Compensation Function Observer-Based Backstepping Sliding-Mode Control of Uncertain Electro-Hydraulic Servo System
Abstract
1. Introduction
- (1)
- Different from previous ESO-based methods (e.g., [34,35,37,39]), the CFO adopts a Type-III structure and fully utilizes system state information, which make it capable of estimating the disturbance with higher estimation accuracy. Detailed comparisons between the performance of ESO and CFO in the estimation of different disturbances are examined by extensive comparison simulations.
- (2)
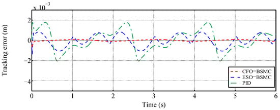
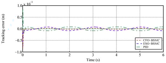
- In comparison with conventional PID and ESO-based BSMC [12,46], the proposed CFO-BMSC tracks the reference trajectory with no phase lag under the influence of large external load forces and disturbances, and the tracking accuracy is increased by and , respectively, obtaining better transient and steady-state tracking performances. To the best of our knowledge, this is the first attempt to incorporate CFO into the backstepping sliding-mode control of EHSSs.
- (3)
- The stability of the overall system including the CFO and BSMC is rigorously analyzed by the Lyapunov stability theory, which guarantees that the closed-loop control system is exponentially stable, and the tracking errors converge to the origin.
2. System Modeling and Problem Description
3. Control Design
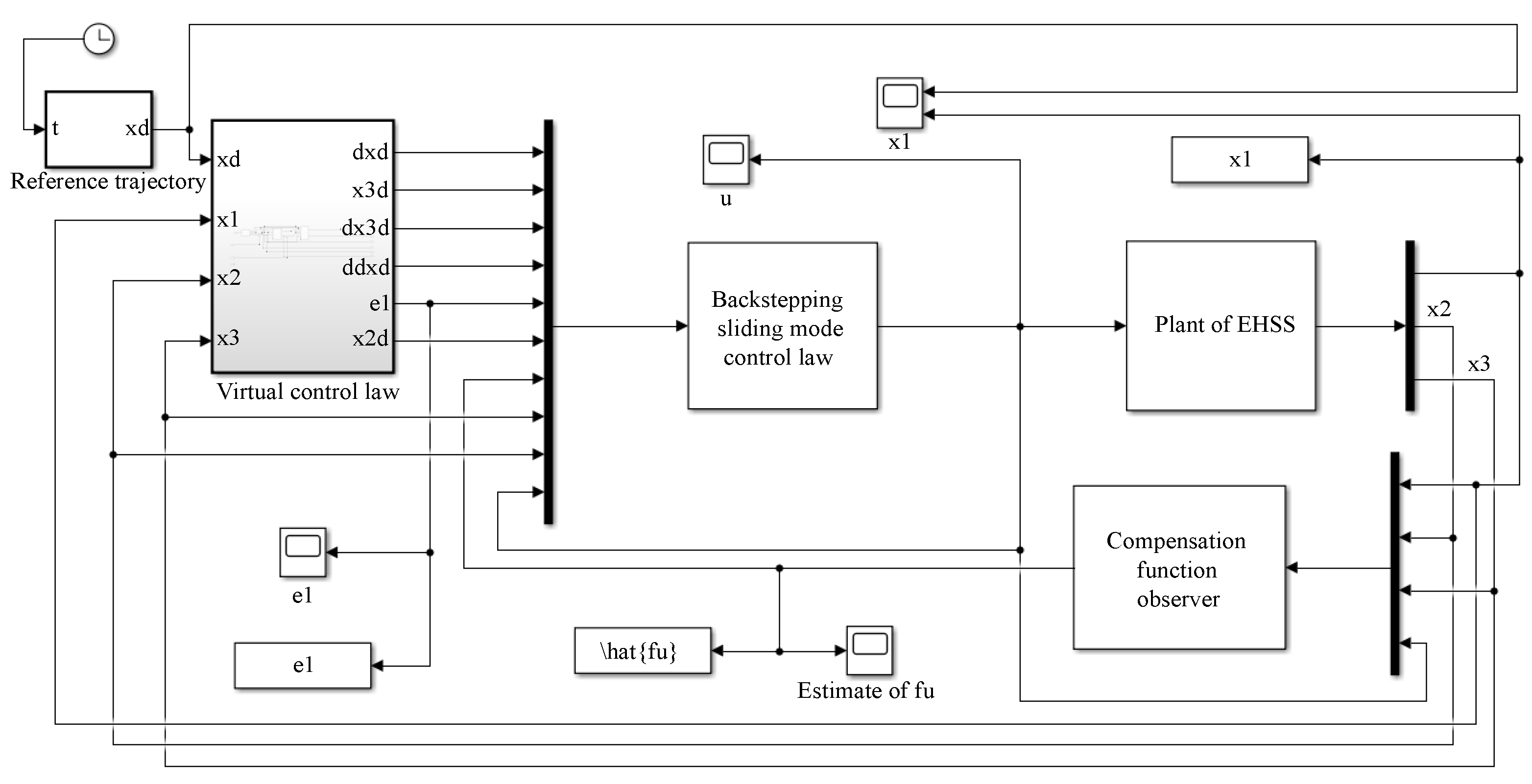
3.1. Structure of the Proposed Hierarchical Control Scheme
3.2. Design of Compensation Function Observer
| 1 | |||
| 0 | |||
3.3. Design of Backstepping Sliding-Mode Controller
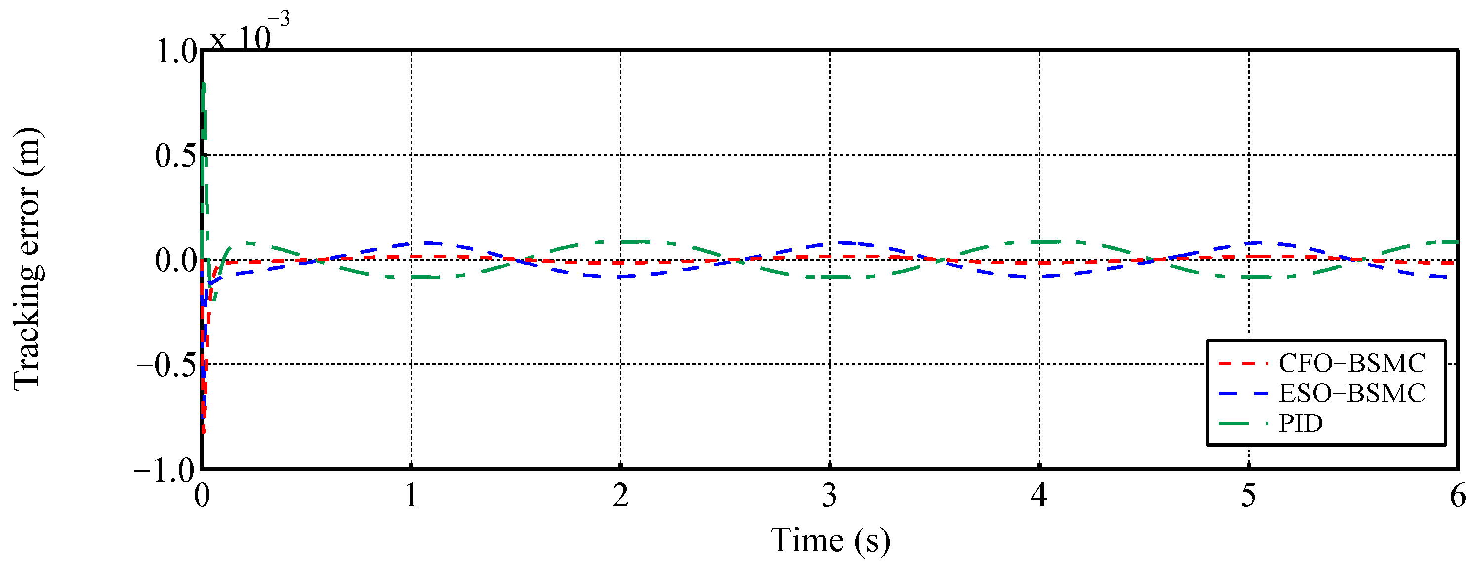
4. Simulation Results and Analysis
- (1)
- CFO-BSMC: This is the proposed backstepping sliding-mode controller based on CFO presented in Section 3. By trial and error, the parameters of the controller in (26), (30) and (37) are selected as , = 2000. The bandwidth of the proposed CFO in Remark 1 is chosen as . Therefore, the gain parameters of the CFO are .
