You are currently viewing a new version of our website. To view the old version click .
Machines
  • Article
  • Open Access

6 December 2024

Nonlinear Dynamics of Whirling Rotor with Asymmetrically Supported Snubber Ring

,
,
and
1
Department of Mechanical Design, Faculty of Engineering, Mataria, Helwan University, Helmeiat-Elzaton, Cairo P.O. Box 11718, Egypt
2
Centre for Applied Dynamics Research, School of Engineering, University of Aberdeen, Aberdeen AB24 3UE, UK
*
Author to whom correspondence should be addressed.
This article belongs to the Special Issue Nonlinear Dynamics of Mechanical Systems and Machines

Abstract

Rotor–stator whirling is a critical malfunction frequently encountered in rotating machinery, often resulting in severe damages. This study investigates the nonlinear dynamics of a whirling rotor interacting with a snubber ring through numerical simulations that account for the stiffness asymmetries of the snubber ring. A two-degrees-of-freedom (DOF) model is employed to analyse the contact interactions that occurred between the rotor and the snubber ring, assuming a linear elastic contact model. The analysis also incorporates the static offset between the centers of the rotor and the snubber ring. The dynamic behaviour of the whirling system is characterised by pronounced nonlinearity due to transitions between contact and non-contact states. The model is first validated against our prior theoretical and experimental studies. The nonlinear responses of the rotor are analysed to evaluate the effects of stator asymmetry through various techniques, including time-domain waveforms, frequency spectra, rotor orbits, and bifurcation diagrams. Furthermore, the influence of varying system parameters, such as rotational speed and the damping ratio, both with and without stator asymmetry, are systematically analysed. The results demonstrate that the rubbing response is highly sensitive to small variations in system parameters, with stator asymmetry significantly affecting system behaviour, even at low asymmetry levels. Direct stiffness asymmetry is shown to have a more pronounced effect than cross-coupling stiffness. The system exhibits a range of dynamics, including periodic, quasi-periodic, and chaotic responses, with regions of periodic orbits coexisting with chaotic ones. Complex phenomena such as period doubling, period halving, and jump bifurcations are identified, alongside quasi-periodic and period doubling routes to chaos. These findings contribute to a deeper understanding of the nonlinear phenomena associated with rotor–stator whirling and provide valuable insights into the unique characteristics of rubbing faults, which could facilitate fault diagnosis.

