Abstract
The current work studied the crashworthiness behavior of thin-walled circular steel tubes against axial and oblique crushing. Parametric analyses of crushing angle and tube wall thickness were conducted aiming to identify their effect on dissipated energy, collapse initiation and deformation stability. Quasi-static experiments and finite element (FE) simulations in LS-DYNA were implemented for crushing angle parametric analysis, while the wall thickness effect was studied numerically for the same loading angle range. Both experiments and simulations revealed that an increase in crushing angle results in lower energy absorption (EA) and peak force. Low-angled oblique loading was indicated as the most efficient impact condition reaching sufficient EA and facilitating plastic collapse initiation. The occurrence of global bending mode revealed a critical loading angle value reacting to a significant EA drop due to unstable plastic deformation. Finally, higher wall thickness resulted in greater peak force and increased critical angle reacting to a smoother EA decrease with respect to loading angle by preventing unstable deformation mode.
1. Introduction
The main purpose of crashworthy vehicle structure design is to control the extent of collision damage by dissipating impact energy to plastic deformation under a controllable and progressive collapse. Current design trends are focused on achieving high crashworthiness performance under low weight in order to increase safety under mass and volume constraints, highlighting thus thin-walled structures as more efficient energy absorbing devices compared to compact ones. Tan et al. [1] reported an accident probability analysis regarding car crushes indicating axial and angular collision as the most frequent impact conditions. In this direction, the research interest has emphasized the crushing performance of thin-walled structures subjected to either axial or oblique impact in order to identify the way impact angle affects energy capacity and collapse mechanisms.
Kim and Wierzbicki [2] defined two possible oblique crushing cases consisting of either angled or off-axis loading where an impactor crushed angularly to a vertical and stationary surface in the first case, while in contrast, an energy-absorbing device was located obliquely to the vertically moving impactor in the second case. A nonlinear finite element analysis (FEA) revealed the most efficient oblique loading condition according to impact angle considering square and rectangular tubes. Additionally, an analytical expression for mean crushing force (MCF) was derived via numerical simulations from Han and Park [3] in the case of steel square tubes subjected to angled loading. Further, oblique impact until 30° angle under off-axis loading was studied by Reyes et al. [4] for aluminum square tubes, highlighting that crashworthiness performance was mainly affected by tube wall thickness and initial length. In addition, the effect of initial contact between impactor and energy absorber on crashworthiness performance has been studied for obliquely crushed square tubes until 15° angle [5]. The examined contact types consisted of edged and cornered contacts along a tube cross section highlighting cornered oblique impact as a more efficient loading condition through all examined crushing angles.
The crashworthiness behavior of novel tubular configurations and cross-section geometries has been also investigated against oblique loading. Song [6] examined numerically obliquely loaded windowed square tubes, finding greater energy absorption (EA) capability compared to conventional tubes. Amazi et al. [7] examined homo-polygonal multi-cell tubes under axial and oblique collapse, highlighting their superiority against conventional tubes, as significant gains in crashworthiness performance were revealed in low angles. Additionally, several multi-cell tubular designs were studied by Pirmohammad et al. [8] against 27° oblique quasi-static loads. Circularly multi-cell tubes found to be the most crashworthy ones, with the optimum design provided under a scaling factor of 0.5 regarding the dimensioning between interior subcells and exterior geometry. In addition, Qi et al. [9] examined the crushing behavior of tapered multi-cell tubes under oblique loading. Various multi-cell designs were studied, confirming their greater EA capacity, while optimal design varied with crushing angle.
The response of foam-filled tubes under various geometries against axial and oblique crushing was also studied by Tarlochan et al. [10], aiming to obtain an optimum design for maximizing crashworthiness performance. The optimization criteria consisted of crushing efficiency, absorbed energy, and cost and ease of manufacture, while foam-filling and wall thickness contained the design parameters. Foam-filled conical aluminum tubes subjected to oblique impact were investigated by Qi et al. [11]. Specific energy absorption (SEA) and peak force proved to be improved for conical foam-filled tubes, reaching a maximum gain of 106.6% in SEA compared to empty ones. Elliptical foam-filled tubes were also investigated against oblique impact by Gao et al. [12], conducting a multi-objective optimization. The results indicated that 3% and 27% gains in peak force and SEA, respectively, can be achieved compared to conventional square and circular tubes.
