Next Article in Journal
From Remote Sensing to Artificial Intelligence in Coral Reef Monitoring
Previous Article in Journal
Convolutional Long Short-Term Memory Predictor for Collaborative Remotely Operated Vehicle Trajectory Tracking in a Leader–Follower Formation Subject to Communication and Sensor Latency in the Presence of External Disturbances
 
 
Font Type:
Arial Georgia Verdana
Font Size:
Aa Aa Aa
Line Spacing:
Column Width:
Background:
Article

Structural Design and Experimental Analysis of the Self-Balancing Lower Limb Exoskeleton Robot

1
College of Mechanical and Control Engineering, Guilin University of Technology, Guilin 541000, China
2
Guangdong Provincial Key Lab of Robotics and Intelligent System, Shenzhen Institute of Advanced Technology, Chinese Academy of Sciences, Shenzhen 518055, China
3
Guangdong-Hong Kong-Macao Joint Laboratory of Human-Machine Intelligence-Synergy Systems, Shenzhen Institute of Advanced Technology, Chinese Academy of Sciences, Shenzhen 518055, China
*
Author to whom correspondence should be addressed.
Machines 2024, 12(10), 692; https://doi.org/10.3390/machines12100692
Submission received: 29 July 2024 / Revised: 22 August 2024 / Accepted: 22 August 2024 / Published: 1 October 2024
(This article belongs to the Section Robotics, Mechatronics and Intelligent Machines)

Abstract

To facilitate walking rehabilitation training for individuals with lower limb paralysis, a self-balancing exoskeleton robot with 12 degrees of freedom was conceived. The principal structural design was conducted in line with the biomechanics of the human lower limbs, and a kinematic model was formulated. The stipulated gait was resolved by reverse kinematics in MATLAB to derive the joint angle actuation curves. These curves served as the motive input in ADAMS kinematic simulation experiments, yielding a gait trajectory with an error margin of less than 2 mm compared to the prearranged gait, which is within a reasonable range of deviation. Experiments involving walking with the exoskeleton were also executed. The analysis of the six-axis force sensor data from the sole demonstrated that the ground reaction force curve consistently remained within the bounds of the foot’s support area, substantiating the exoskeleton’s capability for stable ambulation with a load. The simulations and walking experiments together verified the soundness of the exoskeleton’s structural design.

1. Introduction

A lower limb exoskeleton robot [1] is a new type of wearable intelligent equipment, and many studies have shown that lower limb exoskeleton robots can help with rehabilitation training and improve the daily life of patients with lower limb motor disability. In today’s aging society, more and more older people need to increase their physical strength and enhance their ability to live independently [2]. Moreover, the appearance of exoskeleton robots can enable incapacitated people to move normally and, to a certain extent, alleviate the pain caused by disability.
The primary function of lower limb exoskeletons is to provide safe, efficient, and comfortable assistance and rehabilitation to humans. The design principles must be based on the user’s safety as the primary consideration and factors such as reliability and comfort [3]. Depending on their degree of integration with human lower limbs, lower limb exoskeletons can be divided into two categories: non-self-balancing lower limb exoskeletons and self-balancing lower limb exoskeletons. Many universities and research institutions at home and abroad have conducted much research on non-self-balancing lower limb exoskeletons. The non-self-balancing lower limb exoskeleton category, which can realize the independent assisting of single lower limb joints and the synergistic assisting of multiple joints, has been relatively perfect. However, non-self-balancing exoskeletons can only assist some of the joints of the lower limbs and cannot realize self-balancing. On the other hand, self-balancing exoskeletons can assist most or all of the joints of the lower limbs and are capable of self-balancing. Among self-balancing lower limb exoskeletons, REX from REX Bionics in New Zealand [4], Atalante from Wandercraft in France [5], and the self-balancing lower limb exoskeleton from the University of Science and Technology of China (USTC) [6] are more well known. REX and USTC’s self-balancing lower limb exoskeletons are equipped with 10 degrees of freedom and capable of assisting the mobility and rehabilitation of paralyzed patients. Atalante’s single leg has 12 degrees of freedom, which can realize all functions of the human leg. However, Atalante adopts the distribution of joint degrees of freedom under the tandem technology scheme, which leads to an axial deviation from the human body at the hip joint [7], and patients may feel uncomfortable during human–exoskeleton synergistic movements. The hip joint of the lower limb exoskeleton designed by He Yong [8] and others employs a dual-support linkage centrodistal transmission mechanism, which allows the three rotational axes of the exoskeleton hip joint to intersect at a single point, facilitating better control. However, the hip joint is the area that bears the most load during lower limb movement, and the dual-support linkage mechanism has a relatively weak resistance to deformation, leading to insufficient walking stiffness. This limitation restricts the range of applicable user weights. Cristian Copilusi [9] and others designed a novel lower limb exoskeleton structure that combines the Chebyshev mechanism, pantograph, and Stephenson six-bar mechanism, which can provide walking assistance to the user’s ankle joint. However, it is not suitable for people with lower limb paralysis, and the ankle joint only has one degree of freedom in pitch, which does not fully replicate the full range of human ankle joint motion. The wheeled lower limb exoskeleton designed by Zhang Pengfei [10] and others integrates human intention recognition with control strategies, enhancing human–machine interaction capabilities. However, this wheeled exoskeleton can only operate on structured terrain and is unable to perform movements such as uphill walking or stair climbing.
Based on the above analysis and considering the musculoskeletal structure of the human lower limb, this paper presents the design of a 12-degree-of-freedom self-balancing lower limb exoskeleton robot. The mechanical structure is designed to enable individuals with mobility impairments to independently perform various movements, such as walking, turning, and climbing slopes, without relying on assistance from others. Compared to other lower limb exoskeleton robots, this exoskeleton boasts a higher load-bearing capacity, with a maximum weight limit of up to 80 kg. The design incorporates a hybrid serial–parallel mechanism, utilizing a dual-support serial mechanism at the hip joint to enhance impact resistance and deformation resistance. At the knee and ankle joints, a parallelogram parallel mechanism is employed to increase mobility flexibility, allowing the exoskeleton to better conform to human movement patterns and improve human–machine interaction comfort. The accuracy of the exoskeleton model design was validated through forward and inverse kinematics modeling and ADAMS simulation experiments. Additionally, the stability of the exoskeleton was confirmed through user-worn walking experiments. These findings provide theoretical support and a foundation for the design and optimization of exoskeleton robots.

