Aerodynamic Optimization and Mechanism Investigation on Performance Improvements in a Transonic Compressor Cascade
Abstract
:1. Introduction
2. Cascade Modeling and Numerical Method
2.1. Compressor Cascade
2.2. Cascade Modeling
2.3. Numerical Method
2.4. Grid Sensitivity Analysis and Numerical Method Validation
3. Cascade Optimization
3.1. Optimization Problem
3.2. Optimization Algorithm
3.3. Optimization Process
4. Results and Discussion
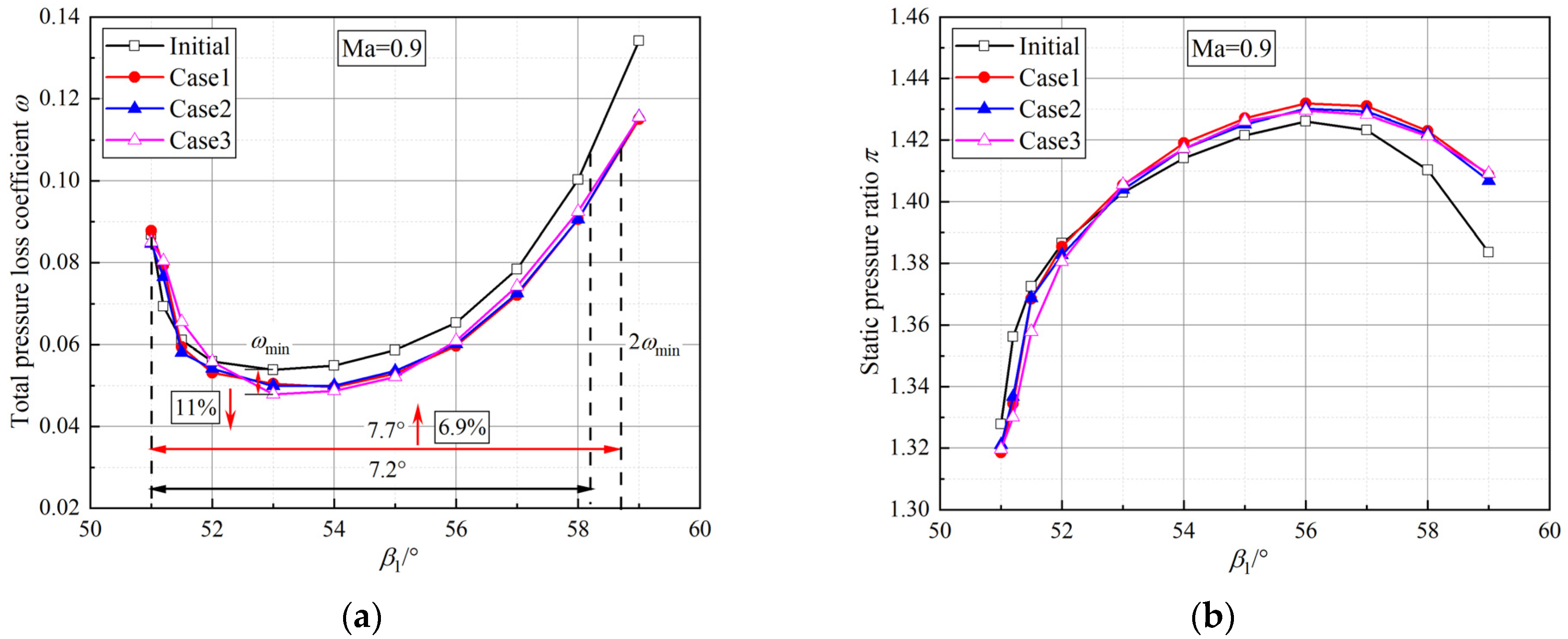
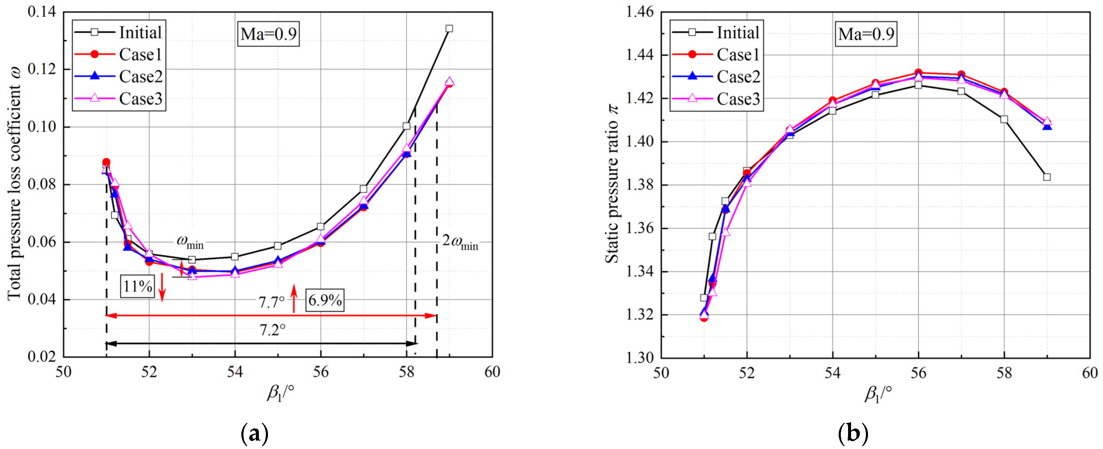
4.1. Comparison of Cascade Geometry and Overall Performance
4.2. Performance Improvement Mechanism
5. Conclusions
- The blade parameterization method proposed in this paper has the advantages of using only 16 control variables to fit the blade profile precisely, covering the profiles of the suction surface, the pressure surface and the leading edge.