Baykasoglou et al. [13] studied the effect of functionally graded thickness (FGT) tubes on crashworthiness performance under angles up to 30°. The effect of graded thickness seemed stronger in higher angles, where a maximum increase in SEA about 93% was revealed. The effect of variable thickness distribution on EA of obliquely crushed tubes was also studied by Mohammadiha et al. [14], concluding that the optimal design is significantly affected by the crushing angle. Further, Crutzen et al. [15] proposed a beneficial thickness distribution and cross-sectional geometry along structural height in order to avoid unstable Euler deformation mode that would react to significant EA drop. Crashworthiness performance under oblique loading for reinforced tubes of polymer fibers [16] and composite-aluminum hybrid tubes [17] has been studied, aiming to obtain the optimal design that maximizes energy-dissipating efficiency. Finally, other innovative designs such as corrugated tubes [18], double conical tubes [19] and honeycomb structures [20] have been also investigated, with the latter being proved significantly efficient under oblique crushing.
This paper studies the crashworthiness performance of steel circular tubes subjected to axial and oblique collapse until an 11° impact angle. Parametric analyses of crushing angle and tube wall thickness are conducted to capture their effect on EA capability, collapse initiation, and deformation stability. The examined crushing angle range is emphasized in the region of EA linear drop with respect to loading angle in order to identify a critical angle regarding the transition to unstable collapse behavior that causes a significant EA drop in contrast to a progressive deformation mechanism. Regarding the crushing angle parametric analysis, the investigation is carried out both experimentally with quasi-static tests and numerically by FEA simulations in LS-DYNA [21] for a certain tube wall thickness. In addition, a parametric analysis in wall thickness is carried out numerically in order to capture its effect on critical crushing angle and peak force. Therefore, the current study aims to highlight the effect of impact angle and wall thickness on collapse stability and EA, and to determine a critical angle value capturing the transition mechanism from progressive to unstable collapse, which has not been studied extensively for steel circular tubes yet. Finally, peak force and specific energy are considered as the main performance metrics for the evaluation of crushing behavior and modeling verification.
2. Methodology
2.1. Experiments
For the crashworthiness investigation of mild steel thin-walled tubes subjected to axial and oblique loading, both experimental compression tests at first and then numerical FEA simulations are conducted. The oblique loading cases contain the examination of loading angle up to 11°, while all experimentally tested circular tubes are 32.75 mm in external diameter and 1.56 mm in wall thickness regarding the parametric study in crushing angle. The specimens are numbered from 1 to 5 regarding the tested angles of 0°–3°–6°–9°–11°, respectively. Additionally, the axially crushed specimen 1 is of 119 mm initial length, while all other obliquely crushed specimens 2–5 are 88 mm long, as listed in Table 1. Each examined configuration (Figure 1) represents an off-axis loading condition [2] with the impactor moving vertically downwards applying the compressive loads and the tubular specimen rotated to the proper angle together with the bottom base. The bottom tube end is embedded into a 20 mm height external–internal ringed configuration that is positioned to the bottom base and restricts the bottom tube end from deforming externally or internally clamping that way a bottom zone of tube end and reducing the specimen effective initial length by that height. More specifically, the bottom support configuration contains a steel-ringed cylindrical device fixed to the bottom base and properly dimensioned to the tubular specimen external and internal diameter in order to provide an interference fit for clamping the bottom tube end.
Table 1.
Experimental testing data.
Figure 1.
Test configuration.
Each experimental test is conducted under quasi-static conditions under 10 mm/min compressing velocity in a pressing machine until the impactor approaches marginally the top edge of the bottom-ringed base configuration. During each test, different states of collapse are captured for identifying the failure mode mechanism, while the main crashworthiness response parameters are calculated by the provided force-displacement (F-x) curve. Finally, during experimental measurements in crushing force, a sudden load increase is observed in the final stage of deformation representing the increased resistance of the fully crushed structural mass against its further shortening. However, that section is removed from the experimental F-x curve and not taken into account during the evaluation of crashworthiness performance, thus avoiding an overestimation of the actual EA capability.
2.2. Crashworthiness Indicators
For assessing the performance of impact response, the main response parameters the current work considers include energy absorption (EA), specific energy absorption (SEA), mean crushing force (MCF), peak crushing force (PCF) and crushing force efficiency (CFE). The above metrics are computed from the F-x curve aiming to estimate EA capacity, plastic collapse initiation and crushing efficiency. The plastic folding deformation mechanism dissipates impact energy by initially converting it to bending energy for folding formulation, providing plastic hinges as center of rotation for the bended tube wall, while at the next membrane stretching energy is absorbed for folding extension [22]. The total absorbed energy during plastic deformation refers to EA, and considering F(x) as the crushing force fluctuation during collapse and d as the maximum impactor stroke, EA is calculated as the area below the F-x curve. However, a more indicative index for energy capacity is SEA, which corrects EA to the mass of crushed structure (m), offering more reliable results when comparing different geometry, material, and dimension. Thus, EA and SEA are expressed as:
Regarding force fluctuation, PCF defines the maximum crushing force, which reflects plastic collapse initiation by deforming the first plastic fold. Further, MCF reflects a constant sustained force during collapse, which would reveal the same EA as the actual one of the distributed crushing force. Local peaks and lows in force are formed around MCF representing the formulation of external and internal plastic convolutions, respectively. Therefore, PCF and MCF are expressed as:
Finally, the CFE parameter reflects the crushing force uniformity during collapse and is defined by the ratio between MCF and PCF, as follows:
Thus, efficient behavior of an energy absorber contains high EA capability under high-enough SEA levels combining that way a lightweight structure with high EA. PCF value also must be high enough to allow for a great crashworthiness performance, restricted, however, by an upper limit preventing elastic deformation, which reacts to the spring-back effect without dissipating crushing energy. Finally, high CFE values are desirable, as they positively affect the EA and reduce the inertial forces produced by a high difference between PCF and MCF.