2. Methods

2.1. Overall Design

2.1.1. Program Design

The self-balancing lower limb exoskeleton robot is a fully actuated wearable robot that can satisfy the degree of freedom, motion consistency, and dynamic characteristics required for human lower limb movement in its structure [11]. In the self-balancing exoskeleton robot designed in this paper, as shown in Figure 1, the mechanical part mainly consists of structures such as the torso, waist, legs, and feet, and each part is connected by connecting rods and joints [12,13]. The design parameters of the exoskeleton significantly impact its performance, requiring careful consideration of multiple factors. For instance, the joint design must accommodate the natural range of motion of the human body. Additionally, the size parameters must account for the stability of the exoskeleton; overly long leg structures can lead to an unstable center of gravity, increasing the risk of falling. Thus, it is essential to strike a balance between providing necessary mobility and ensuring stability. The design parameters should also be selected based on the specific application scenarios of the exoskeleton, such as rehabilitation training or assisted walking. Therefore, this study references existing anthropometric databases [14] to determine the exoskeleton’s design parameters, ensuring the broadest range of adaptability for different users. The structural parameters of the self-balancing exoskeleton robot are given in Table 1 below.

2.1.2. Structural Design

The exoskeleton robot has an overall height of 1.6 m, a waist height of 0.983 m, and a total weight of 84.766 kg. To realize omnidirectional movement, the robot has six degrees of freedom in a single leg, which are three degrees of freedom in the hip joint (flexion/extension, adduction/abduction, and internal/external rotation), one degree of freedom in the knee joint (flexion/extension), and two degrees of freedom in the ankle joint (flexion/extension, internal/external rotation). There are no degrees of freedom between the ankle and the foot, and they are rigidly connected. The two legs are symmetrical with a total of 12 degrees of freedom, each of which is actuated by an integrated joint module, and the axes of the joints are perpendicular, parallel, or co-linear.
To achieve kinematic compatibility between the human body and the exoskeleton and to reduce the misalignment of the motion axes, the exoskeleton hip forward flexion/extension axis (HFE) and hip adduction/abduction axis (HAA) were designed to intersect with the similar centers of the human hip joint. In addition, to improve the structural stiffness of the hip joint, each drive module was designed as a double-layer tandem structure, and the power output of the upper drive module was directly used as the power input of the lower drive module [15], as shown in Figure 2. The hip joints of the exoskeleton can execute 3-DOF motions in three-dimensional space, and the series-connected powered HAA, HEE, and HFE joints can work simultaneously to maintain, respectively, anterior ( o y z ), lateral ( o x y ), and sagittal ( o x z ) plane equilibrium.
The knee joint of the exoskeleton is designed to attach the thigh connector to the calf connector and provide 1-DOF knee flexion and extension movements. To improve the exoskeleton’s center of gravity position, the knee forward flexion/extension axis (KFE) drive module is mounted on the thigh connector as close as possible to the hip forward flexion/extension axis (HFE) drive module. As a result, a drive module with a high-output torque can be used without significantly increasing the inertia of the leg. The active motion transmits power through a parallelogram linkage mechanism with a ratio of 1, which is essentially equivalent to a direct drive [16], as shown in Figure 3. In the exoskeleton knee structure, the KFE axis is aligned with the human knee joint. In addition, a dual-support structure with a thigh linkage and an auxiliary member is used to increase the structural stiffness, with the auxiliary member mounted on either side of the hip forward flexion/posteroversion axis (HFE), knee forward flexion/posteroversion axis (KFE), and ankle forward dorsiflexion/posteroversion axis (ADP) drive modules.
The anterior drive/posterior extension and external swing/internal retraction motions of the exoskeleton ankle joint are realized by a novel 2-DOF parallel mechanism, as shown in Figure 4. The mechanism consists of two decoupled vertical motion branches via a universal hinge, a spherical hinge, and a rotational hinge, whose motions do not affect each other. The connectors of the two branches are parallel to the calf linkage, and the drive linkage is parallel to the two axes of the ankle universal hinge, which allows for better force transfer and smaller space occupation characteristics. Parallel ankle joints are more compact and have higher structural stiffness than tandem structures.

2.2. Kinematic Analysis

2.2.1. Constructing the D-H Model for Lower Limb Exoskeleton Robots

Since the following simulation experiment needs to use kinematic parameters, a D-H model is constructed using the Denavit–Hartenberg (D-H) method to derive the positive kinematics of the self-balancing exoskeleton robot.
Based on the structural characteristics of the self-balancing exoskeleton robot, the kinematic model can be simplified to a seven-link model [17], as shown in Figure 5. The kinematic model is divided into two symmetric branches, i.e., the left leg branch and the right leg branch. The coordinate system is defined as follows: O w x w y w z w is the world coordinate system, O 0 x 0 y 0 z 0 is the base coordinate located at the center of the waist, and O i x i y i z i ( i = 1 , 2 , 12 ) are local coordinates located at the center O i of the kinematic joint. Table 2 lists the D-H parameters and range of motion joints of the exoskeleton robot, where i is the joint serial number, αi−1 is the coordinate system rotation angle, ai−1 is the linkage length, di is the linkage bias, and θi is the joint swing angle.

