Next Article in Journal
Study on Improvement of Lightning Damage Detection Model for Wind Turbine Blade
Next Article in Special Issue
The Influence of the Material Type and the Placement in the Print Chamber on the Roughness of MJF-Printed 3D Objects
Previous Article in Journal
Effect of LP-EGR on the Emission Characteristics of GDI Engine
Previous Article in Special Issue
Electropolishing Parametric Optimization of Surface Quality for the Fabrication of a Titanium Microchannel Using the Taguchi Method
 
 
Font Type:
Arial Georgia Verdana
Font Size:
Aa Aa Aa
Line Spacing:
Column Width:
Background:
Article

Optimizing the Sharpening Process of Hybrid-Bonded Diamond Grinding Wheels by Means of a Process Model

by
Eckart Uhlmann
1,2 and
Arunan Muthulingam
1,*
1
Institute for Machine Tools and Factory Management (IWF), Technical University Berlin, Pascalstr. 8-9, 10587 Berlin, Germany
2
Fraunhofer Institute for Production Systems and Design Technology, Technical University Berlin, Pascalstr. 8-9, 10587 Berlin, Germany
*
Author to whom correspondence should be addressed.
Machines 2022, 10(1), 8; https://doi.org/10.3390/machines10010008
Submission received: 15 November 2021 / Revised: 16 December 2021 / Accepted: 17 December 2021 / Published: 22 December 2021

Abstract

:
The grinding wheel topography influences the cutting performance and thus the economic efficiency of a grinding process. In contrary to conventional grinding wheels, super abrasive grinding wheels should undergo an additional sharpening process after the initial profiling process to obtain a suitable microstructure of the grinding wheel. Due to the lack of scientific knowledge, the sharpening process is mostly performed manually in industrial practice. A CNC-controlled sharpening process can not only improve the reproducibility of grinding processes but also decrease the secondary processing time and thereby increase the economic efficiency significantly. To optimize the sharpening process, experimental investigations were carried out to identify the significant sharpening parameters influencing the grinding wheel topography. The sharpening block width lSb, the grain size of the sharpening block dkSb and the area-related material removal in sharpening V’’Sb were identified as the most significant parameters. Additional experiments were performed to further quantify the influence of the significant sharpening parameters. Based on that, a process model was developed to predict the required sharpening parameters for certain target topographies. By using the process model, constant work results and improved process reliability can be obtained.

1. Introduction

The increasing demand for productive grinding processes that meet economic and quality standards leads to the constant development of grinding tools and associated dressing tools [1]. An essential part of the grinding technology is the dressing process for the regeneration of the macro- and microgeometry of the grinding wheel topography. The dressing process is divided into profiling and sharpening. Through the sharpening process a sufficient chip space is achieved, and the required cutting grains are exposed from the bond by resetting the bond material. The sharpening process therefore determines the cutting ability and additionally influences the grinding process forces and the surface quality of the ground components [2,3,4]. The reduction in the process forces can lead to less thermal damage to the ground workpiece due to the lower process-related heat generation [4,5,6]. Grinding wheels adapted to the application can lead to constant work results and process parameters, which lead to improved process reliability [1]. However, due to the lack of scientific knowledge, the sharpening process is mostly performed manually in industrial practice by holding a sharpening block against the grinding wheel and thus does not meet the requirements of highly accurate, secure and automated manufacturing.
Figure 1 illustrates the qualitative course of the grinding behavior for an insufficiently sharpened, over sharpened and with optimized sharpening parameters and tools sharpened grinding wheel [7]. An insufficiently sharpened grinding wheel results in high grinding forces and low surface roughness due to the low grain protrusion. The necessary cutting grains as well as the required chip space are ensured only through the time-consuming grinding-in phase (Figure 1a). On the other hand, an over-sharpened grinding wheel is characterized by a high grain protrusion and leads to high surface roughness. Due to the high grain protrusion the process initially leads to low grinding forces, which reach a constant level in the course of the process by grain breakouts and rounded grains (Figure 1b). Grinding wheels that are sharpened with optimized sharpening parameters and tools require a very short grinding-in phase in order to achieve the steady-state process condition. Thus, a well-sharpened grinding wheel is of great importance for an economical manufacturing process to achieve a steady-state process behavior and to ensure an almost constant workpiece quality (Figure 1c).
Only a few publications are concerned with CNC-controlled sharpening processes. Jacobs [8] analyzed the automated sharpening process with ceramic- and resin-bonded CBN grinding wheels. He found that the microgeometry of a grinding wheel can be influenced by the parameters sharpening block width lSb and material removal VSb. The surface roughness increases asymptotically with increasing material removal VSb until a stationary value is reached. The increase in the sharpening block width lSb also resulted in an increase in roughness. The grain break-out mechanics of resin-bonded grinding wheels sharpened with corundum blocks was studied by Schleich [9]. He developed a model for the sharpening process to adjust the desired CBN grain protrusion. The sharpening process of ceramic-bonded grinding wheels was studied by Stuff [10]. He developed sharpening strategies through experimental studies to achieve a stationary grinding behavior. Studies on the sharpening process of metal-bonded grinding wheels are performed with electrophysical and electrochemical processes due to their electrical conductivity [11,12,13,14,15]. Hübert [16] investigated the intermittent sharpening process of resin-bonded diamond grinding wheels. He determined that the results of the sharpening process were dependent on the grinding wheel grain size. Furthermore, an increase in the dressing volume was detected for a higher specific material removal rate in sharpening Q’Sb.
To date, only a small number of publications on the CNC-controlled sharpening process of diamond grinding wheels are available. This paper presents new findings concerning the CNC-controlled block sharpening process of hybrid-bonded diamond grinding wheels. In this case, the hybrid bond represents a combination of metal and resin bond. For this purpose, extensive experiments were performed to identify the significant sharpening parameters and to establish a functional relationship between the sharpening parameters and the resulting topography characteristics, the sharpening result. Based on the experimental results, an empirical regression model was developed.

