The Effects of Adding TiO2 and CuO Nanoparticles to Fuel on Engine and Hand–Arm Driver Vibrations
Abstract
1. Introduction
2. Materials and Methods
2.1. The Test Engine
2.2. Nanoparticles
2.3. Preparation of Nano-Fuel and Its Stabilization
2.4. Different Engine RPMs
2.5. Data Acquisition System
2.6. Data Gathering
2.7. Data Analysis
2.8. Checking the Vibrations Transferred to the Steering Wheel
3. Results and Discussion
3.1. Fuel Properties
3.2. Brake Power
3.3. Vibration Signals
3.4. RMS Analysis
3.5. Reducing the RMS of Engine Vibration Acceleration
3.6. Vibrations at the Steering Wheel
4. Conclusions
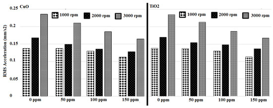
- The results indicate that the RMS increased with engine speed, but the addition of CuO and TiO2 nanoparticles to the fuel led to a reduction in the RMS. This effect became more noticeable as the engine speed increased.
- The effects of different concentrations of CuO and TiO2 nanoparticles in gasoline on the RMS of engine vibration acceleration were statistically significant at a 1% probability level.
- The lowest engine vibration rates were observed with a concentration of 50 ppm at a speed of 1000 rpm for both types of nanoparticles.
- In general, the highest reduction in the RMS of engine vibration acceleration for both TiO2 and CuO nanoparticles was observed at a speed of 3000 rpm and a concentration of 150 ppm, with reductions of 30.33% for CuO and 28.61% for TiO2.
- Approximately 8–10% of engine vibrations were transmitted to the steering wheel, with a higher transmission rate at 3000 rpm compared to lower speeds.
- When using 0 ppm of CuO nanoparticles in gasoline, the percentage of vibrations transmitted to the steering wheel increased with speed, with transmission rates of 10.83%, 11.19%, and 11.24% at 1000, 2000, and 3000 rpm, respectively.
- The rates of vibrations transmitted to the steering wheel were reduced to 9.77%, 8.58%, and 8.36% at 1000, 2000, and 3000 rpm, respectively, when 150 ppm of CuO nanoparticles were added.
- The addition of nanoparticles to the fuel, combined with increased engine speed, resulted in reduced vibration transmission to the steering wheel, likely due to the engine’s smoother operation at higher RPMs.
Author Contributions
Funding
Data Availability Statement
Conflicts of Interest
Nomenclature
| RMS | Root Mean Square |
| S(t) | Time Signal |
| Tr | Transmittance |
| Zin | Input vibration rate |
| Zout | Output vibration rate |
References
- Mansfield, N.J.; Griffin, M.J. Difference thresholds for automobile seat vibration. Appl. Ergon. 2000, 31, 255–261. [Google Scholar] [CrossRef] [PubMed]
- Heidary, B.; Hassan-Beygi, S.R.; Ghobadian, B.; Taghizadeh, A. Vibration analysis of a small diesel engine using diesel-biodiesel fuel blends. Agric. Eng. Int. CIGR J. 2013, 15, 117–126. [Google Scholar]
- Cronin, D.L. Shake reduction in an automobile engine by means of crankshaft-mounted pendulums. Mech. Mach. Theory 1992, 27, 517–533. [Google Scholar] [CrossRef]
- Charles, P.; Sinha, J.K.; Gu, F.; Lidstone, L.; Ball, A.D. Detecting the crankshaft torsional vibration of diesel engines for combustion related diagnosis. J. Sound Vib. 2009, 321, 1171–1185. [Google Scholar] [CrossRef]
- Ichinose, N.; Ozaki, Y.; Kashu, S. Superfine Particle Technology; Springer: New York, NY, USA, 2012. [Google Scholar]
- Burda, C.; Chen, X.; Narayanan, R.; El-Sayed, M.A. Chemistry and properties of nanocrystals of different shapes. Chem. Rev. 2005, 105, 1025–1102. [Google Scholar] [CrossRef]
- Ahamed, M.; AlSalhi, M.S.; Siddiqui, M.K.J. Silver nanoparticle applications and human health. Clin. Chim. Acta 2010, 411, 1841–1848. [Google Scholar] [CrossRef]
