Abstract
The rake angles on both sides of the cutting edges of the hourglass worm gear hob significantly influence its cutting performance, which, in turn, plays a decisive role in the surface quality of the machined worm wheel. To balance the rake angles along the tooth height direction of each hob tooth and enhance the overall cutting performance of the hob, this paper proposes a method that utilizes a rotating paraboloid surface to generate the helical rake face of the hourglass worm gear hob. First, the conjugate condition equations for the rake face generated by the rotating paraboloid surface are derived. A mathematical model for the helical rake face of planar double-enveloping hourglass worm gear hob is established. This study explores the influence of two machining parameters on the rake angle, specifically the milling drive ratio coefficient k and the geometric parameter of a parabolic milling cutter p. Through a systematic analysis of the variations in rake angle at the dividing toroidal surface and along the tooth height direction, the optimal parameter values were identified as k = 0.9115 and p = 0.6834. The results show that, after optimization, the hob rake angle range is around ±4.7°, with a maximum rake angle difference of 6.3072° along the tooth height direction, and the rake angles on both sides of the teeth are more balanced. The structure of the rake face is more reasonable, reflecting the feasibility of rotating paraboloid tools for forming tools in the machining of complex surfaces.
1. Introduction
The geometric shape of the rake face of the hourglass worm gear hob affects the rake angles on both sides of the hob teeth. The magnitude and selection of the rake angle directly affect the cutting force, cutting temperature, tool life, and surface quality of the machined workpiece, as well as the formation and evacuation of chips [1,2]. The rake face of the cutting tool after machining the chip-holding groove is obtained. The geometric shape of the rake face is most significantly influenced by the processing transmission ratio and the geometric parameters of the tool [3,4].
However, significant differences in rake angle still exist from the tooth top to root, and local improvements in rake angle do not necessarily enhance the overall cutting performance of the hob [5,6]. Therefore, it is essential to investigate the impact of different cutting tools and their geometric parameters on the rake angle, aiming to determine the optimal geometric parameters to improve the rake angle at all sections of the hob teeth and thus enhance the overall cutting performance of the hob [7]. However, using cylindrical, conical, or flat productive tools does not achieve balanced rake angles along the tooth height direction. The machined rake face exhibits a convex shape, as shown in Figure 1a, which severely affects the surface quality of the worm wheel [8,9].
Figure 1.
Structural machining of the rake face: (a) convex structure in the rake face; and (b) without convex structure.
It is feasible to machine the rake face of a hob using a generating plane with a flat grinding wheel; however, when generating the helical rake face, a convexity in the middle of the rake face often occurs. Additionally, there is a risk of interference between the generating plane and the hob teeth, which can damage the teeth [10,11]. Liu J [12] studied the grinding of the helical groove rake face of gear hobs using a grinding wheel with a modified axial cross-section of the flat grinding wheel. For cylindrical hobs and gear hobs, a single grinding wheel axial cross-section is sufficient to grind the helical groove rake face of cylindrical hobs. However, for the hourglass worm gear hob, each teeth edge curve and the helix angle at every point on the helical surface differ [13,14], meaning that, theoretically, multiple grinding wheels with different axial cross-sections are needed, which is challenging to implement in actual production. Yang Jie [15] and others attempted to use a varying transmission ratio to grind the rake face using a double-enveloping grinding wheel, but they could not eliminate the convexity in the rake face. By solving the variation laws of the lead angle on the root toroidal surface, the tip toroidal surface, and the indexing toroidal surface, Yang Jie [16] calculated three ideal curves on the rake face and fitted an approximately ideal rake face. However, this method does not allow for grinding the rake face; instead, a very small diameter tool must be used for precision milling to achieve an approximate theoretical rake face, resulting in a low machining efficiency. The aforementioned studies primarily focus on the rake angle at the indexing circle of each tooth on the hob, which, while crucial, do not address the rake angles at other positions along the tooth. However, for an hourglass worm gear hob, the rake angle along the tooth height is significant for machining worm gears. A large positive rake angle can reduce the strength of the cutting edge, while a large negative rake angle can degrade the cutting performance of the tooth during worm gear machining. A more balanced rake angle along the tooth height is essential to ensure uniform a cutting performance across the tooth and maintain a high cutting quality.
Therefore, it is necessary to adjust the surface profile of the cutting tool according to a certain curve, approximating the surface of the forming cutting edge to effectively grind the rake face of each tooth. This adjustment also allows for a more balanced transition of the rake angle from the tooth tip to the tooth root along the tooth height. Based on this, this paper selects the rotational paraboloid for investigation. The shape of the milling cutter with this form can eliminate the convex structure on the rake face, as shown in Figure 1b. Furthermore, the shape of the milling cutter can be precisely controlled through the structural parameters of the parabola, facilitating the acquisition of the milling cutter structure which best meets the requirements.
This paper describes a study on the method of machining the chip-holding grooves of hobbing cutters using rotating parabolic milling cutters. Firstly, a mathematical model of the rake face machined by the rotary parabolic surface is established through the conjugate meshing equation. By optimizing the variation pattern of the rake angle along the tooth height, the optimal paraboloid parameters are determined, leading to a better rake face. This approach eliminates the mid-convex phenomenon of the rake face, resolving the issue of rake angle imbalance along the tooth height.
2. Mathematical Modeling of the Rake Face
A toroidal worm generated by a plane-form surface Σd to develop the helical surface is termed a plane-enveloped toroidal worm. Then, the helical surface Σ1 is used as the form surface in a double-enveloping process to generate the worm gear tooth surface Σ2 [17]. In this context, the hourglass worm, serving as the generating surface Σ1 for the hob, is referred to as the basic worm. Figure 2 depicts the operational conditions of the hourglass worm gear pair and the specific machining process using an hourglass worm gear hob.
Figure 2.
Principle of hourglass worm gear and hob machining.
Before machining the rake face, it is essential to first process the helical surface. Previous researchers have conducted extensive studies in this area [18,19].
