Design and Rapid Prototyping of Deformable Rotors for Amphibious Navigation in Water and Air
Abstract
1. Introduction
2. Geometric Principles of the Deformation Mechanism
2.1. Kresling Origami Structure
2.2. Spherical Four-Bar Mechanism
3. Deformation Driving Mechanism
3.1. Variable Blade Angle Hub
3.2. Extensional-Torsional Deformable Blade
3.3. Variable Thickness Rib Structure
3.4. Propeller Deformation Driving Mechanism
4. Kinematic Analysis
4.1. Shape Parameterization of Blade Section
4.2. Shape Parameterization of s-Units
4.3. Deformation Analysis
4.3.1. Extension Deformation
4.3.2. Torsion Deformation
4.3.3. Thickness Deformation
5. Simulation and Rapid Prototyping Experiment
6. Conclusions
- The modified Kresling structure can be effectively applied to the design of hubs with variable blade angles. The spherical space scissor structure composed of equilateral s-units and oblique symmetric s-units alternately has the deformation ability of extensional-torsional coupling and is suitable as the deformation driving structure of the deformable propeller blades for amphibious applications in water and air.
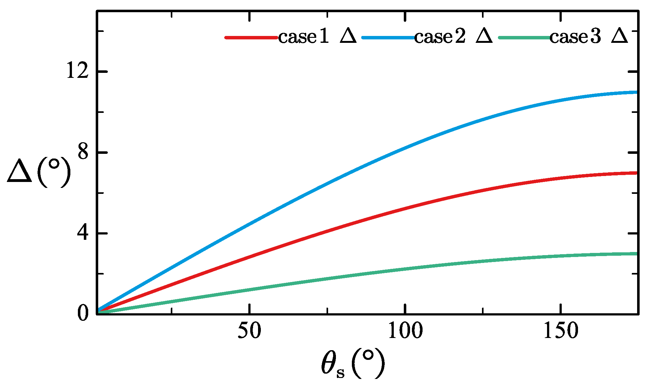
- By comparing the motion simulation results and the calculation structure of the proposed motion model, it is proved that the mechanism kinematics model based on the coordinate transformation method can accurately describe the deformation characteristics of the propeller.
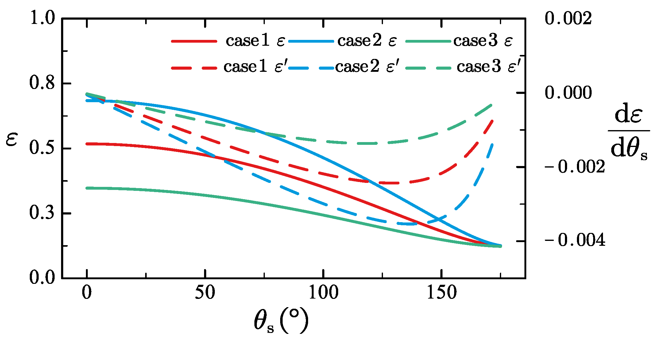
- According to the deformation analysis, it can be found that when the mechanism is in the extended state, the blade torsional deformation amplitude is relatively large, and the telescopic deformation amplitude is relatively small. When the mechanism is in the folded state, the blade torsional deformation amplitude is relatively small, and the telescopic deformation amplitude is relatively large.
- Through kinematic analysis and simulation, it is found that the designed structure can significantly change the radius and blade angle of the propeller. When equilateral s-units and oblique-symmetrical s-units with the same design variables are used to form the blade deformation mechanism, the blade attack angle is linearly distributed before and after deformation.
- Through rapid prototype testing, the motion characteristics of the deformation mechanism are verified. There is no interference or singularity in the deformation process, and the mechanism operates stably.
- The overall structure is relatively heavy, and there is a slight deformation at the blade root, resulting in a drooping phenomenon of the blade in the aerial state. Compared with common propellers, an additional drive is required to control the deformation of the propeller, which increases the mechanical complexity. The series-connected linkage mechanism causes a certain degree of decrease in blade strength. In addition, the manufacturing cost is higher, the design process is more complicated, and higher requirements are imposed on the machining accuracy.
- Compared with the common fixed propeller, the advantage of the deformable propeller is that it can incorporate the variables of blade angle, twist angle distribution, and diameter in both underwater and aerial working conditions into the design space, rather than making a compromise design. This is the potential of the proposed deformable propeller.