- Ganesh, D.; Gowrishankar, G. Effect of nano-fuel additive on emission reduction in a biodiesel fuelled CI engine. In Proceedings of the 2011 International Conference on Electrical and Control Engineering, Yichang, China, 16–18 September 2011; pp. 3453–3459. [Google Scholar]
- Ghanbari, M.; Najafi, G.H.; Ghobadian, B. The Effects of Adding Nanoparticles of Silver and Nanotubes to Biodiesel Fuel on the Performance and Diesel Engine Emissions. In Proceedings of the First International Mechanical Engineering Conference, Natanz, Iran, 3 December 2014. [Google Scholar]
- Fangsuwannarak, K.; Triratanasirichai, K.; Ratchasima, N. Improvements of Palm Biodiesel Properties by Using Nano-TiO2 Additive, Exhaust Emission and Engine Performance. Rom. Rev. Precis. Mech. Opt. Mecatronics 2013, 43, 111–118. [Google Scholar]
- Sarma, C.J.; Sharma, P.; Bora, B.J.; Bora, D.K.; Senthilkumar, N.; Balakrishnan, D.; Ayesh, A.I. Improving the combustion and emission performance of a diesel engine powered with mahua biodiesel and TiO2 nanoparticles additive. Alex. Eng. J. 2023, 72, 387–398. [Google Scholar] [CrossRef]
- Kurre, S.K.; Yadav, J.; Khan, M.K.; Yadav, P.; Dhebar, M.M.; Rawat, B.S. Experimental evaluation of performance and emission of diesel engine fueled with nano-material titanium dioxide (TiO2) nanoparticles supplemented diesel-biodiesel-ethanol blends. Mater. Today Proc. in press. 2023. [CrossRef]
- Kalaimurugan, K.; Karthikeyan, S.; Periyasamy, M.; Mahendran, G.; Dharmaprabhakaran, T. Experimental studies on the influence of copper oxide nanoparticle on biodiesel-diesel fuel blend in CI engine. Energy Sources Part A Recovery Util. Environ. Eff. 2023, 45, 8997–9012. [Google Scholar] [CrossRef]
- Elkelawy, M.; Abd Elhamid, E.; Alm ElDin Mohamad, H.; Abd-Elhay Elshennawy, I. Effect of CuO Nanoparticles on Performance and Emissions Behaviors of CI Engine Fueled with Biodiesel-Diesel Fuel Blends. J. Eng. Res. 2022, 6, 230–239. [Google Scholar] [CrossRef]
- Ochiai, K.; Nakano, M. Relation between crankshaft torsional vibration and engine noise. SAE Trans. 1979, 88, 1291–1298. [Google Scholar]
- Yildirim, Ş.; Erkaya, S.; Eski, İ.; Uzmay, İ. Noise and vibration analysis of car engines using proposed neural network. J. Vib. Control 2009, 15, 133–156. [Google Scholar] [CrossRef]
- TaghiZadeh, A.; Ghobadian, B.; Taakolihashjin, T.; Mohtasebi, S.S. Vibration analysis of a diesel engine using biodiesel and pet diesel fuel blends. Fuel 2012, 102, 414–422. [Google Scholar] [CrossRef]
- Ali, A.A.H.; Abdullah, M.K.; Hamid, A.A.A.; Fahem, A.F. Effect of Steering Wheel Vibration on Drivers’ Hands in a Two-Wheel-Drive Tractor. J. Eng. 2011, 17, 1539–1549. [Google Scholar]
- Aziz, S.A.A.; Nuawi, M.Z.; Nor, M.; Jailani, M.; Daruis, D.D.I. Comparison of hand-arm vibration on truck steering wheels based on speed changes using i-kaz method. Appl. Mech. Mater. 2014, 663, 411–414. [Google Scholar] [CrossRef]
- Yaşar, A.; Keskin, A.; Yıldızhan, Ş.; Uludamar, E. Emission and vibration analysis of diesel engine fuelled with diesel fuel containing metallic-based nanoparticles. Fuel 2019, 239, 1224–1230. [Google Scholar] [CrossRef]
- Lenin, M.A.; Swaminathan, M.R.; Kumaresan, G. Performance and emission characteristics of a DI diesel engine with a nano fuel additive. Fuel 2013, 109, 362–365. [Google Scholar] [CrossRef]
- Bhagwat, V.A.; Pawar, C.; Banapurmath, N.R. Graphene Nanoparticle—Biodiesel Blended Diesel Engine. Int. J. Eng. Res. Technol. 2015, 4, 75–78. [Google Scholar]
- Solero, G. Experimental analysis of the influence of inert nano-additives upon combustion of diesel sprays. Nanosci. Nanotechnol. 2012, 2, 129–133. [Google Scholar] [CrossRef]