2.3. Material Characterization
The thin-walled tube material utilized for the experimental tests and the FEA simulations is mild steel ASTM A36. A tensile test was conducted according to ASTM E8M-2004 standards, which define a standard test method for tensile tests of metallic materials. Figure 2 depicts the provided true stress–strain curve from which the steel mechanical properties are assessed in order to be utilized for the needs of FE modeling procedure regarding the material properties. Finally, Table 2 shows the mechanical properties extracted from the tension test, while further open-literature data were utilized for identifying mild steel density and Poisson ratio.
Figure 2.
True stress–strain curve for mild steel tube.
Table 2.
Steel mechanical properties.
2.4. Finite Element Modeling
For assessing the crashworthiness performance, numerical simulations are further implemented via FE modeling in LS-DYNA [21] for both crushing angle and wall thickness parametric analyses. During FE modeling, geometry and mesh are firstly generated for the examined bodies, while next material behavior is simulated properly via its mechanical properties and its constitutive relation regarding its plastic flow rule. Finally, boundary conditions related to the interface contacts are applied and the loading characteristics are determined.
More specifically, the mesh of thin-walled tubes is generated by implementing 4-node shell elements whose precision on folding formulation has been proved sufficient enough considering both the mode and the number of deformed folds [23]. On the contrary, an 8-node solid element meshing is implemented for impactor and ringed base, as they are treated as rigid compact bodies. In addition, FE mesh is sized properly considering tube wall thickness, as element dimensioning below thickness value offers reliable results in cases of thin-walled tubes regarding the fold deformation [24]. Thus, tube elements are sized to 1.56 mm for simulations of angle parametric study, while mesh density for the simulated cases of wall thickness parametric analysis is adjusted properly to secure sufficient accuracy for a reasonable computational cost. For the formulation of shell tube elements, a Belytschko–Lin–Tsay approach with five integration points across shell thickness is implemented, which utilizes the Reissner–Mindlin kinematic assumption [25]. This treatment considers shell plate bending and membrane stretching as the superposition of mid-surface displacements and rotations, providing reliable results regarding folding formulation for thin-walled structures. Further, an hourglass control is implemented with respect to Flanagan–Belytschko stiffness form, introducing internal hourglass forces during element deformation that are proportional to nodal displacements. Thus, hourglass deformation of elements is prevented during bending and membrane stretching mechanisms that take place in folding formulation, while mesh instability is therefore avoided [7] that would react to zero-energy deformation mode. Finally, hourglass control coefficient is set equal to 0.1 in order to reduce the introduced stiffening effect due to hourglass control. Following that, the material behavior of mild steel tubes is modeled implementing an isotropic elastoplastic model via the “MAT024” keyword, which considers a piecewise linear strain hardening behavior for the plastic flow rule. For this reason, the material properties listed in Table 2 and the true stress–plastic strain curve from tension testing (Figure 2) are introduced in the “MAT024” material card. Regarding rigid bodies, the “MAT020” material card is employed considering impactor and ringed base as steel rigid bodies, adjusting their mechanical properties according to Table 2 data and additionally their kinematic degrees of freedom.
Contact algorithms are employed in order to introduce the necessary boundary conditions for penetration avoidance regarding the interfaces of interacting bodies. Firstly, a “nodes-to-surface” keyword is adjusted in order to prevent penetration between deformable tube element nodes and undeformable surfaces of rigid bodies. In addition, a “surface-to-surface” keyword is adjusted in order to consider for the interface between the bottom end of the crushed tube and top side of the ringed base where the formulated folds are compressed to. Moreover, an “automatic single surface” keyword is employed to avoid interpenetration of tube surface due to the interacting folds that occur during collapse progress. In all considered contact cases, friction between interacting surfaces is considered by adjusting friction coefficient to 0.2 in order to account for its contribution to the required deformation energy. Additionally, regarding the clamped bottom tube zone due to its embedding into ringed base, the respective tube element nodes are restricted against any displacement or rotation. A dynamic loading is implemented by introducing a constant crushing velocity of 1 m/s to the impactor until a maximum tube shortening of 74 and 54 mm for the axial and oblique impact cases, respectively, until the impactor marginally reaches the top end of the ringed base. The examined impact angle is adjusted properly as depicted in Figure 1 regarding oblique loading. Finally, the difference in impact velocity between tests and simulations is attributed to the fact that the dynamic loading rate reduces the computational cost of simulation and also represents more realistic crushing conditions, in contrast to quasi-static tests that are conducted at lower loading rate in order to restrict cost of equipment.