1. Introduction

To achieve better performance in most modern rotating machinery such as gas turbines, turbogenerators, and jet engines, tighter clearances between rotating and stationary parts are usually employed. However, due to inevitable residual unbalance, misalignment, mechanical looseness, blade failures, and other factors, excessive lateral vibration can occur in rotor systems. Consequently, possibility of vibration-induced interactions between the rotor and stator is increased. Hence, comprehensive investigations of these dynamic effects are crucial to achieve the safe and reliable operation of rotating machinery.
Over the past few decades, there has been extensive research on rub interactions. Detailed reviews in the literature of rotor–stator contact in rotordynamics are given by [1,2,3,4] and most recently by [5]. Many of the earlier published studies focused on the development of mathematical models to represent the whirling motion and explain the mechanisms behind the observed vibration patterns [6,7,8,9]. Several events occur due to the contact between a rotor and a stationary part such as impacts, friction between contacting surfaces, and a stiffening effect, i.e.,the increased stiffness of the rotating part during contact [10].
Nonlinear dynamics of the whirling between rotor and stationary parts in high-speed rotating machines were mostly explored using numerical models. Many researchers employed low dimensional lumped-parameter models that describe the nonlinear discontinuous contact using a moderate set of ordinary differential equations to allow for analysing system behavior in reasonable computation time [11,12,13,14,15,16,17,18,19]. Some studies included coupling between the lateral vibration and torsional vibrations [20,21]. Most of the studies used numerical integration techniques such as the Runge–Kutta algorithm but other techniques were also employed such as Newmark-beta methods [20,22]. In addition, Finite Element modelling was employed by various researchers [18,20,23] to build the rotor model. Due to the strong nonlinearity associated with rotor–stator contact, very few analytical solutions are available in the literature [24,25]. In order to verify the presented models, several researchers conducted experimental studies and observed the different forms of dynamic responses [15,18,26,27]. In most experimental studies, measured responses show more complicated behaviour than simulation results obtained from whirling models, which implies that further improvement of mathematical models is still needed to accurately replicate real systems. The effects of various system parameters, including rotor speed, stator stiffness, unbalance eccentricity, system damping, and the friction on the features of dynamic responses, were also extensively studied [28,29,30,31]. Bifurcation diagrams, orbit plots, Poincaré maps, and Lyaponuv exponents were typically employed to demonstrate the effect of varying system parameters on the system’s behaviour [16,17,32,33,34]. Rub responses were shown to be very sensitive to changing system parameters.
The main characteristic features of rotor whirling in the frequency domain are a very rich frequency response with subharmonic and superharmonic frequency components. As early as 1966, Ehrich [35] first identified the presence of a second-order subharmonic response in a high-speed rotor. Then, Bently [36] reported experimental observations of second-order and third-order subharmonic vibration and suggested that they are rub-related. Following this, Childs [7,37] presented a mathematical explanation of the subharmonic response. Ehrich [38] reported the presence of subharmonic vibration with orders as low as one-eighth and one-ninth in turbomachines. The need for monitoring the entire frequency spectrum not only the synchronous components was emphasized by Beatty [8]. Sawicki, et al. [30] conducted a numerical analysis of a multi-mass system and attributed the appearance of second- and third-order subharmonics to the presence of quadratic and cubic nonlinearity, respectively. Von Groll and Ewins [39] reported a rich vibration spectrum due to rubbing with superharmonics and strong subharmonics. Chu and Lu [40] conducted extensive experimental work on the nonlinear vibration in a rub-impact rotor system and observed very rich forms of periodic and chaotic motions. Both superharmonics and subharmonics of a second order and third order were observed. Also, chaotic behavior prevailed for severe rubbing cases. Patel and Darpe [14] used the full spectrum cascade during coast up for rotor rub identification and observed that the subharmonics appear at certain speed ranges and that a strong synchronous backward whirl is exhibited upon approaching the bending critical speed. Ma et al. [41] showed that the amplitudes of vibration and normal contact force may serve as the most distinguishable characteristic to diagnose the severity of rubbing. Also, it was observed that the contact stiffness has a greater effect on the system response at higher rotational speeds and that its variation will greatly change the rebound forms.
The majority of the presented models were based on the piecewise-smooth model and Coulomb’s friction model to describe the contact dynamics in the form of a linear elastic contact stiffness that generates a normal restoring force [14,16,24,27]. However, there has been continuing efforts to improve and refine the modelling of the rub interactions by incorporating various complications to the rotor–stator model. Kim and Noah [25] included a cross-coupling stiffness term and showed that its increasing will give rise to Hopf bifurcation that leads to quasi-periodic responses. The eccentricity between the static equilibrium positions of the rotor and stator was considered by Karpenko et al. [12], Karpenko et al. [24], and Popprath and Ecker [13]. Varney and Green [16] investigated the influence of support asymmetry on the nonlinear rotor response of a rotor–stator contact system and showed that direct stiffness asymmetry has a strong influence on the system response even for small stiffness asymmetries. However, they did not include rotor stiffness in the model. Yang et al. [34] studied the effect of random rotor stiffness and random excitation on the response of a rotor rubbing system. It was shown that the random parameters strongly influence the response at high speeds of rotation but have no effect for low rotational speeds. Mokhtar et al. [42] developed an FE-based rotor–stator-coupled system and demonstrated the rubbing diagnostic features based on stator vibration. Also, the contact model was based on the Lagrange multiplier approach. Tang et al. [43] studied the rubbing rotor system under asymmetric oil film force and observed that the chaotic region of the response is wider in comparison with the system with symmetrical oil film force. Zheng et al. [31] performed a parametric study and investigated the steady-state response and stability of an asymmetric rotor with rubbing. Praveen Krishna and Padmanabhan [27], in their experimental work, observed asymmetry in the orbit plot during rubbing, which they attributed to the lower stiffness of the bottom stator compared to the other sides.
The previous literature highlights a clear research gap in the investigation of rotor–stator whirling phenomena with the consideration of stator stiffness asymmetry. Stator stiffness asymmetry may arise in real applications from unequal levels of rigidity in different directions. Stiffness could be inevitably much greater in one direction than in the other directions. This is evident in real rotating machinery and in laboratory experimental rigs simulating the rubbing rotor systems. The present work is an extension of the continuing research work at the Centre for Applied Dynamics Research (CADR) of the University of Aberdeen.
This study explores the nonlinear dynamics of a rotor whirling within a snubber ring, focusing on the influence of anisotropic stator stiffness on the whirling behavior. To achieve this, a two-degrees-of-freedom rotor model is utilized, incorporating a linear elastic contact model that fully accounts for stator asymmetry. Both direct stiffness asymmetry and cross-coupling stiffness are included to create a more realistic representation of the system. Additionally, the static offset between the rotor and snubber ring centers is considered. A parametric analysis is conducted to examine the effects of key system parameters, such as the rotational speed and damping ratio, under conditions of stator asymmetry. Numerical integration results are analysed and presented through time-domain waveforms, frequency spectra, rotor orbits, and bifurcation diagrams to provide insights into the system’s dynamic behaviour.
Following this introduction, the remainder of this paper is structured as follows. Section 2 details the mathematical model employed for investigating rotor–stator rubbing with asymmetric stator stiffness. Section 3 presents the verification process and the novel results obtained using the proposed model. Finally, the conclusion summarizes the key findings and contributions of this work.