2.2.2. Constructing a Positive Kinematic Model

To accurately derive the inverse kinematics of the robot, it is first necessary to perform forward kinematics modeling. The D-H convention is applied to construct the forward kinematics model of the exoskeleton robot. Starting from the base coordinate system of the robot, the pose matrix transformation is used to convert it to the first joint of the robot, then to the second joint, and so on, until it is converted to the end effector. Finally, by combining all the transformations in the process, the overall transformation matrix of the robot is obtained.
The transformation equation i−1Ti between two continuous coordinates can be written as the product of four motion transformation matrices, that is, by rotating θi about the axis zi−1 such that xi−1 and xi are parallel to each other; translating di along the zi−1 axis such that xi−1 and xi are collinear; translating ai along the already rotated xi−1 such that the origin of xi−1 and xi coincide; and rotating the zi−1 axis about the xi axis so that the zi−1 axis is aligned with the zi axis. Therefore, the transformation equation i−1Ti can be calculated as follows:
T i i 1 = R ot ( z , θ i ) × T r a n s ( 0 , 0 , d i ) × T r a n s ( a i 1 , 0 , 0 ) × R ot ( x , α i 1 ) = cos θ i sin θ i 0 0 sin θ i cos θ i 0 0 0 0 1 0 0 0 0 1 × 1 0 0 0 0 1 0 0 0 0 1 d i 0 0 0 1 × 1 0 0 a i 1 0 1 0 0 0 0 1 0 0 0 0 1 × 1 0 0 0 0 cos α i 1 sin α i 1 0 0 sin α i 1 cos α i 1 0 0 0 0 1 = cos θ i sin θ i cos α i 1 sin θ i sin α i 1 a i 1 cos θ i sin θ i cos θ i cos α i 1 cos θ i sin α i 1 a i 1 sin α i 1 0 sin α i 1 cos α i 1 d i 0 0 0 1
Taking the left leg as an example, its sub-transformation matrix between each neighboring coordinate system can be derived from Equation (1) and the parameters in Table 2:
T 1 0 = cos θ 1 0 sin θ 1 L 1 cos θ 1 sin θ 1 0 cos θ 1 L 1 0 1 0 0 0 0 0 1   T 2 1 = cos θ 2 0 sin θ 2 L w cos θ 2 sin θ 2 0 cos θ 2 L w 0 1 0 0 0 0 0 1 T 3 2 = cos θ 3 0 sin θ 3 0 sin θ 3 0 cos θ 3 0 0 1 0 L 2 0 0 0 1   T 4 3 = cos θ 4 sin θ 4 0 L u cos θ 4 sin θ 4 cos θ 4 0 0 0 0 1 0 0 0 0 1 T 5 4 = cos θ 5 sin θ 5 0 L d sin θ 5 cos θ 5 0 0 0 0 1 0 0 0 0 1   T 6 5 = cos θ 6 0 sin θ 6 0 sin θ 6 0 cos θ 6 0 0 1 0 0 0 0 0 1
The above transformation matrix describes the pose transformation of each neighboring coordinate system of the robot, which leads to the chi-square transformation matrix 0T6 of the pose of the end of the left leg of the exoskeleton robot and the base coordinate system, and similarly to its sub-transformation matrix 0T12 of the end of the right leg in the base coordinate system, which is:
T 6 0 = T 1 0 T 2 1 T 3 2 T 4 3 T 5 4 T 6 5 T 12 0 = T 7 0 T 8 7 T 9 8 T 10 9 T 11 10 T 12 11
Equation (2) expresses the transformation matrix from the robot waist base coordinate system to the left and right ankles. From the above derivation process, it is easy to know that the end joints and any intermediate joints can be derived given the waist base coordinates. In general, the exoskeleton robot waist position [P0,R0] is known, and the left and right ankle positions [P6,R6], [P12,R12] can be calculated:
P 6 , R 6 T = T 6 0 P 0 , R 0 T P 12 , R 12 T = T 12 0 P 0 , R 0 T
However, during bipedal robot walking, the waist position is unknown in a particular state, and the given position is the supported foot position. At this point, the exoskeleton robot’s walking state can be categorized into bipedal and single support phases. When the right foot is given as the support foot, and the ankle bit posture of the right foot is given as [R12,P12], and is in the single-support phase, the bit posture of the left ankle can be calculated as:
P 6 , R 6 T = T 6 0 T 12 0 1 P 12 , R 12 T
In the bipedal support phase, the lumbar postures can be calculated given the positional postures of the feet using the following relationship; for example, given the positional postures of the right ankle [P12,R12] and the left ankle position [P6,R6], the lumbar postures can be calculated as:
P 0 , R 0 T = T 12 0 1 P 12 , R 12 T = T 6 0 1 P 6 , R 6 T
Due to excessive matrix calculation, the space position of each joint in the reference coordinate system can be obtained using MATLAB R2021a tools to substitute parameters such as the length Li of each member and the joint Angle θi in the joint curve, as shown in Figure 6.

