A High-Gain Observer for Embedded Polynomial Dynamical Systems
Abstract
1. Introduction
2. Preliminaries
2.1. Dynamical Systems and the Observability Map
2.2. Polynomial Ideals and Real Varieties
- ,
- ,
- .
3. Observability
3.1. Observability Criteria
3.2. Observability Normal Form
4. The Embedding Observer
4.1. The High-Gain Observer
4.2. Projection to the Original State Space
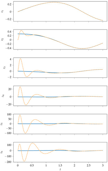
5. Examples
5.1. The Duffing Oscillator
5.2. An Oscillator with Nonlinear Output Map
5.3. The Lorenz Attractor
5.4. The Van Der Pol Oscillator
6. Numerical Implementation
7. Conclusions and Outlook
Author Contributions
Funding
Data Availability Statement
Conflicts of Interest
References
- Luenberger, D.G. Observing the State of a Linear System. IEEE Trans. Mil. Electron. 1964, 8, 74–80. [Google Scholar] [CrossRef]
- Luenberger, D.G. Observers for Multivariable Systems. IEEE Trans. Autom. Control. 1966, 11, 190–197. [Google Scholar] [CrossRef]
- Kalman, R.E. A new approach to linear filtering and prediction problems. Trans. Asme J. Basic Eng. 1960, 82, 35–45. [Google Scholar] [CrossRef]
- Kalman, R.E.; Bucy, R.S. New results in linear filtering and prediction theory. Trans. Asme J. Basic Eng. 1961, 83, 95–108. [Google Scholar] [CrossRef]
- Willems, J.C. Deterministic last squares filtering. J. Econ. 2004, 118, 341–373. [Google Scholar] [CrossRef]
- Krener, A.J.; Isidori, A. Linearization by output injection and nonlinear observers. Syst. Control. Lett. 1983, 3, 47–52. [Google Scholar] [CrossRef]
- Bestle, D.; Zeitz, M. Canonical form observer design for non-linear time-variable systems. Int. J. Control 1983, 38, 419–431. [Google Scholar] [CrossRef]
- Back, J.; Seo, J.H. Immersion Technique for Nonlinear Observer Design. In Proceedings of the American Control Conf. (ACC), Anchorage, AK, USA, 8–10 May 2002; pp. 2645–2646. [Google Scholar] [CrossRef]
- Back, J.; Shim, H.; Seo, J.H. An algorithm for system immersion into nonlinear observer form: Forced systems. In Proceedings of the Preprints IFAC World Congress, Prague, Czech Republic, 3–8 July 2005; pp. 126–131. [Google Scholar] [CrossRef]
- Astolfi, D.; Praly, L.; Marconi, L. A note on observability canonical forms for nonlinear Systems. IFAC Proc. Vol. 2013, 46, 436–438. [Google Scholar] [CrossRef]
- Gauthier, J.P.; Hammouri, H.; Othman, S. A Simple Observer for Nonlinear Systems—Application to Bioreactors. IEEE Trans. Autom. Control. 1992, 37, 875–880. [Google Scholar] [CrossRef]
- Ciccarella, G.; Mora, M.D.; Germani, A. A Luenberger-like Observer for Nonlinear Systems. Int. J. Control 1993, 57, 537–556. [Google Scholar] [CrossRef]
- Dalla Mora, M.; Germani, A.; Manes, C. A state observer for nonlinear dynamical systems. Nonlinear Anal. Theory Methods Appl. 1997, 30, 4485–4496. [Google Scholar] [CrossRef]
- Astolfi, D.; Marconi, L. A High-Gain Nonlinear Observer With Limited Gain Power. IEEE Trans. Autom. Control. 2015, 60, 3059–3064. [Google Scholar] [CrossRef]
- Astolfi, D.; Marconi, L.; Praly, L.; Teel, A.R. Low-power peaking-free high-gain observers. Automatica 2018, 98, 169–179. [Google Scholar] [CrossRef]
- Farza, M.; Ragoubi, A.; Saïd, S.H. Improved high gain observer design for a class of disturbed nonlinear systems. Nonlinear Dyn. 2021, 106, 631–655. [Google Scholar] [CrossRef]
- Raghavan, S.; Hedrick, J.K. Observer design for a class of nonlinear systems. Int. J. Control 1994, 59, 515–528. [Google Scholar] [CrossRef]