2. Influence of the Sharpening Parameters on the Grinding Wheel Topography

Extensive sharpening experiments were carried out to identify the significant sharpening parameters influencing the process. The experiments were performed on the CNC tool grinding machine WU 305 micro from Alfred H. Schütte, Köln, Germany. As possible influencing parameters, the grain size of the sharpening block dkSb, the sharpening block width lSb, the area-related material removal in sharpening V’’Sb, the area-related material removal rate in sharpening Q’’Sb and the grinding wheel circumferential speed vsSb were considered. In addition, the tests were carried out with two grinding wheel specifications, which differ in grain size dk. The hybrid-bonded grinding wheels with specifications 1A1 D33 C100 and 1A1 D54 C100 from Saint-Gobain Diamantwerkzeuge GmbH Norderstedt, Germany, had a grinding wheel diameter of ds = 100 mm. In order to be able to transfer the knowledge gained to other grinding wheel dimensions, the area-related material removal in sharpening V’’sb and the area-related material removal rate in sharpening Q’’sb were placed in relation to the lateral surface of the grinding wheel. In the first step, the parameters were varied by two values, as shown in Table 1. The sharpening experiments were performed with the block sharpening method.
In order to evaluate the influence of the investigated sharpening parameters, the grinding wheels were prepared by a profiling process using silicon carbide (SiC) dressing rolls from Winterthur Technology GmbH, Reutlingen, Germany, in order to achieve reproducible and smooth initial surface conditions. The profiling was carried out with a depth of dressing cut of aed = 4 μm at a total depth of of dressing cut aed,ges = 800 μm, a dressing feed rate of vfd = 1500 mm/min, a ratio of dressing speeds qd = −1 and a grinding wheel circumferential speed during dressing of vsd = 17 m/s. The sharpening blocks with corundum grains from Saint-Gobain Diamantwerkzeuge GmbH, Norderstedt, Germany, were soaked in cooling lubricant before the experiments. During the sharpening process, the grinding wheel was radially moved to the sharpening block without the supply of cooling lubricant. For the analysis of the CNC-controlled block sharpening process, imprints of a section of the grinding wheel were captured and optically measured. The imprints were made by using the dental imprint material Panasil® contact plus X-Light of Kettenbach GmbH & Co. KG, Eschenburg, Germany. Subsequently, an optical surface measurement was carried out with a digital light microscope of the type VHX-5000 from Keyence Deutschland GmbH, Neu-Isenburg, Germany. Finally, the topography characteristics of the grinding wheels were determined according to DIN EN ISO 25178 [17] using a developed algorithm in MATLAB® from MathWorks, Natick, MA, USA. Figure 2 shows the experimental procedure and the subsequent topography analysis. To ensure the reproducibility of the experiments statistically, each parameter combination was carried out three times.
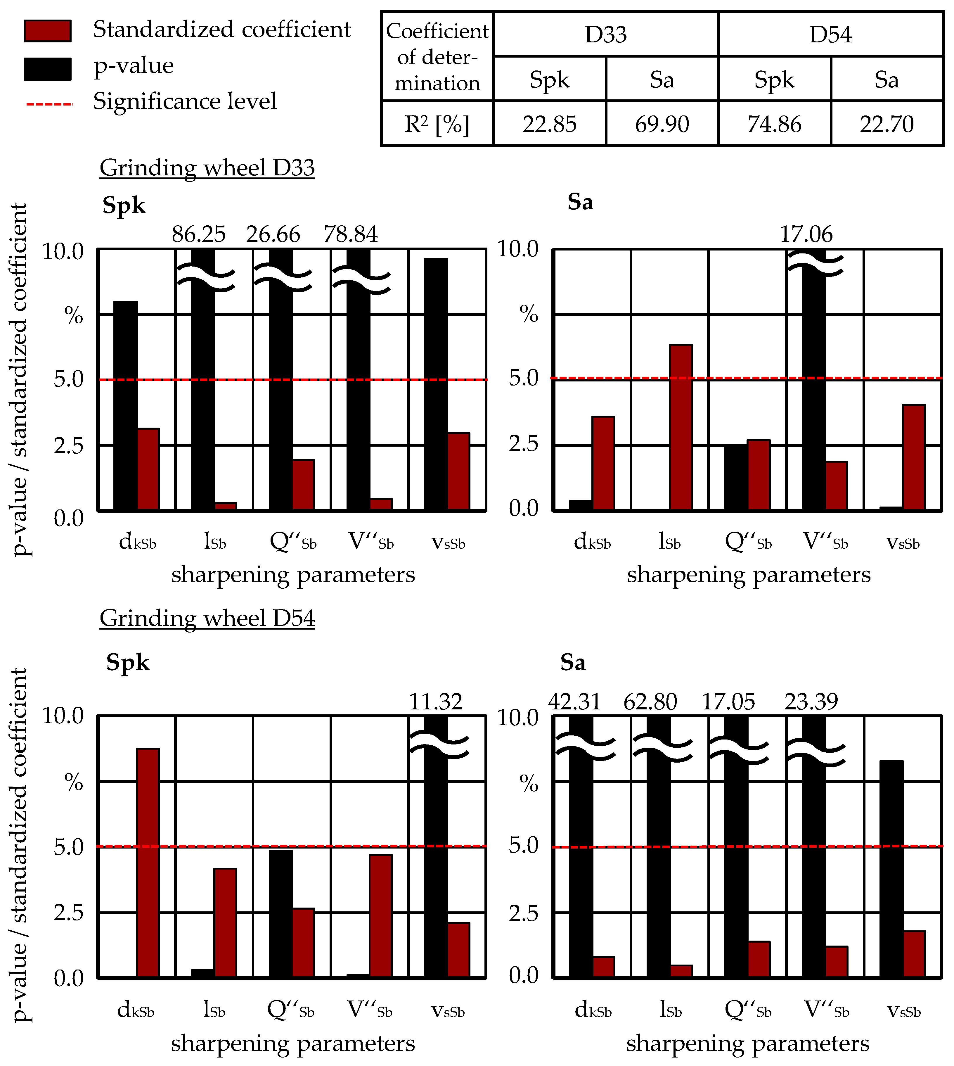
After determining the topography characteristics, a significance analysis was performed to evaluate the sharpening parameters and identify the significant sharpening parameters. Therefore, a statistical evaluation tool was developed to establish a functional relationship between the input variables (sharpening parameters) and output variables (topography characteristics). To evaluate the accuracy of the established models and the influence of the sharpening parameters, the stochastic characteristics, the coefficient of determination R2 and the p-value were determined. The coefficient of determination R2 indicates how suitable the models are for explaining the total variation of the determined topography characteristics. It varies between 0% (poor model accuracy) and 100% (good model accuracy). The p-value describes the probability that the null hypothesis is true, where the null hypothesis is a general statement that declares there is no relationship between the input and output variable. If the p-value of an input variable is below the significance level of 5%, then it can be assumed to have a significant influence on the output variable [18,19].