2.2.3. Modeling Inverse Kinematics

Inverse kinematics not only provides parameter references for the simulation experiments in this paper but also aids in the control of the robot’s walking experiments discussed later. Therefore, it is necessary to establish the robot’s inverse kinematics model. The inverse kinematics is solved for the exoskeleton robot using a numerical method with the help of positive kinematics. Taking the left leg as an example, given the waist floating base pose [P0d,R0d] and the left foot pose [P6d,R6d], the target pose can be solved for:
P d , R d T = P 6 d P 0 d , R 0 d T R 6 d
Given the initial angle θn (θ1~θ6) of each joint, we can obtain by positive kinematics:
P 6 n , R 6 n T = P 0 n + R 0 n P 6 0 , R 0 n R 6 0
Calculate the current position:
P n , R n T = P 6 n P 0 n , R 0 n T R 6 n
Calculate the error between the positions at this point:
Δ X = [ Δ P , Δ R ] = [ P d P n , R n T R d ]
Define the error function:
E ( Δ X ) = | | Δ P | | 2 + | | Δ R | | 2
The target is reached when EX) < 10−6 to stop the calculation; otherwise, the correction for the joint Δθ is calculated.
According to robot kinematics, the following relationship exists between robot joint space coordinates and Cartesian space coordinates:
X ˙ = J θ ˙
where J is the Jacobi matrix when the interval is small. The above equation can be written as:
Δ X = J Δ θ
Transform the above equation:
Δ θ = α J + Δ X
where α is the iterative elasticity factor, and J+ is the pseudo-inverse of J. To ensure that the equations have a solution, the pseudo-inverse J+ needs to be solved. Here, the inverse problem is transformed into an optimization problem with the optimization objective and constraints as:
min Δ θ | | Δ θ | | 2 , Δ θ = J + Δ X
Using the Lagrange multiplier method, the above problem becomes:
min Δ θ ( 1 2 | | Δ θ | | 2 + λ T ( Δ X J Δ θ ) )
To find the extreme value of the above equation, the derivatives of dΔθ and are carried out separately, and the derivatives are made zero:
d ( 1 2 | | Δ θ | | 2 + λ T ( Δ X J Δ θ ) ) d Δ θ = Δ θ T λ T J = 0 d ( 1 2 | | Δ θ | | 2 + λ T ( Δ X J Δ θ ) ) d Δ λ = Δ X T J Δ θ = 0
Solving and organizing gives:
Δ X = J Δ θ = ( J J T ) λ
The columns of the Jacobi matrix J correspond to the individual joints, so the columns of J are independent of each other, and the matrix JJT is invertible at a specific position except for the singularity, which can be found as:
λ = ( J J T ) 1 Δ X
It can obtain:
J + = J T ( J J T ) 1 Δ θ = α J + Δ X
Add Δθ to the iteration:
θ n + 1 = θ n + Δ θ
This yields the iterative angle θn+1.for the next cycle, which, upon substitution into Equation (7), iterates to obtain the desired angle θd. The flowchart for the entire inverse kinematics numerical solution process is shown in Figure 7.

3. Result

3.1. Gait Generation

To validate the correctness of the kinematic model and the rationality of the exoskeleton’s structural design, it is necessary to generate a humanoid gait curve. By applying forward kinematics to the generated gait curve, the corresponding joint angle curves can be obtained. These joint angle curves are then used as inputs for the inverse kinematics simulation, resulting in a new gait curve, known as the simulated gait curve. By comparing the original gait curve with the simulated one, the conclusions can be verified.
A gait generator was used to generate the foot end position trajectory based on the preset motion parameters, as shown in Figure 8. A preview control based on a linear inverted pendulum model was also designed to generate the center of mass trajectory satisfying the dynamic equations of the linear inverted pendulum model [18,19], as shown in Figure 9. The inverse kinematics calculation of the generated foot end positions with the center of mass positions using MATLAB yields the drive angle curves for each joint of the left and right foot of the lower limb exoskeleton robot, as shown in Figure 10.
From Figure 8, it can be seen that the gait generator generates the foot-end trajectory curves for two gait cycles. The curves are smooth and continuous without obvious shocks and sudden changes except for the gait transition moments. This verifies that the generated gait curves are reasonable and can be used as the reference trajectory curves for the self-balancing lower limb exoskeleton robot. From Figure 9, it can be seen that the center of mass trajectory generated by means of preview control to satisfy the dynamic equations of the linear inverted pendulum model is unchanged in the z-direction except for the beginning and ending moments of the gait, and the trajectory curves show the same periodic changes as the theoretical trajectory curves of the left and right foot ends in Figure 8, so it can be verified that the generated trajectory of the center of mass is reasonable. From Figure 10, it can be seen that the joint angle curve calculated by means of inverse kinematics alternates between the left foot and the right foot throughout the whole motion cycle, i.e., 70 s, and the difference is half a gait cycle, which is in line with the law of human walking gait. It can be verified that the kinematics modeling of the exoskeleton robot is reasonable. During the whole motion cycle, since the planned gait of the exoskeleton robot is to keep walking straight along the x-direction of the world coordinate system without offset in the y-direction, the hip joint internal/external rotation swing angles θ2 and θ8 are 0, which means that they are always a straight line.