- (2)
- ESO-BSMC: This is the backstepping sliding-mode controller based on the ESO proposed in [46]. To ensure a fair comparison, the parameters of the controller are chosen as the same as those in CFO-BSMC. In addition, the poles of the ESO are assigned as the same as CFO, having the characteristic equation , where are the gain parameters of the ESO. The bandwidth is also chosen as , which results in . Note that the maximum gain of the ESO is 960 times that of the CFO.
- (3)
- PID: This is the well-known proportional–integral–derivative (PID) controller, which has a wide range of application in the industry [12]. In order to obtain a group of optimal control gains for the PID, the auto-tuning technique in MATLAB is adopted, which results in .
4.1. Case 1: Tracking an Exponential Position Trajectory
4.2. Case 2: Tracking a Sinusoidal Position Trajectory
5. Conclusions
Author Contributions
Funding
Data Availability Statement
Conflicts of Interest
References
- Bonchis, A.; Corke, P.I.; Rye, D.C.; Ha, Q.P. Variable structure methods in hydraulic servo systems control. Automatica 2001, 37, 589–595. [Google Scholar] [CrossRef]
- Vladimir, M.; Željko, Š.; Mario, E. Robust H∞ position control synthesis of an electro-hydraulic servo system. ISA Trans. 2010, 49, 535–542. [Google Scholar]
- Muhammad, B.N.; Wang, S.P. Optimization based on convergence velocity and reliability for hydraulic servo system. Chin. J. Aeronaut. 2009, 22, 407–412. [Google Scholar]
- Feng, H.; Ma, W.; Yin, C.B.; Cao, D.H. Trajectory control of electro-hydraulic position servo system using improved PSO-PID controller. Autom. Constr. 2021, 127, 103722. [Google Scholar] [CrossRef]
- Chen, C.; Zhu, Z.H.; Hammadc, A. Automated excavators activity recognition and productivity analysis from construction site surveillance videos. Autom. Constr. 2020, 110, 103045. [Google Scholar] [CrossRef]
- Keles, A.; Yildirim, M. Improvement of mechanical properties by means of titanium alloying to steel teeth used in the excavator. Eng. Sci. Technol. Int. J. 2020, 23, 1208–1213. [Google Scholar]
- Dindorf, R.; Wos, P. Energy-Saving Hot Open Die Forging Process of Heavy Steel Forgings on an Industrial Hydraulic Forging Press. Energies 2020, 13, 1620. [Google Scholar] [CrossRef]
- Liu, Y.; Shu, Y.; Xu, Z.; Zhao, X.; Chen, M. Energy efficiency improvement of heavy-load hydraulic fine blanking press for sustainable manufacturing assisted by multi-stages pressure source system. Proc. Inst. Mech. Eng. Part J. Eng. Manuf. 2024. [Google Scholar] [CrossRef]
- Xie, Q.; Zhang, Y.; Wang, T.; Zhu, S. Dynamic response prediction of hydraulic soft robotic arms based on LSTM neural network. Proc. Inst. Mech. Eng. Part J. Syst. Control. Eng. Electron. 2023, 237, 1251–1265. [Google Scholar] [CrossRef]
- Zhang, X.F.; Shi, G.L. Dual extended state observer-based adaptive dynamic surface control for a hydraulic manipulator with actuator dynamics. Mech. Mach. Theory 2022, 169, 104647. [Google Scholar] [CrossRef]
- Chen, J.P.; Lu, B.C.; Fan, F.; Zhu, S.C.; Wu, J.X. A Nonlinear PID controller for electro-hydraulic servo system based on PSO algorithm. Appl. Mech. Mater. 2012, 141, 157–161. [Google Scholar] [CrossRef]
