Adaptive Neural-PID Visual Servoing Tracking Control via Extreme Learning Machine
Abstract
:1. Introduction
2. Visual Tracking Modeling
2.1. Camera Model and Feature Motion
2.2. Observation Equation
2.3. State–Space Equation
3. Adaptive Estimation of Visual Tracking
3.1. Adaptive Estimation Model
3.2. Estimation Schemes
4. ELM–PID Control Algorithm for Visual Servo
4.1. Extreme Learning Machine
4.2. ELM–PID Visual Tracking Controller
5. Experiments
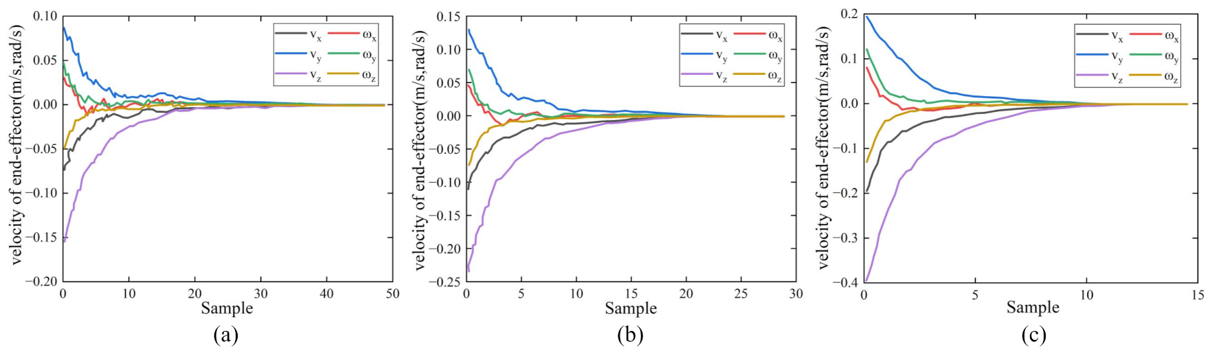
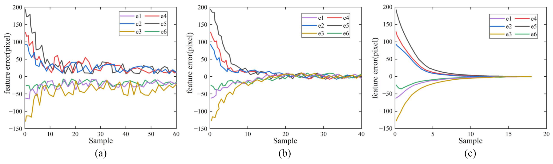
6. Results
7. Conclusions
- We developed a mathematical expression for the visual tracking of a line feature. This model was based on measurements of the vector of discrete displacements obtained by a laser-camera system;
- We presented the self-tuning control scheme of a hybrid ELM–PID. The scheme was efficient for a nonlinear system and objects in motion by composing an ELM–PID control and adaptive prediction;
- The constructed laser camera system was able to achieve low-cost, real-time vision tracking. The comprehensive experiments validated the suitability of the method for vision tracking with combined vision and control.
Author Contributions
Funding
Institutional Review Board Statement
Informed Consent Statement
Data Availability Statement
Conflicts of Interest
References
- Castelli, F.; Michieletto, S.; Ghidoni, S.; Pagello, E. A machine learning-based visual servoing approach for fast robot control in industrial setting. Int. J. Adv. Robot. Syst. 2017, 14, 1729881417738884. [Google Scholar] [CrossRef]
- Hutchinson, S.; Hager, G.; Corke, P. Visual servoing with hand-eye manipulator-optimal control approach. IEEE Trans. Robot. Autom. 1996, 12, 651–670. [Google Scholar] [CrossRef]
- Chaumette, F.; Hutchinson, S. Visual servo control. I. Basic approaches. IEEE Robot. Autom. Mag. 2006, 13, 82–90. [Google Scholar] [CrossRef]
- Chaumette, F.; Hutchinson, S. Visual servo control. II. Advanced approaches [Tutorial]. IEEE Robot. Autom. Mag. 2007, 14, 109–118. [Google Scholar] [CrossRef]
- Wang, H.; Cheah, C.C.; Ren, W.; Xie, Y. Passive separation approach to adaptive visual tracking for robotic systems. IEEE Trans. Control Syst. Technol. 2018, 26, 2232–2241. [Google Scholar] [CrossRef]
- Liu, H.; Zhu, W.; Dong, H.; Ke, Y. Hybrid visual servoing for rivet-in-hole insertion based on super-twisting sliding mode control. Int. J. Control Autom. Syst. 2020, 18, 2145–2156. [Google Scholar] [CrossRef]
- Indrazno, S.; Laxmidhar, B.; McGinnity, T.; Sonya, C. Image-based visual servoing of a 7-DOF robot manipulator using an adaptive distributed fuzzy PD controller. IEEE Trans. Mechatron. 2014, 19, 512–523. [Google Scholar]
- Jardine, P.T.; Kogan, M.; Givigi, S.N.; Yousefi, S. Adaptive predictive control of a differential drive robot tuned with reinforcement learning. Int. J. Adapt. Control Signal Process. 2019, 33, 410–423. [Google Scholar] [CrossRef]