3.2. Comparison of Simulation Results

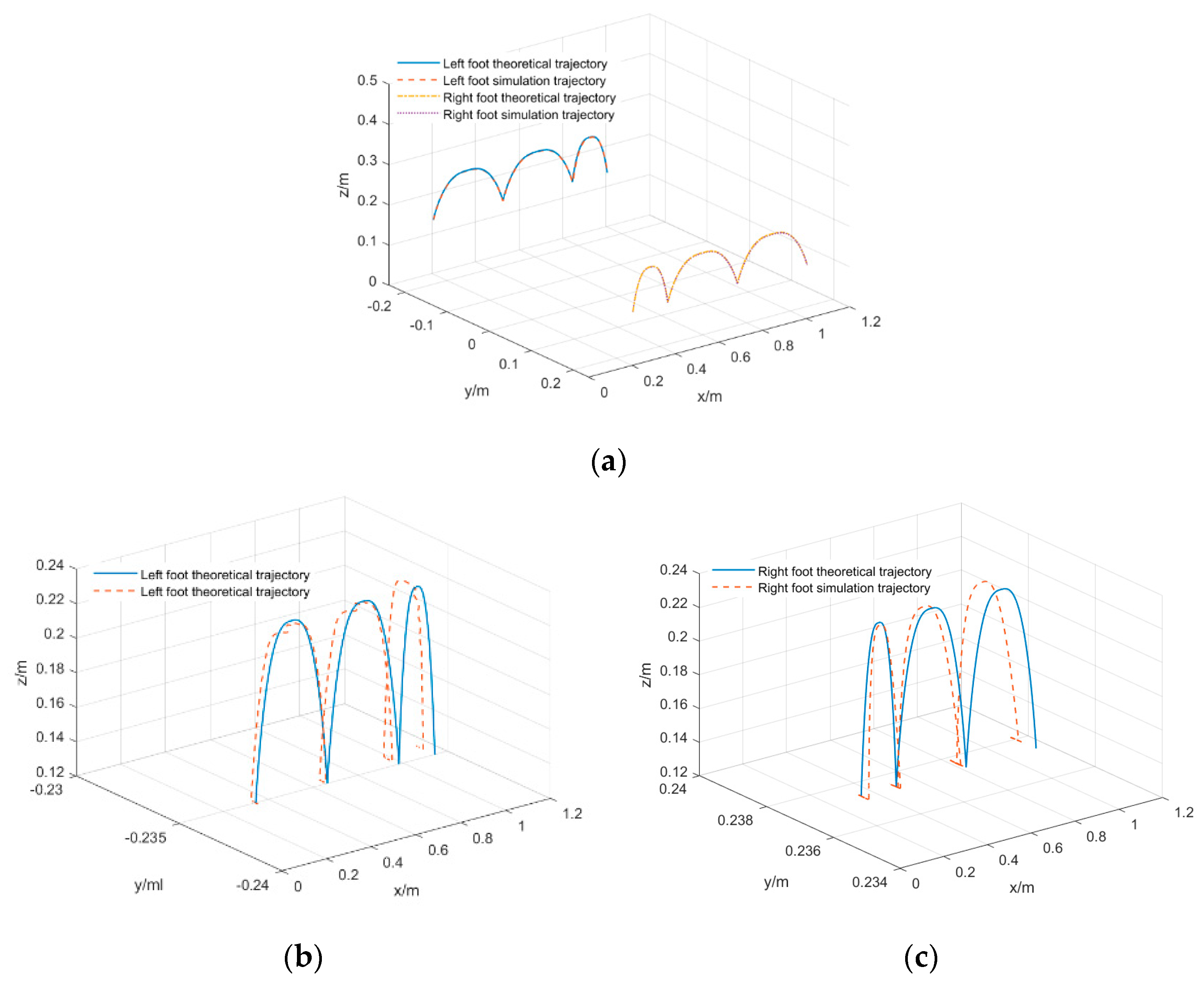
The model built by Solidworks 2022 was imported into ADAMS 2022 software, the material properties of each component were set, the corresponding connections and constraints were added to the joint parts, the degrees of freedom that do not have much influence on walking were deleted, the appropriate contact was added between the soleplate of the foot and the ground, and the reference coordinate system was set at the same position as O0x0y0z0 in the D-H kinematics model [20,21]. In the motion simulation, the joint angle curves solved by the inverse kinematics in Figure 10 were used as the driving curves of each joint of the exoskeleton robot model to obtain the simulated trajectory curves of the end of the foot and compare them with the theoretical trajectory curves of the end of the foot planned by the gait generator. The results are shown in Figure 11. The simulation experiment was repeated 10 times, and the average error of the gait trajectory was calculated for comparison to improve the accuracy of the experiment. The results are shown in Figure 12.
From the results of Figure 11a, it can be seen that the left and right foot end movement trajectory curves obtained by simulation are basically consistent with the change rule of the theoretical curves, and the left and right foot trajectory curves are half a gait cycle apart, which is in line with the gait characteristics of the human body. From Figure 11b,c, it can be seen that the error between the theoretical and simulated values of the left and right foot end position trajectory curves is within 2 mm. The exoskeleton robot in the simulation environment is to keep walking straight along the x-direction of the world coordinate system, while the y-direction has a maximum displacement deviation of 2 mm, which may be due to the existence of gaps in the model fit and the friction between the soles of the feet and the ground in the simulation environment, but it does not affect the final results. As shown in Figure 12, the average error in the amplitude of the left leg and right leg trajectories obtained from 10 simulation experiments is very small in the x-, y-, and z-directions, within the allowable range of ±10 mm, with the maximum error being only 2 mm. This is consistent with the previous conclusions and validates the rationality and stability of the exoskeleton robot design.

3.3. Exoskeleton Prototype Walking Experiment

3.3.1. Establishment of Control Framework

To better validate the walking stability of the exoskeleton prototype, a manned walking experiment with the exoskeleton robot was set up. First, a control framework was established. Since the linear inverted pendulum model (LIPM) is a reliable simplified physical model for exoskeleton robots which allows for better gait planning and real-time control, we simplified the designed exoskeleton to an LIPM [11]. The control framework consists of three components: the gait generator, the inverse kinematics solver, and the CoM adjustment controller, as depicted in Figure 13. The gait generator creates foot reference positions and ZMP reference trajectories based on predefined motion parameters, such as step length and movement patterns, and derives the reference CoM trajectory using the dynamics of the LIPM. The inverse kinematics solver calculates joint angles using the foot reference positions and the CoM trajectory. The CoM adjustment controller then modifies the CoM position by calculating adjustments based on the difference between the reference ZMP and the actual ZMP, as measured by the F/T sensors.