2.1. Mathematical Model of the Helical Surface Σ1 of the Basic Worm Hob
According to the relevant theories of gear meshing, the equation for the spiral surface Σ1 of the hob is given as follows [1]:
Here, Φ1 = (vd1)1(n1)1 represents the conjugate condition equation, (vd1)1 is the relative velocity between Σd and Σ1 at the machining point, (n1)1 denotes the unit normal vector on the helical surface Σ1 of the basic worm at the machining point, (r1)1 represents the helical surface Σ1 of the worm, with coordinate components {x1, y1, z1}, and parameters u and v correspond to the parameters of the generating plane Σd, where φd is the rotation angle of the tool holder.
2.2. Principle of Rake Face Formation and Establishment of Machining Coordinate System
As illustrated in Figure 3, the rake face Σ3 is generated by enveloping the basic worm hob with a rotating paraboloid surface Σqd. The process of creating the rake face Σ3 determines the configuration of the cutting edge line, which subsequently influences the rake angles on both sides of the teeth, as well as the efficiency and precision of the hob in worm gear cutting. In this context, ω1 denotes the rotational speed of the basic worm during the machining of the chip-holding groove, ωqd indicates the rotational speed of the paraboloid milling cutter during the same process, and vqd represents the feed speed of the paraboloid milling cutter.
Figure 3.
Machining spiral rake face.
Figure 4 illustrates the positional relationship between the milling cutter and the hob during the machining of the hob groove. The rake face of the rotating paraboloid surface aligns with the origin Oqd of the tool holder’s static coordinate system. In the coordinate system σqod, the center of the rake face is defined by the coordinates (Xqod, Yqod, Zqod), and the axis of rotation for the paraboloid surface aligns with the coordinate axis iqd.
Figure 4.
Coordinate system for spiral groove machining.
In coordinate system σqd, the rotating paraboloid surface moves at a certain speed along both the iqd and jqd axes. The variation in displacement of the rotating paraboloid surface in the direction of the jqd axis is indicated by ΔZ. The basic worm rotates around the C-axis in the coordinate system σq1 with a specific angular velocity ωq1, and the rotational angle is denoted by Δφq1. The chip-holding groove of the hob, with an arc-shaped groove bottom, is machined with a transmission ratio icz as follows: icz = Δφ1/ΔZ = |ωq1|/|vz|. The distance between the basic worm and the tool holder is denoted as aq.
In this paper, aq = a, where a is the center distance of the hourglass worm gear pair.
2.3. Design of the Fixed Transmission Ratio
Due to the complex structure of the toroidal worm gear pair, designing its machining parameters is also quite challenging. When determining the fixed transmission ratio, the focus is placed on the toroidal position at the throat tooth pitch. Both the throat tooth and the pitch toroidal surface position can represent the average rake angle of the hob, ensuring that the final results are distributed within a reasonable range. During practical implementation, it is necessary to ensure that the lead angle at the throat tooth pitch toroidal surface satisfies the following relationship [20]:
where k represents the transmission ratio coefficient. The angle between the two curves varies with the value of k. γm represents the lead angle of the helical surface, and ηm denotes the lead angle of the rake face curve, with the subscript m indicating the throat point.
The lead angles are calculated using the following formulas: and , where vd is the linear velocity of the tool as it rotates around the turntable while machining the helical surface, v1 is the linear velocity of the worm blank, vz denotes the speed of the tool moves, and vq1 signifies the linear velocity of the rotating basic worm.
The expressions for velocity are given as follows: v1 = 1/2ω1d1, vd = 1/2ωdd2, and vq1 = 1/2ωq1d1. The relationship between diameters d1 and d2 is d1 = 2a−d2, where a represents the center distance, d1 represents the diameter at point M on the pitch circle of the worm, and d2 denotes the pitch circle diameter of the worm gear.
Substituting these linear velocities into the lead angle calculation formula yields the following:
The expression for the transmission ratio is given by icz = Δφ1/ΔZ = |ωq1|/|vz|. By substituting Equations (2) and (3) into the formula above, the following expression for the fixed transmission ratio icz for machining the rake face on a universal CNC machine with a C-axis can be derived:
2.4. Equations and Normal Vectors of the Rotating Paraboloid Σqd
To guarantee the precision of the rake face, the machining process involves rotating a paraboloid to shape the rake face. Figure 5 shows the rotating paraboloid with parameters m and θ [21].
Figure 5.
Rotating paraboloid surface.
The mathematical expression for the rotating paraboloid Σqd within the moving coordinate system σqd is presented as follows [22,23]:
The rotating paraboloid Σqd in the coordinate system σqod is as follows:
where
The vector expression for the rotating paraboloid Σqd in the dynamic coordinate system σq1 is the following:
where
The coordinate expression is the following:
In σq1, the coordinates on the rake face can be expressed as follows:
In the reference frame σqd, the unit normal vector pertinent to a point on the rotating paraboloid Σqd can be expressed as follows:
For the normal vector nqd, the direction is defined as pointing from the empty space towards the solid of the grinding wheel, and for the worm, it points from its solid space towards the empty space. This ensures that the normal vectors at the same point on both the grinding wheel and the worm are identical. Therefore, in this example, the direction is reversed so that the normal vector points from the empty space towards the solid. The specific equation is expressed as follows:
2.5. Conjugate Condition Equation
At the machining point M in σqod, the relative velocity of the rotating paraboloid surface with respect to the rake face is represented as (Vqd1)qod. According to the principles of gear meshing, the first-order enveloping conjugate condition equation can be obtained as follows [24,25]:
where
Here, (ωqd1)qod denotes the relative linear velocity of the basic worm and the rotating paraboloid within σqod.
The rotational paraboloid only rotates around its own principal axis and does not rotate relative to the radius (rqd)qod. So the rotational velocity of the rotating paraboloid (ωqd)qod = 0. Moreover, (ωq1)qod signifies the angular velocity of the basic worm.