Figure 3 shows the result of the significance analysis for the topography characteristics, the reduced peak height Spk and the mean arithmetic height Sa. The standardized coefficients describe the linear influence of the respective sharpening parameter on the topography characteristic. Different model accuracy results were achieved for the analyzed topography characteristics. Considering the results of the grinding wheel with the grain size D33, it becomes clear that the established model to describe the reduced peak high Spk with a coefficient of determination R2 = 22.85% does not adequately reflect the actual measurements. Additionally, the p-values of the investigated sharpening parameters were clearly above the significance level, so it can be assumed that the investigated parameters have no significant influence on the reduced peak height Spk of the grinding wheel with the grain size D33. On the other hand, the quality for describing the mean arithmetic height Sa was R2 = 69.90%. The p-values for the grain size of the sharpening block dkSb, the sharpening block width lSb, the area-related material removal rate in sharpening Q’’Sb and the grinding wheel circumferential speed vsSb were below the significance level of 5% and thus significantly influenced the topography characteristic Sa. However, the results of the grinding wheel with the grain size D54 show a high coefficient of determination R2 = 74.86% for the reduced peak height Spk. The area-related material removal in sharpening V’’Sb, the sharpening block width lSb and the grain size of the sharpening block dkSb are the sharpening parameters that influence the topography characteristic Spk significantly. In contrast, the mean arithmetic height Sa is not influenced by the sharpening parameters.
The results of the investigated grinding wheels are different and show that the sharpening parameters affect the grinding wheel topography differently. Figure 4 shows the reduced peak height Spk and the mean arithmetic height Sa for the respective sharpening experiments. The parameter of the experiments can be found in the Appendix A, Table A1. The grinding wheel topography after profiling is highlighted with a green bar and describes the initial state of the grinding wheels before the sharpening process. It becomes clear that the sharpening process results in a significant increase in the reduced peak height Spk for both grinding wheels D33 and D54.
The increase is due to an effective resetting of the grinding wheel bond after profiling. During the sharpening process, a suspension forms between the grinding wheel and the sharpening block, which is mainly responsible for the resetting of the bond during the sharpening process, as shown in Figure 5. The suspension is formed by the cooling lubricant and the corundum grains of the sharpening block, which are split during the process.
For the grinding wheel with the grain size D33, the reduced peak height Spk differed only slightly between the sharpening experiments. It can be assumed that the investigated sharpening parameters lead to an over-sharpened grinding wheel D33, and thus a change in the parameters has no significant influence on the topography characteristic Spk. However, significant differences can be seen between the experiments for the grinding wheel with the grain size D54. Here, the sharpening parameters clearly affect the topography characteristic Spk. The differences in the results are due to the grinding wheel specification, in this case the grinding wheel grain size. For both grinding wheels, the mean arithmetic height Sa is influenced by the variation of the sharpening parameters. The variations for the grinding wheel with a grain size of D54 are weak compared to the topography characteristic Spk. The findings are also reflected in the stochastic analysis.
The results of the significance analysis show that the grinding wheel specification has a decisive effect on which topography characteristics are influenced by the sharpening parameters. It could be determined that both investigated grinding wheels were mainly influenced by the sharpening width lSb and the grain size of the sharpening block dkSb. In further investigations, the influence of the area-related material removal in sharpening V’’Sb was studied in more detail. The result is shown in Figure 6. It becomes clear that there is a non-linear relationship between the area-related material removal in sharpening V’’Sb and the topography characteristics, reduced peak height Spk and mean arithmetic height Sa. The topography characteristics increased with a higher sharpening volume until a steady-state behavior was achieved. The stationary behavior was reached earlier by the grinding wheel with a grain size of D33. The investigation has shown that the area-related material removal in sharpening V’’Sb also significantly influences the grinding wheel topography.
The main influencing parameters could be determined by the experimental analysis. However, the results of the significance analysis also reveal that the grinding wheel specification effectively define which sharpening parameters influence certain topography characteristics. Nevertheless, the study clearly showed that it is possible to find correlations between sharpening parameters and the resulting grinding wheel topography.