3.3.2. Stability Analysis

In the stability verification method for the exoskeleton robot, the relationship between the zero moment point (ZMP) curve of the exoskeleton’s foot and the foot support area curve is analyzed. If the ZMP curve remains within the bounds of the foot support area curve throughout the entire walking cycle, it indicates that the exoskeleton will not tip over.
The exoskeleton prototype is equipped with six-dimensional force sensors on its feet, capable of measuring the forces and moments along the three axes at every moment. By identifying the point where the resultant moment of the ground reaction force is zero, the foot’s ZMP can be determined and subjected to simple mathematical calculations:
Z M P x = M y F z Z M P y = M x F z
This allows for the determination of the ZMP position in the x- and y-directions at each moment, enabling the plotting of the ZMP trajectory curve.
The foot support area is a polygonal support region determined by the shape of the foot sole and the planned gait. By using MATLAB to calculate and compare the positional relationship between the foot’s ZMP trajectory curve and the foot support area, the stable walking ability of the self-balancing lower limb exoskeleton robot carrying a human can be verified, and the results are shown in Figure 14. The experimental photo of the exoskeleton prototype human-carrying walking is shown in Figure 15. All experiments were approved by the Institutional Review Board (RB NO. SIA-IRB-200715-H0512). We conducted sufficient security verification of the network output, electrical connections, and experimental arrangements, and prepared the necessary security measures to cope with unexpected situations.
To improve the accuracy of the experiment, the whole walking experiment took seven gait cycles, totaling 200 s. In Figure 14a, the upper limit of the support area represents the front endpoint of the foot support area, while the lower limit represents the rear endpoint of the foot support area. In Figure 14b, the upper limit of the support area represents the left endpoint of the foot support area, and the lower limit represents the right endpoint of the foot support area. During the entire walking process, the plantar ZMP trajectory curve is always located between the upper limit curve of the plantar support domain and the lower limit curve of the plantar support domain in both the x- and y-directions, i.e., the plantar ZMP is always within the range of the plantar support domain, which indicates that the exoskeleton will not fall over when walking with a human, and it can carry a human to walk smoothly. In the exoskeleton human-carrying walking experiment in Figure 15, a safety officer was arranged at the back of the exoskeleton robot to follow the movement of the exoskeleton robot in the whole process to ensure the safety of the experiment. The wearer, who is 1.75 m tall and weighs 78.6 kg, alternates between the left foot and the right foot under the drive of the self-balancing lower limb exoskeleton robot, the soles of the feet can land smoothly, and the exoskeleton human-carrying walking gait is close to the usual walking gait of human beings, which indicates that the exoskeleton robot can carry a human being to walk smoothly and, at the same time, it also verifies once again that the design of self-balancing lower limb exoskeleton structure is reasonable.

4. Conclusions

Aiming at the existing lower limb exoskeletons with low degrees of freedom, minor stiffness, and an inability to achieve self-balancing, a series–parallel hybrid 12-degree-of-freedom self-balancing lower limb exoskeleton robot was designed, which can help lower limb-paralyzed people to carry out rehabilitation training and walk independently more flexibly and safely. The foot-end trajectory curves generated by the gait generator and the center of mass trajectory generated by the preview controller were used for inverse kinematics solving in MATLAB to derive the angular drive curves of each exoskeleton joint. The angular drive curves were used as power inputs to the exoskeleton in ADAMS to obtain the foot-end simulation curves. The comparison of the theoretical and simulation curves of the foot end showed that the two curves have the same motion trend, thus proving the rationality of the exoskeleton structure design. A manned walking experiment was carried out, and the ZMP trajectory curve of the plantar foot was calculated by reading the six-dimensional force data of the exoskeleton plantar foot. The results of the comparison with the plantar support domain showed that the ZMP was always located within the support domain in both the x-direction and the y-direction in the whole walking experiment, indicating that the exoskeleton could realize manned and smooth walking, which once again verified the reasonableness of the structural design of the exoskeleton. This provides a theoretical and parametric basis for the structural design of lower-limb exoskeleton robots. Due to differences in machining and assembly precision, as well as variations in material uniformity, the exoskeleton prototype may slightly deviate from the initially set design standards. However, these differences do not significantly affect the overall performance of the exoskeleton, which can effectively assist users in walking and performing side-to-side waist-twisting exercises. The current model, influenced by its own weight and the user’s weight, can only walk on flat surfaces or very slight slopes. In the future, we will optimize the exoskeleton to enhance its adaptability to more irregular ground conditions and to perform more complex movements, such as climbing steep slopes and stairs. We will also optimize the wearing method to improve user comfort.

Author Contributions

Conceptualization, M.L.; methodology, M.L.; software, M.L.; validation, M.L., M.Y. and X.C.; formal analysis, M.L.; investigation, M.Y.; resources, X.C.; data curation, M.L.; writing—original draft preparation, M.L.; writing—review and editing, M.Y.; visualization, M.L.; supervision, M.Y.; project administration, X.W.; funding acquisition, X.W. All authors have read and agreed to the published version of the manuscript.

Funding

This work was supported in part by the National Natural Science Foundation of China under Grant 62125307 and Grant 62203428, in part by the Guangdong Basic and Applied Basic Research Foundation under Grant 2021A1515110486, in part by the Shenzhen Science and Technology Program under Grant RCBS20210706092252054, in part by Shenzhen Medical Research Fund B2302002, and in part by Huangpu Special Program of the Science and Technology Service Network Initiative of Chinese Academy of Sciences under Grant STS-HP-202201.

Data Availability Statement

The original contributions presented in the study are included in the article. Further inquiries can be directed to the corresponding author.

Conflicts of Interest

The authors declare no conflicts of interest.