- Ağbulut, Ü.; Karagöz, M.; Sarıdemir, S.; Öztürk, A. Impact of various metal-oxide based nanoparticles and biodiesel blends on the combustion, performance, emission, vibration and noise characteristics of a CI engine. Fuel 2020, 270, 117521. [Google Scholar] [CrossRef]
- Khan, O.; Khan, M.Z.; Bhatt, B.K.; Alam, M.T.; Tripathi, M. Multi-objective optimization of diesel engine performance, vibration and emission parameters employing blends of biodiesel, hydrogen and cerium oxide nanoparticles with the aid of response surface methodology approach. Int. J. Hydrogen Energy 2023, 48, 21513–21529. [Google Scholar] [CrossRef]
- Agarwal, A.K.; Srivastava, D.K.; Dhar, A.; Maurya, R.K.; Shukla, P.C.; Singh, A.P. Effect of fuel injection timing and pressure on combustion, emissions and performance characteristics of a single cylinder diesel engine. Fuel 2013, 111, 374–383. [Google Scholar] [CrossRef]
- Sun, X.; Liu, H.; Duan, X.; Guo, H.; Li, Y.; Qiao, J.; Liu, Q.; Liu, J. Effect of hydrogen enrichment on the flame propagation, emissions formation and energy balance of the natural gas spark ignition engine. Fuel 2022, 307, 121843. [Google Scholar] [CrossRef]
- Saxena, V.; Kumar, N.; Saxena, V.K. A comprehensive review on combustion and stability aspects of metal nanoparticles and its additive effect on diesel and biodiesel fuelled CI engine. Renew. Sustain. Energy Rev. 2017, 70, 563–588. [Google Scholar] [CrossRef]
- Wang, X.; Zhang, J.; Yin, M.A.; Wang, G.; Han, J.; Dai, M.; Sun, Z.Y. A comprehensive review on the properties of nanofluid fuel and its additive effects to compression ignition engines. Appl. Surf. Sci. 2020, 504, 144581. [Google Scholar] [CrossRef]
- Lv, J.; Wang, S.; Meng, B. The effects of nano-additives added to diesel-biodiesel fuel blends on combustion and emission characteristics of diesel engine: A review. Energies 2022, 15, 1032. [Google Scholar] [CrossRef]
- Wu, Q.; Xie, X.; Wang, Y.; Roskilly, T. Experimental investigations on diesel engine performance and emissions using biodiesel adding with carbon coated aluminum nanoparticles. Energy Procedia 2017, 142, 3603–3608. [Google Scholar] [CrossRef]
- Sajith, V.; Sobhan, C.B.; Peterson, G.P. Experimental investigations on the effects of cerium oxide nanoparticle fuel additives on biodiesel. Adv. Mech. Eng. 2010, 47, 1–6. [Google Scholar] [CrossRef]
- D’Silva, R.; Binu, K.G.; Bhat, T. Performance and emission characteristics of a CI engine fuelled with diesel and TiO2 nanoparticles as fuel additive. Mater. Today Proc. 2015, 2, 3728–3735. [Google Scholar] [CrossRef]
- Gürü, M.; Karakaya, U.; Altıparmak, D.; Alıcılar, A. Improvement of diesel fuel properties by using additives. Energy Convers. Manag. 2002, 43, 1021–1025. [Google Scholar] [CrossRef]
- Zaka, Z.; Saad, M.S.; Akhtar, M.; Khaliq, A.; Khan, S. Characteristics of hand transmitted vibration through steering wheel of tractor during ploughing field. J. Eng. Res. Appl. 2015, 5, 1–5. [Google Scholar]
- Khorramshokouh, S.; Pirouzfar, V.; Kazerouni, Y.; Fayyazbakhsh, A.; Abedini, R. Improving the properties and engine performance of diesel–methanol–nanoparticle blend fuels via optimization of the emissions and engine performance. Energy Fuels 2016, 30, 8200–8208. [Google Scholar] [CrossRef]
- Ghadimi, A.; Metselaar, I.H. The influence of surfactant and ultrasonic processing on improvement of stability, thermal conductivity and viscosity of titania nanofluid. Exp. Therm. Fluid Sci. 2013, 51, 1–9. [Google Scholar] [CrossRef]
- Staszewski, W.J. Wavelet based compression and feature selection for vibration analysis. J. Sound Vib. 1998, 211, 735–760. [Google Scholar] [CrossRef]
- Matthews, J. Ride comfort for tractor operators. II. Analysis of ride vibrations on pneumatic-tyred tractors. J. Agric. Eng. Res. 1964, 28, 147–158. [Google Scholar]