Here, (ωq1)qo1 represents the angular velocity of the basic worm in σqo1. Substituting Equation (17) and (ωqd)qod = 0 into Equation (16) provides the following:
where
The linear velocity of the basic worm hob in relation to the parabolic milling cutter within the σqod is expressed as follows:
The linear speed of the rotating paraboloid surface in σqod is (vqd)qod, and the equation is as follows:
Since the basic worm does not translate, its translational speed is (vq1)qod = 0. Substituting Equation (21) and (vq1)qod = 0 into Equation (20) provides the following:
Substituting Equations (18), (6), (17), (19), and (20) into (15), the following are obtained:
Substituting Equations (23) and (13) into Equation (14) results in the following:
If Фqod = 0, we obtain the following:
2.6. Mathematical Model of the Rake Face Σ3
Within the σq1, the rake face Σ3 is symbolized by (rqd)q1, with its coordinate components being {xq1, yq1, zq1}. Conforming to the theories of gear meshing, the mathematical representations of the rake face are delineated below:
3. Case Analysis
To analyze the impact of the design parameters of cutting teeth on the machining conditions and provide a basis for selecting reasonable design parameters, a specific case study of a four-start hob is examined. Table 1 provides some basic parameters of the example.
Table 1.
The basic parameters of the plane double-enveloping hourglass worm gear hob.
3.1. Shape of Parabolic Milling Cutter
Vericut is a CNC machining simulation software developed by CGTECH (Irvine, CA, USA) in the United States. In this research, Vericut version 9.0.1 was utilized to build a four-axis machining center and simulate the processing of the basic worm’s helical surface and the chip-holding groove. After importing the machine tool model and determining the motion relationships of each axis on the four-axis CNC machine tool, two different tool models need to be established separately: one for machining the helical surface and the other for machining the helical chip groove using a rotating paraboloid surface milling cutter.
The flat grinding wheel is created in the tool library by drawing the cross-sectional profile of the flat grinding wheel, which is then rotated around the axis to obtain the grinding wheel model. For the rotating paraboloid surface milling cutter, it is crucial to precisely control the shape of the paraboloid. To ensure the accuracy of the paraboloid shape, the specific shape of the hob is determined by studying the parameters of the parabolic curve. The rotating paraboloid surface milling cutter used in this study is generated by rotating a parabola around its center. Therefore, the specific shape of the milling cutter is influenced by the parameter p in the parabola, including the curvature variation, the direction of the opening, and the symmetry with respect to the focal axis. The larger the value of p is, the farther the focus is from the vertex, the flatter the parabola, and the wider the opening. Conversely, the smaller the value of p is, the closer the focus is to the vertex and the sharper the parabola.
Based on the dimensions of the hourglass worm gear pair in the case study, different values of the parameter p were set to alter the profile of the cutting teeth. This study investigated the variation in the rake angle along the tooth height direction, which was produced by milling cutters with different shapes of rotating paraboloid surfaces. By varying p, different shapes of parabolas could be obtained, and five parabolas from l1~l5 were studied separately. The variation in the milling cutter profile corresponding to the changes in the parameter p of the rotating paraboloid surface is shown in Figure 6.
Figure 6.
Parabolic profiles with different parameters p.
According to the tooth height of the hourglass worm gear hob, h = 15 mm. The specific parameters corresponding to the above parabolas are listed in Table 2.
Table 2.
Specific parabolic parameters.
The final shapes of the milling cutters under the five determined parameters are shown in Figure 7.
Figure 7.
Shape of milling cutter with different parabolic parameters p.
3.2. Machining Conditions of the Rake Face
The specific machining process of the hob is shown in Figure 8. When the flat grinding wheel is machining the helical surface of the hob, the worm blank rotates around the C-axis, and the grinding wheel rotates around the B-axis from right to left. The rotational speed ratio between the grinding wheel and the blank seat is determined by the transmission ratio required for machining the helical surface. The rotational speed ratio between the grinding wheel and the blank seat is determined by the transmission ratio required for machining the helical surface. The rotational speed ratio between the grinding wheel and the blank seat is determined by the transmission ratio required for machining the helical surface. In this case, we were machining a four-head hob; therefore, after machining the helical surface of the first part, the worm blank was rotated 90° to sequentially complete the machining of the remaining helical surfaces.
Figure 8.
Simulation of the machining process.
During the machining of helical grooves, the milling cutter traverses along the Z-axis at a velocity v, shifting from the left extremity to the right extremity of the basic worm. Concurrently, the basic worm revolves around the C-axis at an angular velocity ω. The motion speed of the milling cutter combined with the rotational speed of the basic worm dictates the transmission ratio essential for machining these grooves.
In Equation (4), the formula for determining the transmission ratio is provided. When k = 1 and γm + ∣ηm∣ = π/2, the generating transmission ratio is icz = −0.0121. Different transmission ratios result in different helical groove shapes and rake face profiles of the cutting teeth. Since the cutting edges on both sides are machined simultaneously, after the helical chip grooves are completed, the rake angles on both sides not only fall within different ranges but also exhibit opposite variation trends.
To observe the specific conditions of machining helical chip grooves with different transmission ratios and milling cutters of different shapes, five groups were set up, each with a different transmission ratio corresponding to a differently shaped milling cutter. The specific machining results are shown in Figure 9.
Figure 9.
Processing of helical grooves corresponding to different parameters.
As illustrated in Figure 9, when the transmission ratio is relatively small, the rake face appears smoother. However, there is a significant gap between the rake face of the first row of cutting teeth and the flank face of the adjacent row of cutting teeth. This indicates a larger deviation in the chip-holding groove, leading to a blunter tool. As the transmission ratio increases, the deviation in the chip-holding groove decreases, which is not beneficial for chip evacuation.
Observing the rake face profiles in the figure, it is evident that the rotating paraboloid surface milling cutter effectively mitigates the convex phenomenon that occurs when machining the rake face with a flat grinding wheel. Moreover, variations in the parameter p of the paraboloid surface significantly influence the rake face. When the p value is relatively large, the paraboloid surface milling cutter becomes flatter, resulting in a conspicuous concavity on the rake face from the indexing surface to the tooth root. Analysis suggests that this surface concavity alters the rake angle, thereby reducing the difference in rake angle from the tooth top to the tooth root. However, this pronounced concave structure is detrimental to the machining precision of the hourglass worm gear hob tooth surface.