3. Results
3.1. Modeling Validation
During validation, the numerical and experimental results are compared regarding both crashworthiness parameters and collapse mechanism. The validating procedure between tests and simulations is carried out by crushing angle parametric study for steel tubes under a wall thickness of 1.56 mm. The examined cases consist of both axial and oblique crushing investigation, with test case 1 referring to axial crushing, while test cases 2–5 refer to oblique crushing under 3°–6°–9°–11°, respectively.
The provided deviations between tests and simulations shown in Table 3 reveal sufficient agreement on crashworthiness parameters with errors in PCF and EA below 8% for all examined cases. Further, the deformation mode is predicted accurately from the simulations revealing a stable collapse under concertina and diamond mode for axial and oblique loading until 6°, while 9° and 11° obliquely crushed tubes incurred a global bending mode during plastic deformation, resulting in a significant decrease in EA due to unstable collapse.
Table 3.
Deviation between tests and simulations in PCF, EA and CFE.
3.1.1. Force-Displacement Characteristics
The validation of FE models against quasi-static tests regarding the crushing angle parametric analysis contains the comparison of experimental and numerical F-x curves at first, while the plastic collapse mechanisms are examined at next. Table 4 shows the provided crashworthiness parameters, while Figure 3 depicts the revealed F-x curves from tests and simulations together with collapse states during different stages of deformation. In all cases, PCF has been assessed as the initial peak in crushing force fluctuation that reflects the initiation of plastic collapse. Thus, the sudden load increase has been neglected during the final stages of collapse, which mainly occurred in tests due to increased resistance of fully crushed mass against its further shortening. Therefore, any greater local peaks in force are not taken into account in order to avoid miscalculations of PCF.
Table 4.
Crashworthiness indicators from tests and simulations.

Figure 3.
F-x curves with collapse states from tests and simulations: (a) α = 0°; (b) α = 3°; (c) α = 6°; (d) α = 9°; (e) α = 11°.
Evaluating the F-x curves and the provided crashworthiness parameters, both experimental and numerical results agree that the axially crushed tube reveals the greatest EA under the highest SEA levels and the greatest PCF among the others. The increase in impact angle reacts to SEA and PCF drop, showing that oblique crushing conditions are less efficient than axial ones regarding EA capability. The drop in SEA and PCF levels under the increased loading angle is caused due to further bending loads introduced from angled crushing, which brings a combination of an axial compressive force and a lateral force reacting to bending moments [5]. The latter facilitates plastic deformation, as the required collapse energy decreases in order to reach the necessary plastic bending moment for folding formulation. In addition, when the crushing angle increases to 9° and 11°, global bending deformation occurs, bringing instability to the collapse mode and decreasing EA significantly.
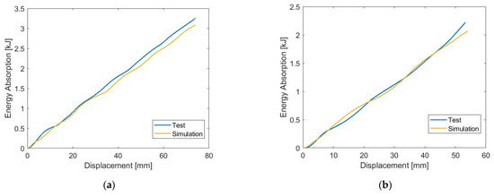
The efficiency and stability of the collapse mechanism can also be captured by EA increase rate during deformation, as Figure 4 illustrates. Specifically, axial and oblique crushing under angles until 6° reveal a linear EA increase, which is reflected by a high-enough sustained MCF as deformation progresses, showing a stable and progressive collapse. In contrast, obliquely crushed tubes under 9° and 11° show a progressive decrease in crushing force during collapse. This tendency was caused by the occurrence of global bending mode, whose unstable behavior reacted to significant drop in EA. Moreover, the increase rate of EA seemed to decrease after 40 mm of impactor displacement, reflecting an inefficient energy-absorbing mechanism (Figure 4d,e).

Figure 4.
EA-x curves from tests and simulations: (a) α = 0°; (b) α = 3°; (c) α = 6°; (d) α = 9°; (e) α = 11°.