2. Mathematical Modelling

Consider a two-degrees-of-freedom Jeffcott rotor supported elastically by a massless snubber ring as shown in Figure 1. The rotor’s mass is denoted as M and rotates by an angular frequency Ω . The rotor system is subjected to unbalance mass m and radius ρ . The rotor’s position is described by displacements x and y in horizontal and vertical directions, respectively. The rotor is constrained within a snubber ring where γ represents the clearance between the rotor and stator. During rotation, the rotor may intermittently contact the stator, resulting in nonlinear dynamic behaviour.
Figure 1. Rotor–stator contact with asymmetric stator stiffness: (a) a physical model of a rotor with an asymmetric snubber ring, (b) the contact geometry and forces acting on the rotor, (c) a photograph of the Aberdeen rotor experimental rig, showing major components and instrumentation. The geometrical center of the rotor is denoted as o r , the geometric center of the stator is O s 0 , and the radial clearance between the rotor and stator is γ .
In the present study, the mathematical model results are compared with the experimental results reported in Figure 1c, whiich shows the experimental rig used to obtain the experimental results in [15]. The rotor system is powered by a variable-speed motor. The angular velocity is regulated through a single-phase thyristor equipped with a closed-loop feedback mechanism utilizing a tacho-generator. The mild steel rotor features drilled and tapped holes that enable the attachment of adjustable mass imbalances using a bolt-nut configuration supplemented by additional washers.
The rotor is supported by two angular contact ball bearings, secured with inner sleeves within a stationary housing. This mechanical assembly is mounted on four flexural rods which are made from high-carbon steel, which provide fatigue-resistant elastic support. These rods are clamped to a support block that is bolted to a heavy iron base. A pair of dashpot dampers is attached to the rotor in orthogonal directions, complementing the lightly damped elastic support provided by the rods.
Surrounding the rotor assembly is an aluminum snubber ring with a marginally larger diameter. This ring is supported by four compression springs affixed to a robust frame clamped to the iron base, as illustrated in Figure 1c. During operation, the rotor housing can intermittently contact the snubber ring, inducing a discontinuous stiffness effect on the system. This experimental configuration enables the analysis of the rotor’s dynamic behavior under such conditions.
For the general case, two components of static eccentricity ε x and ε y are considered where, ε x represents the horizontal offset between the rotor’s center O r 0 and the stator’s center O s 0 at static equilibrium and similarly, ε y is the vertical static eccentricity. Thus, if the rotor is placed concentrically within the snubber ring, then ε x = ε y = 0 and it follows that ε x 2 + ε y 2 γ should be satisfied at all times. The horizontal and vertical components of the snubber ring displacement relative to its static equilibrium position can be written as follows:
x s = ( R γ ) cos ψ , y s = ( R γ ) sin ψ ,
where R = ( x ε x ) 2 + ( y ε y ) 2 denotes the radial displacement of the rotor from the equilibrium position of the snubber ring. The term ( R γ ) represents the radial displacement of the snubber ring from its equilibrium position. Additionally, we have cos ψ = x ε x R and sin ψ = y ε y R , where ψ indicates the angular displacement of the rotor.
The mathematical modelling of the system is conducted with the following assumptions. The mass of the rotor is substantially greater than that of the snubber ring, permitting the neglect of the snubber ring’s mass. There is an absence of dry friction between the rotor and the snubber ring, the axis of rotation does not experience angular motion, thus gyroscopic forces are excluded from consideration. Transient dynamics in the rotational motion are disregarded, implying that the rotor maintains a constant angular velocity ω , and gravitational effects are deemed negligible in comparison to the dynamic forces acting within the system.
In this work, the stiffness of the stator is considered to be asymmetric. Hence, when the rotor comes into contact with the snubber ring, the normal force components in horizontal and vertical directions as a function in the ring’s asymmetric stiffness coefficients can be written as:
F n x = K x x x s + K x y y s , F n y = K y x x s + K y y y s ,
where K i j is the snubber ring stiffness coefficient that relates a force in the i t h direction to a displacement in the j t h direction. Accordingly, the equations of motion of the rotor system can be written as follows:
M x ¨ + C x ˙ + K x + λ 1 γ R K x x x ε x + K x y y ε y = m ρ Ω 2 cos Ω t + φ 0 , M y ¨ + C y ˙ + K y + λ 1 γ R K y x x ε x + K y y y ε y = m ρ Ω 2 sin Ω t + φ 0 ,
where C and K denote the viscous damping and stiffness of the rotor, respectively, and φ 0 is the initial phase shift. The damping of the snubber ring and the friction between the rotor and the snubber ring in case of contact are both neglected in the present model. Also, λ is a switching function that indicates the occurrence of contact between the rotor and the snubber ring as follows:
λ = 1 , R γ , 0 , R < γ .
Hence, a contact occurs when the radial displacement R exceeds the clearance γ . Now, the coupled second-order differential equations governing the rotor system alternate between the linear noncontact mode and the nonlinear contact mode.
Transforming the governing equations to the nondimensionalized form helps to compare results obtained for different physical systems. Time is nondimensionalized to the rotor’s angular velocity Ω to ease the comparison of the system behavior at different speeds. Also, the frequency content will be nondimensionalized such that the synchronous component will appear to be at unity in the frequency spectra which is easier to interpret for diagnostic purposes. Displacements are nondimensionalized using the clearance γ as the reference displacement. The following nondimensional variables are defined as follows:
τ = Ω t , . = d d τ , x ^ = x γ , y ^ = y γ , ρ ^ = ρ γ , ε ^ x = ε x γ , ε ^ y = ε y γ , ω n = K M , ζ = C 2 M ω n , η = Ω ω n , η m = m M , K ^ i j = K i j K .
Hence, the radial displacement of the rotor R can be written as:
R = γ ( x ^ ε ^ x ) 2 + ( y ^ ε ^ y ) 2 = γ Z .
Therefore, the governing equations can be rewritten in terms of the nondimensional variables as follows:
x ^ + 2 ζ x ^ η + x ^ η 2 + λ η 2 1 1 Z K ^ x x x ^ ε ^ x + K ^ x y y ^ ε ^ y = η m ρ ^ cos τ + φ 0 , y ^ + 2 ζ y ^ η + y ^ η 2 + λ η 2 1 1 Z K ^ y x x ^ ε ^ x + K ^ y y y ^ ε ^ y = η m ρ ^ sin τ + φ 0 ,
where,
λ = 1 , Z 1 , 0 , Z < 1 .

3. Results and Discussion

The study begins by validating the symmetric model against those in the previous literature. The results of the modified model are verified against the results published in [12,24] by using the parameters shown in Table 1 and setting direct stiffness coefficients as K ^ x x = K ^ y y = K ^ s and cross-coupling coefficients as K ^ x y = K ^ y x = 0 to simulate the symmetric stiffness case where K ^ s represents the ratio between the stator stiffness and rotor stiffness. Next, the present model results are verified againist the experimental results of the rotor rig presented in [15]. Afterwards, several numerical investigations are carried out to study the effect of the stiffness asymmetry on the system behaviour. Also, the effect of the interaction between the asymmetric stiffness coefficients and system parameters on the nonlinear dynamics of the system is studied using time waveforms, orbit plots, frequency spectra and bifurcation diagrams. The governing equations shown in Equation (5) are solved using Runge–Kutta solver ODE45 in MATLAB (Release 22). To accurately address the stability of the solution for the present rotor–stator problem, careful selection of integration tolerances is essential. In this work, relative and absolute tolerances are defined as 10 14 and 10 14 , respectively. These values are determined by gradually refining the tolerances until consistent convergence is ensured, guaranteeing precision in the results.
Table 1. System parameters used for numerical simulation.
For all the results shown in this section, the initial displacements are taken as x ^ 0 = y ^ 0 = 0.1 and the initial velocities are assumed to be equal to zero. After several iterations with different time intervals, the nondimensional time interval Δ τ is taken as 0.01, which approximately corresponds to Δ t = 2 π / 628   Ω . Lower values result in similar outcomes. Additionally, this time interval is found to be sufficient for calculating accurate results compared to the published results in the previous literature. Transients time waveforms are discarded before calculating the orbit plots and bifurcation diagrams. Hence, the shown responses represent the steady-states of the system responses.