- Karam, M.E.; Jiao, Z.X.; Zhang, H.Q. PID controller optimization by GA and its performances on the electro-hydraulic servo control system. Chin. J. Aeronaut. 2008, 21, 378–384. [Google Scholar]
- Kasprzyczak, L.; Macha, E. Selection of settings of the PID controller by automatic tuning at the control system of the hydraulic fatigue stand. Mech Syst. Signal Process 2008, 22, 1274–1288. [Google Scholar] [CrossRef]
- Amiri, M.; Ramli, R.; Ibrahim, M. Hybrid design of PID controller for four DoF lower limb exoskeleton. Appl. Math. Model. 2019, 72, 17–27. [Google Scholar] [CrossRef]
- Mintsa, H.A.; Venugopal, R.; Kenne, J.P.; Belleau, C. Feedback linearization-based position control of an electrohydraulic servo system with supply pressure uncertainty. IEEE Trans. Control Syst. Technol. 2012, 20, 1092–1099. [Google Scholar] [CrossRef]
- Aleksey, A.K. Feedback linearization of nonlinear singularly perturbed systems with state-dependent coefficients. Int. J. Control 2020, 18, 1743–1750. [Google Scholar]
- Yao, J.Y.; Deng, W.X.; Sun, W.C. Precision motion control for electro-hydraulic servo systems with noise alleviation, a desired compensation adaptive approach. IEEE/ASME Trans. Mechatronics 2017, 22, 1859–1868. [Google Scholar] [CrossRef]
- Yang, G.C.; Yao, Y.J. High-precision motion servo control of double-rod electro-hydraulic actuators with exact tracking performance. ISA Trans. 2020, 103, 266–279. [Google Scholar] [CrossRef]
- Feng, L.J.; Yan, H. Nonlinear adaptive robust control of the electro-hydraulic servo system. Appl. Sci. 2020, 10, 4494. [Google Scholar] [CrossRef]
- Li, X.; Zhu, Z.C.; Rui, G.C.; Cheng, D.; Shen, G.; Tang, Y. Force loading tracking control of an electro-hydraulic actuator based on a nonlinear adaptive fuzzy backstepping control scheme. Symmetry 2018, 10, 155. [Google Scholar] [CrossRef]
- Yan, C.; Xia, J.; Liu, X.; Yue, H.; Li, C. Adaptive backstepping control of high-order fully actuated nonlinear systems with event-triggered strategy. Intell. Robot. 2023, 3, 176–189. [Google Scholar] [CrossRef]
- Zaare, S.; Soltanpour, M.R. Optimal robust adaptive fuzzy backstepping control of electro-hydraulic servo position system. Trans. Inst. Meas. Control 2022, 44, 1247–1262. [Google Scholar] [CrossRef]
- Li, J.F.; Ji, R.H.; Liang, X.L.; Ge, S.S.; Yan, H. Command filter-based adaptive fuzzy finite-time output feedback control of nonlinear electrohydraulic servo system. IEEE Trans. Instrum. Meas. 2022, 71, 3529410. [Google Scholar] [CrossRef]
- Niu, S.S.; Wang, J.Z.; Zhao, J.B.; Shen, W. Neural network-based finite-time command-filtered adaptive backstepping control of electro-hydraulic servo system with a three-stage valve. ISA Trans. 2024, 144, 419–435. [Google Scholar] [CrossRef]
- Wan, Z.S.; Yue, L.W.; Fu, Y. Neural network based adaptive backstepping control for electro-hydraulic servo system position tracking. Int. J. Aerosp. Eng. 2022, 2022, 1–16. [Google Scholar] [CrossRef]
- Truong, H.V.A.; Nam, S.; Kim, S.; Kim, Y.W.; Chung, W.K. Backstepping-sliding-mode-based neural network control for electro-hydraulic actuator subject to completely unknown system dynamics. IEEE Trans. Autom. Sci. Eng. 2023, 1–15. [Google Scholar] [CrossRef]
- Dang, X.; Zhao, X.; Dang, C. Incomplete differentiation-based improved adaptive backstepping integral sliding mode control for position control of hydraulic system. ISA Trans. 2021, 109, 199–217. [Google Scholar] [CrossRef]