3. Influence of the Sharpening Parameters on the Grinding Wheel Topography

After identifying the significant sharpening parameters, the experiments were extended to evaluate the influence on the grinding wheel topography and to generate the necessary data for the development of an empiric process model. The extension was carried out by increasing the parameter variation from two to four, as shown in Table 2. A full factorial variation of the parameters was carried out.
The area-related material removal rate in sharpening and the grinding wheel circumferential speed were kept constant with Q’’Sb = 0.0159 mm3/(mm2·s) and vsSb = 10 m/s. The experiments were performed with the grinding wheel grain size D54. In the following, the influence of the significant sharpening parameters on the grinding wheel topography is evaluated. For this, the average value of 16 experiments was determined by keeping one parameter constant. Thereafter, the percentage deviation of the topography characteristics from the initial profiled state was considered. The topography characteristics after the profiling process are listed in Table 3.

3.1. Influence of the Grain Size of the Sharpening Block dkSb

Figure 7 shows the influence of the grain size of the sharpening block dkSb on the topography characteristics reduced peak height Spk, reduced valley height Svk, core roughness Sk and static number of cutting edges Nstat. There is a great influence of the grain size of the sharpening block on the topography characteristics Spk and Svk. Sharpening blocks with a smaller grain size led to an increase of the Spk value. The change in the reduced peak height Spk nearly reached 38%. A small increase in the Svk value was observed when sharpening with a grain size of 150 mesh. Then, a steady drop with an increasing mesh value could be seen. The changes in the topography values Nstat and Sk were less than 9% for the mesh sizes of 150 to 220. In contrast, sharpening with a mesh size of 320 led to an increase over 20%. Considering the topography characteristic, it can be assumed that the sharpening process is more efficient with a finer grain size of the sharpening block dkSb.
Additional flute grinding processes were carried out to investigate the grinding behavior. For this purpose, untwisted flutes were ground on cemented carbide blanks with a diameter of dw = 12 mm of the type EMT100 from EXTRAMET AG, Extramet AG, Plaffein, Switzerland. The tests were carried out in the sharpened and unsharpened state of the grinding wheel. To evaluate the process behavior, the process normal force Fn and tangential force Ft were considered, as shown in Figure 8. The grinding forces with the unsharpened grinding wheel after the profiling process are highlighted with a green bar. For small mesh sizes of the sharpening blocks dkSb, the grinding forces were significantly lower than in the profiled state. The grinding forces increased with increasing mesh size of the sharpening block, reaching the value of the profiled grinding wheel by sharpening with dkSb = 320 mesh.
The analysis of the topography characteristics and grinding forces showed that the sharpening process is significantly influenced by the grain size of the sharpening block dkSb and thus influences the grinding behavior. Coarse sharpening block grains lead to a rough grinding wheel topography, which results in low grinding forces. Furthermore, a positive correlation between the grinding forces and the topography characteristics Spk and Nstat were observed, which is an unexpected result, since low grinding forces are assumed to have highly exposed cutting edges. The contradiction makes it clear that the evaluation of individual topography characteristics cannot be used to predict the sharpness of the grinding wheel with sufficient accuracy.
The observed relationships can be explained by the higher momentum, which is imposed on the bond by the coarse grains. In the case of small grain size of the sharpening block, clogging the chip space is possible, which leads to a decrease in the grinding wheel roughness. The actual sharpening process was hindered by the clogging of the grinding wheel. In addition, the existing pores were closed, which was reflected by a decrease in the topographic characteristics Svk and Sk. To verify the assumptions, additional topography measurements were carried out directly on the grinding wheel. For this purpose, the grinding wheel was measured after sharpening with the sharpening stone dkSb = 150 mesh and dkSb = 320 mesh. The profile height of the measured grinding wheel topography after the respective sharpening process is shown in Figure 9. Based on the measured profile height, it becomes clear that sharpening with dkSb = 150 mesh leads to a rough topography and thus sets back the bond more effectively.