3.1. System Response Without Stator Asymmetry

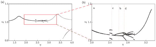
Figure 2 shows the bifurcation diagram of the nondimensional radial displacement Z where the control parameter is the frequency ratio η . The system parameters are taken according to Table 1 and K s is assumed to be equal to 30. In Figure 2a, the response is shown to be periodic with the variation in rotational speed along a broad range of frequency ratios ( η [ 1.25 , 4 ] ) without experiencing chaotic behaviour for the specified set of parameters. Mostly, the response exhibits period-1 motion except for a specific region. As shown in Figure 2b, the system response transfers from period-1 to period-3 at η = 2.4 then returns back to period-1. Next, period doubling occurs at η = 2.5 where period-1 transforms to period-2 and then flip bifurcation occurs at around η = 2.9 . This pattern is in full agreement with the published results in [24].
Figure 2. Bifurcation diagrams of the nondimensional radial displacement Z versus the frequency ratio η for the symmetric stator condition. (a) Bifurcation diagram. (b) Zoomed-in view of the bifurcation diagram. The vertical dotted red lines labeled a, b, c, and d denote the locations at which the phase portraits in Figure 3a1–d3 are plotted, respectively.
Figure 3 shows time waveforms of the nondimensional radial displacement Z, the frequency spectra of the horizontal and vertical responses and orbit plots of the rotor system at different values of frequency ratio η , selected from Figure 2b and represented by dotted vertical lines. The dashed horizontal red line in the time–history waveform represents the displacement above which contact occurs ( Z = R γ = 1 ) . It can be noticed that the prevailing behaviour is the periodic response but different periodic motions appear at different frequency ratios.
Figure 3. Rotor radial displacement, orbit plot, and frequency spectra in horizontal and vertical directions for a rubbing system with symmetric stator stiffness at different frequency ratios. (a1a3) η = 2 , (b1b3) η = 2.6 , (c1c3) η = 2.44 , and (d1d3) η = 2.72 . These correspond to the vertical red dotted lines in Figure 2b. The parameters are K ^ x x = K ^ y y = K ^ s = 30 , and x ^ 0 = y ^ 0 = 0.1 , and initial velocities are assumed to be zero.
It is shown in Figure 3a1–a3 that a period-1 response is attained at η = 2 , where the horizontal and vertical spectra show a dominant component at synchronous speed, representing the rotational forcing frequency. The vibration amplitude is higher in the horizontal direction, and the orbit is shifted horizontally due to the static eccentricity ε x existing between the rotor and stator centers along the horizontal axis. A period-2 response can be observed at η = 2.6 as shown in Figure 3b1–b3. In addition to the component at synchronous speed, the period-2 response is exhibited as a clear subharmonic frequency component at half the synchronous speed. Since the frequency is normalized to the rotational forcing frequency, the synchronous speed component appears at unity, and the subharmonic component appears at 0.5, as expected. Similarly, a period-3 response is shown at η = 2.44 (Figure 3c1–c3) with third-order subharmonics at one-third, two-thirds, and four-thirds of the synchronous speed, in addition to the fundamental component at synchronous speed. Period-4 is evident at η = 2.72 (Figure 3d1–d3) with fourth-order subharmonics at one-fourth, one-half, three-fourths of the synchronous speed, etc. The results shown in Figure 3 are in full agreement with the results published in [24].

3.2. System Response with Stator Asymmetry

The system inputs provided by [15] are used to validate the present model. The model in [15] is not exactly the same as the present model. For instance, authors [15] account for damping at the contact interface which is not considered in the current work. Additionally, the contact points in the literature are evaluated using an energy-based approach, whereas the present model employs a displacement-based approach. The complete list of parameters can be found in Table 1 of [15].
The orbit plots for the studied three cases are presented in two rows in Figure 4. The first row shows the results extracted from Figure 6 of [15], while the second row depicts the corresponding results based on the present model. Figure 4 demonstrates that, despite slight differences between the two models, the results agree within a margin of 10 microns. Furthermore, the type of periodic response is consistent across all three cases.
Figure 4. Rotor x and y orbit plots for a rubbing system with asymmetric stator stiffness at three different rotational speeds: (a,d) ω = 75.51 rad/s , (b,e) ω = 82.13 rad/s , and (c,f) ω = 85.10 rad/s . Plots (ac) are extracted from [15] (Figure 6), while plots (d,e) represent results from the present model. The parameters are K ^ x x = 31.28 , K ^ y y = 42.70 , and x ^ 0 = y ^ 0 = 0.0 , and the initial velocities are assumed to be zero. Additional parameters include ϵ x = 0.34 , ϵ y = 0.38 , γ = 5 × 10 4 m , m = 0.038 kg , M = 10.24 kg , and k r = 9.11 × 10 4 N / m .

