Self-Optimizing Control System to Maximize Power Extraction and Minimize Loads on the Blades of a Wind Turbine
Abstract
1. Introduction
1.1. Prior Work
1.2. Scope and Contribution
2. Wind Turbine Model
2.1. Aerodynamic Model of the Wind Turbine
2.2. Integrated BEM/TWB Model
- The internal structure of the blade and the resonant effects produced by the wind are not considered;
- Aerodynamic forces are calculated using BEM theory in steady state;
- The rotor plane is always oriented perpendicular to the wind;
- The wind speed is uniformly distributed along the blade.
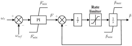
3. Self-Optimizing Controller
- Feedback vs. feed-forward: Self-optimizing control is a feedback-based approach where the control system continuously monitors the process output and adjusts the control input based on the feedback. On the other hand, predictive control is a feed-forward-based approach that predicts future outputs based on the system’s current state and adjusts the control input accordingly.
- Model-based vs. model-free: Predictive control requires a mathematical model of the system being controlled to predict the future behavior of the system. Self-optimizing control does not require a model of the system and relies on data-driven optimization techniques to adjust the control parameters.
- Reactive vs. proactive: Self-optimizing control is a reactive approach that responds to changes in the system in real time. Moreover, predictive control is a proactive approach that anticipates changes in the system and adjusts the control input accordingly.
- Adaptability: Self-optimizing control is designed to adapt to changes in the system over time and can continuously optimize the control parameters. On the other hand, predictive control requires a new model to be developed if there are significant changes in the system.
3.1. Cost Function
3.2. Combination Matrix
- : (manipulated variables) “base set” for unconstrained degrees of freedom.
- : disturbance or set of disturbances.
- : optimal value of u for a given disturbance d.
- : objective cost function.
- : set-points.
- : implementation error or measurement error.
- : true measurements (without ).
- : measurements at the process output (with ).
- : optimal projection matrix of selection or combination of measurements.
- : selected controlled variables.
- : optimal value of c for a given disturbance d.
- ;
- ;
- ;
- .
3.2.1. Gain Matrix
3.2.2. Hessian Matrix Calculation
3.3. SOC Algorithm
| Algorithm 1 SOC algorithm. |
| 1. Obtains the vector input, measurements and disturbance: |
| 2. Define cost function: |
| 3. Combination Matrix: |
| 4. Controller variable: |
| 5. Define: |
4. Results and Discussion
Comparison of Results between Referential Control Schemes
- The baseline control scheme (BCS) offers power control in the third zone (region III) of the operation of the wind turbine and torque control for the maximum power point tracking in the second zone (region II) of operation.
- Nonlinear model predictive control (NMPC) seeks optimal operational points in the controlled variables and . The former variable is calculated exclusively for wind speeds below the nominal value (region II).
- Self optimizing control (SOC) performs power and torque control in the WT’s third operating zone. is calculated to maximize the inverse relationship between the extracted power and the stress factor. SOC constitutes a gentle update on the architecture of the BCS.
5. Conclusions
Author Contributions
Funding
Data Availability Statement
Acknowledgments
Conflicts of Interest
Appendix A
Simulation Parameters
| Parameter | Value |
|---|---|
| Rated power | 1.5 MW |
| Rated voltage | 1.8 kV |
| Rated frequency | 60 Hz |
| Stator resistance | 0.022 pu |
| Stator direct axis inductance | 1.2 pu |
| Stator quadrature axis inductance | 0.71 pu |
| Permanent magnet flux | 1.3 pu |
| Turbine constant of inertia | 3.5 s |
| Generator inertia constant | 0.9 s |
| Turbine damping | 1.5 |
| Spring constant | 296 |
| Inverter-side inductance | 82.4 H |
| Parasitic resistance of | 3.6 |
| Grid-side inductance | 16.5 H |
| Parasitic resistance of | 1 |
| Filter capacitor | 122 H |
| Damping resistance | 0.05 |
| Air density () | 1.1839 kg/m |
| Rotor blade radius (R) | 3.4 m |
| Optimal TSR | 8.1 |
| Optimal power coefficient | 0.48 |
References
- GWEC. Global Wind Report 2021. 2021. Available online: https://gwec.net/global-wind-report-2021/ (accessed on 20 December 2021).
