Research on the Mechanism and Characteristics of Ultrasonically Coupled Mechanical Rock-Breaking Pre-Fracturing Technology
Abstract
:1. Introduction
1.1. Overview of Purely Mechanical Rock-Breaking Methods
1.2. Overview of New Rock-Breaking Technologies
1.3. Overview of Ultrasonic High-Frequency-Vibration Rock-Breaking Methods
2. Principle of Ultrasonic-Coupled Mechanical Rock Breaking
3. Simulation Study on the Cracking Mechanism of Ultrasonic Pre-Crushing
3.1. Uniaxial Compression Test of Rock
3.2. Rock Parameter Inversion
3.3. Simulation and Analysis of Ultrasonic Fracturing Mechanism in Rock
4. Experimental Research on Ultrasonic Pre-Crushing Fracturing Mechanism
4.1. NMR Test before Vibration
4.2. Ultrasonic Cracking Test
5. Study on the Pre-Fracturing Effect of Ultrasonically Coupled Mechanical Rock-Breaking
6. Conclusions
- (1)
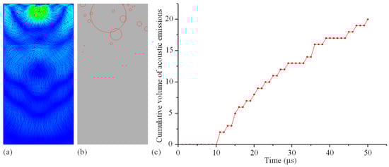
- The best cracking impact of an ultrasonic wave was at the corresponding frequency of 41 kHz, where the acoustic emission accumulation was the largest, reaching 513.
- (2)
- The initial porosity of the red sandstone samples was 12.51%, and the porosity after the application of ultrasonic vibration was 15.04%, with the amount of change in porosity amounting to 2.53% and the rate of change in porosity equaling 20.2238%. The pore volume ratios of the rock samples in different pore-throat radius intervals after ultrasonic vibratory loading were higher than those before ultrasonic vibratory loading. After ultrasonic vibration, the pores and cracks of the rock samples gradually developed and expanded, resulting in the originally small pores gradually becoming larger, accompanied by the generation of new pores, and the ultrasonic waves applied with the intrinsic frequency of the rock caused cracking inside the rock and expanded the size of the pores.
- (3)
- The pure mechanical average cutting force was 6374 N, while the ultrasonic-coupled breaking average cutting force was 4185 N, which is 34.34% lower, and this can be attributed to the loose rock structure induced by the ultrasonic wave. Not only can this coupled rock-breaking technology easily break rock via mechanical cutting, but the lower force applied can also shorten the wear failure period of pickaxe teeth.
- (4)
- The proposed collaborative experimentally based ultrasonic fracture simulation method has high accuracy and reliability, which are conducive to promoting the development of new rock-breaking technology.
Author Contributions
Funding
Data Availability Statement
Acknowledgments
Conflicts of Interest
References
- Wang, G.F.; Xu, Y.X.; Ren, H.W. Intelligent and ecological coal mining as well as clean utilization technology in China: Review and prospects. Int. J. Min. Sci. Technol. 2019, 29, 161–169. [Google Scholar] [CrossRef]
- Eshaghian, O.; Hoseinie, S.H.; Maleki, A. Multi-attribute failure analysis of coal cutting picks on longwall shearer machine. Eng. Fail. Anal. 2021, 120, 105069. [Google Scholar] [CrossRef]
- Xu, P.; Yang, R.; Zuo, J.; Ding, C.; Chen, C.; Guo, Y.; Fang, S.; Zhang, Y. Research progress of the fundamental theory and technology of rock blasting. Int. J. Miner. Metall. Mater. 2022, 29, 705–716. [Google Scholar] [CrossRef]
