Next Article in Journal
Efficient Minus and Signed Domination in Proper Interval Graphs with a Totally Unimodular Structure
Previous Article in Journal
Odd Right-End Numerical Semigroups
 
 
Font Type:
Arial Georgia Verdana
Font Size:
Aa Aa Aa
Line Spacing:
Column Width:
Background:
Article

Explicit Discrete Solution for Some Optimization Problems and Estimations with Respect to the Exact Solution

by
Julieta Bollati
1,2,
Mariela C. Olguin
3 and
Domingo A. Tarzia
1,2,*
1
Departamento de Matemática, Universidad Austral, Paraguay 1950, Rosario 2000, Argentina
2
Consejo Nacional de Investigaciones Científicas y Técnicas (CONICET), Buenos Aires C1425FQB, Argentina
3
Departamento de Matemática, Escuela de Formación Básica, Facultad de Ciencias Exactas, Ingeniería y Agrimensura, Universidad Nacional de Rosario, Pellegrini 250, Rosario 2000, Argentina
*
Author to whom correspondence should be addressed.
Axioms 2026, 15(3), 190; https://doi.org/10.3390/axioms15030190
Submission received: 19 December 2025 / Revised: 13 February 2026 / Accepted: 28 February 2026 / Published: 5 March 2026

Abstract

We consider two steady-state heat conduction systems called, S and S α , in a multidimensional bounded domain D for the Poisson equation with source energy g. In one system, we impose mixed boundary conditions (temperature b on the boundary Γ 1 , heat flux q on Γ 2 and an adiabatic condition on Γ 3 ). In the other system, the condition on Γ 1 is replaced by a convective heat flux condition with coefficient α . For each of these systems, we consider three associated optimization problems ( P i ) and ( P i α ) , i = 1 , 2 , 3 , where the variable is the source energy g, the heat flux q and the environmental temperature b, respectively. In the particular case where D is a rectangle, the explicit continuous optimization variables and the corresponding state of the systems are known. In the present work, by using a finite difference scheme, we obtain the discrete systems ( S h ) and ( S α h ) and discrete optimization problems ( P i h ) and ( P i α h ) , i = 1 , 2 , 3 , where h is the space step in the discretization. Explicit discrete solutions are found, and convergence and estimation errors results are proved when h goes to zero and when α goes to infinity. Moreover, some numerical simulations are provided in order to test theoretical results. Finally, we note that the use of a three-point finite-difference approximation for the Neumann or Robin boundary condition at the boundary improves the global order of convergence from O ( h ) to O ( h 2 ) .
MSC:
35C05; 49J20; 49K20; 49M25; 65N15; 65N30