- Cao, Q.Y.; Su, X.Y. Generalized super-twisting backstepping sliding mode control for electro-hydraulic servo systems considering the coexistence of matched and mismatched uncertainties. Appl. Sci. 2023, 13, 4931. [Google Scholar] [CrossRef]
- Li, J.; Li, W.; Du, X. Adaptive backstepping sliding mode compensation control for electro-hydraulic load simulator with backlash links. Int. J. Robust Nonlinear Control 2024, 34, 8724–8743. [Google Scholar] [CrossRef]
- Wang, F.; Chen, G.; Liu, H.; Yan, G.; Zhang, T.; Liu, K.; Liu, Y.; Ai, C. Research on position control of an electro–hydraulic servo closed pump control system. Processes 2022, 10, 1674. [Google Scholar] [CrossRef]
- Feng, H.; Song, Q.Y.; Ma, S.L.; Ma, W.; Yin, C.B.; Cao, D.H.; Yu, H.F. A new adaptive sliding mode controller based on the RBF neural network for an electro-hydraulic servo system. ISA Trans. 2022, 29, 472–484. [Google Scholar] [CrossRef] [PubMed]
- Chen, X.C.; Li, D.; Yang, X.B.; Yu, Y.C. Identification Recurrent Type 2 Fuzzy Wavelet Neural Network and L2-Gain Adaptive Variable Sliding Mode Robust Control of Electro-Hydraulic Servo System (EHSS). Asian J. Control 2018, 20, 1480–1490. [Google Scholar] [CrossRef]
- Guo, X.P.; Wang, H.S.; Liu, H. Parameter adaptive based neural network sliding mode control for electro-hydraulic system with application to rock drilling jumbo. Int. J. Adapt. Control. Signal Process. 2024, 38, 2554–2569. [Google Scholar] [CrossRef]
- Shen, W.; Shen, C. An extended state observer-based control design for electro-hydraulic position servomechanism. Control Eng. Pract. 2021, 109, 104730. [Google Scholar] [CrossRef]
- Meng, F.L.; Yan, H.; Li, J.F.; Liu, X. Finite-time backstepping control for electro-hydraulic servo system via extended state observer with perturbation estimation performance improvement. Machines 2022, 10, 1163. [Google Scholar] [CrossRef]
- Liang, Q.K.; Cai, Y.; Song, J.C.; Wang, B.L. A novel ESO-based adaptive RISE control for asymptotic position tracking of electro-hydraulic actuator systems. Trans. Inst. Meas. Control 2024, 46, 1134–1145. [Google Scholar] [CrossRef]
- Yang, G.C. Dual extended state observer-based backstepping control of electro-hydraulic servo systems with time-varying output constraints. Trans. Inst. Meas. Control 2020, 42, 1070–1080. [Google Scholar] [CrossRef]
- Nguyen, M.H.; Ahn, K.K. Output feedback robust tracking control for a variable-speed pump-controlled hydraulic system subject to mismatched uncertainties. Mathematics 2023, 11, 1783. [Google Scholar] [CrossRef]
- Zhuang, H.X.; Sun, Q.L.; Chen, Z.Q. Sliding mode control for electro-hydraulic proportional directional valve-controlled position tracking system based on an extended state observer. Asian J. Control 2021, 23, 1855–1869. [Google Scholar] [CrossRef]
- Zou, Q. Extended state observer-based finite time control of electro-hydraulic system via sliding mode technique. Asian J. Control 2022, 24, 2311–2327. [Google Scholar] [CrossRef]
- Lao, L.M.; Chen, P.Z. Adaptive sliding mode control of an electro-hydraulic actuator with a kalman extended state observer. IEEE Access 2024, 12, 8970–8982. [Google Scholar] [CrossRef]