- Li, H.; Wang, J.; Mei, Q.; Huang, K.; Luo, Q.; Dong, J. Numerical Simulations and Experiments on Single-Tooth Rock-Breaking. Machines 2022, 10, 455. [Google Scholar] [CrossRef]
- Hassani, F.; Nekoovaght, P. the development of microwave assisted machineries to break hard rocks. ISARC 2011, 2, 72–78. [Google Scholar]
- Guo, C.G.; Sun, Y.; Yue, H.T.; Li, Q.; He, S.Z.; Zhang, J.Z.; Zhang, Y. Experimental research on laser thermal rock breaking and optimization of the process parameters. Int. J. Rock. Mech. Min. Sci. 2022, 160, 105251. [Google Scholar] [CrossRef]
- Zheng, Y.L.; He, L. TBM tunneling in extremely hard and abrasive rocks: Problems, solutions and assisting methods. J. Cent. South Univ. 2021, 28, 454–480. [Google Scholar] [CrossRef]
- Gwarek, W.K.; Celuch-Marcysiak, M. A review of microwave power applications in industry and research. IEEE Cat. No.04EX824. 2004, 3, 843–848. [Google Scholar]
- Gao, M.Z.; Yang, B.G.; Xie, J.; Ye, S.Q.; Liu, J.J.; Liu, Y.T.; Tang, R.F.; Hao, H.C.; Wang, X.; Wen, X.Y.; et al. The mechanism of microwave rock breaking and its potential application to rock-breaking technology in drilling. Pet. Sci. 2022, 19, 1110–1124. [Google Scholar] [CrossRef]
- Osepchuk, J.M. A History of Microwave Heating Applications. IEEE Trans. Microw. Theory Tech. 1984, 32, 1200–1224. [Google Scholar] [CrossRef]
- Jones, D.A.; Kingman, S.W.; Whittles, D.N. Understanding microwave assisted breakage. Miner. Eng. 2005, 18, 659–669. [Google Scholar] [CrossRef]
- Clark, D.E.; Sutton, W.H. Microwave Processing of Materials. Annu. Rev. Mater. Sci. 1996, 26, 299–331. [Google Scholar] [CrossRef]
- Han, W.F. Experimental Study on Rock-Breaking Using a Water Jet Assisted Mechanical Disc Cutter. Tunn. Constr. 2022, 42, 1414–1419. [Google Scholar]
- Li, X.H.; Wang, J.S.; Lu, Y.Y.; Yang, L.; Kang, H.M.; Sun, J.J. Experimental investigation of hard rock cutting with collimated abrasive water jets. Int. J. Rock Mech. Min. Sci. 2000, 37, 1143–1148. [Google Scholar]
- Fan, C.X.; Zhang, H.T.; Kang, Y.; Shi, H.Q.; Li, D. Rock breaking performance of the newly proposed unsubmerged cavitating abrasive waterjet. Int. J. Min. Sci. Technol. 2023, 33, 843–853. [Google Scholar] [CrossRef]
- Liu, L.S.; Zhao, D.J. Effects of the Ultrasonic Vibration Frequency on the Rules of Rock Crushing. Solid State Technol. 2020, 29, 2174–2179. [Google Scholar]
- Wang, S.F.; Sun, L.C.; Tang, Y.; Jing, Y.; Li, X.B.; Yao, J.R. Field application of non-blasting mechanized mining using high-frequency impact hammer in deep hard rock mine. Trans. Nonferr. Met. Soc. China 2022, 32, 3051–3064. [Google Scholar] [CrossRef]
- Zhang, X.Y.; Wang, D.Y.; Peng, Z.L. Effects of high-pressure coolant on cooling mechanism in high-speed ultrasonic vibration cutting interfaces. Appl. Therm. Eng. 2023, 233, 121125. [Google Scholar] [CrossRef]
- Tian, J.L.; Fan, C.Y.; Zhang, T.J.; Zhou, Y. Rock breaking mechanism in percussive drilling with the effect of high-frequency torsional vibration. Energ. Source. Part A 2019, 44, 2520–2534. [Google Scholar] [CrossRef]