3.3. System Response with Stator Asymmetry

Now, the stiffness asymmetry is included in the analysis using two sets of parameters as shown in Table 2. The first set of parameters, SP1, signifies the scenario where the stator stiffness is higher in the horizontal direction when compared to other directions. The second set of parameters, SP2, defines the condition where the stator is stiffer in the vertical direction. For both cases, the cross-coupling coefficients are considered as equal, i.e., symmetric cross-coupling stiffness. Figure 5 shows the bifurcation diagrams of the rotor radial displacement Z for both cases where the control parameter is taken as the frequency ratio η . To construct the shown diagrams, the damping rate ζ , mass ratio η m , and normalized unbalance radius ρ ^ are taken as stated in Table 1. It may be noticed from the zoomed-out bifurcation diagrams for both sets of stiffness parameters in Figure 5a,c that there is a specific range ( η [ 2 , 3.3 ] ) where the dynamic behaviour shows different features. Inspecting the local bifurcation diagram for this range for SP1 Figure 5b shows very rich dynamics. A series of complex dynamic behaviours exists where the response changes from period-1 to period-3 followed by a period-2 motion. Then, A period-doubling region starts at η = 2.65 , leading to chaos that coexists with period-4 motion in the range from η = 2.724 to η = 2.815 at which flip bifurcation occurs for the period-4 region then period-2 motion starts at η = 2.854 . For SP2, local bifurcation for this specific range of η [ 2 , 3.3 ] (see Figure 5d) shows that the system exhibits period-1 motion followed by a very short quasi-periodic motion region that starts at ( η = 2.35 ) . Then, period doubling occurs at η = 2.4 , where the response remains at period-2 as speed increases.
Table 2. Sets of nondimensional parameters for asymmetric stator stiffness cases.
Figure 5. Bifurcation diagrams with the frequency ratio as the control parameter for two stiffness asymmetry cases, (a) a bifurcation plot for SP1, (b) a zoomed-in bifurcation plot for SP1, (c) a bifurcation plot for SP2, and (d) a zoomed-in bifurcation plot for SP2. The vertical dotted red lines labeled a, b, c, d, and e in Figure 5b,d denote the locations at which the phase portraits in Figure 6a1–e3 and Figure 7a1–e3 are plotted, respectively.
The bifurcation diagram of the symmetric case in Figure 2a,b is compared with that of the asymmetric case in Figure 5a,b for SP1. In the SP1 case, the asymmetry in stiffness slightly affects the dimensionless speed at which the initial bifurcation commences, shifting it from 2.39 to 2.48. In the symmetric case, this bifurcation leads to a period-3 solution. In the asymmetric case, the results show quasiperiodic motion coexisting with period-3 motion, as shown in Figure 5b and Figure 6e2. In the other case of asymmetry, SP2, where K x x is reduced to 0.25 of K y y , the first bifurcation point appears earlier at η = 2.34 , followed by a region of quasiperiodic motion, as shown in Figure 7e2, followed by period-2 motion instead of the period-3 motion observed in the symmetric case.
Figure 6. Rotor radial displacement, orbit plot and frequency spectra in horizontal and vertical directions for a rotor with asymmetric stator stiffness (SP1) at different frequency ratios: (a1a3) η = 2 , (b1b3) η = 2.6 , (c1c3) η = 2.44 , (d1d3) η = 2.72 , and (e1e3) η = 2.57 . These correspond to the vertical red dotted lines in Figure 5b. The parameters are K ^ y y = 30 , K ^ x x = 1.5 K ^ y y , K ^ x y = K ^ y x = K ^ y y , and x ^ 0 = y ^ 0 = 0.1 , and initial velocities are assumed to be zero.
Figure 7. Rotor radial displacement, orbit plot and frequency spectra in horizontal and vertical directions for a rotor with asymmetric stator stiffness (SP2) at different frequency ratios: (a1a3) η = 2 , (b1b3) η = 2.6 , (c1c3) η = 2.44 , (d1d3) η = 2.72 , and (e1e3) η = 2.38 . These correspond to the vertical red dotted lines in Figure 5d. The parameters are K ^ y y = 30 , K ^ x x = 0.25 K ^ y y , K ^ x y = K ^ y x = K ^ y y , and x ^ 0 = y ^ 0 = 0.1 , and initial velocities are assumed to be zero.
For SP1, a further increase in η results in another bifurcation at η = 2.58 from quasiperiodic to period-2, which is a similar trend to the symmetric case. Conversely, a completely different behaviour is shown in SP2, where no bifurcation appears in this region, as shown in Figure 5d. Additionally, Figure 2a shows two peaks in the bifurcation diagram at η = 1.7 and η = 3.3 for the symmetric case. These two peaks are also recognized in both SP1 and SP2, appearing at η = 1.73 and η = 3.48 for SP1, and at η = 1.5 and η = 3 for SP2.
It is clearly shown that the system response is highly influenced by the stator asymmetry. For SP1 (Figure 6), the system response changes in certain areas from periodic to quasiperiodic motions. Meanwhile, in the SP2 case, the system exhibits either period-1 (see Figure 7a2) or period-2 motion (see Figure 7b2–d2), except for a very short range of frequencies where it shows quasiperiodic behaviour (Figure 7e2), which is completely different in comparison with the symmetric case. Inspecting the frequency spectra at this frequency ratio η = 2.38 shows incommensurate frequency components around the second-order subharmonic, i.e., the ratio of peaks is irrational, which is a well-known indicator of quasiperiodic response.