- Bhatti, O.S. Adaptive fuzzy-pd tracking controller for optimal visual-servoing of wheeled mobile robots. J. Control Eng. Appl. Inform. 2017, 19, 58–68. [Google Scholar]
- Yang, C.; Chen, J.; Ju, Z.; Annamalai, A.S. Visual servoing of humanoid dual-arm robot with neural learning enhanced skill transferring control. Int. J. Humanoid Robot. 2018, 15, 1750023. [Google Scholar] [CrossRef]
- Chang, T.Y.; Chang, W.C.; Cheng, M.Y.; Yang, S.S. Dynamic visual servoing with Kalman filter-based depth and velocity estimator. Int. J. Adv. Robot. Syst. 2021, 18, 17298814211016674. [Google Scholar] [CrossRef]
- Gongye, Q.; Cheng, P.; Dong, J. Image-based visual servoing with depth estimation. Trans. Inst. Meas. Control 2022, 44, 1811–1823. [Google Scholar] [CrossRef]
- Musić, J.; Bonković, M.; Cecić, M. Comparison of uncalibrated model-free visual servoing methods for small-amplitude movements: A simulation study. Int. J. Adv. Robot. Syst. 2014, 11, 108. [Google Scholar] [CrossRef]
- Durdevic, P.; Ortiz-Arroyo, D. A deep neural network sensor for visual servoing in 3d spaces. Sensors 2020, 20, 1437. [Google Scholar] [CrossRef]
- Shi, H.; Wu, H.; Xu, C.; Zhu, J.; Hwang, M.; Hwang, K.S. Adaptive image-based visual servoing using reinforcement learning with fuzzy state coding. IEEE Trans. Fuzzy Syst. 2020, 28, 3244–3255. [Google Scholar] [CrossRef]
- Qu, J.; Zhang, F.; Fu, Y.; Li, G.; Guo, S. Adaptive neural network visual servoing of dual-arm robot for cyclic motion. Ind. Robot. Int. J. 2017, 44, 210–221. [Google Scholar] [CrossRef]
- Ak, A.; Topuz, V.; Ersan, E. Visual servoing application for inverse kinematics of robotic arm using artificial neural networks. Stud. Inform. Control 2018, 27, 183–190. [Google Scholar] [CrossRef]
- Shi, H.; Li, X.; Hwang, K.S.; Pan, W.; Xu, G. Decoupled visual servoing with fuzzy Q-Learning. IEEE Trans. Ind. Inform. 2016, 14, 241–252. [Google Scholar] [CrossRef]
- Muthusamy, R.; Ayyad, A.; Halwani, M.; Swart, D.; Gan, D.; Seneviratne, L.; Zweiri, Y. Neuromorphic eye-in-hand visual servoing. IEEE Access 2021, 9, 55853–55870. [Google Scholar] [CrossRef]
- Argus, M.; Hermann, L.; Long, J.; Brox, T. Flowcontrol: Optical flow based visual servoing. In Proceedings of the 2020 IEEE/RSJ International Conference on Intelligent Robots and Systems (IROS), Las Vegas, NV, USA, 25–29 October 2020; pp. 7534–7541. [Google Scholar]
- Shao, Q.; Hu, J.; Fang, Y.; Liu, W.; Qi, J.; Zhu, G.N. Image moments based visual servoing of robot using an adaptive controller. In Proceedings of the 2016 Asia-Pacific Conference on Intelligent Robot Systems (ACIRS), Tokyo, Japan, 20–22 July 2016; pp. 57–61. [Google Scholar]
- Saxena, A.; Pandya, H.; Kumar, G.; Gaud, A.; Krishna, K.M. Exploring convolutional networks for end-to-end visual servoing. In Proceedings of the 2017 IEEE International Conference on Robotics and Automation (ICRA), Singapore, 29 May–3 June 2017; pp. 3817–3823. [Google Scholar]