Conversely, when the p value is smaller, the concave phenomenon in the rake face is notably alleviated, but the opening of the chip-holding groove becomes narrower, impeding chip evacuation. Therefore, it is crucial to judiciously select the transmission ratio and the parameter p of the milling cutter based on specific machining requirements to optimize the machining outcomes.
4. Parameter Optimization
The coefficient k of the transmission ratio and the parameter p of the rotating paraboloid surface significantly influence the geometry of the rake face, which in turn affects the rake angle. Therefore, further research into the specific effects of these parameters on the rake face is essential to optimize the machining parameters, thereby achieving a more balanced overall rake angle of the hob and enhancing its cutting performance.
4.1. Definition of Rake Angle
As illustrated in Figure 10, the line of intersection between the helical surface of the hob and the rake face defines the cutting edge line.
Figure 10.
Rake angle definition on the edge line.
In the figure, (n1)1 represents the normal vector at any arbitrary position on the helical surface of the hob, and, similarly, (nq1)1 denotes the normal vector of the rake face. The rake angle corresponds to the complementary angle of the included angle between these two normal vectors, calculated as follows:
where arccos [(nq1)1∙(n1)1] is the angle Wq at the given point.
4.2. Study of the Transmission Ratio Coefficient k
To ensure that the rake angles close to 0° and the rake angles of the cutting teeth were more balanced, a detailed optimization analysis of the transmission ratio was needed to achieve optimal performance and efficiency in the cutting process.
The optimal coefficient k was determined by analyzing the rake angles of the cutting teeth on both sides of the indexing surface under different milling transmission ratios [20]. Table 3 and Table 4 present the numerical values of various transmission ratios and their corresponding tooth-side rake angles. Here, k denotes the transmission ratio coefficient, and i represents the gear ratio (considering the parameters of the rotating parabolic milling tool, where p = 1.2).
Table 3.
The left rake angle (°) under different transmission ratios.
Table 4.
The right rake angle (°) under different transmission ratios.
According to the data presented in Table 3 and Table 4, when k = 1 and i = −0.0121, the rake angle values on both sides of the cutting teeth vary between −5.3437° and 3.5409°. For values of k > 1, as k increases, the absolute values of the rake angles increase, resulting in unfavorable cutting conditions. Conversely, when 0 < k < 1, as k decreases, an increase in the transmission ratio results in a gradual increase in the negative rake angle on the left side. On the right side, the situation is reversed.
Different milling ratios correspond to the change rule of the left and right rake angles, as shown in Figure 11 and Figure 12.
Figure 11.
Variation in left-side rake angle with different transmission ratios.
Figure 12.
Variation in right-side rake angle with different transmission ratios.
As illustrated in Figure 11 and Figure 12, on the left side, the negative rake angle exhibits the largest value, reaching 2.5489° on tooth 3, when k = 0.85. Conversely, the right-side rake angle attains its largest negative value on tooth 1, with an absolute value of 6.3257° at k = 1.05. With the increase in the transmission ratio coefficient k, the discrepancy in rake angles between both sides of the cutting teeth progressively widens, with the maximum difference of 9.7889° occurring at tooth 1 when k = 1.05.
Reducing k contributes to the overall balance of the rake angles on the cutting teeth. Therefore, to minimize the absolute values of the rake angles and the difference in rake angles, we aimed for equal negative rake angles on the left side of tooth 3 and the right side of tooth 5, determining the optimum k. The alterations in the rake angle disparity between the left side of tooth 1 and the right side of tooth 5 across varying milling transmission ratio coefficients are depicted in Figure 13.
Figure 13.
Variation pattern of rake angle differences.
Based on the analysis presented above, when k = 0.9115, the rake angles on both sides of the cutting teeth were more balanced, with the corresponding milling transmission ratio i = −0.01795. Using the optimized transmission ratio for machining the case with a rotating paraboloid surface milling cutter, the rake angles on both sides of the cutting teeth at the indexing surface are shown in Table 5.
Table 5.
Rake angles on the indexing ring surface after transmission ratio optimization.
According to the data in Table 5, the hob exhibits a maximum negative rake angle of 3.5765° and a maximum positive rake angle of 1.7903°, with a maximum difference of 4.1149° on both sides. This indicates a more balanced rake angle compared to the other conditions.
The optimization of the transmission ratio was specifically targeted at the rake angles on the indexing surface of a single row of teeth, but the range of rake angle variation along the tooth height remained significant. Simply optimizing the transmission ratio could not address this issue. It was also necessary to start with a tool profile, relying on the variation in the tool geometry and tool parameters to optimize the rake angle in the direction of tooth top to root.
4.3. Angle Influence and Optimization of the Rotating Paraboloid Surface Parameter p on the Rake Angle
Using the optimized transmission ratio, the five types of rotating paraboloid surface milling cutters listed in Table 2 were employed to machine the helical groove. The rake angles on various surfaces of the hob after machining were recorded. Table 6 shows the rake angle data on both sides of the hob teeth for different surfaces when p = 2.13.
Table 6.
Rake angle after machining at parabolic parameter p = 2.133.
Based on the data presented in Table 6, we plotted the variation in the rake angles on both sides of the tooth along the tooth height direction, as illustrated in Figure 14 and Figure 15.
Figure 14.
The change rule of the left rake angle.
Figure 15.
The change rule of the right rake angle.