- Zhang, L.; Wang, X.F.; Wang, J.Y.; Yang, Z. Mechanical characteristics and pore evolution of red sandstone under ultrasonic high-frequency vibration excitation. AIP Adv. 2021, 11, 055202. [Google Scholar] [CrossRef]
- Yin, S.Y.; Zhao, D.J.; Zhai, G.B. Investigation into the characteristics of rock damage caused by ultrasonic vibration. Int. J. Rock Mech. Min. Sci. 2016, 84, 159–164. [Google Scholar] [CrossRef]
- Pavlovskaia, E.; Hendry, D.C.; Wiercigroch, M. Modelling of high frequency vibro-impact drilling. Int. J. Mech. Sci. 2015, 91, 110–119. [Google Scholar] [CrossRef]
- Li, Z.L.; Wang, L.G.; Li, W.S. Mechanical Behavior and Fracture Characteristics of Rock with Prefabricated Crack under Different Triaxial Stress Conditions. Minerals 2022, 12, 673. [Google Scholar] [CrossRef]
- Yang, Z.B.; Wang, X.F.; Zhang, L.; Wang, J.Y. Research on influencing factors of rock breaking efficiency under ultrasonic vibration excitation. AIP Adv. 2023, 13, 025160. [Google Scholar] [CrossRef]
- Zhao, D.; Han, J.; Zhou, Y.; Lv, X.; Zhang, S.; Gao, K.; Zhao, Y. Rock Crushing Analysis of TBM Disc Cutter Assisted by Ultra-High-Frequency Loading. Shock Vib. 2022, 2022, 17. [Google Scholar] [CrossRef]
- Zhao, Y.; Zhang, C.S.; Zhang, Z.Z.; Gao, K.; Li, J.S.; Xie, X.B. The rock breaking mechanism analysis of axial ultra-high frequency vibration assisted drilling by single PDC cutter. J. Pet. Sci. Eng. 2021, 205, 108859. [Google Scholar] [CrossRef]
- Li, S.Q.; Yan, T.; Li, W.; Bi, F.Q. Modeling of vibration response of rock by harmonic impact. J. Nat. Gas Sci. Eng. 2015, 23, 90–96. [Google Scholar] [CrossRef]
- Huang, J.G.; Wang, H.G.; Ji, G.D.; Zhao, F.; Ming, R.; Hao, Y. The Rock Breaking Mechanism of Ultrasonic High Frequency Rotary-Percussive Drilling Technology. Pet. Drill. Tech. 2018, 46, 23–29. [Google Scholar]
- Li, S.; Yan, L.; Li, W.; Zhao, H.; Ling, X. Research on Energy Response Characteristics of Rock under Harmonic Vibro-Impacting Drilling. J. Vib. Eng. Technol. 2019, 7, 487–496. [Google Scholar] [CrossRef]
- Wang, J.; Yang, M.; Liang, F.; Feng, K.; Zhang, K.; Wang, Q. An Algorithm for Painting Large Objects Based on a Nine-Axis UR5 Robotic Manipulator. Appl. Sci. 2022, 12, 7219. [Google Scholar] [CrossRef]
- Galindo, R.A.; Serrano, A.; Olalla, C. Ultimate bearing capacity of rock masses based on modified Mohr-Coulomb strength criterion. Int. J. Rock Mech. Min. Sci. 2017, 93, 215–225. [Google Scholar] [CrossRef]
- Zhong, Z.; Zhang, H.; Hu, Y.J.; Lou, R.; Tao, P.; Liu, J. Experimental and numerical explorations on the optimized applications of SCDA in cracking concrete blocks. Measurement 2023, 206, 112335. [Google Scholar] [CrossRef]
- Zhang, J.W.; Li, Y.L. Ultrasonic vibrations and coal permeability: Laboratory experimental investigations and numerical simulations. Int. J. Min. Sci. Technol. 2017, 27, 221–228. [Google Scholar] [CrossRef]





















| Accurate Measuring Range | Deformation Measurement Accuracy | Test Compression Space | Round Specimen Clamping Diameter | Piston Stroke |
|---|---|---|---|---|
| 20–1000 kN | ±0.5% F.S | 600 mm | φ 13–φ 60 mm | 250 mm |