Author Contributions
Funding
Data Availability Statement
Conflicts of Interest
References
- Yao, G.; Li, Y.; Zhang, H.; Jiang, Y.; Wang, T.; Sun, F.; Yang, X. Review of hybrid aquatic-aerial vehicle (HAAV): Classifications, current status, applications, challenges and technology perspectives. Prog. Aerosp. Sci. 2023, 139, 100902. [Google Scholar] [CrossRef]
- Ma, Z.; Chen, D.; Li, G.; Jing, X.; Xiao, S. Configuration design and trans-media control status of the hybrid aerial underwater vehicles. Appl. Sci. 2022, 12, 765. [Google Scholar] [CrossRef]
- Farinha, A.T.; Di Tria, J.; Reyes, M.; Rosas, C.; Pang, O.; Zufferey, R.; Pomati, F.; Kovac, M. Off-shore and underwater sampling of aquatic environments with the aerial-aquatic drone MEDUSA. Front. Environ. Sci. 2022, 10, 1023269. [Google Scholar] [CrossRef]
- Sánchez-García, J.; García-Campos, J.M.; Arzamendia, M.; Reina, D.G.; Toral, S.; Gregor, D. A survey on unmanned aerial and aquatic vehicle multi-hop networks: Wireless communications, evaluation tools and applications. Comput. Commun. 2018, 119, 43–65. [Google Scholar] [CrossRef]
- Deng, F.; Sun, X.; Chi, F.; Ji, R. A Numerical Study on the Water Entry of Cylindrical Trans-Media Vehicles. Aerospace 2022, 9, 805. [Google Scholar] [CrossRef]
- Yuan, S.; Li, Y.; Bao, F.; Xu, H.; Yang, Y.; Yan, Q.; Zhong, S.; Yin, H.; Xu, J.; Huang, Z.; et al. Marine environmental monitoring with unmanned vehicle platforms: Present applications and future prospects. Sci. Total Environ. 2023, 858, 159741. [Google Scholar] [CrossRef]
- Lawson, J.; Farinha, A.; Romanello, L.; Pang, O.; Zufferey, R.; Kovac, M. Use of an unmanned aerial-aquatic vehicle for acoustic sensing in freshwater ecosystems. Remote Sens. Ecol. Conserv. 2024, 10, 343–359. [Google Scholar] [CrossRef]
- Jin, Y.; Bi, Y.; Lyu, C.; Bai, Y.; Zeng, Z.; Lian, L. Nezha-IV: A hybrid aerial underwater vehicle in real ocean environments. J. Field Robot. 2024, 41, 420–442. [Google Scholar] [CrossRef]
- Wu, S.; Shao, M.; Wu, S.; He, Z.; Zhang, J.; Liu, Y.; Liu, Y. A high maneuvering motion strategy and stable control method for tandem twin-rotor aerial-aquatic vehicles near the water surface. Def. Technol. 2024, in press. [CrossRef]
- Siddall, R.; Kovač, M. Launching the AquaMAV: Bioinspired design for aerial–aquatic robotic platforms. Bioinspiration Biomimetics 2014, 9, 031001. [Google Scholar] [CrossRef]
- Sun, Y.; Liu, X.; Cao, K.; Shen, H.; Li, Q.; Chen, G.; Xu, J.; Ji, A. Design and Theoretical Research on Aerial-Aquatic Vehicles: A Review. J. Bionic Eng. 2023, 20, 2512–2541. [Google Scholar] [CrossRef]
- Piskur, P.; Szymak, P.; Przybylski, M.; Naus, K.; Jaskólski, K.; Żokowski, M. Innovative Energy-Saving Propulsion System for Low-Speed Biomimetic Underwater Vehicles. Energies 2021, 14, 8418. [Google Scholar] [CrossRef]
- Piskur, P. Side Fins Performance in Biomimetic Unmanned Underwater Vehicle. Energies 2022, 15, 5783. [Google Scholar] [CrossRef]
- Li, Q.; Tan, T.; Wang, B.; Yan, Z. Avian-inspired embodied perception in biohybrid flapping-wing robotics. Nat. Commun. 2024, 15, 9099. [Google Scholar] [CrossRef] [PubMed]
- Liu, S.; Du, C.; Han, Y.; Zhang, Y.; Lin, W.; Cai, Y.; Wang, T. Research on Hydrodynamics of Trans-Media Vehicles Considering Underwater Time-Varying Attitudes. J. Mar. Sci. Eng. 2024, 12, 1338. [Google Scholar] [CrossRef]