- The proposed optimization method is an effective approach to be used to reduce the total pressure loss while extending the working range of the conventional transonic cascade with about 600 rounds of CFD simulations. For the 2D simulations, the total pressure loss coefficient of the optimized cascades has a nearly maximum reduction of 11% at the best flow angle and the working range is extended by 6.9%, compared to the initial cascade. For the 3D simulations, the total pressure loss coefficients of the optimized cascades decreased by 9.4% (Case 1), 13.3% (Case 2) and 12.3% (Case 3) at an inlet airflow angle of 56°, respectively.
- It was found that the maximum thickness positions of the optimized cascades move forward by 10% toward the leading edges, and the radii of curvature of the suction and pressure surfaces increase as well, compared with the initial cascade. This makes the front half of the optimized blades look more like a wedge. Consequently, the optimized cascades have a lower pre-shock Mach number and a weakened shock strength, and the shock pattern changes from a passage normal shock to a passage oblique shock.
- The evident separation bubble on the suction surface of the initial blade caused by the shock wave boundary layer interaction disappears on the optimized blades, due to the reduced shock strength. The weakened shock wave plays a more important role in performance improvement in the optimized transonic compressor cascades than other factors, such as the increase in the spike diffusion at the leading edge. The optimized cascades show better performance in both the 2D and 3D flow conditions.
Author Contributions
Funding
Data Availability Statement
Conflicts of Interest
References
- Biollo, R.; Benini, E. Recent advances in transonic axial compressor aerodynamics. Prog. Aerosp. Sci. 2013, 56, 1–18. [Google Scholar] [CrossRef]
- Gaitonde, D.V. Progress in shock wave/boundary layer interactions. Prog. Aerosp. Sci. 2015, 72, 80–99. [Google Scholar] [CrossRef]
- Wang, Z.; Chang, J.; Li, Y.; Kong, C. Investigation of shock wave control by suction in a supersonic cascade. Aerosp. Sci. Technol. 2021, 108, 106382. [Google Scholar] [CrossRef]
- Hergt, A.; Klinner, J.; Grund, S.; Willert, C.; Steinert, W.; Beversdorff, M. On the importance of transition control at transonic compressor blades. J. Turbomach.-Trans. ASME 2021, 143, 031007-1–031007-11. [Google Scholar] [CrossRef]
- Koike, S.; Babinsky, H. Vortex generators for corner separation caused by shock-wave/boundary-layer interactions. J. Aircr. 2019, 56, 239–249. [Google Scholar] [CrossRef]
- Titchener, N.; Babinsky, H. A review of the use of vortex generators for mitigating shock-induced separation. Shock Waves 2015, 25, 473–494. [Google Scholar] [CrossRef]
- Mazaheri, K.; Khatibirad, S. Optimization of bump and blowing to control the flow through a transonic compressor blade cascade. Shock Waves 2018, 28, 285–297. [Google Scholar] [CrossRef]
- Jinks, E.; Bruce, P.; Santer, M. Optimisation of adaptive shock control bumps with structural constraints. Aerosp. Sci. Technol. 2018, 77, 332–343. [Google Scholar] [CrossRef]
- Wheeler, A.P.S.; Miller, R.J. Compressor wake/leading-edge interactions at off design incidences. In Proceedings of the Turbo Expo: Power for Land, Sea, and Air, Berlin, Germany, 9–13 June 2008. [Google Scholar]
- Wheeler, A.P.S.; Sofia, A.; Miller, R.J. The effect of leading-edge geometry on wake interactions in compressors. J. Turbomach. 2009, 131, 041013. [Google Scholar] [CrossRef]
- Wheeler, A.P.S.; Miller, R.J.; Hodson, H.P. The effect of wake induced structures on compressor boundary-layers. J. Turbomach. 2007, 129, 705–712. [Google Scholar] [CrossRef]
- Huang, S.; Lu, X.; Han, G.; Zhao, S.; Zhou, C.; Yang, C. Research on aerodynamic optimization design method and flow mechanism of a high-subsonic compressor cascade. Eng. Appl. Comput. Fluid Mech. 2022, 16, 316–334. [Google Scholar] [CrossRef]