As illustrated in Figure 14 and Figure 15, along the direction from the tooth top (Ri = 122.24 mm) to the tooth root (Ri = 132.24 mm), the variation in rake angle on the left side of the cutting teeth is relatively smooth. It can be observed that the rake angle decreases initially from the tooth top to the root and then increases, resulting in a minimal difference in rake angles between the tooth top and root. The maximum difference in rake angle along the tooth height direction (tooth top rake angle minus tooth root rake angle) is 1.4301 deg for tooth 4. On the right side of the cutting teeth, the rake angle shows a gradual progression from a negative rake angle at the tooth top to a positive rake angle at the tooth root. The maximum difference in rake angle from the tooth top to the tooth root is 12.1879 deg for tooth 2.
This indicates that the rake angles exhibit different variation patterns after machining with the rotating paraboloid surface milling cutter. Next, by studying the influence of different shapes of the rotating paraboloid surface milling cutters on the rake angles after changing the parameter p, we observed the variation in rake angles. Table 7 presents the changes in rake angles on the left and right sides of tooth 1 after machining with five different rotating paraboloid surface milling cutters.
Table 7.
Rake angle of tooth no. 1 after machining with different parabolic parameters p.
Based on the data in Table 7, we plotted the rule of the rake angles on both sides of tooth 1 along the tooth height direction, as shown in Figure 16 and Figure 17.
Figure 16.
The left rake angle of tooth no. 1 at different p.
Figure 17.
The right rake angle of tooth no. 1 at different p.
As illustrated in Figure 16, as the value of parameter p decreases, the rake angle at the tooth top on the left side shows a slight decrease, from 6.3762 deg to 2.8294 deg, while the rake angle at the tooth root also decreases, but with a more significant reduction.
On the right side of tooth 1, the changes in the rake angle at the tooth top (Ri = 122.24 mm) fluctuated a little, remaining mostly within the range of −4° to −5°. However, the rake angle at the tooth root (Ri = 132.24 mm) decreased significantly as p decreased, from 7.6885° to −1.1226°. This trend indicated that the smaller the value of p, the smoother the curve of the rake angle change on the right side of the figure, leading to more balanced rake angles from the tooth top to the tooth root.
To further explore the specific variation pattern of the rake angle difference with respect to parameter p and determine the optimal value of the paraboloid parameter p, the difference between the rake angles at the tooth top and root was calculated. This difference reflected the variation in the rake angle along the tooth height direction. The pattern of this difference with respect to changes in parameter p is presented in Table 8, showing the rake angle difference from the tooth top to the tooth root for teeth 1 to 5.
Table 8.
Rake angle difference between tooth top and root for different parameters p.
The data presented in Table 8 were plotted as change curves on the left and right sides, as shown in Figure 18 and Figure 19.
Figure 18.
Change curve of left rake angle difference.
Figure 19.
Change curve of right rake angle difference.
From the observed variations in the figures, it is evident that, when the parameter p = 0.53, the absolute value of the left rake angle difference reached its overall maximum, with the highest value occurring at tooth 2, reaching 7.181°. As the value of p increased, the absolute value of the rake angle difference on the left side of the cutting teeth showed a gradual decrease, reaching its minimum at p = 2.13, where the absolute value of the rake angle difference for tooth 5 was 0.2503°.
In contrast, the absolute value of the rake angle difference between the tooth top and root on the right side of the cutting teeth exhibited an opposite pattern. At p = 0.53, the rake angle difference from the tooth top to the root on the right side was relatively small, with the smallest value of 3.7005° occurring at tooth 1. As the value of p increased, the absolute value of the rake angle difference between the tooth top and root on the right side progressively increased.
In this context, as the parameter p decreased, the difference in the rake angle along the tooth height on the left side increased, while the difference on the right side decreased. The rake angle differences on both sides gradually converged, with the absolute values of these differences becoming increasingly similar. However, when p was reduced beyond a certain threshold, the absolute value of the differences started to increase again. For instance, when p = 0.83, the rake angle differences on both sides of tooth 2 were 5.4735° and −6.1395°, respectively. When p = 0.53, the rake angles on the left and right sides of tooth 2 became 7.181° and −4.536°, indicating that the rake angle difference on the left side became significantly larger at p = 0.53. Therefore, it was necessary to determine the optimal value of the parabolic parameter p within a specific range to enhance the overall cutting performance.
The goal was to guarantee that the absolute values of the rake angle difference on both sides gradually converged, leading to more balanced rake angles along the tooth height direction. By ensuring that the absolute values of the rake angle differences on both sides of tooth 1 were equal, the optimal parameter p for the rotating paraboloid surface was determined to be p = 0.6834. Under these conditions, the rake angle differences on both sides of the cutting teeth are as shown in Table 9.
Table 9.
Optimized hob rake angle difference.
4.4. Optimization Result Analysis
The final optimization utilized the milling transmission ratio and the paraboloid parameter, resulting in a milling cutter with a transmission ratio coefficient k = 0.9115 and a paraboloid parameter p = 0.6834. The specific shape of the rake face of the machined hourglass worm gear hob is illustrated in Figure 20. The optimized rake face geometry effectively eliminates the convex profile and prevents potential surface overcutting issues when the parameter p is too large. Additionally, the skewness of the chip-holding grooves does not influence the rake angle of the cutting teeth.
Figure 20.
Optimized shape of the rake face.