- Wu, B.; Lang, Y.; Zargari, N.; Kouro, S. Power Conversion and Control of Wind Energy Systems, 1st ed.; IEEE Press Series on Power Engineering; Wiley-IEEE Press: Hoboken, NJ, USA, 2011; ISBN 9780470593653. [Google Scholar]
- Heier, S. Grid Integration of Wind Energy, Onshore and Offshore Conversion Systems, 3rd ed.; John Wiley & Sons, Ltd.: Hoboken, NJ, USA, 2014; Chapter 2; pp. 31–117. ISBN 9781118703274. [Google Scholar] [CrossRef]
- Söder, L.; Ackermann, T. Wind Power in Power Systems: An Introduction. In Wind Power in Power Systems, 1st ed.; Ackermann, T., Ed.; Electric Power Systems; John Wiley & Sons, Ltd.: Hoboken, NJ, USA, 2005; Chapter 3; pp. 25–51. [Google Scholar] [CrossRef]
- Rojas Maita, C.P. Evaluación de los Recursos Eólicos para la Generación de Energía Eléctrica a Pequeña Escala en el Distrito de Huachac. Master’s Thesis, Universidad Nacional del Centro del Perú (UNCP), Huancayo, Peru, 2020. [Google Scholar]
- Ackermann, T. Historical Development and Current Status of Wind Power. In Wind Power in Power Systems, 1st ed.; Ackermann, T., Ed.; Electric Power Systems; John Wiley & Sons, Ltd.: Hoboken, NJ, USA, 2005; Chapter 2; pp. 7–24. [Google Scholar] [CrossRef]
- Rayyan Fazal, M. Wind energy. In Renewable Energy Conversion Systems; Kamran, M., Rayyan Fazal, M., Eds.; Academic Press: Cambridge, MA, USA, 2021; Chapter 5; pp. 153–192. [Google Scholar] [CrossRef]
- Pao, L.Y.; Johnson, K.E. Control of Wind Turbines: Approaches, Challenges, and Recent Developments. IEEE Control Syst. Mag. 2011, 31, 44–62. [Google Scholar] [CrossRef]
- Johnson, K.; Pao, L.; Balas, M.; Fingersh, L. Control of Variable-Speed Wind Turbines: Standard and Adaptive Techniques for Maximizing Energy Capture. IEEE Control Syst. Mag. 2006, 26, 70–81. [Google Scholar] [CrossRef]
- Bianchi, F.D.; Battista, H.D.; Mantz, R.J. Wind Turbine Control Systems Principles, Model and Gain Scheduling Design, 1st ed.; Advances in Industrial Control; Springer: Berlin/Heidelberg, Germany, 2007; pp. 7–69. ISBN 9781849966115. [Google Scholar]
- Abdullah, M.; Yatim, A.; Tan, C.; Saidur, R. A review of maximum power point tracking algorithms for wind energy systems. Renew. Sustain. Energy Rev. 2012, 16, 3220–3227. [Google Scholar] [CrossRef]
- Kot, R.; Rolak, M.; Malinowski, M. Comparison of maximum peak power tracking algorithms for a small wind turbine. Math. Comput. Simul. 2013, 91, 29–40. [Google Scholar] [CrossRef]
- Martinez-Luengo, M.; Kolios, A.; Wang, L. Structural health monitoring of offshore wind turbines: A review through the Statistical Pattern Recognition Paradigm. Renew. Sustain. Energy Rev. 2016, 64, 91–105. [Google Scholar] [CrossRef]
- Lio, W.H.A. Blade-Pitch Control for Wind Turbine Load Reductions, 1st ed.; Springer: Cham, Switzerland, 2018; p. 174. [Google Scholar] [CrossRef]
- Minchala, I.; Probst, O.; Cárdenas, D. Wind turbine predictive control focused on the alleviation of mechanical stress over the blades. IFAC-PapersOnLine 2018, 51, 149–154. [Google Scholar] [CrossRef]
- Mínchala, L.I.; Cárdenas-Fuentes, D.; Probst, O. Control of mechanical loads in wind turbines using an integrated aeroelastic model. In Proceedings of the 2017 IEEE PES Innovative Smart Grid Technologies Conference—Latin America (ISGT Latin America), Quito, Ecuador, 20–22 September 2017; pp. 1–6. [Google Scholar] [CrossRef]
- Garcia, M.; San-Martin, J.; Favela-Contreras, A.; Minchala, I.; Cárdenas, D.; Probst, O. A Simple Approach to Predictive Control for Small Wind Turbines with an Application to Stress Alleviation. Control Eng. Appl. Inform. 2018, 20, 69–77. [Google Scholar]