References

  1. Shi, D.; Zhang, W.; Zhang, W.; Ding, X. A review on lower limb rehabilitation exoskeleton robots. Chin. J. Mech. Eng. 2019, 32, 1–11. [Google Scholar] [CrossRef]
  2. Wang, H.; Chen, H.; Wang, Y. Analysis of Hot Topics Regarding Global Smart Elderly Care Research—1997–2021. China CDC Wkly. 2024, 6, 157–161. [Google Scholar] [CrossRef] [PubMed]
  3. Iqbal, J.; Ahmad, O.; Malik, A. HEXOSYS II-towards realization of light mass robotics for the hand. In Proceedings of the 2011 IEEE 14th International Multitopic Conference, Karachi, Pakistan, 22–24 December 2011; IEEE: Piscataway, NJ, USA, 2011. [Google Scholar]
  4. Lajeunesse, V.; Routhier, F.; Vincent, C.; Lettre, J.; Michaud, F. Perspectives of individuals with incomplete spinal cord injury concerning the usability of lower limb exoskeletons: An exploratory study. Technol. Disabil. 2018, 30, 63–76. [Google Scholar] [CrossRef]
  5. Pinto-Fernandez, D.; Torricelli, D.; del Carmen Sanchez-Villamanan, M.; Aller, F.; Mombaur, K.; Conti, R.; Vitiello, N.; Moreno, J.C.; Pons, J.L. Performance evaluation of lower limb exoskeletons: A systematic review. IEEE Trans. Neural Syst. Rehabil. Eng. 2020, 28, 1573–1583. [Google Scholar] [CrossRef] [PubMed]
  6. Moreno, J.C.; Brunetti, F.; Navarro, E.; Forner-Cordero, A.; Pons, J.L. Analysis of the human interaction with a wearable lower-limb exoskeleton. Appl. Bionics Biomech. 2009, 6, 245–256. [Google Scholar]
  7. Pan, C.T.; Chang, C.C.; Sun, P.Y.; Lee, C.-L.; Lin, T.-C.; Yen, C.-K.; Yang, Y.-S. Development of multi-axis motor control systems for lower limb robotic exoskeleton. J. Med. Biol. Eng. 2019, 39, 752–763. [Google Scholar] [CrossRef]
  8. Liu, J.; He, Y.; Yang, J.; Cao, W.; Wu, X. Design and analysis of a novel 12-DOF self-balancing lower extremity exoskeleton for walking assistance. Mech. Mach. Theory 2022, 167, 104519. [Google Scholar] [CrossRef]
  9. Copilusi, C.; Ceccarelli, M.; Dumitru, S.; Geonea, I.; Margine, A.; Popescu, D. A Novel Exoskeleton Design and Numerical Characterization for Human Gait Assistance. Machines 2023, 11, 925. [Google Scholar] [CrossRef]
  10. Zhang, P.; Gao, X.; Miao, M.; Zhao, P. Design and Control of a Lower Limb Rehabilitation Robot Based on Human Motion Intention Recognition with Multi-Source Sensor Information. Machines 2022, 10, 1125. [Google Scholar] [CrossRef]
  11. Tian, D.; Li, W.; Li, J.; Li, F.; Chen, Z.; He, Y.; Sun, J.; Wu, X. Self-balancing exoskeleton robots designed to facilitate multiple rehabilitation training movements. IEEE Trans. Neural Syst. Rehabil. Eng. 2024, 32, 293–303. [Google Scholar] [CrossRef] [PubMed]
  12. Han, Y.; Liu, S.; Chang, J.; Sun, H.; Li, S.; Gao, H.; Jin, Z. Design and preliminary evaluation of a lower limb exoskeleton based on hydraulic actuator. Ind. Robot: Int. J. Robot. Res. Appl. 2024, 51, 44–57. [Google Scholar] [CrossRef]
  13. Hussain, F.; Goecke, R.; Mohammadian, M. Exoskeleton robots for lower limb assistance: A review of materials, actuation, and manufacturing methods. Proc. Inst. Mech. Eng. Part H J. Eng. Med. 2021, 235, 1375–1385. [Google Scholar] [CrossRef] [PubMed]
  14. Kroemer, K.H.; Kroemer, H.J.; Kroemer-Elbert, K.E. Engineering Physiology: Bases of Human Factors/Ergonomics; John Wiley & Sons: Hoboken, NJ, USA, 1997. [Google Scholar]
  15. Huang, Y.; Li, H.; Gao, Y.; Yang, L. Structure Design of Hip Joint Parallel Rehabilitation Exoskeleton. Chin. J. Med. Instrum. 2023, 47, 612–616. [Google Scholar]
  16. Huang, L.; Chen, M.; Zheng, S.; Yang, L. Research on the kinematic calibration of the 3-PTT parallel mechanism. J. Mech. Sci. Technol. 2023, 37, 4311–4325. [Google Scholar] [CrossRef]
  17. Ortega-Palacios, M.A.; Palomino-Merino, A.D.; Reyes-Cortes, F. Inverse kinematics model for a 18 degrees of freedom robot. J. Autom. Mob. Robot. Intell. Syst. 2023, 17, 22–29. [Google Scholar]
  18. Park, J.; Youm, Y. General ZMP preview control for bipedal walking. In Proceedings of the 2007 IEEE International Conference on Robotics and Automation, Roma, Italy, 10–14 April 2007; pp. 2682–2687. [Google Scholar]
  19. Kajita, S.; Kanehiro, F.; Kaneko, K.; Fujiwara, K.; Harada, K.; Yokoi, K.; Hirukawa, H. Biped walking pattern generation by using preview control of zero-moment point. In Proceedings of the 2003 IEEE International Conference on Robotics and Automation (Cat. No. 03CH37422), Taipei, Taiwan, 14–19 September 2003; Volume 2, pp. 1620–1626. [Google Scholar]
  20. Jha, A.K.; Roy, P.P.; Dutta, A.K.; Saha, J. Modeling and simulation of SCORA-ER14 robot in ADAMS platform. Int. J. Eng. Tech. Res. (IJETR) 2014, 2, 105–109. [Google Scholar]
  21. Zhao, Y.; Wang, H. Kinematics simulation analysis and trajectory planning of a moving robot based on ADAMS. Math. Models Eng. 2017, 3, 71–77. [Google Scholar] [CrossRef][Green Version]
Figure 1. Schematic diagram of the self-balancing lower limb exoskeleton robot prototype.
Figure 1. Schematic diagram of the self-balancing lower limb exoskeleton robot prototype.
Machines 12 00692 g001
Figure 2. Structure of the 3-degree-of-freedom hip joint of a self-balancing lower-limb exoskeleton robot.
Figure 2. Structure of the 3-degree-of-freedom hip joint of a self-balancing lower-limb exoskeleton robot.
Machines 12 00692 g002
Figure 3. Structure of the 1-degree-of-freedom knee joint of a self-balancing lower-limb exoskeleton robot.
Figure 3. Structure of the 1-degree-of-freedom knee joint of a self-balancing lower-limb exoskeleton robot.
Machines 12 00692 g003