- Bateux, Q.; Marchand, E.; Leitner, J.; Chaumette, F.; Corke, P. Training deep neural networks for visual servoing. In Proceedings of the 2018 IEEE International Conference on Robotics and Automation (ICRA), Brisbane, Australia, 21–25 May 2018; pp. 3307–3314. [Google Scholar]
- Sadeghi, F.; Toshev, A.; Jang, E.; Levine, S. Sim2real viewpoint invariant visual servoing by recurrent control. In Proceedings of the IEEE Conference on Computer Vision and Pattern Recognition, Salt Lake City, UT, USA, 18–22 June 2018; pp. 4691–4699. [Google Scholar]
- Wu, J.; Jin, Z.; Liu, A.; Yu, L.; Yang, F. A survey Of learning-Based control of robotic visual servoing systems. J. Frankl. Inst. 2022, 359, 556–577. [Google Scholar] [CrossRef]
- Andreff, N.; Espiau, B.; Horaud, R. Visual servoing from lines. Int. J. Robot. Res. 2002, 21, 679–699. [Google Scholar] [CrossRef]
- Wang, H.; Liu, Y.H.; Zhou, D. Adaptive visual servoing using point and line features with an uncalibrated eye-in-hand camera. IEEE Trans. Robot. 2008, 24, 843–857. [Google Scholar] [CrossRef]
- Huang, G.B.; Zhu, Q.Y.; Siew, C.K. Extreme learning machine: Theory and applications. Neurocomputing 2006, 70, 489–501. [Google Scholar] [CrossRef]
- Liao, S.; Feng, C. Meta-ELM: ELM with ELM hidden nodes. Neurocomputing 2014, 128, 81–87. [Google Scholar] [CrossRef]
- Zou, W.; Yao, F.; Zhang, B.; Guan, Z. Improved Meta-ELM with error feedback incremental ELM as hidden nodes. Neural Comput. Appl. 2018, 30, 3363–3370. [Google Scholar] [CrossRef]











Publisher’s Note: MDPI stays neutral with regard to jurisdictional claims in published maps and institutional affiliations. |
© 2022 by the authors. Licensee MDPI, Basel, Switzerland. This article is an open access article distributed under the terms and conditions of the Creative Commons Attribution (CC BY) license (https://creativecommons.org/licenses/by/4.0/).
Share and Cite
Luo, J.; Zhu, L.; Wu, N.; Chen, M.; Liu, D.; Zhang, Z.; Liu, J. Adaptive Neural-PID Visual Servoing Tracking Control via Extreme Learning Machine. Machines 2022, 10, 782. https://doi.org/10.3390/machines10090782
Luo J, Zhu L, Wu N, Chen M, Liu D, Zhang Z, Liu J. Adaptive Neural-PID Visual Servoing Tracking Control via Extreme Learning Machine. Machines. 2022; 10(9):782. https://doi.org/10.3390/machines10090782
Chicago/Turabian StyleLuo, Junqi, Liucun Zhu, Ning Wu, Mingyou Chen, Daopeng Liu, Zhenyu Zhang, and Jiyuan Liu. 2022. "Adaptive Neural-PID Visual Servoing Tracking Control via Extreme Learning Machine" Machines 10, no. 9: 782. https://doi.org/10.3390/machines10090782
APA StyleLuo, J., Zhu, L., Wu, N., Chen, M., Liu, D., Zhang, Z., & Liu, J. (2022). Adaptive Neural-PID Visual Servoing Tracking Control via Extreme Learning Machine. Machines, 10(9), 782. https://doi.org/10.3390/machines10090782