3.4. Effect of Damping Ratio

Bifurcation diagrams of the nondimensional radial displacement versus the damping ratio ζ at two different frequency ratios of η = 2.2 and η = 2.44 are shown in Figure 8 and Figure 9, respectively. For the symmetric stator case at η = 2.2 , the response exhibits chaos for low values of damping then stabilizes at ζ = 0.056 to period-1 motion (Figure 8a). For the asymmetric stator case (SP1), the response is prominently period-1. But for SP2, chaotic behaviour is observed at low values of damping ( ζ [ 0.02 , 0.1 ] ) . The route out of chaos occurs through a small region of period-halving near ζ = 0.1 .
Figure 8. Bifurcation diagrams for radial displacement Z with ζ as a control parameter, (a) symmetric stator stiffness ( K ^ x x = K ^ y y ) , (b) asymmetric stator stiffness case (SP1), (c) asymmetric stator stiffness case (SP2), and η = 2.2 .
Figure 9. Bifurcation diagrams for radial displacement Z with ζ as a control parameter, (a) symmetric stator stiffness ( K ^ x x = K ^ y y ) , (b) asymmetric stator stiffness case (SP1), (c) asymmetric stator stiffness case (SP2), and η = 2.44 .
At frequency ratio η = 2.44 , the system with a symmetric stator (see Figure 9a) experiences quasi-periodic response with co-existing period-3 motion followed by period-6 response that starts at ζ = 0.104 , then period halving occurs to start period-3 motion at ζ = 0.123 . Then, stabilization at period-1 initiates at ζ = 0.131 with a slight decrease in amplitude as damping increases. For the asymmetric stator case (SP1), regions of quasi-periodic response coexist with period-2 for small values of damping and the system reaches period-1 at ζ = 0.09 (Figure 9b).
When the stator stiffness is highest in the vertical direction (SP2), the system exhibits chaotic behaviour followed by rich dynamics in the range of ζ [ 0.05 , 0.1 ] . After exiting chaos at ζ = 0.052 , a region of period-6 motion appears then chaotic behaviour starts at ζ = 0.0744 with coexisting period-6 response. This region ends at ζ = 0.098 when a short quasi-periodic area occurs and afterwards, period-2 response prevails starting from ζ = 0.11 . To better demonstrate the dynamic behaviour, orbit plots at different damping ratios are given in Figure 10. Sixth-order subharmonics, i.e., one-sixth of the synchronous speed and its multiples, clearly appear in the frequency spectra at ζ = 0.06 (see Figure 10a). In the range of coexisting periodic–chaotic response when ζ [ 0.0744 , 0.098 ] , chaos appears, accompanied by the frequency modulation of period-6 (Figure 10b) which is often observed in rotordynamic systems exhibiting chaos.
Figure 10. Bifurcation diagram with damping ratio as control parameter for asymmetric stator stiffness (SP2) at frequency ratio η = 2.44 . Selected orbit plots and frequency spectra in horizontal and vertical directions for different damping ratios, ζ = 0.06 , ζ = 0.082 , ζ = 0.1 , and ζ = 0.125 . Subfigures (ad) represent orbit plots corresponding to the vertical dotted lines in the main bifurcation diagram.

4. Conclusions

In this study, the nonlinear dynamic interactions of a rotor whirling inside a stator (snubber ring) have been analysed via a simple 2-DOF model that takes the full asymmetry of the stator into consideration. In such piecewise smooth dynamical systems, the governing equations are known to be strongly nonlinear in nature. The coupled equations of motion have been nondimensionalized with respect to the rotor’s mass and then solved numerically. Bifurcation diagrams, time histories, orbit plots and frequency spectra were used to investigate and compare the system response with and without stator asymmetry. The stator stiffness asymmetry was discussed involving both the direct and cross-coupling stiffness coefficients using two sets of parameters, SP1 and SP2. The former assumed that the stator is more stiff in the horizontal direction (i.e., K ^ x x ) in comparison to other directions, meanwhile, the vertical stiffness K ^ y y is the highest in the latter.
It was shown that considering stator asymmetry introduces significant changes in the system dynamic behaviour. Very rich dynamics of periodic, quasi-periodic, and chaotic responses in addition to regions of periodic and quasi-periodic zones with coexisting chaos were shown in the bifurcation analysis. Changes in the bifurcation characteristics were clearly observed such as shifting in periodic/chaotic areas, differences in the onset of chaos and routes out of chaos. Period halving and jump bifurcation were identified as routes out of chaos for the parameters used. On the other hand, the system mostly switched to chaos via quasi-periodic and period doubling routes. Frequency spectra were shown to provide clear indicators that characterize the system response. Broad-band frequency content was observed for chaotic responses and incommensurate frequency components appeared clearly in quasi-periodic signatures. Periodic responses from period-1 up to period-6 have been seen in the frequency domain as they are subharmonic components.
The system response was found to be extremely sensitive to changing system parameters such as the frequency ratio and the damping ratio. For instance, in the studied range of frequency ratios, it was clearly shown that even very small changes in rotational frequency will give rise to completely different response and bifurcation patterns. As the damping ratio was increased for the asymmetric cases SP1 and SP2, it was shown that the system is brought into periodic responses sooner when compared with the symmetric case. The results emphasize that the system response is significantly affected by the introduced stator stiffness asymmetry and its interaction with other system parameters was highlighted. Hence, it is concluded that the influence of stator asymmetry is crucial and should be included in the mathematical models of rotor–stator interactions. Further work will include experimental verification of the presented model. Moreover, the effects including damping and friction at the contact interface will be investigated in our follow up studies.

Author Contributions

Conceptualization, V.V. and M.W.; Methodology, H.H.E.-M. and M.W.; Software, H.H.E.-M. and T.A.E.-S.; Validation, H.H.E.-M.; Formal analysis, H.H.E.-M.; Investigation, H.H.E.-M., T.A.E.-S. and V.V.; Resources, V.V. and M.W.; Writing—original draft, H.H.E.-M.; Writing—review & editing, H.H.E.-M., T.A.E.-S., V.V. and M.W.; Supervision, M.W. All authors have read and agreed to the published version of the manuscript.

Funding

This research received no external funding.

Data Availability Statement

Data are contained within the article.

Acknowledgments

The first two authors would like to highly acknowledge the financial support presented by the Egyptian Ministry of Higher Education and Helwan University of Egypt for funding their research visit to the University of Aberdeen.

Conflicts of Interest

The authors declare no conflicts of interest.