- Li, J.; Chen, S.; Guo, M.; Tao, T.; Li, R. Underwater dynamics modeling and simulation analysis of trans-media multicopter. In Proceedings of the 2021 5th International Conference on Robotics and Automation Sciences (ICRAS), Wuhan, China, 11–13 June 2021; pp. 116–122. [Google Scholar]
- Song, C.; Xu, H.; Zhang, L.; Chen, H. Variable Structure Water-Air Amphibious Trans-Media Vehicle Concept Design and Characteristic Analysis. In Proceedings of the International Conference on Autonomous Unmanned Systems, Nanjing, China, 8–11 September 2023; Springer: Singapore, 2023; pp. 91–101. [Google Scholar]
- Drews, P.L.; Neto, A.A.; Campos, M.F. Hybrid unmanned aerial underwater vehicle: Modeling and simulation. In Proceedings of the 2014 IEEE/RSJ International Conference on Intelligent Robots and Systems, Chicago, IL, USA, 14–18 September 2014; pp. 4637–4642. [Google Scholar]
- Horn, A.C.; Pinheiro, P.M.; Silva, C.B.; Neto, A.A.; Drews, P.L., Jr. A study on configuration of propellers for multirotor-like hybrid aerial-aquatic vehicles. In Proceedings of the 2019 19th International Conference on Advanced Robotics (ICAR), Belo Horizonte, Brazil, 2–6 December 2019; pp. 173–178. [Google Scholar]
- Alzu’bi, H.; Akinsanya, O.; Kaja, N.; Mansour, I.; Rawashdeh, O. Evaluation of an aerial quadcopter power-plant for underwater operation. In Proceedings of the 2015 10th International Symposium on Mechatronics and Its Applications (ISMA), Sharjah, United Arab Emirates, 8–10 December 2015; pp. 1–4. [Google Scholar]
- Alzu’bi, H.; Mansour, I.; Rawashdeh, O. Loon copter: Implementation of a hybrid unmanned aquatic–aerial quadcopter with active buoyancy control. J. Field Robot. 2018, 35, 764–778. [Google Scholar] [CrossRef]
- Tan, Y.H.; Chen, B.M. Design of a morphable multirotor aerial-aquatic vehicle. In Proceedings of the Oceans 2019 Mts/IEEE Seattle, Seattle, WA, USA, 27–31 October 2019; pp. 1–8. [Google Scholar]
- Tan, Y.H.; Chen, B.M. A morphable aerial-aquatic quadrotor with coupled symmetric thrust vectoring. In Proceedings of the 2020 IEEE International Conference on Robotics and Automation (ICRA), Paris, France, 31 May–31 August 2020; pp. 2223–2229. [Google Scholar]
- Tan, Y.H.; Chen, B.M. Underwater stability of a morphable aerial-aquatic quadrotor with variable thruster angles. In Proceedings of the 2021 IEEE International Conference on Robotics and Automation (ICRA), Xi’an, China, 30 May–5 June 2021; pp. 314–320. [Google Scholar]
- Wang, W.; Wang, L.; Zhang, K.; Huang, Y. Lift–Drag Performance of a New Unmanned Aerial Vehicle in Different Media and Ground Effect. J. Mar. Sci. Eng. 2024, 12, 1052. [Google Scholar] [CrossRef]
- Liao, F.; Ye, D. Disturbance Observer-Based Robust Take-Off Control for a Semi-Submersible Permeable Slender Hybrid Unmanned Aerial Underwater Quadrotor. Appl. Sci. 2023, 13, 9318. [Google Scholar] [CrossRef]
- Villegas, A.; Mishkevich, V.; Gulak, Y.; Diez, F. Analysis of key elements to evaluate the performance of a multirotor unmanned aerial–aquatic vehicle. Aerosp. Sci. Technol. 2017, 70, 412–418. [Google Scholar] [CrossRef]
- Tan, Y.H.; Chen, B.M. Motor-Propeller Matching of Aerial Propulsion Systems for Direct Aerial-Aquatic Operation. In Proceedings of the 2019 IEEE/RSJ International Conference on Intelligent Robots and Systems (IROS), Macau, China, 3–8 November 2019; pp. 1963–1970. [Google Scholar] [CrossRef]