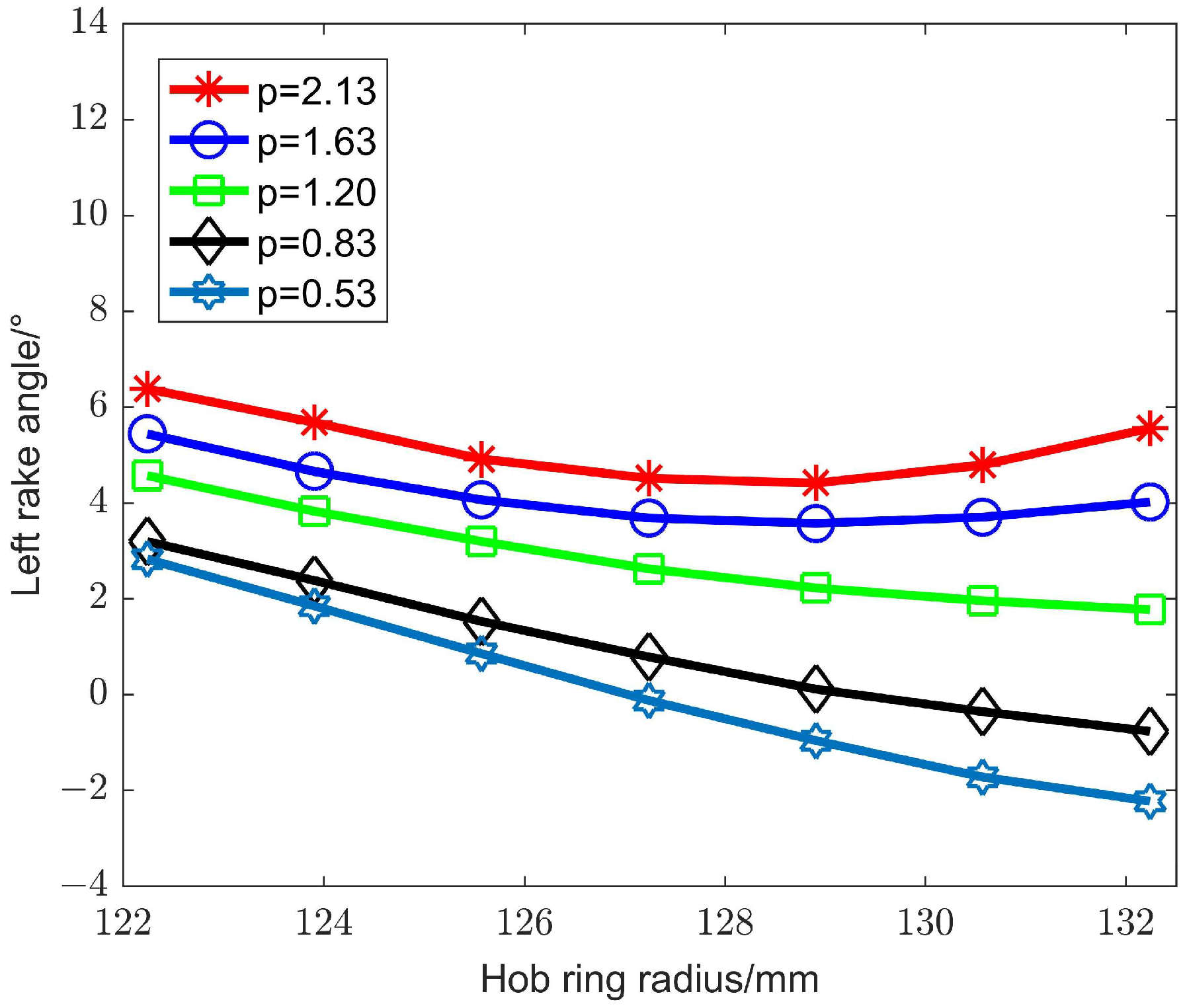
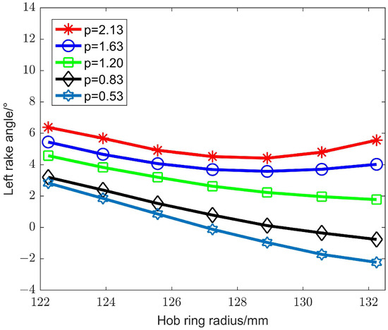
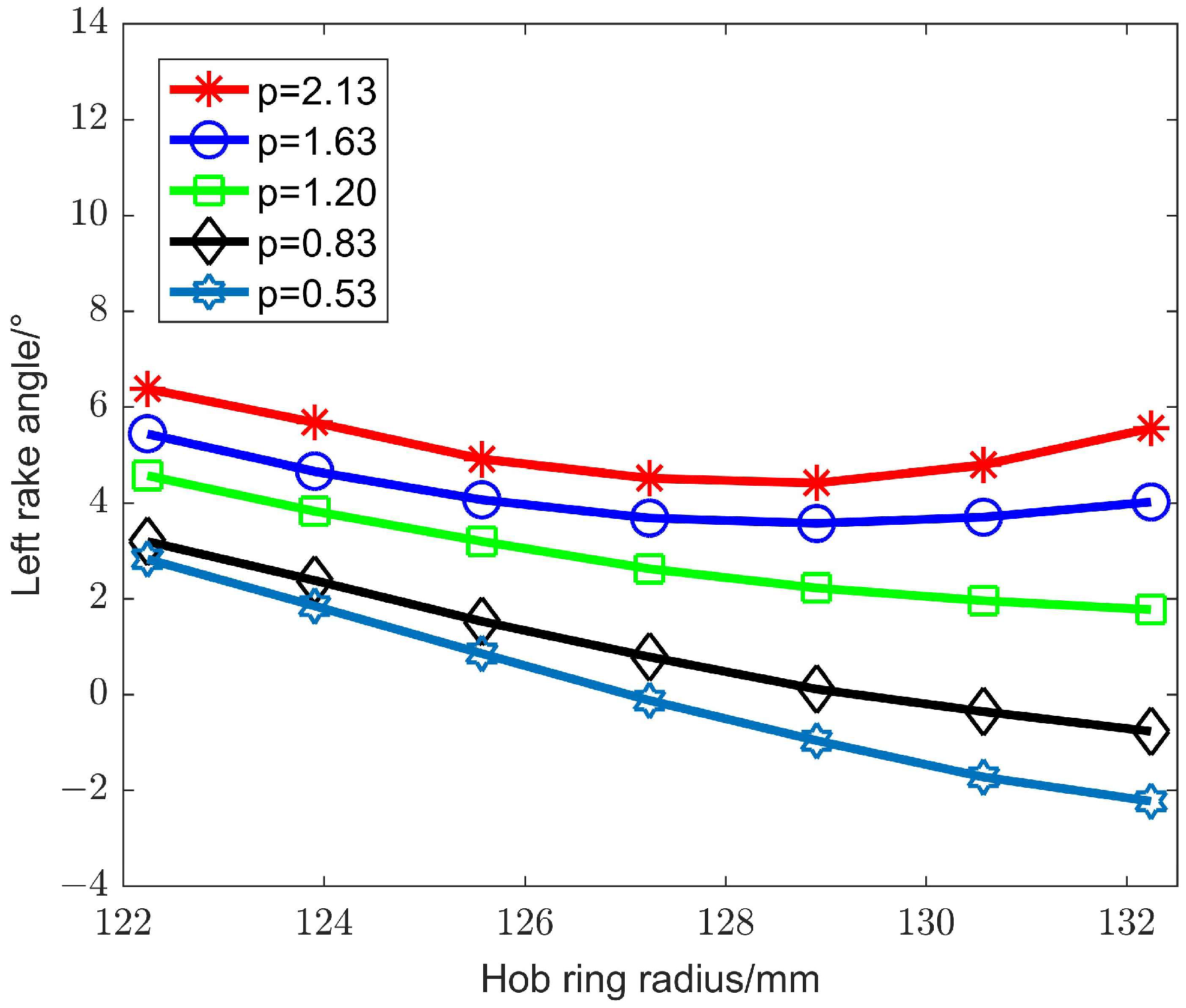
The results of the optimized rake angles corresponding to each ring face of the hob are shown in Table 10. Based on the data from Table 10, we plotted the variation in the rake angles on the left and right sides of each ring surface on the optimized hob, as shown in Figure 21 and Figure 22.
