |
| Sinusoidal Signal III | 2 | 1000 |
Disclaimer/Publisher’s Note: The statements, opinions and data contained in all publications are solely those of the individual author(s) and contributor(s) and not of MDPI and/or the editor(s). MDPI and/or the editor(s) disclaim responsibility for any injury to people or property resulting from any ideas, methods, instructions or products referred to in the content. |
© 2024 by the authors. Licensee MDPI, Basel, Switzerland. This article is an open access article distributed under the terms and conditions of the Creative Commons Attribution (CC BY) license (https://creativecommons.org/licenses/by/4.0/).
Share and Cite
Sun, C.; Li, J.; Tan, Y.; Duan, Z. Proposed Feedback-Linearized Integral Sliding Mode Control for an Electro-Hydraulic Servo Material Testing Machine. Machines 2024, 12, 164. https://doi.org/10.3390/machines12030164
Sun C, Li J, Tan Y, Duan Z. Proposed Feedback-Linearized Integral Sliding Mode Control for an Electro-Hydraulic Servo Material Testing Machine. Machines. 2024; 12(3):164. https://doi.org/10.3390/machines12030164
Chicago/Turabian StyleSun, Chungeng, Jipeng Li, Ying Tan, and Zhijie Duan. 2024. "Proposed Feedback-Linearized Integral Sliding Mode Control for an Electro-Hydraulic Servo Material Testing Machine" Machines 12, no. 3: 164. https://doi.org/10.3390/machines12030164
APA StyleSun, C., Li, J., Tan, Y., & Duan, Z. (2024). Proposed Feedback-Linearized Integral Sliding Mode Control for an Electro-Hydraulic Servo Material Testing Machine. Machines, 12(3), 164. https://doi.org/10.3390/machines12030164