- Bovenzi, M.; Franzinelli, A.; Scattoni, L.; Vannuccini, L. Hand-arm vibration syndrome among travertine workers: A follow up study. Occup. Environ. Med. 1994, 51, 361–365. [Google Scholar] [CrossRef]
- Chandrasekaran, V.; Arthanarisamy, M.; Nachiappan, P.; Dhanakotti, S.; Moorthy, B. The role of nano additives for biodiesel and diesel blended transportation fuels. Transp. Res. Part D Transp. Environ. 2016, 46, 145–156. [Google Scholar] [CrossRef]
- Tyagi, H.; Phelan, P.E.; Prasher, R.; Peck, R.; Lee, T.; Pacheco, J.R.; Arentzen, P. Increased hot-plate ignition probability for nanoparticle-laden diesel fuel. Nano Lett. 2008, 8, 1410–1416. [Google Scholar] [CrossRef]
- Wen, D. Nano fuel as a potential secondary energy carrier. Energy Environ. Sci. 2010, 3, 591–600. [Google Scholar] [CrossRef]








| Fuel | Density (kg/m3) at 15 °C | Viscosity (cSt) at 40 °C | Heating Value (MJ/kg) | Thermal Conductivity (W/m K) |
|---|---|---|---|---|
| Gasoline | 719.8 | 0.543 | 45.7 | 0.15 |
| G+50ppm TiO2 | 720.1 | 0.545 | 45.9 | 0.16 |
| G+50ppm CuO | 720.8 | 0.546 | 46.1 | 0.19 |
| G+100ppm TiO2 | 720.7 | 0.549 | 46.4 | 0.18 |
| G+100ppm CuO | 722.6 | 0.552 | 46.6 | 0.21 |
| G+150ppm TiO2 | 721.1 | 0.556 | 46.7 | 0.20 |
| G+150ppm CuO | 723.9 | 0.555 | 46.8 | 0.25 |
| S.V | Df | CuO | TiO2 | |||||||
|---|---|---|---|---|---|---|---|---|---|---|
| SS | MS | F | P > F | SS | MS | F | P > F | |||
| 1000 rpm | Nanoparticle concentration | 3 | 0.00199 | 0.00066 | 15.28 | 0.00199 | 0.00199 | 0.00066 | 15.28 | 5.88−9 |
| Error | 16 | 0.0069 | 0.00004 | 0.0069 | 0.0069 | 0.00004 | ||||
| Total | 19 | 0.00268 | 0.00268 | 0.00268 | ||||||
| 2000 rpm | Nanoparticle concentration | 3 | 0.00287 | 0.00096 | 4.18 | 0.00287 | 0.00287 | 0.00096 | 4.18 | 2.3e−2 |
| Error | 16 | 0.00366 | 0.00023 | 0.00366 | 0.00366 | 0.00023 | ||||
| Total | 19 | 0.00654 | 0.00654 | 0.00654 | ||||||
| 3000 rpm | Nanoparticle concentration | 3 | 0.01294 | 0.00431 | 100.25 | 0.01294 | 0.01294 | 0.00431 | 100.25 | e−10 |
| Error | 16 | 0.00069 | 0.00004 | 0.00069 | 0.00069 | 0.00004 | ||||
| Total | 19 | 0.01363 | 0.01363 | 0.01363 | ||||||
Disclaimer/Publisher’s Note: The statements, opinions and data contained in all publications are solely those of the individual author(s) and contributor(s) and not of MDPI and/or the editor(s). MDPI and/or the editor(s) disclaim responsibility for any injury to people or property resulting from any ideas, methods, instructions or products referred to in the content. |
© 2024 by the authors. Licensee MDPI, Basel, Switzerland. This article is an open access article distributed under the terms and conditions of the Creative Commons Attribution (CC BY) license (https://creativecommons.org/licenses/by/4.0/).
Share and Cite
Adelkhani, A.; Nooripour, P.; Daneshkhah, E. The Effects of Adding TiO2 and CuO Nanoparticles to Fuel on Engine and Hand–Arm Driver Vibrations. Machines 2024, 12, 724. https://doi.org/10.3390/machines12100724
Adelkhani A, Nooripour P, Daneshkhah E. The Effects of Adding TiO2 and CuO Nanoparticles to Fuel on Engine and Hand–Arm Driver Vibrations. Machines. 2024; 12(10):724. https://doi.org/10.3390/machines12100724
Chicago/Turabian StyleAdelkhani, Ali, Peyman Nooripour, and Ehsan Daneshkhah. 2024. "The Effects of Adding TiO2 and CuO Nanoparticles to Fuel on Engine and Hand–Arm Driver Vibrations" Machines 12, no. 10: 724. https://doi.org/10.3390/machines12100724
APA StyleAdelkhani, A., Nooripour, P., & Daneshkhah, E. (2024). The Effects of Adding TiO2 and CuO Nanoparticles to Fuel on Engine and Hand–Arm Driver Vibrations. Machines, 12(10), 724. https://doi.org/10.3390/machines12100724