1. Introduction

We consider a multidimensional bounded domain Ω R n whose regular boundary Γ consists of three disjoint portions Γ i with m e a s ( Γ i ) > 0 , for i = 1 , 2 , 3 . We define two stationary heat conduction problems ( S ) and ( S α ) with mixed boundary conditions which are given by (1) and (2), and by (1) and (3), respectively:
Δ u = g i n Ω ,
u | Γ 1 = b , u n | Γ 2 = q , u n | Γ 3 = 0 ,
u n | Γ 1 = α ( u b ) , u n | Γ 2 = q u n | Γ 3 = 0 ,
where g is the internal energy of the system in Ω , b > 0 the environmental temperature on Γ 1 , q is the heat flux on Γ 2 and, α > 0 is the convective heat coefficient on Γ 1 . We assume that g H = L 2 ( Ω ) , q Q = L 2 ( Γ 2 ) and b B = H 1 / 2 ( Γ 1 ) . These problems correspond to stationary Stefan problems [1,2]. Notice that mixed boundary conditions play an important role in several applications, e.g., heat conduction and electric potential problems [3].
The variational formulation of the elliptic problems ( S ) and ( S α ) , corresponding to (1), (2) and (1), (3), respectively, can be found in [2,4,5]. In general, solutions of mixed elliptic boundary value problems are not very regular [6], but there are cases in which they are regular [7,8,9]. Other theoretical optimization problems on the subject have been studied in [10,11].
We define the optimization problems ( P i ) and ( P i α ) i = 1 , 2 , 3 , associated to the systems ( S ) and ( S α ) , respectively (see [4,12,13,14,15]).
The distributed optimization problems ( P 1 ) and ( P 1 α ) on the constant internal energy g are formulated as:
find g o p R such that J 1 ( g o p ) = min g R J 1 ( g )
find g α o p R such that J 1 α ( g α o p ) = min g R J 1 α ( g )
where J 1 : R R 0 + and J 1 α : R R 0 + are given by
J 1 ( g ) = 1 2 u g z d H 2 + M 1 2 g H 2 , J 1 α ( g ) = 1 2 u α g z d H 2 + M 1 2 g H 2
with M 1 R + and z d R . For each g R , u g and u α g denote the unique solutions to the systems ( S ) and ( S α ) , respectively, for given data q R and b R . Here and throughout this section, · H denotes the standard L 2 ( Ω ) norm.
The boundary optimization problems ( P 2 ) and ( P 2 α ) on the constant heat flux q on Γ 2 are defined as:
find q o p R such that J 2 ( q o p ) = min q R J 2 ( q )
find q α o p R such that J 2 α ( q α o p ) = min q R J 2 α ( q )
where J 2 : R R 0 + and J 2 α : R R 0 + are given by
J 2 ( q ) = 1 2 u q z d H 2 + M 2 2 q Q 2 , J 2 α ( q ) = 1 2 u α q z d H 2 + M 2 2 q Q 2
with M 2 R + and z d R . For each q R , we denote with u q and u α q the unique solutions to the systems ( S ) and ( S α ) respectively, for data g R and b R . Here and throughout this section, · Q denotes the standard L 2 ( Γ 2 ) norm.
The boundary optimization problems ( P 3 ) and ( P 3 α ) on the constant temperature b in an external neighborhood of Γ 1 are set as
find b o p R such that J 3 ( b o p ) = min b R J 3 ( b )
find b α o p R such that J 3 α ( b α o p ) = min b R J 3 α ( b )
where J 3 : R R 0 + and J 3 α : R R 0 + , given by
J 3 ( b ) = 1 2 u b z d H 2 + M 3 2 b B 2 , J 3 α ( b ) = 1 2 u α b z d H 2 + M 3 2 b B 2
with M 3 R + and z d R . For every b R , the functions u b and u α b are the unique solutions of systems ( S ) and ( S α ) respectively, for data g R and q R . Here and throughout this section, · B denotes the standard norm in B = H 1 / 2 ( Γ 1 ) .
In [16], explicit solutions to the continuous systems ( S ) and ( S α ) were derived, together with the associated optimization problems ( P i ) and ( P i α ) for i = 1 , 2 , 3 , in the particular case where the domain is a rectangle. These explicit solutions serve as a rigorous benchmark for assessing the accuracy and reliability of numerical methods.
The aim of this paper is three-fold: (i) to obtain explicit solutions to the systems ( S ) and ( S α ) in a rectangular domain; (ii) to derive explicit discrete solutions for the optimization problems ( P i ) and ( P i α ) , i = 1 , 2 , 3 , using finite difference methods; and (iii) to estimate the order of convergence of the discrete solutions by comparison with the exact explicit ones.
It is worth mentioning that there are several articles available in the literature that obtain explicit discrete solutions of some optimization problems [17,18]. For example, in [19], exact formulas are derived for the solution of an optimal boundary control problem governed by the one-dimensional heat equation where the control function measures the distance of the final state from the target. In [20] a finite element approximation is applied for some kind of parabolic optimal control problems with Neumann boundary conditions. Some numerical experiments are carried out setting a rectangular domain.
This paper is organized as follows: in Section 2 we obtain the discrete explicit solution to the systems ( S ) and ( S α ) by the finite difference method. In Section 3, we obtain explicit discrete solutions to the discrete distributed optimization problems associated with ( P 1 ) and ( P 1 α ) , respectively, where the variable is the internal energy g. In Section 4, we define discrete boundary optimization problems where the variable is the heat flux q, associated with ( P 2 ) and ( P 2 α ) , respectively, obtaining the discrete explicit solutions. In the same manner, in Section 5, we derive explicit discrete solutions to the discrete boundary optimal control problems associated with ( P 3 ) and ( P 3 α ) , respectively, where the optimization variable is b. In all cases, when the step discretization goes to zero, convergence results are obtained by also estimating the order of convergence of the approximate solutions. In Section 6, we carry out some numerical simulations in order to illustrate the theoretical convergence results obtained in the previous sections. Finally, in Section 7, we analyze the order of convergence of the discrete systems associated with ( S ) and ( S α ) by considering a modified approximation of the Neumann boundary condition on Γ 2 , which leads to an improved convergence order.
The explicit continuous solutions of the systems and the associated optimal control problems in a rectangular domain are already available in the literature; in particular, they are given in [16].
The novelty of the present work can be summarized as follows: (i) the derivation of explicit discrete solutions for the state and the control variables; (ii) a rigorous analysis of the convergence of the discrete solutions, including the estimation of their orders of convergence; and (iii) an improved approximation of the boundary conditions in the discrete framework.