Nomenclature

CViscous damping coefficient of rotor
F n x Normal contact force component in horizontal direction
F n y Normal contact force component in vertical direction
KRotor stiffness
K i j Snubber ring stiffness (i = subscript denoting direction of force and j = subscript
denoting direction of displacement)
K ^ i j Nondimensional stator stiffness ratio
K ^ s Ratio between snubber ring symmetric stiffness and rotor stiffness
mUnbalance mass
MRotor mass
O r 0 Rotor’s center at static equilibrium position
O s 0 Stator’s center at static equilibrium position
RRotor radial displacement
tTime
xRotor displacement in horizontal direction
x ^ Nondimensional displacement of rotor in horizontal direction
x s Snubber ring displacement in horizontal direction
XAmplitude of horizontal displacement in frequency domain
yRotor displacement in vertical direction
y ^ Nondimensional displacement of rotor in vertical direction
y s Snubber ring displacement in vertical direction
YAmplitude of vertical displacement in frequency domain
ZNondimensional radial displacement
γ Radial clearance between the rotor and snubber ring
ε x Static eccentricity between the rotor and snubber ring centers in horizontal direction
ε ^ x Normalized static eccentricity in horizontal direction
ε y Static eccentricity between the rotor and snubber ring centers in vertical direction
ε ^ y Normalized static eccentricity in vertical direction
ζ Damping ratio
η Ratio between rotational frequency and natural frequency
η m Mass ratio
λ Switching function between contact and non-contact modes
ρ Radius of unbalance mass
ρ ^ Normalized radius of unbalance mass
τ Nondimensionalized time
φ 0 Initial phase angle
ψ Angular displacement of rotor
ω n Rotor natural frequency
Δ τ Nondimensional time interval
Ω Rotational frequency of rotor