- Loza, B.; Pacheco-Chérrez, J.; Cárdenas, D.; Minchala, L.I.; Probst, O. Comparative Fatigue Life Assessment of Wind Turbine Blades Operating with Different Regulation Schemes. Appl. Sci. 2019, 9, 4632. [Google Scholar] [CrossRef]
- Yuan, C.; Li, J.; Xie, Y.; Bai, W.; Wang, J. Investigation on the Effect of the Baseline Control System on Dynamic and Fatigue Characteristics of Modern Wind Turbines. Appl. Sci. 2022, 12, 2968. [Google Scholar] [CrossRef]
- Nasiri, M.; Milimonfared, J.; Fathi, S. Modeling, analysis and comparison of TSR and OTC methods for MPPT and power smoothing in permanent magnet synchronous generator-based wind turbines. Energy Convers. Manag. 2014, 86, 892–900. [Google Scholar] [CrossRef]
- Gueorguiev Iordanov, S.; Collu, M.; Cao, Y. Can a Wind Turbine Learn to Operate Itself? Evaluation of the potential of a heuristic, data-driven self-optimizing control system for a 5 MW offshore wind turbine. Energy Procedia 2017, 137, 26–37. [Google Scholar] [CrossRef]
- Burlibaşa, A.; Ceangă, E. Rotationally sampled spectrum approach for simulation of wind speed turbulence in large wind turbines. Appl. Energy 2013, 111, 624–635. [Google Scholar] [CrossRef]
- Yang, W.; Peng, Z.; Wei, K.; Tian, W. Structural Health Monitoring of Composite Wind Turbine Blades: Challenges, Issues and Potential Solutions. IET Renew. Power Gener. 2017, 11, 411–416. Available online: https://eprints.ncl.ac.uk (accessed on 22 August 2022). [CrossRef]
- Rosyadi, M.; Umemura, A.; Takahashi, R.; Tamura, J.; Kondo, S.; Ide, K. Development of phasor type model of PMSG based wind farm for dynamic simulation analysis. In Proceedings of the 2015 IEEE Eindhoven PowerTech, Eindhoven, The Netherlands, 29 June–2 July 2015; pp. 1–6. [Google Scholar] [CrossRef]
- Carpintero Renteria, M.; Santos-Martin, D.; Lent, A.; Ramos, C. Wind turbine power coefficient models based on neural networks and polynomial fitting. IET Renew. Power Gener. 2020, 14, 1841–1849. [Google Scholar] [CrossRef]
- González, J.; Salas, R. Representation and estimation of the power coefficient in wind energy conversion systems. Rev. Fac. Ing. Uptc 2019, 28, 77–90. [Google Scholar] [CrossRef]
- Parikshit, G.; Jamdade; Santosh, V.P.; Vishal, B.P. Assessment of Power Coefficient of an Offline Wind Turbine Generator System. Int. J. Eng. Res. Technol. (IJERT) 2013, 2, 41–48. [Google Scholar]
- Cárdenas, D.; Escárpita, A.A.; Elizalde, H.; Aguirre, J.J.; Ahuett, H.; Marzocca, P.; Probst, O. Numerical validation of a finite element thin-walled beam model of a composite wind turbine blade. Wind Energy 2012, 15, 203–223. [Google Scholar] [CrossRef]
- Purcell, E.M. Life at low Reynolds number. Am. J. Phys. 1977, 45, 3–11. [Google Scholar] [CrossRef]
- Smith, S.; Southerby, M.; Setiniyaz, S.; Apsimon, R.; Burt, G. Multiobjective optimization and Pareto front visualization techniques applied to normal conducting rf accelerating structures. Phys. Rev. Accel. Beams 2022, 25, 062002. [Google Scholar] [CrossRef]
- Jaschke, J.; Cao, Y.; Kariwala, V. Self-optimizing control? A survey. Annu. Rev. Control 2017, 43, 199–223. [Google Scholar] [CrossRef]
- Alstad, V.; Skogestad, S.; Hori, E.S. Optimal measurement combinations as controlled variables. J. Process Control 2009, 19, 138–148. [Google Scholar] [CrossRef]
- Halvorsen, I.J.; Skogestad, S.; Morud, J.C.; Alstad, V. Optimal Selection of Controlled Variables. Process Des. Control 2003, 42, 3273–3284. [Google Scholar] [CrossRef]