Table 10.
Optimized rake angle of the hob.
Figure 21.
Left rake angle after optimization.
Figure 22.
Right rake angle after optimization.
As shown in Figure 21 and Figure 22, the rake angle variations along the tooth height on both sides of the optimized cutting teeth became more balanced. The largest variation in rake angle occurred on the left side of tooth 4, with a range from 2.7584° to −2.6087°, while the smallest variation was on the left side of tooth 1, ranging from 3.0232° to −1.4844°. On the right side, the largest rake angle variation was also found on tooth 4, with a range from −2.808° to 2.6981°, and the smallest variation was on tooth 5, ranging from −3.7966° to 0.5923°.
Comparing the rake angle data at p = 2.13 in Table 6, it is evident that the rake angle along the tooth height on the right side of the hob was significantly optimized. At p = 2.13, the maximum rake angle difference along the tooth height on the right side was 12.1879°. After optimization, the maximum difference on the right side was reduced to 5.3671°, representing a decrease of 6.8208°. Although the rake angle difference along the tooth height on the left side had increased slightly compared to the original, it became much closer to the difference on the right side, significantly reducing the rake angle disparity between both sides of the teeth. At p = 2.13, the maximum difference in rake angle between the left and right sides was observed on tooth 5, with a value of 12.2929°. After optimization, the maximum difference, still on tooth 5, was reduced to 8.1529°, a decrease of 4.14°. This demonstrated that both the rake angle difference along the tooth height and the difference between the left and right sides of the teeth were well optimized, resulting in a more balanced overall rake angle across the hob. The maximum rake angle differences on both sides were concentrated on the edge teeth. This is because the fixed transmission ratio milling method can only ensure that the rake angle at the middle throat area of the teeth is optimal, leading to significant variations in the rake angle on the edge teeth.
The optimization process also led to a more rational distribution of rake angles. According to the data in Table 6, the range of the rake angle on the left rake face before optimization was between 3.2966° and 8.2594°, while, on the right rake face, it ranged from −4.2216° to 8.6795°. After optimization, the range of the rake angle on the left rake face was reduced to −3.4268° and to 4.3563°, and, on the right rake face, it was adjusted to −3.7966° and 3.4268°. This indicates that the maximum rake angle was significantly reduced, and the overall distribution of the rake angle became closer to 0°, thereby enhancing the cutting performance of the hourglass worm gear hob.
5. Conclusions
- (1)
- This paper proposed a method for generating the rake face of the helical groove of an hourglass worm gear hob using a rotating paraboloid surface. The conjugate condition equations for the rake face generated by the rotating paraboloid surface were derived, and a mathematical model for the formation of the rake face by a paraboloid cutter was established based on the gear meshing principle.
- (2)
- Utilizing the Vericut simulation software, a simulation platform for machining the helical rake face with a paraboloid cutter was constructed. The shape of the rake face under different machining parameters was studied. The results show that the paraboloid cutter effectively eliminates the convexity on the rake face. However, if the transmission ratio coefficient k is too small, it can negatively impact chip evacuation. Conversely, if the paraboloid parameter p is too large, it may cause concavity at the tooth root of the rake face.
- (3)
- This study investigated the influence of the transmission ratio on the rake angle at the indexing toroid surface of the paraboloid hob, optimizing the best milling transmission ratio k = 0.9115. Additionally, the variation in the rake angle along the tooth height with respect to the geometric parameters was studied, resulting in the optimization of the best parabolic geometric parameter p = 0.6834. This optimization resulted in an ideal geometric shape for the rake face. The optimized results show that the rake angles on both sides of the tool teeth are within ±4.8°, with a maximum difference of 8.1529° between the left and right sides of the rake angle and a maximum difference of 6.3671° in the rake angle along the tooth height direction. This ensures that the absolute value of the rake angle along the tooth height direction is minimized and that the rake angles on the left and right sides are more balanced.
Author Contributions
Y.L. contributed to the methodology, validation, investigation, data organization, and writing—original draft; J.Y. contributed to conceptualization, methodology, validation, writing—review and editing, resources, and funding acquisition; Z.C. and R.G. contributed to the investigation and writing—original draft; C.X. contributed to writing—review and editing. All authors have read and agreed to the published version of the manuscript.
Funding
This work was supported by the National Natural Science Foundation of China Youth Project (project name: Research on Single Tooth Equal Rake Angle Design Method for the Geometric Structure of Hourglass Worm Gear Hob Considering the Meshing Quality of Worm Pairs, Grant No. 52005317) and Class III Peak Discipline of Shanghai-Materials Science and Engineering (High-Energy Beam Intelligent Processing and Green Manufacturing).