- Rajamani, R. Observers for Lipschitz Nonlinear Systems. IEEE Trans. Autom. Control. 1998, 43, 397–401. [Google Scholar] [CrossRef]
- Röbenack, K. Improving High Gain Observer Design for Nonlinear Systems Using the Structure of the Linear Part. In Systems, Automation & Control; Derbel, N., Ed.; De Gruyter Oldenbourg: Berlin, Germany; Berlin, MA, USA, 2016; pp. 57–74. [Google Scholar] [CrossRef]
- Levine, J.; Marino, R. Nonlinear System Immersion, Observers and Finite-Dimensional Filters. Syst. Control. Lett. 1986, 7, 133–142. [Google Scholar] [CrossRef]
- Gauthier, J.P.; Hammouri, H.; Kupka, I. Observers for Nonlinear Systems. In Proceedings of the IEEE Conference on Decision and Control (CDC), Brighton, UK, 11–13 December 1991; pp. 1483–1489. [Google Scholar] [CrossRef]
- Lee, J.M. Introduction to Smooth Manifolds. In Graduate Texts in Mathematics, 2nd ed.; Springer: New York, NY, USA, 2013; Volume 218. [Google Scholar]
- Cox, D.A.; Little, J.; O’Shea, D. Ideals, Varieties, and Algorithms, 4th ed.; Springer International Publishing: Cham, Switzerland, 2015. [Google Scholar]
- Guernez, C.; Cassar, J.; Staroswiecki, M. Extension of Parity Space to Non Linear Polynomial Dynamic Systems. In Proceedings of the IFAC Symposium on Fault Detection, Supervision and Safety for Technical Processes (SAFEPROCESS 97), Kingston upon Hull, UK, 26–28 August 1997; pp. 857–862. [Google Scholar] [CrossRef]
- Glad, S.T. Nonlinear state space and input output descriptions using differential polynomials. In New Trends in Nonlinear Control Theory; Descusse, J., Fliess, M., Isidori, A., Leborgne, D., Eds.; Springer: Berlin/Heidelberg, Germany, 1989; pp. 182–189. [Google Scholar] [CrossRef]
- Hermann, R.; Krener, A.J. Nonlinear Controllability and Observability. IEEE Trans. Autom. Control. 1977, 22, 728–740. [Google Scholar] [CrossRef]
- Bartosiewicz, Z. Local observability of nonlinear systems. Syst. Control. Lett. 1995, 25, 295–298. [Google Scholar] [CrossRef]
- Sontag, E.D. A concept of local observability. Syst. Control. Lett. 1984, 5, 41–47. [Google Scholar] [CrossRef]
- Tibken, B. Observability of nonlinear systems—An algebraic approach. In Proceedings of the IEEE Conference on Decision and Control (CDC), Nassau, Bahamas, 14–17 December 2004; Volume 5, pp. 4824–4825. [Google Scholar] [CrossRef]
- Kawano, Y.; Ohtsuka, T. Global observability of polynomial systems. In Proceedings of the SICE Annual Conference, Taipei, Taiwan, 18–21 August 2010; pp. 2038–2041. [Google Scholar]
- Menini, L.; Possieri, C.; Tornambè, A. Algorthms to Compute the Largest Invariant Set Contained in an Algebraic Set for Continuous-Time and Discrete-Time Nonlinear Systems. IEEE/CAA J. Autom. Sinica 2020, 7, 57–69. [Google Scholar] [CrossRef]
- Gerbet, D.; Röbenack, K. On Global and Local Observability of Nonlinear Polynomial Systems: A Decidable Criterion. Automatisierungstechnik 2020, 68, 395–409. [Google Scholar] [CrossRef]
- Gerbet, D.; Röbenack, K. Nonlinear observability for polynomial systems: Computation and examples. In Proceedings of the International Conference on System Theory, Control and Computing (ICSTCC), Sinaia, Romania, 8–10 October 2020; pp. 425–432. [Google Scholar] [CrossRef]
- Kreisselmeier, G.; Engel, R. Nonlinear Observers for Autonomous Lipschitz Continuous Systems. IEEE Trans. Autom. Control. 2003, 48, 451–464. [Google Scholar] [CrossRef]