3.1.2. Collapse Mechanisms
Regarding the deformation mode, a stable behavior of progressive collapse allows for high EA, in contrast to a bending mode, whose instability reacts to significantly lower EA capacity. Figure 3 depicts the deformation stages of plastic collapse for each examined case regarding the parametric study of crushing angle for steel tubes of 1.56 mm wall thickness. Regarding the axially collapsed tube, both experiment and simulation agreed on a stable and progressive concertina deformation mode formulating axisymmetric folds and revealing the greatest EA. However, a deviation regarding the number of formulated folds was derived between test and simulation, as the first one showed five folds, while the FE model predicted six folds, as verified by the force fluctuation in the respective F-x curves. Thus, the phase difference between experimental and numerical F-x curves (Figure 3a) is attributed to the slight deviation between test and simulation regarding the number of deformed folds that are associated with force peaks and lows.
The formation of axisymmetric convolutions is attributed to uniform bending moment distribution along the tube circumference (Figure 5a), which results in a fold bending and membrane stretching mechanism, thus increasing the diameter of formulated folds without changing their circular cross section. For the cases of 3° and 6° crushing angles, both test and simulation agreed on a 2D diamond deformation mode with four elliptic folds. Despite the accuracy in the number of predicted folds, experimental and numerical F-x curves also reveal a slight phase difference, as captured in Figure 3b,c, which, however, results in slight deviations in energy dissipation rate, which affects the plastic deformation work required for folding formulation, as verified by the slight difference in EA slope between test and simulation, as captured in Figure 4b,c. The nonuniform circumferential bending moment distribution (Figure 5b) around the fold cross section is considered responsible for the elliptic geometry of the formulated folds, as it causes stretching and compressive deformation in different directions.
Figure 5.
Bending moment circumferential distribution: (a) concertina mode; (b) diamond mode; (c) global bending mode.
Figure 5c depicts a global bending mode case that occurred in 9° and 11° crushed tubes after the initial formulation of two 2D diamond folds. A unilateral moment concentration resulted in global buckling during which the crushing force revealed a progressive decrease during collapse, dropping EA significantly. Finally, the views of collapsed tubes are illustrated in Figure 6, which highlights the difference between progressive deformation and global bending. As in the first case, a highly sustained MCF required for folding formulation allows for high EA, in contrast to unstable collapse, where the crushing force reveals a continuous decreasing EA.
Figure 6.
Final deformation of crushed tubes.
3.2. Crushing Angle Effect
The crushing angle parametric study via both tests and simulations highlighted the influence of loading angle on collapse initiation, absorbed energy and deformation stability. Both tests and simulations agreed that the axial loading allowed for the greatest SEA, while oblique crushing revealed a decrease in EA due to greater bending loads brought by angled loading reacting to further bending moment around the bottom tube end. As the crushing angle increases, the bending moment increases, facilitating both initiation and progress of plastic collapse. In fact, at high crushing angles, the bending moment can be high enough to result in a global bending deformation mode, which brings a significant decrease in EA due to its unstable behavior, reflected by the progressive crushing force decrease, as revealed from 9° and 11° obliquely crushed tubes.
In more detail, Figure 7a depicts that PCF reaches a maximum value about 68 kN in the case of axial crushing, reduced under oblique crushing initially by 18% at almost 56 kN for 3° loading angle. At higher angles, the PCF decrease rate drops until about 47 kN for 11° angled loading. The magnitude of the crushing angle effect on PCF seems to be stronger at low angles, where PCF reveals more intense drop due to greater required compressive force for collapse initiation. On the contrary, as the impact angle gets higher, PCF drop seems to be flattened out under a lower reduction rate due to global bending collapse mode occurrence, which stabilizes PCF around a certain buckling load value. Regarding the EA, axial crushing reveals the greatest amount of dissipated energy lying about 3.2 kJ with SEA of 34 kJ/kg. This due to both the absence of lateral crushing force components and the concertina collapse mode, which is the most efficient energy-absorbing mechanism compared to the diamond one observed in low crushing angles or the global bending at higher angles. However, in order to consider a comparative index to the oblique crushing cases, SEA is treated as more reliable because except for mass correction, it includes the index of maximum structure shortening, which in the case of axial collapse is about 74 mm, while in the oblique loading cases, it is restricted to 54 mm.
Figure 7.
Variation of crashworthiness parameters with crushing angle: (a) PCF; (b) SEA.
Figure 7b indicates that SEA decreases linearly at angles until 6° with a decrease rate of almost 5% per 3° angle affected mainly by the introduced bending moment due to the angled loading, as Figure 8 depicts. On the contrary, a significantly sharper drop in SEA is captured at 9° loading angle of almost 15%, which is then flattened out at higher angles. Thus, 9° is indicated as the critical crushing angle causing a significant SEA decrease due to global bending deformation whose unstable collapse mechanism reacts to progressive force decrease without formulating additional folds.
Figure 8.