3.2. Influence of the Sharpening Block Width lSb

Figure 10 illustrates the influence of the sharpening block width lSb on the grinding wheel topography. The percentage change of the topography characteristics was almost constant over the variation of the sharpening block width lSb. For the value Sk, a slightly steady decline with increasing sharpening block width lSb was observed. However, there was no significant influence of the sharpening block width lSb on the grinding wheel topography.
The grinding forces depending on the sharpening block width lSb are shown in Figure 11. After the sharpening process, the grinding forces were lower than in the initial profiled state and were almost on a constant level. The influence of the sharpening block width lSb was smaller compared to the other two investigated sharpening parameters. Interactions between the sharpening parameters should be considered separately and be taken into account in the development of the process model.

3.3. Influence of the Area-Related Material Removal in Sharpening V’’Sb

The influence of the area-related material removal in sharpening V’’Sb on the grinding wheel topography can be seen in Figure 12. The material removal had a significant influence on the Spk value, which increased with increasing volume. A steady decline could be obtained for the reduced valley height Svk. The influence on the static number of cutting edges Nstat was small. The observations can be explained by the fact that the resetting of the bond material increased when increasing the area-related material removal in sharpening V’’Sb, which results in smaller pores and thus leads to a reduction in the Svk value. At the same time, the grain protrusion increased, and new subsequent grains were exposed, which led to an increase in the reduced peak height Spk.
Figure 13 illustrates the grinding forces depending on the area-related material removal in sharpening V’’Sb. The resetting of the bond material results in a rough grinding wheel topography and thus in a reduction in the grinding forces.

4. Interactions between the Sharpening Parameters

Besides the influence of the individual significant sharpening parameters, the parameter interactions also affect the sharpening process and thereby the formation of the grinding wheel topography. In particular, the grain size of the sharpening block dkSb and the area-related material removal in sharpening V’’Sb depend on each other, as shown in Figure 14. The influence of the grain size of the sharpening block dkSb on the reduced peak height Spk largely depends on the area-related material removal in sharpening V’’Sb. With low area-related material removal, the grain size of the sharpening block has no influence on the Spk value, whereas with high material removal strong fluctuations in the Spk value could be observed depending on the grain size of the sharpening block dkSb. For V’’Sb = 0.12 mm3/mm2, the Spk value was almost constant over the grain size of the sharpening block dkSb. Only with increasing material removal of the sharpening block did the influence of the grain size of the sharpening block dkSb become more striking.
The static number of cutting edges Nstat also depends highly on the area-related material removal in sharpening V’’Sb and the grain size of the sharpening block dkSb, as seen in Figure 15. For coarse grains of the sharpening block, a slight decrease in the static number of cutting edges Nstat could been obtained with increasing area-related material removal in sharpening V’’Sb. The behavior was reversed for small grain sizes of the sharpening block dkSb. A high static number of cutting edges Nstat could be obtained by a combination of small grains and high material removal V’’Sb. However, it should be noted that a high static number of cutting edges Nstat is not necessarily equivalent to a rough grinding wheel.
The analysis of the interactions between the sharpening parameters on the grinding wheel topography makes it clear that the sharpening process cannot be modeled in sufficient quality by the influences of individual sharpening parameters.

5. Process Model

A process model based on regression analysis was developed by using the experimental results. The required data were determined in the form of topography characteristics. The aim of the process model is to provide the user with the necessary information for a quick and target sharpening process in order to achieve the grinding wheel topography in the stationary state, which depends on various grinding parameters. Therefore, a functional relationship between the input and output variables was developed by using regression equations. The input variables correspond to the three identified significant sharpening parameters, and the output parameters correspond to the determined topography characteristics. A regression equation was developed for each topography characteristic, which are shown in Table 4.
The coefficient of determination R2 makes it possible to evaluate the accuracy of the established regression equations. It indicates how suitable the models are for explaining the total variation of the determined topography characteristics. The established regression equations differ greatly in their suitability for the process model. For the static number of cutting edges Nstat a high model accuracy was realized with a compact equation. Other parameters, in particular the area-related chip space volume V’’sp, are less suitable for modeling because of their poor accuracy. The interaction between the grain size dkSb and the area-related material removal in sharpening V’’Sb has been identified as a significant influencing factor.
The determined regression equations were then used to implement the process model by using the software MATLAB of MathWorks, Natick, MA, USA. For this purpose, a graphical user interface (GUI) was developed, which enables easy handling of the process model. The model can be used to predict the required sharpening parameters for certain target topographies or vice versa, returning the topography characteristics for explicit sharpening parameters. The desired sharpening and topography parameters were calculated by minimizing the quadratic error of the process model. Figure 16 shows the graphical user interface of the process model. Any combination of topography characteristic and process parameter can be used as input variable. It should be noted that at least three parameters must be specified by the user in order to use the process model optimally. The algorithm automatically calculates the missing parameters with the best possible adaptation to the process model. In order to evaluate the accuracy, the value “error” is additionally calculated. The developed process model thus represents a tool for planning and illustrating the sharpening process.
Further technological investigations were carried out to verify the process model. Therefore, the topography characteristics calculated for certain sharpening parameters are listed in Table 5.
Afterwards, sharpening experiments were carried out with the specified parameters, and the topography characteristics were determined by means of imprints. Figure 17 shows the calculated topography characteristics and those obtained from the sharpening experiments. It becomes clear that the calculated topography characteristics were close to the experimentally achieved values. The percentage difference was less than 10% for all determined topography characteristics. Thus, the process model is suitable for the targeted setting of the grinding wheel topography.