- Shi, D.; Dai, X.; Zhang, X.; Quan, Q. A Practical Performance Evaluation Method for Electric Multicopters. IEEE/ASME Trans. Mechatronics 2017, 22, 1337–1348. [Google Scholar] [CrossRef]
- Khan, O.; Pervaiz, M.; Ahmad, E.; Iqbal, J. On the derivation of novel model and sophisticated control of flexible joint manipulator. Rev. Roum. Des Sci. Tech.-Ser. Électrotechnique Et Énergétique 2017, 62, 103–108. [Google Scholar]
- Kidambi, N.; Wang, K. Dynamics of Kresling origami deployment. Phys. Rev. E 2020, 101, 063003. [Google Scholar] [CrossRef] [PubMed]

























| Deformation Characteristic | Parameters |
|---|---|
| Extension | , , , , l |
| Torsion | , , |
| Thickness |
| Example 1 | Example 2 | Example 3 | |
|---|---|---|---|
| 15 | 20 | 10 | |
| 18.5 | 23.5 | 13.5 | |
| 11.5 | 16.5 | 6.5 |
| Example 1 | Example 2 | Example 3 | |
|---|---|---|---|
| 15 | 15 | 15 | |
| 18.5 | 20.5 | 16.5 | |
| 11.5 | 9.5 | 13.5 |
| Shape Coefficient | Value | Meaning |
|---|---|---|
| Angle of Kresling revolute joint and cylindrical joint | ||
| Angle of equilateral s-unit linkage | ||
| Angle of oblique symmetric s-unit linkage (AB and CD) | ||
| Angle oblique symmetric s-unit linkage (BC and DA) | ||
| Angle between AB and DA linkage in aerial shape | ||
| Angle between AB and DA linkage in aquatic shape | ||
| H | 50 mm | Size of hub top and bottom linkage |
| t | 5 mm | Length of hinge |
| 263.872 mm | Propeller diameter in aerial mode | |
| 178.285 mm | Propeller diameter in aquatic mode | |
| Twist angle between sections in aerial mode | ||
| Twist angle between sections in aquatic mode | ||
| Blade angle in aerial mode | ||
| Blade angle in aquatic mode |
| Deformable Propeller | Fixed Shape Propeller | |
|---|---|---|
| Weight | Heavy | Light |
| Mechanical complexity | Complex | Simple |
| Drive requirement | Shaft/deformation drive | Shaft drive |
| Drive compatibility | Active design | Compromise design |
Disclaimer/Publisher’s Note: The statements, opinions and data contained in all publications are solely those of the individual author(s) and contributor(s) and not of MDPI and/or the editor(s). MDPI and/or the editor(s) disclaim responsibility for any injury to people or property resulting from any ideas, methods, instructions or products referred to in the content. |
© 2024 by the authors. Licensee MDPI, Basel, Switzerland. This article is an open access article distributed under the terms and conditions of the Creative Commons Attribution (CC BY) license (https://creativecommons.org/licenses/by/4.0/).
Share and Cite
Du, C.; Zhao, D. Design and Rapid Prototyping of Deformable Rotors for Amphibious Navigation in Water and Air. Machines 2024, 12, 837. https://doi.org/10.3390/machines12120837
Du C, Zhao D. Design and Rapid Prototyping of Deformable Rotors for Amphibious Navigation in Water and Air. Machines. 2024; 12(12):837. https://doi.org/10.3390/machines12120837
Chicago/Turabian StyleDu, Chengrong, and Dongbiao Zhao. 2024. "Design and Rapid Prototyping of Deformable Rotors for Amphibious Navigation in Water and Air" Machines 12, no. 12: 837. https://doi.org/10.3390/machines12120837
APA StyleDu, C., & Zhao, D. (2024). Design and Rapid Prototyping of Deformable Rotors for Amphibious Navigation in Water and Air. Machines, 12(12), 837. https://doi.org/10.3390/machines12120837