- Kariwala, V.; Cao, Y.; Janardhanan, S. Optimal measurement combinations as controlled variables. IFAC Proc. Vol. 2007, 40, 257–262. [Google Scholar] [CrossRef]
- Dunn, S.M.; Constantinides, A.; Moghe, P.V. Finite Difference Methods, Interpolation and Integration. In Numerical Methods in Biomedical Engineering; Dunn, S.M., Constantinides, A., Moghe, P.V., Eds.; Biomedical Engineering; Academic Press: Burlington, NJ, USA, 2006; Chapter 6; pp. 163–208. [Google Scholar] [CrossRef]













| Symbol | Definition | Symbol | Definition |
|---|---|---|---|
| Wind speed | Rotational speed of the turbine shaft | ||
| Mechanical power output | , | Active and reactive power at the PMSG output | |
| , | Stator current in directions d and q | , | Active and reactive power output of LCL filter |
| , | Grid current in directions d and q | , | Stator voltage components in directions d and q |
| , | Three-phase reference voltages at the GSC in d and q | , | Three-phase reference voltages in the SSC in d and q |
| Three-phase grid voltage | Three-phase grid current | ||
| Tip-speed ratio | Pitch angle | ||
| Strain on the surface along z-axis of the blade | Shear strain in the plane of the blade material | ||
| Normalized stress factor | Rotation angle of the local blade section | ||
| Nominal power | Optimal projection matrix | ||
| Vector of selected controlled variables | Vector of measurements at the process output | ||
| Diagonal matrices representing instrumentation error | BCS | Baseline control system | |
| NMPC | Nonlinear model predictive control | SOC | Self-optimizing control |
| Wind Velocity | Turbulence IEC Kaimal | % of Reduction | % Power Curtailment | ||
|---|---|---|---|---|---|
| NMPC | SOC | NMPC | SOC | ||
| 8.59 m/s | 27.56% | 17.584% | 13.913% | 11.78% | 9.21% |
| 9.21 m/s | 15.00% | 16.0% | 12.456% | 12.31% | 10.27% |
| 10.434 m/s | 21.51% | 33.67% | 28.798% | 18.248% | 14.76% |
| Simulation Duration | BCS | SOC | NMPC |
|---|---|---|---|
| 605 s | 1.23 h | 1.32 h | 3.52 h |
Disclaimer/Publisher’s Note: The statements, opinions and data contained in all publications are solely those of the individual author(s) and contributor(s) and not of MDPI and/or the editor(s). MDPI and/or the editor(s) disclaim responsibility for any injury to people or property resulting from any ideas, methods, instructions or products referred to in the content. |
© 2023 by the authors. Licensee MDPI, Basel, Switzerland. This article is an open access article distributed under the terms and conditions of the Creative Commons Attribution (CC BY) license (https://creativecommons.org/licenses/by/4.0/).
Share and Cite
Rivas, C.E.; Malo, G.D.; Minchala, L.I.; Probst, O. Self-Optimizing Control System to Maximize Power Extraction and Minimize Loads on the Blades of a Wind Turbine. Machines 2023, 11, 601. https://doi.org/10.3390/machines11060601
Rivas CE, Malo GD, Minchala LI, Probst O. Self-Optimizing Control System to Maximize Power Extraction and Minimize Loads on the Blades of a Wind Turbine. Machines. 2023; 11(6):601. https://doi.org/10.3390/machines11060601
Chicago/Turabian StyleRivas, Carlos E., Gilson D. Malo, Luis I. Minchala, and Oliver Probst. 2023. "Self-Optimizing Control System to Maximize Power Extraction and Minimize Loads on the Blades of a Wind Turbine" Machines 11, no. 6: 601. https://doi.org/10.3390/machines11060601
APA StyleRivas, C. E., Malo, G. D., Minchala, L. I., & Probst, O. (2023). Self-Optimizing Control System to Maximize Power Extraction and Minimize Loads on the Blades of a Wind Turbine. Machines, 11(6), 601. https://doi.org/10.3390/machines11060601