6. Conclusions

Super abrasive grinding wheels require a sharpening process to reset the bond material and to obtain the necessary cutting grains and chip space. The study clearly shows the correlations between the sharpening parameters and the resulting grinding wheel topography, which can be used to model the sharpening process. It was found that the sharpening block width lSb, the grain size of the sharpening block dkSb and the area-related material removal in sharpening V’’Sb are the main parameters that influence the grinding wheel topography. Further experiments were carried out to quantify the influence of the identified significant parameters. The investigation showed that the material removal V’’Sb and the grain size of the sharpening block dkSb significantly influenced the topography characteristics, while the sharpening block width lSb only caused minor changes in the grinding wheel topography. Furthermore, the interactions between the sharpening parameters were analyzed.
Based on the experimental results an empirical process model was developed that enables the user to achieve a target setting of the grinding wheel topography. As a result, manual sharpening processes based on the experience of individual process operators can be avoided. The industrial application of the developed CNC-controlled sharpening process enables a time-optimized, process-reliable and resource-efficient setting of the surface topography. Furthermore, the initial unsteady grinding behavior can be shorted by the target setting of the grinding wheel topography and ensures an almost constant workpiece quality. In addition, complex preliminary sharpening processes can be avoided by using the developed process model.

Author Contributions

Conceptualization, E.U.; Formal analysis, E.U. and A.M.; Funding acquisition: E.U.; Investigation, A.M.; Methodology, A.M.; Project administration, E.U. and A.M.; Supervision, E.U.; Validation, A.M.; Writing—original draft, E.U. and A.M.; Writing—review & editing, E.U. and A.M. All authors have read and agreed to the published version of the manuscript.

Funding

This research was funded by VDW Forschungsinstitute. V. und the AiF grant number IGF 19531 N/1.

Institutional Review Board Statement

Not applicable.

Informed Consent Statement

Not applicable.

Data Availability Statement

Not applicable.

Conflicts of Interest

The authors declare no conflict of interest.

Appendix A

In Table A1 the parameters are listed for the experimental investigation in order to identify the significant sharpening parameters.
Table A1. Sharpening parameters for experimental investigation to identify the significant sharpening parameters.
Table A1. Sharpening parameters for experimental investigation to identify the significant sharpening parameters.
Experiment Nr.Grain Size of the Sharpening Block dkSbSharpening Block Width lSbMaterial Removal Rate Q’’SbMaterial Removal V’’SbGrinding Wheel Circumferential Speed VsSb
-meshmmmm3/(mm2·s)mm3/mm2m/s
1
(initial state)
-----
218025.00.0160.15910
318025.00.0160.15917
418025.00.0160.38210
518025.00.0160.38217
618025.00.0320.15910
718025.00.0320.15917
818025.00.0320.38210
918025.00.0320.38217
1018012.50.0160.15910
1118012.50.0160.15917
1218012.50.0160.38210
1318012.50.0160.38217
1418012.50.0320.15910
1518012.50.0320.15917
1618012.50.0320.38210
1718012.50.0320.38217
1822025.00.0160.15910
1922025.00.0160.15917
2022025.00.0160.38210
2122025.00.0160.38217
2222025.00.0320.15910
2322025.00.0320.15917
2422025.00.0320.38210
2522025.00.0320.38217
2622012.50.0160.15910
2722012.50.0160.15917
2822012.50.0160.38210
2922012.50.0160.38217
3022012.50.0320.15910
3122012.50.0320.15917
3222012.50.0320.38210
3322012.50.0320.38217