- Guckenheimer, J.; Holmes, P. Nonlinear Oscillations, Dynamical Systems, and Bifurcations of Vector Fields; Springer: New York, NY, USA, 1983. [Google Scholar]
- Paradowski, T.; Tibken, B.; Swiatlak, R. An Approach to determine Observability of Nonlinear Systems Using Interval Analysis. In Proceedings of the American Control Conference (ACC), Seattle, WA, USA, 24–26 May 2017; pp. 3932–3937. [Google Scholar] [CrossRef]
- Röbenack, K.; Voßwinkel, R. Formal Verification of Local and Global Observability of Polynomial Systems Using Quantifier Elimination. In Proceedings of the International Conference on System Theory, Control and Computing (ICSTCC 2019), Sinaia, Romania, 9–11 October 2019; pp. 314–319. [Google Scholar] [CrossRef]
- Lorenz, E.N. Deterministic non-periodic flow. J. Atmos. Sci. 1963, 20, 130–141. [Google Scholar] [CrossRef]
- Sparrow, C. The Lorenz Equations: Birfucations, Chaos, and Strange Atractors; Springer: New York, NY, USA, 1982. [Google Scholar]
- Krishchenko, A.P.; Starkov, K.E. Localization of compact invariant sets of the Lorenz system. Phys. Lett. A 2006, 353, 383–388. [Google Scholar] [CrossRef]
- Leonov, G.A.; Bunin, A.I.; Koksch, N. Attraktorlokalisierung des Lorenz-Systems. ZAMM—J. Appl. Math. Mech. 1987, 67, 649–656. [Google Scholar] [CrossRef]
- Röbenack, K.; Voßwinkel, R.; Richter, H. Automatic Generation of Bounds for Polynomial Systems with Application to the Lorenz System. Chaos Solitons Fractals 2018, 113, 25–30. [Google Scholar] [CrossRef]
- Runge, C. Ueber die numerische Auflösung von Differentialgleichungen. Math. Ann. 1895, 46, 167–178. [Google Scholar] [CrossRef]
- Luan, V.T.; Ostermann, A. Exponential Rosenbrock methods of order five — construction, analysis and numerical comparisons. J. Comput. Appl. Math. 2014, 255, 417–431. [Google Scholar] [CrossRef]
- Gofen, A. The ordinary differential equations and automatic differentiation unified. Complex Var. Elliptic Equations 2009, 54, 825–854. [Google Scholar] [CrossRef]
- Gerbet, D.; Röbenack, K. An Algebraic Approach to Identifiability. Algorithms 2021, 14, 255. [Google Scholar] [CrossRef]







Disclaimer/Publisher’s Note: The statements, opinions and data contained in all publications are solely those of the individual author(s) and contributor(s) and not of MDPI and/or the editor(s). MDPI and/or the editor(s) disclaim responsibility for any injury to people or property resulting from any ideas, methods, instructions or products referred to in the content. |
© 2023 by the authors. Licensee MDPI, Basel, Switzerland. This article is an open access article distributed under the terms and conditions of the Creative Commons Attribution (CC BY) license (https://creativecommons.org/licenses/by/4.0/).
Share and Cite
Gerbet, D.; Röbenack, K. A High-Gain Observer for Embedded Polynomial Dynamical Systems. Machines 2023, 11, 190. https://doi.org/10.3390/machines11020190
Gerbet D, Röbenack K. A High-Gain Observer for Embedded Polynomial Dynamical Systems. Machines. 2023; 11(2):190. https://doi.org/10.3390/machines11020190
Chicago/Turabian StyleGerbet, Daniel, and Klaus Röbenack. 2023. "A High-Gain Observer for Embedded Polynomial Dynamical Systems" Machines 11, no. 2: 190. https://doi.org/10.3390/machines11020190
APA StyleGerbet, D., & Röbenack, K. (2023). A High-Gain Observer for Embedded Polynomial Dynamical Systems. Machines, 11(2), 190. https://doi.org/10.3390/machines11020190