SEA decrease per crushing angle step.
Finally, regarding the variation of CFE parameter with crushing angle, PCF decrease was more strongly affected by the crushing angle increase compared to the MCF drop revealed from lower EA, resulting in CFE increase at low crushing angles until 6° as Figure 9 depicts. However, at higher angles, EA drop becomes more intense due to bending collapse mode while PCF is flattened out, resulting in decreased CFE. Thus, low-angled oblique crushing is considered the most beneficial impact condition in terms of crashworthiness performance, reducing PCF and increasing CFE. Therefore, low crushing angles facilitate plastic collapse initiation, while they also allow for higher CFE without decreasing SEA, behaving similarly to a triggering mechanism.
Figure 9.
CFE experimental and numerical results.
3.3. Wall Thickness Effect
A wall thickness parametric numerical study examined the crashworthiness behavior of steel tubes under the same loading angle range until 11°. The examined range in wall thickness lay between 0.5 to 2 mm under a constant mean diameter of 31.19 mm for all tube models. Table 5 shows the numerical results regarding the crashworthiness parameters, while Figure 10 depicts the provided F-x curves for each crushing angle and wall thickness as revealed from FE simulations.
Table 5.
Numerical results for crashworthiness parameters from wall thickness parametric study.
Figure 10.
Wall thickness effect on F-x curves: (a) α = 0°; (b) α = 3°; (c) α = 6°; (d) α = 9°; (e) α = 11°.
For all examined loading angles, the higher wall thickness reveals an increase in PCF and EA, while further greater thickness reacts to less formulated folds as captured by the number of force peaks. However, the increase in wall thickness can turn an unstable collapse of global bending into a progressive collapse under folding formulation, thus providing greater EA at higher crushing angles. A close look at Figure 10d,e reveals that as the thickness increases, the progressive force decreases, which reflects a global bending mode during collapse and is turned into a sustained force fluctuation providing higher MCF and EA under a progressive and stable deformation regarding 2 mm wall thickness.
As Figure 11a depicts, the influence of crushing angle on PCF seems weak at low thicknesses, where PCF seems to be stabilized with respect to crushing angle. Instead, greater wall thickness reveals a stronger effect of crushing angle on PCF, capturing a linear decrease with angle. Further, the increase in wall thickness reacts to a significant increase in PCF and SEA, allowing for greater dissipated energy without facilitating plastic collapse initiation. For this reason, tube wall thickness is proved to be an important design parameter for energy absorbers in order to achieve the maximum possible energy capacity under an efficient collapse initiation that will allow for progressive and stable deformation. Moreover, greater wall thickness reacts to a linear SEA decrease rate with crushing angle as Figure 11b shows, preventing from any global bending collapse, which would reduce EA massively. Thus, higher wall thickness results in a critical angle increase by preventing collapse instabilities and extends the region of SEA linear drop at higher angles, enforcing the influence of crushing angle against that of global bending mode.
Figure 11.
Effect of wall thickness on crashworthiness parameters: (a) PCF; (b) SEA.
Figure 12 illustrates the effect of crushing angle and wall thickness on the variation in crashworthiness performance regarding SEA and PCF, whereas the wall thickness increases the effect of loading angle and seems to get stronger, revealing sparser areas of performance markers that refer to specific thickness. This tendency is attributed to the fact that low-enough wall thickness significantly reduces the required buckling load, facilitating a global bending collapse mode that results in lower SEA. Finally, considering an upper limit for PCF in order to benefit from triggering behavior that facilitates collapse initiation and a lower SEA limit for ensuring sufficient energy capacity, the optimum tube dimensioning can be obtained with respect to the most beneficial loading angle.
Figure 12.
Effect of angle and wall thickness on crashworthiness performance map.
4. Conclusions
The crashworthiness performance of circular steel tubes subjected to axial and oblique impact was investigated via quasi-static tests and FE simulations in LS-DYNA. A parametric study of crushing angle up to 11° was firstly conducted both experimentally and numerically, then a parametric study in tube wall thickness was carried out. Regarding modeling validation, the developed FE models revealed a sufficient agreement with the experiments on collapse mechanism and crashworthiness response parameters, showing deviations in PCF and EA below 8%.
The axially crushed tube revealed the greatest EA capability deformed under concertina collapse mode. In contrast, the tubes crushed under oblique conditions showed lower EA as additional bending loads were introduced by the angle. The increase in crushing angle until 6° reacted to EA decrease due to angled loading bringing a less efficient 2D diamond collapse mode. In contrast, global bending deformation mode was observed at crushing angles of 9° and 11°, resulting in a progressive crushing force decrease during collapse that significantly dropped the absorbed energy due to deformation instability. Thus, the additional bending loads and the possible global bending collapse mode were treated as the two main mechanisms introduced in oblique impact resulting in decreased EA capability. The first mechanism seemed to be stronger at lower crushing angles, while the effect of the second was more significant at higher loading angles, reflecting the transition from progressive to unstable collapse.