References

  1. Schröer, N. Spannutschleifen von Hartmetall-Schaftwerkzeugen mit Gradierten Schleifscheiben; Fraunhofer Verlag: Stuttgart, Germany, 2018. [Google Scholar]
  2. Wegener, K. Conditioning and Monitoring of Grinding Wheels. CIRP Ann. Manuf. Technol. 2011, 60, 757–777. [Google Scholar] [CrossRef]
  3. Klocke, F. Grundlagen zum Schneideneingriff. In Fertigungsverfahren 2; Springer Vieweg: Berlin/Heidelberg, Germany, 2017; pp. 5–19. [Google Scholar]
  4. Barth, S.; Klocke, F. Influence of the grinding wheel topography on the thermo-mechanical stress collective in grinding. Inventions 2017, 24, 34. [Google Scholar] [CrossRef] [Green Version]
  5. Rabiey, M.; Maerchy, P. Investigation on surface integrity of steel din 100cr6 by grinding using cbn tool. Procedia CIRP 2020, 87, 192–197. [Google Scholar] [CrossRef]
  6. Thanedar, A.; Dongre, G.G.; Singh, R.; Joshi, S.S. Surface integrity investigation including grinding burns using barkhausen noise (BNA). J. Manuf. Process. 2017, 30, 226–240. [Google Scholar] [CrossRef]
  7. Uhlmann, E. Tiefschleifen Hochfester Keramischer Werkstoffe. Reihe Produktionstechnik Berlin, Forschungsberichte für die Praxis, Bd. 129. Hrsg. G. Spur; Carl Hanser Verlag: München, Germany, 1994. [Google Scholar]
  8. Jacobs, U. Beitrag zum Einsatz von Schleifscheiben mit Kubisch-Kristallinem Bornitrid als Schneidstoff. Ph.D. Thesis, Technische Universität Braunschweig, Braunschweig, Germany, 1979. [Google Scholar]
  9. Schleich, H. Schärfen von Bornitridschleifscheiben. Ph.D Thesis, RWTH Aachen, Aachen, Germany, 1982. [Google Scholar]
  10. Stuff, D. Einsatzvorbereitung Keramisch Gebundener CBN-Schleifscheiben. Fortschritt-Berichte VDI Reihe 2 Nr. 417; VDI-Verlag: Düsseldorf, Germany, 1997. [Google Scholar]
  11. Ohmori, H.; Nakagawa, T. Grinding of Silicon using cast iron fiber bonded wheel. In Proceedings of the Autumn Conference of JSPE, Tokyo, Japan, 1987; p. 687. Available online: https://ci.nii.ac.jp/naid/10003870204/.
  12. Shore, P. ELID for efficient grinding of super smooth surfaces. IDR 1993, 6, 318–322. [Google Scholar]
  13. Falkenberg, Y. Elektroerosives Schärfen von Bornitridschleifscheiben. Ph.D. Thesis, Leibniz Universität Hannover, Hannover, Germany, 1998. [Google Scholar]
  14. Yin, S.; Ohmori, H.; Dai, Y.; Uehara, Y.; Chen, F.; Tang, H. ELID grinding characteristics of glass-ceramic materials. Int. J. Mach. Tools Manuf. 2009, 49, 333–338. [Google Scholar] [CrossRef]
  15. Saleh, T.; Bishwas, I.; Rahman, M. Efficient dressing of the wheel in ELID grinding by controllable voltage with force feed back. Int. J. Adv. Manuf. Technol. 2010, 46, 123–130. [Google Scholar] [CrossRef]
  16. Hübert, C. Schleifen von Hartmetall- und Vollkeramik-Schaftfräsern. In Berichte aus dem Produktionstechnischen Zentrum Berlin; Uhlmann, E.H., Ed.; Fraunhofer: Stuttgart, Germany, 2012. [Google Scholar]
  17. DIN EN ISO 25178-2. ; Geometrische Produktspezifikation (GPS)—Oberflächenbeschaffenheit: Flächenhaft—Teil 2: Begriffe und Oberflächen-Kenngrößen. Beuth: Berlin, Germany, 2012.
  18. Kleppmann, W. Taschenbuch Versuchsplanung: Produkte und Prozesse Optimieren; Hanser: München, Germany, 2013. [Google Scholar]
  19. Siebertz, K.; van Bebber, D.; Hochkirchen, T. Statistische Versuchsplanung: Design of Experiments (DoE); Springer: Berlin/Heidelberg, Germany, 2010. [Google Scholar]
Figure 1. Grinding behavior of differently sharpened grinding wheels [7].
Figure 1. Grinding behavior of differently sharpened grinding wheels [7].
Machines 10 00008 g001
Figure 2. Experimental procedure and topography analysis.
Figure 2. Experimental procedure and topography analysis.
Machines 10 00008 g002
Figure 3. Significance analysis for the topography characteristics, the reduced peak height Spk and the mean arithmetic height Sa.
Figure 3. Significance analysis for the topography characteristics, the reduced peak height Spk and the mean arithmetic height Sa.
Machines 10 00008 g003
Figure 4. Topography characteristics of the sharpening experiments.
Figure 4. Topography characteristics of the sharpening experiments.
Machines 10 00008 g004
Figure 5. Block sharpening process.
Figure 5. Block sharpening process.
Machines 10 00008 g005
Figure 6. Influence of the area-related material removal in sharpening V’’Sb.
Figure 6. Influence of the area-related material removal in sharpening V’’Sb.
Machines 10 00008 g006
Figure 7. Influence of the grain size of the sharpening block dkSb on the topography characteristics.
Figure 7. Influence of the grain size of the sharpening block dkSb on the topography characteristics.
Machines 10 00008 g007
Figure 8. Influence of the grain size of the sharpening block dkSb on the grinding forces.
Figure 8. Influence of the grain size of the sharpening block dkSb on the grinding forces.
Machines 10 00008 g008
Figure 9. Influence of the grain size of the sharpening block dkSb on the profile height.
Figure 9. Influence of the grain size of the sharpening block dkSb on the profile height.
Machines 10 00008 g009
Figure 10. Influence of the sharpening block width lSb on the topography characteristics.
Figure 10. Influence of the sharpening block width lSb on the topography characteristics.
Machines 10 00008 g010
Figure 11. Influence of the sharpening block width lSb on the grinding forces.
Figure 11. Influence of the sharpening block width lSb on the grinding forces.
Machines 10 00008 g011
Figure 12. Influence of the area-related material removal V’’Sb on the topography characteristics.
Figure 12. Influence of the area-related material removal V’’Sb on the topography characteristics.
Machines 10 00008 g012
Figure 13. Influence of the area-related material removal V’’Sb on the grinding forces.
Figure 13. Influence of the area-related material removal V’’Sb on the grinding forces.
Machines 10 00008 g013
Figure 14. Influence of the interaction between dkSb and V’’Sb on the reduced peak height Spk.
Figure 14. Influence of the interaction between dkSb and V’’Sb on the reduced peak height Spk.
Machines 10 00008 g014
Figure 15. Influence of the interaction between dkSb and V’’Sb on the static number of cutting edges Nstat.
Figure 15. Influence of the interaction between dkSb and V’’Sb on the static number of cutting edges Nstat.
Machines 10 00008 g015
Figure 16. Graphical user interface of the process model.
Figure 16. Graphical user interface of the process model.
Machines 10 00008 g016
Figure 17. Calculated and experimental obtained topography characteristics.
Figure 17. Calculated and experimental obtained topography characteristics.
Machines 10 00008 g017
Table 1. Investigated sharpening parameters.
Table 1. Investigated sharpening parameters.
dkdkSblSbV’’SbQ’’SbvsSb
µmmeshmmmm3/mm2mm3/(mm2·s)m/s
3318025.00.1590.015910
5422012.50.3820.031817
Table 2. Significant sharpening parameters.
Table 2. Significant sharpening parameters.
dkSbdkSblSbV’’Sb
meshµmmmmm3/mm2
150809.00.080
1807012.50.159
2205818.00.382
3203325.00.600
Table 3. Topography characteristics in the initial profiled state.
Table 3. Topography characteristics in the initial profiled state.
SpkSvkSkSaNstatK
µmµmµmµm1/mm2µm
8.287.0816.105.4780.6215.29
Table 4. Regression equation and model accuracy R2.
Table 4. Regression equation and model accuracy R2.
Regression Equations for the Process ModelR2 [%]
Spk=