| Target Rock | Parameter | Value |
|---|---|---|
| Red sandstone | Elastic modulus (MPa) | 5830 |
| Poisson’s ratio | 0.248 | |
| Densities (kg/m3) | 2215 | |
| Internal friction angle (°) | 60 | |
| Homogeneity coefficient | 5 | |
| Uniaxial compressive strength fine average (MPa) | 78 | |
| Pressure-to-pull ratio | 30 |
| Main Magnetic Field (T) | Main Frequency (MHz) | Pulse Frequency (MHz) | Gradient Field (T/m) | Magnetic Field Stability (Hz/h) | Magnet Temperature (°C) | Magnet Uniformity (ppm) |
|---|---|---|---|---|---|---|
| 0.52 ± 0.05 | 21.3 | 1~49.9 | 0.03 | <300 | 25~35 | 20 |
| Core Chamber Size (mm) | Vacuum Pressure Range (MPa) | Full Water Pressure Range (MHz) |
|---|---|---|
| Φ 120 × 400 | 0~−0.1 | 0~60 |
| Sample Material | Pre-Stressing | Loading Frequency | Loading Amplitude | Loading Time |
|---|---|---|---|---|
| Red sandstone | 200 N | 40 kHz | 40 μm | 20 s |
| Red Sandstone Sample | Vibration Duration (s) | Initial Porosity (%) | Post-Vibration Porosity (%) | Porosity Change (%) | Porosity Change Rate (%) |
| 20 | 12.51 | 15.04 | 2.53 | 20.2238 |
| Target Rock | Parameter | Value |
|---|---|---|
| Red sandstone | Modulus of elasticity of bond (MPa) | 2200 |
| Bond stiffness ratio | 2.1 | |
| Bonding tensile strength (MPa) | 6.0 | |
| Bond strength ratio | 2.0 | |
| Poisson’s ratio | 0.25 | |
| Particle friction angle (°) | 64 |
Disclaimer/Publisher’s Note: The statements, opinions and data contained in all publications are solely those of the individual author(s) and contributor(s) and not of MDPI and/or the editor(s). MDPI and/or the editor(s) disclaim responsibility for any injury to people or property resulting from any ideas, methods, instructions or products referred to in the content. |
© 2023 by the authors. Licensee MDPI, Basel, Switzerland. This article is an open access article distributed under the terms and conditions of the Creative Commons Attribution (CC BY) license (https://creativecommons.org/licenses/by/4.0/).
Share and Cite
Liu, C.; Duan, M.; Huang, Y.; Huang, Q.; Liu, J.; Wang, Z.; Zhang, Z. Research on the Mechanism and Characteristics of Ultrasonically Coupled Mechanical Rock-Breaking Pre-Fracturing Technology. Machines 2023, 11, 934. https://doi.org/10.3390/machines11100934
Liu C, Duan M, Huang Y, Huang Q, Liu J, Wang Z, Zhang Z. Research on the Mechanism and Characteristics of Ultrasonically Coupled Mechanical Rock-Breaking Pre-Fracturing Technology. Machines. 2023; 11(10):934. https://doi.org/10.3390/machines11100934
Chicago/Turabian StyleLiu, Chengwen, Mingyu Duan, Yizhe Huang, Qibai Huang, Jiaqi Liu, Zhicheng Wang, and Zhifu Zhang. 2023. "Research on the Mechanism and Characteristics of Ultrasonically Coupled Mechanical Rock-Breaking Pre-Fracturing Technology" Machines 11, no. 10: 934. https://doi.org/10.3390/machines11100934
APA StyleLiu, C., Duan, M., Huang, Y., Huang, Q., Liu, J., Wang, Z., & Zhang, Z. (2023). Research on the Mechanism and Characteristics of Ultrasonically Coupled Mechanical Rock-Breaking Pre-Fracturing Technology. Machines, 11(10), 934. https://doi.org/10.3390/machines11100934