PCF revealed an initial linear drop to impact angle, while at higher angles the decrease rate dropped as bending collapse mode occurred, stabilizing PCF around buckling load magnitude. Similarly, SEA initially showed a linear decrease with the crushing angle under a decrease rate of 5% per 3° angle, while at crushing angles greater than 9° a significant drop in SEA of 14% was captured due to global bending collapse, indicating 9° as the critical crushing angle. Moreover, the increase in wall thickness reacted to higher PCF and SEA and further highlighted a stronger effect of crushing angle on PCF, which instead flattened out at higher angles for low wall thicknesses. Additionally, higher wall thickness reacted to an increase in critical angle, preventing deformation instabilities, and therefore a stronger crushing angle effect on EA was captured at greater thicknesses that extended the region of linear SEA drop at higher angles.
Finally, CFE showed a slight increase in low crushing angles below 6°, while at higher angles, the drop in MCF was superior to that of PCF, resulting in CFE reduction. Therefore, low-angled oblique crushing was the most beneficial impact condition regarding the crashworthiness performance by decreasing PCF, increasing CFE, and maintaining SEA at sufficient levels, revealing a triggering behavior for the crushed structure. Finally, accounting for this, an enhancing factor can be obtained in the case of axially crushed tubes with beveled edges subjected to an initial angled crushing, facilitating their plastic collapse initiation due to lower PCF while maintaining high-enough EA by progressing their collapse axially.
Author Contributions
Conceptualization, K.D.K., S.S.A.L. and D.E.M.; methodology, K.D.K., I.G.P., S.S.A.L. and D.E.M.; software, K.D.K.; validation, K.D.K., I.G.P. and S.S.A.L.; formal analysis, K.D.K., I.G.P. and S.S.A.L.; investigation, K.D.K., I.G.P. and S.S.A.L.; resources, S.S.A.L. and D.E.M.; data curation, K.D.K., I.G.P. and S.S.A.L.; writing—original draft preparation, K.D.K.; writing—review and editing, K.D.K. and I.G.P.; visualization, K.D.K.; supervision, D.E.M.; project administration, D.E.M. All authors have read and agreed to the published version of the manuscript.
Funding
This research received no external funding.
Data Availability Statement
Not applicable.
Conflicts of Interest
The authors declare no conflict of interest.
References
- Pei, T.S.; Saffe, S.N.M.; Rusdan, S.A.; Hamran, N.N.N. Oblique impact on crashworthiness: Review. Int. J. Eng. Technol. Sci. 2017, 4, 32–48. [Google Scholar] [CrossRef]
- Kim, H.S.; Wierzbicki, T. Numerical and analytical study on deep biaxial bending collapse of thin-walled beams. Int. J. Mech. Sci. 2000, 42, 1947–1970. [Google Scholar] [CrossRef]
- Han, D.C.; Park, S.H. Collapse behavior of square thin-walled columns subjected to oblique loads. Thin-Walled Struct. 1999, 35, 167–184. [Google Scholar] [CrossRef]
- Reyes, A.; Langseth, M.; Hopperstad, O.S. Crashworthiness of aluminum extrusions subjected to oblique loading: Experiments and numerical analyses. Int. J. Mech. Sci. 2002, 44, 1965–1984. [Google Scholar] [CrossRef]
- Karantza, K.D.; Manolakos, D.E. Crashworthiness analysis of square aluminum tubes subjected to oblique impact: Experimental and numerical study on the initial contact effect. Metals 2022, 12, 1862. [Google Scholar] [CrossRef]
- Song, J. Numerical simulation on windowed tubes subjected to oblique impact and a new method for the design of obliquely loaded tubes. Int. J. Impact Eng. 2013, 54, 192–205. [Google Scholar] [CrossRef]
- Azimi, M.B.; Asgari, M.; Salaripoor, H. A new homo-polygonal multi-cell structures under axial and oblique impacts; considering the effect of cell growth in crashworthiness. Int. J. Crashworthiness 2020, 25, 628–647. [Google Scholar] [CrossRef]
- Pirmohammad, S.; Marzdashti, S.E. Crushing behavior of new designed multi-cell members subjected to axial and oblique quasi-static loads. Thin-Walled Struct. 2016, 108, 291–304. [Google Scholar] [CrossRef]