References

  1. Muszynska, A. Rotor-to-stationary element sub-related vibration phenomena in rotating machinery: Literature survey. Shock Vib. Dig. 1989, 21, 3–11. [Google Scholar] [CrossRef]
  2. Ahmad, S. Rotor casing contact phenomenon in rotor dynamics—Literature survey. J. Vib. Control 2010, 16, 1369–1377. [Google Scholar] [CrossRef]
  3. Jacquet-Richardet, G.; Torkhani, M.; Cartraud, P.; Thouverez, F.; Baranger, T.N.; Herran, M.; Gibert, C.; Baguet, S.; Almeida, P.; Peletan, L. Rotor to stator contacts in turbomachines. Review and application. Mech. Syst. Signal Process. 2013, 40, 401–420. [Google Scholar] [CrossRef]
  4. Alber, O.; Markert, R. Rotor-stator contact–overview of current research. In MATEC Web of Conferences; EDP Sciences: Les Ulis, France, 2014; Volume 16, p. 03001. [Google Scholar]
  5. Prabith, K.; Krishna, I.R.P. The numerical modelling of rotor–stator rubbing in rotating machinery: A comprehensive review. Nonlinear Dyn. 2020, 101, 1317–1363. [Google Scholar] [CrossRef]
  6. Ehrich, F.F. The dynamic stability of rotor/stator radial rubs in rotating machinery. J. Eng. Ind. 1969, 91, 1025–1028. [Google Scholar] [CrossRef]
  7. Childs, D.W. Rub-induced parametric excitation in rotors. J. Mech. Des. 1979, 101, 640–644. [Google Scholar] [CrossRef]
  8. Beatty, R.F. Differentiating rotor response due to radial rubbing. J. Vib. Acoust. Stress Reliab. Des. 1985, 107, 151–160. [Google Scholar] [CrossRef]
  9. Smalley, A. The dynamic response of rotors to rubs during startup. J. Vib. Acoust. Stress Reliab. Des. 1989, 111, 226–233. [Google Scholar] [CrossRef]
  10. Pavlovskaia, E.E.; Karpenko, E.; Wiercigroch, M. Non-linear dynamic interactions of a Jeffcott rotor with preloaded snubber ring. J. Sound Vib. 2004, 276, 361–379. [Google Scholar] [CrossRef]
  11. El-Mongy, H.; El-Sayed, T.; Vaziri, V.; Wiercigroch, M. Piecewise analytical solution for rub interactions between a rotor and an asymmetrically supported stator. In Recent Trends in Wave Mechanics and Vibrations; Dimitrovová, Z., Biswas, P., Gonçalves, R., Silva, T., Eds.; Springer International Publishing: Cham, Switzerland, 2022; pp. 532–539. [Google Scholar]
  12. Karpenko, E.V.; Wiercigroch, M.; Cartmell, M.P. Regular and chaotic dynamics of a discontinuously nonlinear rotor system. Chaos Solitons Fractals 2002, 13, 1231–1242. [Google Scholar] [CrossRef]
  13. Popprath, S.; Ecker, H. Nonlinear dynamics of a rotor contacting an elastically suspended stator. J. Sound Vib. 2007, 308, 767–784. [Google Scholar] [CrossRef]
  14. Patel, T.; Darpe, A. Use of full spectrum cascade for rotor rub identification. Adv. Vib. Eng. 2009, 8, 139–151. [Google Scholar]
  15. Chávez, J.P.; Hamaneh, V.V.; Wiercigroch, M. Modelling and experimental verification of an asymmetric Jeffcott rotor with radial clearance. J. Sound Vib. 2015, 334, 86–97. [Google Scholar] [CrossRef]
  16. Varney, P.; Green, I. Nonlinear phenomena, bifurcations, and routes to chaos in an asymmetrically supported rotor–stator contact system. J. Sound Vib. 2015, 336, 207–226. [Google Scholar] [CrossRef]
  17. Chipato, E.; Shaw, A.; Friswell, M. Frictional effects on the nonlinear dynamics of an overhung rotor. J. Commun. Nonlinear Sci. Numer. Simul. 2019, 78, 104875. [Google Scholar] [CrossRef]
  18. Wang, N.; Jiang, D.; Xu, H. Effects of Rub-Impact on Vibration Response of a Dual-Rotor System-Theoretical and Experimental Investigation. Exp. Tech. 2019, 44, 299–311. [Google Scholar] [CrossRef]
  19. Taher, G.A.F.; Rabeih, E.A.; El-Mongy, H.H. Experimental and numerical study of lateral vibration of a rotor–stator rubbing system. Int. J. Dyn. Control 2024, 12, 3139–3154. [Google Scholar] [CrossRef]
  20. Patel, T.H.; Darpe, A.K. Coupled bending-torsional vibration analysis of rotor with rub and crack. J. Sound Vib. 2009, 326, 740–752. [Google Scholar] [CrossRef]
  21. Al-bedoor, B.O. Transient torsional and lateral vibrations of unbalanced rotors with rotor-to-stator rubbing. J. Sound Vib. 2000, 229, 627–645. [Google Scholar] [CrossRef]
  22. Choy, F.; Padovan, J. Non-linear transient analysis of rotor-casing rub events. J. Sound Vib. 1987, 113, 529–545. [Google Scholar] [CrossRef]
  23. Ma, H.; Zhao, Q.; Zhao, X.; Han, Q.; Wen, B. Dynamic characteristics analysis of a rotor–stator system under different rubbing forms. Appl. Math. Model. 2015, 39, 2392–2408. [Google Scholar] [CrossRef]
  24. Karpenko, E.V.; Wiercigroch, M.; Pavlovskaia, E.E.; Cartmell, M.P. Piecewise approximate analytical solutions for a Jeffcott rotor with a snubber ring. Int. J. Mech. Sci. 2002, 44, 475–488. [Google Scholar] [CrossRef]
  25. Kim, Y.; Noah, S. Bifurcation analysis for a modified Jeffcott rotor with bearing clearances. Nonlinear Dyn. 1990, 1, 221–241. [Google Scholar] [CrossRef]
  26. Wilkes, J.C.; Childs, D.W.; Dyck, B.J.; Phillips, S.G. The numerical and experimental characteristics of multimode dry-friction whip and whirl. J. Eng. Gas Turbines Power 2010, 132, 052503. [Google Scholar] [CrossRef]
  27. Praveen Krishna, I.; Padmanabhan, C. Experimental and numerical investigations on rotor–stator rub. Proc. Inst. Mech. Eng. Part C: J. Mech. Eng. Sci. 2018, 232, 3200–3212. [Google Scholar] [CrossRef]
  28. Goldman, P.; Muszynska, A. Chaotic behavior of rotor/stator systems with rubs. J. Eng. Gas Turbines Power 1994, 116, 692–701. [Google Scholar] [CrossRef]
  29. Lin, F.; Schoen, M.; Korde, U. Numerical investigation with rub-related vibration in rotating machinery. J. Vib. Control 2001, 7, 833–848. [Google Scholar] [CrossRef]
  30. Sawicki, J.T.; Padovan, J.; Al-Khatib, R. The dynamics of rotor with rubbing. Int. J. Rotating Mach. 1999, 5, 295–304. [Google Scholar] [CrossRef]
  31. Zheng, Z.; Xie, Y.; Zhang, D.; Ye, X. Effects of Stator Stiffness, Gap Size, Unbalance, and Shaft’s Asymmetry on the Steady-State Response and Stability Range of an Asymmetric Rotor with Rub-Impact. Shock Vib. 2019, 2019, 6162910. [Google Scholar] [CrossRef]
  32. Cao, J.; Ma, C.; Jiang, Z.; Liu, S. Nonlinear dynamic analysis of fractional order rub-impact rotor system. J Commun. Nonlinear Sci. Numer. Simul. 2011, 16, 1443–1463. [Google Scholar] [CrossRef]
  33. Hou, L.; Chen, Y.; Cao, Q. Nonlinear vibration phenomenon of an aircraft rub-impact rotor system due to hovering flight. Commun. Nonlinear Sci. Numer. Simul. 2014, 19, 286–297. [Google Scholar] [CrossRef]
  34. Yang, Y.; Wang, Y.; Gao, Z. Nonlinear analysis of a rub-impact rotor with random stiffness under random excitation. Adv. Mech. Eng. 2016, 8, 1687814016668090. [Google Scholar] [CrossRef]
  35. Ehrich, F.F. Subharmonic vibration of rotors in bearing clearance. In Mechanical Engineering; ASME-AMER SOC MECHANICAL ENG 345 E 47TH ST: New York, NY, USA, 1966; Volume 88, p. 56. [Google Scholar]
  36. Bently, D. Forced sub-rotative speed dynamic action of rotating machinery. In Proceedings of the Fourth Turbomachinery Symposium, College Station, TX, USA, 25–27 September 1974; Volume 96, p. 60. [Google Scholar]
  37. Childs, D.W. Fractional-frequency rotor motion due to nonsymmetric clearance effects. J. Eng. Power 1982, 104, 533–541. [Google Scholar] [CrossRef]
  38. Ehrich, F.F. High order subharmonic response of high speed rotors in bearing clearance. J. Vib. Acoust. Stress. Reliab. Des. 1988, 110, 9–16. [Google Scholar] [CrossRef]
  39. Von Groll, G.t.; Ewins, D.J. A mechanism of low subharmonic response in rotor/stator contact—Measurements and simulations. J. Vib. Acoust. 2002, 124, 350–358. [Google Scholar] [CrossRef]
  40. Chu, F.; Lu, W. Experimental observation of nonlinear vibrations in a rub-impact rotor system. J. Sound Vib. 2005, 283, 621–643. [Google Scholar] [CrossRef]
  41. Ma, H.; Shi, C.; Han, Q.; Wen, B. Fixed-point rubbing fault characteristic analysis of a rotor system based on contact theory. Mech. Syst. Signal Process. 2013, 38, 137–153. [Google Scholar] [CrossRef]
  42. Mokhtar, M.A.; Darpe, A.K.; Gupta, K. Analysis of stator vibration response for the diagnosis of rub in a coupled rotor-stator system. Int. J. Mech. Sci. 2018, 144, 392–406. [Google Scholar] [CrossRef]
  43. Tang, Y.; Lin, F.; Zou, Q. Dynamical behavior analysis of rubbing rotor system under asymmetric oil film force. Math. Probl. Eng. 2019, 2019, 1253646. [Google Scholar] [CrossRef]
Disclaimer/Publisher’s Note: The statements, opinions and data contained in all publications are solely those of the individual author(s) and contributor(s) and not of MDPI and/or the editor(s). MDPI and/or the editor(s) disclaim responsibility for any injury to people or property resulting from any ideas, methods, instructions or products referred to in the content.

Article Metrics

Citations

Article Access Statistics

Multiple requests from the same IP address are counted as one view.