- Steinert, W.; Eisenberg, B.; Starken, H. Design and testing of a controlled diffusion airfoil cascade for industrial axial flow compressor application. J. Turbomach. 1991, 113, 583–590. [Google Scholar] [CrossRef]
- Kulfan, B.; Bussoletti, J. “Fundamental” parameteric geometry representations for aircraft component shapes. In Proceedings of the 11th AIAA/ISSMO Multidisciplinary Analysis and Optimization Conference, Portsmouth, VA, USA, 6–8 September 2006. [Google Scholar]
- John, A.; Shahpar, S.; Qin, N. Alleviation of shock-wave effects on a highly loaded axial compressor through novel blade shaping. In Proceedings of the Turbo Expo: Power for Land, Sea, and Air, Seoul, Republic of Korea, 13–17 June 2016. [Google Scholar]
- Walther, B.; Nadarajah, S. Adjoint-based constrained aerodynamic shape optimization for multistage turbomachines. J. Propuls. Power 2015, 38, 1–22. [Google Scholar] [CrossRef]
- Ju, Y.; Zhang, C. Multi-objective optimization design method for tandem compressor cascade at design and off design conditions. In Proceedings of the Turbo Expo: Power for Land, Sea, and Air, Glasgow, UK, 14–18 June 2010. [Google Scholar]
- Meng, F.; Li, K.; Guo, P.; Wang, K.; Li, J. Multi-objective shape optimization of transonic compressor cascade at the same inlet Mach number. J. Chin. Inst. Eng. 2022, 45, 465–475. [Google Scholar] [CrossRef]
- Ko¨ller, U.; Mo¨nig, R.; Ku¨sters, B.; Schreiber, H.A. 1999 Turbomachinery Committee Best Paper Award: Development of advanced compressor airfoils for heavy-duty gas turbines—Part I: Design and optimization. J. Turbomach. 2000, 122, 397–405. [Google Scholar] [CrossRef]
- Burguburu, S.; le Pape, A. Improved aerodynamic design of turbomachinery bladings by numerical optimization. Aerosp. Sci. Technol. 2003, 7, 277–287. [Google Scholar] [CrossRef]
- Ju, Y.P.; Zhang, C.H. Multi-point and multi-objective optimization design method for industrial axial compressor cascades. Proc. Inst. Mech. Eng. Part C J. Mech. Eng. Sci. 2011, 225, 1481–1493. [Google Scholar] [CrossRef]
- Venturelli, G.; Benini, E. Kriging-assisted design optimization of S-shape supersonic compressor cascades. Aerosp. Sci. Technol. 2016, 58, 275–297. [Google Scholar] [CrossRef]
- Cravero, C.; Marogna, N.; Marsano, D. A numerical study of correlation between recirculation length and shedding frequency in vortex shedding phenomena. WSEAS Trans. Fluid Mech. 2021, 16, 48–62. [Google Scholar] [CrossRef]
- Shi, L.; Yang, G.; Yao, S. Large eddy simulation of flow past a square cylinder with rounded leading corners: A comparison of 2D and 3D approaches. J. Mech. Sci. Technol. 2018, 32, 2671–2680. [Google Scholar] [CrossRef]
- Jeong, S.; Murayama, M.; Yamamoto, K. Efficient optimization design method using kriging model. J. Aircr. 2005, 42, 413–420. [Google Scholar] [CrossRef]
- Wilson, B.; Cappelleri, D.; Simpson, T.W.; Frecker, M. Efficient pareto frontier exploration using surrogate approximations. Opt. Eng. 2001, 2, 31–50. [Google Scholar] [CrossRef]
- Yue, S.; Wang, Y.; Wang, H. Design and optimization of tandem arranged cascade in a transonic compressor. J. Therm. Sci. 2018, 27, 349–358. [Google Scholar] [CrossRef]
- Zhu, Y.J.; Ju, Y.P.; Zhang, C.H. An experience-independent inverse design optimization method of compressor cascade airfoil. Proc. Inst. Mech. Eng. Part A-J. Power Energy 2019, 233, 431–442. [Google Scholar] [CrossRef]
- Meng, F.; Li, K.; Li, J.; Gan, J. Experimental and numerical studies of shock-wave boundary layer interactions in a highly loaded transonic compressor cascade. J. Therm. Sci. 2022; submitted. [Google Scholar]
- Abadi, A.M.E.; Sadi, M.; Farzaneh-Gord, M.; Ahmadi, M.H.; Kumar, R.; Chau, K.-W. A numerical and experimental study on the energy efficiency of a regenerative heat and mass exchanger utilizing the counter-flow maisotsenko cycle. Eng. Appl. Comput. Fluid Mech. 2020, 14, 1–12. [Google Scholar] [CrossRef]