- Qi, C.; Yang, S.; Dong, F. Crushing analysis and multiobjective crashworthiness optimization of tapered square tubes under oblique impact loading. Thin-Walled Struct. 2012, 59, 103–119. [Google Scholar] [CrossRef]
- Tarlochan, F.; Samer, F.; Hamouda, A.M.S.; Ramesh, S.; Khalid, K. Design of thin wall structures for energy absorption applications: Enhancement of crashworthiness due to axial and oblique impact forces. Thin-Walled Struct. 2013, 71, 7–17. [Google Scholar] [CrossRef]
- Qi, C.; Yang, S. Crashworthiness and lightweight optimisation of thin-walled conical tubes subjected to an oblique impact. Int. J. Crashworthiness 2014, 19, 334–351. [Google Scholar] [CrossRef]
- Gao, Q.; Wang, L.; Wang, Y.; Wang, C. Crushing analysis and multiobjective crashworthiness optimization of foam-filled ellipse tubes under oblique impact loading. Thin-Walled Struct. 2016, 100, 105–112. [Google Scholar] [CrossRef]
- Baykasoglu, C.; Baykasoglu, A.; Cetin, M.T. A comparative study on crashworthiness of thin-walled tubed with functionally graded thickness under oblique impact loadings. Int. J. Crashworthiness 2019, 24, 453–471. [Google Scholar] [CrossRef]
- Mohammadiha, O.; Ghariblu, H. Crush behavior optimization of multi-tubes filled by functionally graded foam. Thin-Walled Struct. Part B 2016, 98, 627–639. [Google Scholar] [CrossRef]
- Crutzen, Y.; Inzaghi, A.; Mogilevsky, M.; Albertini, C. Computer Modelling of the Energy Absorption Process in Box-Type Structures under Oblique Impact; Automotive Automation Ltd.: Shropshire, UK, 1996; pp. 1293–1298. [Google Scholar]
- Patel, S.; Vusa, V.R.; Soares, C.G. Crashworthiness analysis of polymer composites under axial and oblique impact loading. Int. J. Mech. Sci. 2019, 156, 221–234. [Google Scholar] [CrossRef]
- Zarei, H.R. Experimental and numerical crashworthiness investigation of hybrid composite aluminium tubes under dynamic axial and oblique loading. Int. J. Automot. Eng. 2015, 5, 1084–1093. [Google Scholar]
- Jamal-Omidi, M.; Benis, A.C. A numerical study on energy absorption capability of lateral corrugated composite tube under axial crushing. Int. J. Crashworthiness 2021, 26, 147–158. [Google Scholar] [CrossRef]
- Zhang, Y.; Wang, J.; Chen, T.; Lu, M.; Jiang, F. On crashworthiness design of double conical structures under oblique impact. Int. J. Veh. Des. 2018, 7, 20–45. [Google Scholar] [CrossRef]
- Ma, F.; Liang, H.; Pu, Y.; Wang, Q.; Zhao, Y. Crashworthiness analysis and multi-objective optimization for honeycomb structures under oblique impact loading. Int. J. Crashworthiness 2022, 27, 1128–1139. [Google Scholar] [CrossRef]
- Hallquist, J.O. LS-DYNA Theory Manual; Livermore Software Technology Corporation: Livermore, CA, USA, 2006. [Google Scholar]
- Liu, W.; Jin, L.; Luo, Y.; Deng, X. Multi-objective crashworthiness optimization of tapered star-shaped tubed under oblique impact. Int. J. Crashworthiness 2021, 26, 328–342. [Google Scholar] [CrossRef]
- Pled, F.; Yan, W.; Wen, C. Crushing modes of aluminium tubes under axial compression. In Proceedings of the 5th Australasian Congress on Applied Mechanics, Brisbane, Australia, 10–12 December 2007; pp. 178–180. Available online: https://hal.archivesouvertes.fr/hal-01056929 (accessed on 25 May 2022).
- Kilicaslan, C. Numerical crushing analysis of aluminum foam-filled corrugated single- and double- circular tubes subjected to axial impact loading. Thin-Walled Struct. 2015, 96, 82–94. [Google Scholar] [CrossRef]
- Haufe, A.; Schweizerhof, K.; Dubois, P. Properties and Limits: Review of Shell Element Formulations; Developer Forum DYNA More: Filderstadt, Germany, 2013. [Google Scholar]
Disclaimer/Publisher’s Note: The statements, opinions and data contained in all publications are solely those of the individual author(s) and contributor(s) and not of MDPI and/or the editor(s). MDPI and/or the editor(s) disclaim responsibility for any injury to people or property resulting from any ideas, methods, instructions or products referred to in the content. |
© 2023 by the authors. Licensee MDPI, Basel, Switzerland. This article is an open access article distributed under the terms and conditions of the Creative Commons Attribution (CC BY) license (https://creativecommons.org/licenses/by/4.0/).