Figure 4. Structure of the 2-degree-of-freedom ankle joint of a self-balancing lower-limb exoskeleton robot.
Figure 4. Structure of the 2-degree-of-freedom ankle joint of a self-balancing lower-limb exoskeleton robot.
Machines 12 00692 g004
Figure 5. Forward kinematic model of self-balancing lower limb exoskeleton robot.
Figure 5. Forward kinematic model of self-balancing lower limb exoskeleton robot.
Machines 12 00692 g005
Figure 6. MATLAB forward kinematics model diagram.
Figure 6. MATLAB forward kinematics model diagram.
Machines 12 00692 g006
Figure 7. Inverse kinematics numerical solution process.
Figure 7. Inverse kinematics numerical solution process.
Machines 12 00692 g007
Figure 8. Foot-end trajectory curve.
Figure 8. Foot-end trajectory curve.
Machines 12 00692 g008
Figure 9. Mass center trajectory curve.
Figure 9. Mass center trajectory curve.
Machines 12 00692 g009
Figure 10. Curves of actuation angles of each joint of the exoskeleton. (a) Driving angle curve of each joint of the left foot. (b) Driving angle curves of each joint of the right foot.
Figure 10. Curves of actuation angles of each joint of the exoskeleton. (a) Driving angle curve of each joint of the left foot. (b) Driving angle curves of each joint of the right foot.
Machines 12 00692 g010
Figure 11. Comparison curve of motion trajectory at the end position. (a) Overall end position trajectory comparison curve. (b) Comparison curve of left foot end position trajectories. (c) Comparison curve of the trajectory of the end position of the right foot.
Figure 11. Comparison curve of motion trajectory at the end position. (a) Overall end position trajectory comparison curve. (b) Comparison curve of left foot end position trajectories. (c) Comparison curve of the trajectory of the end position of the right foot.
Machines 12 00692 g011
Figure 12. Mean error contrast. (a) The error in the x-direction of the left foot. (b) The error in the y-direction of the left foot. (c) The error in the z-direction of the left foot. (d) The error in the x-direction of the right foot. (e) The error in the y-direction of the right foot. (f) The error in the z-direction of the right foot.
Figure 12. Mean error contrast. (a) The error in the x-direction of the left foot. (b) The error in the y-direction of the left foot. (c) The error in the z-direction of the left foot. (d) The error in the x-direction of the right foot. (e) The error in the y-direction of the right foot. (f) The error in the z-direction of the right foot.
Machines 12 00692 g012aMachines 12 00692 g012b
Figure 13. Exoskeleton robot control framework.
Figure 13. Exoskeleton robot control framework.
Machines 12 00692 g013
Figure 14. ZMP vs. support domain comparison curve. (a) x-direction ZMP vs. support domain comparison curves. (b) ZMP vs. support domain contrast curve in the y-direction.
Figure 14. ZMP vs. support domain comparison curve. (a) x-direction ZMP vs. support domain comparison curves. (b) ZMP vs. support domain contrast curve in the y-direction.
Machines 12 00692 g014
Figure 15. Experimental photo of exoskeleton manned walking.
Figure 15. Experimental photo of exoskeleton manned walking.
Machines 12 00692 g015
Table 1. Parameters of the self-balancing lower limb exoskeleton robot.
Table 1. Parameters of the self-balancing lower limb exoskeleton robot.
SymbolParameter DescriptionParameterUnit
DOFDegrees of Freedom12pcs
WTotal Mass84.766kg
HTotal Height160mm
LuThigh Length440mm
LdCalf Length400mm
LtwWaist Thickness200mm
LwWaist Width400mm
LahAnkle Height136mm
LfwFoot Width130mm
LflFoot Length290mm
Table 2. Parameters of self-balancing lower limb exoskeleton robot D-H.
Table 2. Parameters of self-balancing lower limb exoskeleton robot D-H.
Joint Nameiαi − 1ai − 1diθiRange
Hip Abduction/Adduction1/790°L10θ1/θ7−30~40°
Hip External/Internal Rotation2/8−90°Lw0θ2/θ8−22~30°
Hip Flexion/Extension3/990°0L2θ3/θ9−40~15°
Knee Flexion/Extension4/10Lu0θ4/θ10−3~70°
Ankle Dorsiflexion/Plantar flexion5/11Ld0θ5/θ11−36~40°
Ankle Eversion/Inversion6/1290°00θ6/θ12−25~20°
Disclaimer/Publisher’s Note: The statements, opinions and data contained in all publications are solely those of the individual author(s) and contributor(s) and not of MDPI and/or the editor(s). MDPI and/or the editor(s) disclaim responsibility for any injury to people or property resulting from any ideas, methods, instructions or products referred to in the content.

Share and Cite

MDPI and ACS Style

Li, M.; Yin, M.; Chen, X.; Wu, X. Structural Design and Experimental Analysis of the Self-Balancing Lower Limb Exoskeleton Robot. Machines 2024, 12, 692. https://doi.org/10.3390/machines12100692

AMA Style

Li M, Yin M, Chen X, Wu X. Structural Design and Experimental Analysis of the Self-Balancing Lower Limb Exoskeleton Robot. Machines. 2024; 12(10):692. https://doi.org/10.3390/machines12100692

Chicago/Turabian Style

Li, Ming, Meng Yin, Xu Chen, and Xinyu Wu. 2024. "Structural Design and Experimental Analysis of the Self-Balancing Lower Limb Exoskeleton Robot" Machines 12, no. 10: 692. https://doi.org/10.3390/machines12100692

APA Style

Li, M., Yin, M., Chen, X., & Wu, X. (2024). Structural Design and Experimental Analysis of the Self-Balancing Lower Limb Exoskeleton Robot. Machines, 12(10), 692. https://doi.org/10.3390/machines12100692

Note that from the first issue of 2016, this journal uses article numbers instead of page numbers. See further details here.

Article Metrics

Back to TopTop