0.6235 + 0.1049 · dkSb + 0.1733 · lSb 8.6904 · V’’Sb + 1.1446 · ln(V’’Sb) 0.0001967 · dkSb2 – 0.0006841 · dkSb · lSb 0.03502 · dkSb · V’’Sb81.70
Svk=+

6.5563 – 0.02116 · dkSb – 0.01012 · lSb + 9.8642 · V’’Sb 4.8223 · ln(V’’Sb + 0.5187) − 0.00003715 · dkSb2 0.02201 · dkSb · V’’Sb83.03
Sk=+
14.0244 + 0.0293 · dkSb – 0.06015 · lSb + 5.9868 · V’’Sb 0.00009004 · dkSb2 − 0.02032 · dkSb · V’’Sb83.25
V’’sp=+
6.6405 + 0.0263 · dkSb − 0.02019 · lSb − 0.7624 · V’’Sb 0.00006683 · dkSb2 − 0.01145 · dkSb · V’’Sb59.05
Sa=+
5.1656 + 0.01222 · dkSb − 0.2179 · ln(lSb) + 0.2070 · ln(V’’Sb) 0.00003312 · dkSb273.05
Nstat=
+
12.1668 + 0.1231 · lSb − 42.9860 · V’’Sb + 17.7303 · ln(dkSb) 0.2037 · dkSb · V’’Sb92.06
K=+
+
+
9.736 + 0.6390 · dkSb + 0.09534 · lSb − 4.5180 · V’’Sb 0.8215 · ln(V’’Sb) − 0.0001315 · dkSb2 − 0.0005046 · dkSb · lSb 0.02021 · dkSb · V’’Sb70.06
Table 5. Sharpening parameters for the verification of the process model.
Table 5. Sharpening parameters for the verification of the process model.
ExperimentdkSblSbV’’Sb
meshmmµm
1150250.40
2180090.55
Publisher’s Note: MDPI stays neutral with regard to jurisdictional claims in published maps and institutional affiliations.

Share and Cite

MDPI and ACS Style

Uhlmann, E.; Muthulingam, A. Optimizing the Sharpening Process of Hybrid-Bonded Diamond Grinding Wheels by Means of a Process Model. Machines 2022, 10, 8. https://doi.org/10.3390/machines10010008

AMA Style

Uhlmann E, Muthulingam A. Optimizing the Sharpening Process of Hybrid-Bonded Diamond Grinding Wheels by Means of a Process Model. Machines. 2022; 10(1):8. https://doi.org/10.3390/machines10010008

Chicago/Turabian Style

Uhlmann, Eckart, and Arunan Muthulingam. 2022. "Optimizing the Sharpening Process of Hybrid-Bonded Diamond Grinding Wheels by Means of a Process Model" Machines 10, no. 1: 8. https://doi.org/10.3390/machines10010008

APA Style

Uhlmann, E., & Muthulingam, A. (2022). Optimizing the Sharpening Process of Hybrid-Bonded Diamond Grinding Wheels by Means of a Process Model. Machines, 10(1), 8. https://doi.org/10.3390/machines10010008

Note that from the first issue of 2016, this journal uses article numbers instead of page numbers. See further details here.

Article Metrics

Back to TopTop