Data Availability Statement
The original contributions presented in this study are included in this article; further inquiries can be directed to the corresponding author.
Conflicts of Interest
The authors declare no conflicts of interests.
References
- Dong, X. Design and Modification of Enveloping Worm Gearing; Mechanical Industry Press: Beijing, China, 2004. [Google Scholar]
- Pavlov, A.; Bogatsky, M. Method of Globoid Worm Thread and Worm Wheel Teeth. U.S. Patent No. 3875635, 15 April 1975. [Google Scholar]
- Li, H.; Yang, J.; Liu, P.; Rui, C.; Wei, W.; Dong, X. Milling Process for the Helical Groove of Hourglass Worm Gear Milling Cutters. China Patent No. 201710218025, 13 June 2017. [Google Scholar]
- Li, H.; Yang, J.; Liu, P.; Rui, C.; Wei, W.; Dong, X. Milling Method for the Helical Groove of Hourglass Worm Gear Milling Cutters. China Patent No. 201710218072, 13 June 2017. [Google Scholar]
- Ma, Y. Machining of Low Number Teeth Gears. Mod. Manuf. Eng. 2005, 12, 119–120. [Google Scholar] [CrossRef]
- Yao, N. Research on the Design of Non-Involute Gear Hobs Tooth Profile Using Spatial Surface Conjugate Principle. J. Dalian Inst. Technol. 1979, 4, 101–112. [Google Scholar]
- Yuan, Z.; Liu, H. Tool Design Handbook; Mechanical Engineering Press: Beijing, China, 1999. [Google Scholar]
- Shu, Q. Design and Research of Double Cone Surface Secondary Envelope Helical Gear Pair and Its Key Manufacturing Equipment. Ph.D. Thesis, Zhejiang University, Hangzhou, China, 2015. [Google Scholar]
- Rababah, M.; Almagableh, A. Five-axis rake face grinding of end-mills with circular-arc generators. Int. J. Interact. Des. Manuf. 2013, 11, 93–101. [Google Scholar] [CrossRef]
- Chang, S. Helix gash of hob cutter manufactured by milling. J. Mater. Process. Technol. 2003, 142, 569–575. [Google Scholar] [CrossRef]
- Tang, J. Metal Cutting and Tools; Wuhan University of Technology Press: Wuhan, China, 2009. [Google Scholar]
- Liu, J. Profile dressing calculation of grinding Wheels for resharpening the rake face of a large helical groove zero-rake angle end mill. Grind. Mach. Grind. 1996, 4, 25–26+72. [Google Scholar]
- Simon, V. Characteristics of a Modified Double Enveloping Worm Gear Drive. In Proceedings of the 6th International Power Transmission and Gearing Conference, Scottsdale, AZ, USA, 13–16 September 1992; pp. 73–79. [Google Scholar]
- Ariura, Y.; Umezaki, Y. High accurate hobbing with specially designed finishing hobs. Gear Technol. 2003, 20, 20–27. [Google Scholar]
- Yang, J.; Li, H.; Rui, C.; Huang, Y. Mathematical model and machining method for the spiral flute rake faces of an hourglass worm gear hob. Trans. Nanjing Univ. Aeronaut. Astronaut. 2019, 36, 401–412. [Google Scholar]
- Yang, J.; Li, H.; Rui, C.; Dong, X. Design and correct method of spiral flutes rake face of an hourglass worm gear hob. Trans. Beijing Univ. Aeronaut. Astronaut. 2018, 44, 1878–1887. [Google Scholar]
- Rui, C.; Li, H.; Yang, J.; Wei, W. A designing and generating method for grinding relief surfaces of a dual-cone double enveloping hourglass worm gear hob. J. Mech. Des. 2018, 140, 12. [Google Scholar] [CrossRef]
- Sakai, T.; Maki, M. A Study on Hourglass Worm Gearing with Developable Tooth Surfaces. ASME J. Mech. Des. 1978, 100, 451–459. [Google Scholar] [CrossRef]
- Sheth, D.S.; Malkin, S. CAD/CAM for Geometry and Process Analysis of Helical Groove. Mach. Ann. CIRP 1990, 39, 129–132. [Google Scholar] [CrossRef]
- Yang, J.; Li, H.; Rui, C.; Wei, W. A method to generate the spiral flutes of an hourglass worm gear hob. Int. J. Mech. Des. 2018, 140, 6. [Google Scholar] [CrossRef]
- Fan, M.; Liu, X.; Ji, W.; Li, L.; Li, X. Modeling of the Cutting Edge Curve of a Rotating Paraboloidal End Mill. J. Harbin Univ. Sci. Technol. 2016, 21, 20. [Google Scholar]
- Litvin, F.L.; Fuentes, A. Gear Geometry and Applied Theory; Cambridge University Press: Cambridge, UK, 2004. [Google Scholar]
- Berbinschi, S.; Teodor, V.; Oancea, N. 3D Graphical Method for Profiling Gear Hob Tools. Int. J. Adv. Manuf. Technol. 2013, 64, 291–304. [Google Scholar] [CrossRef]
- Dong, X. Gear Meshing Theory; China Machine Press: Beijing, China, 1989. [Google Scholar]
- Wu, X. Gear Meshing Theory, 2nd ed.; China Xi’an Jiao Tong University Press: Xi’an, China, 2009. [Google Scholar]
Disclaimer/Publisher’s Note: The statements, opinions and data contained in all publications are solely those of the individual author(s) and contributor(s) and not of MDPI and/or the editor(s). MDPI and/or the editor(s) disclaim responsibility for any injury to people or property resulting from any ideas, methods, instructions or products referred to in the content. |
© 2024 by the authors. Licensee MDPI, Basel, Switzerland. This article is an open access article distributed under the terms and conditions of the Creative Commons Attribution (CC BY) license (https://creativecommons.org/licenses/by/4.0/).





