- Han, J.Q. From PID to Active Disturbance Rejection Control. IEEE Trans. Ind. Electron. 2009, 56, 900–906. [Google Scholar] [CrossRef]
- He, C.; Sun, H.; Wu, Q.; Su, Y.; Sun, N. GPI observer-based active disturbance rejection control for a morphing quadrotor. Intell. Robot. 2023, 3, 274–287. [Google Scholar] [CrossRef]
- Qi, G.Y.; Li, X.; Chen, Z.Q. Problems of extended state observer and proposal of compensation function observer for unknown model and application in UAV. IEEE Trans. Syst. Man Cybern. Syst. 2022, 52, 2899–2910. [Google Scholar] [CrossRef]
- Shao, X.L.; Wang, H.L. Back-stepping active disturbance rejection control design for integrated missile guidance and control system via reduced-order ESO. ISA Trans. 2015, 57, 10–22. [Google Scholar]
- Guo, B.Z.; Zhao, Z.L. On the convergence of an extended state observer for nonlinear systems with uncertainty. Syst. Control. Lett. 2011, 60, 420–430. [Google Scholar] [CrossRef]
- Qi, G.Y.; Deng, J.H.; Li, X.; Yu, X.C. Compensation function observer-based model-compensation backstepping control and application in anti-inference of quadrotor UAV. Control Eng. Pract. 2023, 140, 105633. [Google Scholar] [CrossRef]
- Qi, G.Y.; Hu, J.B.; Li, L.Y.; Li, K. Integral compensation cunction observer and its application to disturbance-rejection control of QUAV attitude. IEEE Trans. Cybern. 2024, 54, 4088–4099. [Google Scholar] [CrossRef]
- Zhang, Z.Y.; Wang, C.W.; Guo, X.P.; Chen, S. Backstepping sliding mode control of electro-hydraulic position servo system based on ESO. J. Beijing Univ. Aeronaut. Astronaut. 2022, 48, 1082–1090. (In Chinese) [Google Scholar]











| Parameters | Value | Parameters | Value |
|---|---|---|---|
| 30 | |||
| 10 | |||
Disclaimer/Publisher’s Note: The statements, opinions and data contained in all publications are solely those of the individual author(s) and contributor(s) and not of MDPI and/or the editor(s). MDPI and/or the editor(s) disclaim responsibility for any injury to people or property resulting from any ideas, methods, instructions or products referred to in the content. |
© 2024 by the authors. Licensee MDPI, Basel, Switzerland. This article is an open access article distributed under the terms and conditions of the Creative Commons Attribution (CC BY) license (https://creativecommons.org/licenses/by/4.0/).
Share and Cite
Pan, C.; Wang, Y.; Yang, S.X.; Li, Z.; Xiao, J. Compensation Function Observer-Based Backstepping Sliding-Mode Control of Uncertain Electro-Hydraulic Servo System. Machines 2024, 12, 719. https://doi.org/10.3390/machines12100719
Pan C, Wang Y, Yang SX, Li Z, Xiao J. Compensation Function Observer-Based Backstepping Sliding-Mode Control of Uncertain Electro-Hydraulic Servo System. Machines. 2024; 12(10):719. https://doi.org/10.3390/machines12100719
Chicago/Turabian StylePan, Changzhong, Yanjun Wang, Simon X. Yang, Zhijing Li, and Jinsen Xiao. 2024. "Compensation Function Observer-Based Backstepping Sliding-Mode Control of Uncertain Electro-Hydraulic Servo System" Machines 12, no. 10: 719. https://doi.org/10.3390/machines12100719
APA StylePan, C., Wang, Y., Yang, S. X., Li, Z., & Xiao, J. (2024). Compensation Function Observer-Based Backstepping Sliding-Mode Control of Uncertain Electro-Hydraulic Servo System. Machines, 12(10), 719. https://doi.org/10.3390/machines12100719