- Katoch, S.; Chauhan, S.S.; Kumar, V. A review on genetic algorithm: Past, present, and future. Multimed. Tools Appl. 2021, 80, 8091–8126. [Google Scholar] [CrossRef]
- Box, G.E. Evolutionary operation: A method for increasing industrial productivity. J. R. Stat. Soc. Ser. C 1957, 6, 81–101. [Google Scholar] [CrossRef]
- Jones, D.R. A taxonomy of global optimization methods based on response surfaces. J. Glob. Optim. 2001, 21, 345–383. [Google Scholar] [CrossRef]
- Goodhand, M.N.; Miller, R.J. Compressor Leading Edge Spikes: A New Performance Criterion. J. Turbomach.-Trans. ASME 2011, 133, 021006. [Google Scholar] [CrossRef]
- Babinsky, H.; Harvey, J. Shock Wave-Boundary-Layer Interactions; Cambridge University Press: Cambridge, NY, USA, 2011; pp. 87–136. [Google Scholar]
















| Parameters | Value |
|---|---|
| Chord length c | 47.15 mm |
| Pitch length t | 32.63 mm |
| Solidity c/t | 1.44 |
| Span length s | 100 mm |
| Stagger angle βs | 37.46 deg |
| Camber angle | 27.46 deg |
| 2D | 3D | |
|---|---|---|
| Turbulence model | SST-kω | SST-kω |
| Solver type | Density-based | |
| Working material | Ideal gas | |
| Formulation | Implicit | |
| Flux type | Roe-FDS | |
| Inlet boundary conditions | pressure-far-field | |
| Outlet boundary conditions | pressure-out | |
| Variables | Initial | Case 1 | Case 2 | Case 3 |
|---|---|---|---|---|
| Maximum relative thickness m/c | 0.0785 | 0.0787 | 0.0813 | 0.0814 |
| Relative maximum thickness position S4x/c | 0.5414 | 0.4541 | 0.4542 | 0.4567 |
| Leading edge thickness distribution (°) | 87.61 | 87.78 | 87.64 | 87.61 |
| Leading edge thickness distribution (°) | 19.76 | 19.59 | 19.11 | 20.56 |
| Case | ω | Relative Reduction % |
|---|---|---|
| Initial | 0.058 | / |
| Case 1 | 0.052 | 9.4 |
| Case 2 | 0.050 | 13.3 |
| Case 3 | 0.051 | 12.3 |
| Case | Dspike |
|---|---|
| Initial | 0.07 |
| Case 1 | 0.11 |
| Case 2 | 0.14 |
| Case 3 | 0.12 |
| Case | Wake Width % | Relative Reduction % |
|---|---|---|
| Initial | 28.8 | / |
| Case 1 | 17.5 | 39.2 |
| Case 2 | 21.9 | 24.0 |
| Case 3 | 21.6 | 25 |
Disclaimer/Publisher’s Note: The statements, opinions and data contained in all publications are solely those of the individual author(s) and contributor(s) and not of MDPI and/or the editor(s). MDPI and/or the editor(s) disclaim responsibility for any injury to people or property resulting from any ideas, methods, instructions or products referred to in the content. |
© 2023 by the authors. Licensee MDPI, Basel, Switzerland. This article is an open access article distributed under the terms and conditions of the Creative Commons Attribution (CC BY) license (https://creativecommons.org/licenses/by/4.0/).
Share and Cite
Meng, F.; Gong, C.; Li, K.; Xiong, J.; Li, J.; Guo, P. Aerodynamic Optimization and Mechanism Investigation on Performance Improvements in a Transonic Compressor Cascade. Machines 2023, 11, 244. https://doi.org/10.3390/machines11020244
Meng F, Gong C, Li K, Xiong J, Li J, Guo P. Aerodynamic Optimization and Mechanism Investigation on Performance Improvements in a Transonic Compressor Cascade. Machines. 2023; 11(2):244. https://doi.org/10.3390/machines11020244
Chicago/Turabian StyleMeng, Fanjie, Chaoxuan Gong, Kunhang Li, Jin Xiong, Jingyin Li, and Penghua Guo. 2023. "Aerodynamic Optimization and Mechanism Investigation on Performance Improvements in a Transonic Compressor Cascade" Machines 11, no. 2: 244. https://doi.org/10.3390/machines11020244
APA StyleMeng, F., Gong, C., Li, K., Xiong, J., Li, J., & Guo, P. (2023). Aerodynamic Optimization and Mechanism Investigation on Performance Improvements in a Transonic Compressor Cascade. Machines, 11(2), 244. https://doi.org/10.3390/machines11020244