2. Discrete Systems for ( S ) and ( S α )

In this section we obtain the discrete explicit solutions to the systems ( S ) and ( S α ) in a rectangular domain in the plane Ω = ( 0 , x 0 ) × ( 0 , y 0 ) with x 0 > 0 and y 0 > 0 . Its boundaries Γ i for i = 1 , 2 , 3 are defined by:
Γ 1 = { ( 0 , y ) : y ( 0 , y 0 ] } , Γ 2 = { ( x 0 , y ) : y ( 0 , y 0 ] }
and
Γ 3 = { ( x , 0 ) : x [ 0 , x 0 ] } { ( x , y 0 ) : x [ 0 , x 0 ] } .
According to [16], the continuous solutions, in Ω , for the systems ( S ) and ( S α ) defined by (1), (2) and (1), (3) are given by:
u ( x , y ) = 1 2 g x 2 + ( g x 0 q ) x + b , ( x , y ) Ω u α ( x , y ) = 1 2 g x 2 + ( g x 0 q ) x + 1 α ( g x 0 q ) + b , ( x , y ) Ω .
As a consequence of the symmetry of domain Ω and the boundary conditions, the solutions u and u α of systems ( S ) and ( S α ) are independent of variable y, and therefore, we work with one-dimensional problems.
Given n N , we define:
h = x 0 n ; x i = ( i 1 ) h , for i = 1 , , n + 1 , u i h u ( x i , y ) for i = 2 , , n + 1 .
Here, n is the number of subintervals of [ 0 , x 0 ] , h is the uniform mesh size, u 1 h = b , and u i h denotes the discrete approximation of the temperature at the node x i , i = 2 , , n + 1 . Since the temperature is constant along the y-direction, u i h approximates u ( x i , y ) for any ( x i , y ) Ω .
We apply the classical finite-difference method to the system ( S ) described by Equations (1) and (2). Since the boundary condition on Γ 1 prescribes u ( 0 , y ) = b , we immediately obtain u 1 = b .
For the interior nodes, we use the classical centered second-order finite-difference approximation:
2 u x 2 ( x i , y ) u ( x i + 1 , y ) 2 u ( x i , y ) + u ( x i 1 , y ) h 2 , i = 2 , 3 , , n ,
and from the differential Equation (1), we impose that
g h 2 = u i + 1 h 2 u i h + u i 1 h , i = 2 , 3 , , n .
To incorporate the Neumann boundary condition on Γ 2 , we use a backward finite difference for the first derivative:
u x ( x n + 1 , y ) u ( x n + 1 , y ) u ( x n , y ) h ,
which, using the boundary condition u x ( x n + 1 , y ) = q , leads to assuming that
q h = u n + 1 h u n h .
Taking into account (16) and (18), the resulting discretization leads to the discrete linear system ( S h )
A v h = T h ,
where v h = ( u i h ) i = 2 , , n + 1 R n denotes the vector of unknowns, A is the associated tridiagonal coefficient matrix:
A = 2 1 0 0 1 2 1 0 0 0 1 2 1 0 0 0 0 1 2 1 0 0 0 1 2 1 0 0 1 1 n × n
and T h R n is the vector of independent terms:
T h = g h 2 b , g h 2 , , g h 2 , q h t .
The square matrix A is invertible and its inverse matrix is given by
A 1 = 1 1 1 1 1 1 2 2 2 2 1 2 3 3 3 1 2 3 ( n 1 ) n 1 1 2 3 ( n 1 ) n n × n .
Then, the linear system ( S h ) has a unique solution:
u i h = b + h 2 g ( i 1 ) n i ( i 1 ) 2 ( i 1 ) h q , i = 2 , , n + 1 .
As n = x 0 h and u 1 h = b , it follows that:
u i h = b + ( i 1 ) h ( g x 0 q ) h 2 g i ( i 1 ) 2 , i = 1 , , n + 1 .
Then, the continuous solution u ( x , y ) of system ( S ) can be approximated by the piecewise linear interpolant u h ( x , y ) obtained from the nodal values computed by the finite difference scheme. More precisely, we define
u h ( x , y ) = ( g x 0 q h g i ) x + h 2 g i ( i 1 ) 2 + b , x [ x i , x i + 1 ] , y [ 0 , y 0 ] ,
with i = 1 , , n .
The following lemma shows that the discrete solution u h provides a first-order accurate approximation of the exact solution u and its derivative with respect to x.
Lemma 1.
(a) 
For every grid point ( x i , y ) with i = 1 , , n + 1 , y [ 0 , y 0 ] , the following comparison holds:
(i) 
if g > 0 then u h ( x i , y ) u ( x i , y ) .
(ii) 
if g < 0 , then u h ( x i , y ) u ( x i , y ) .
(b) 
The approximation error satisfies first-order estimates in the H-norm, namely,
u u h H C 1 h , and u x u h x H C 1 ˜ h ,
where the constants C 1 and C 1 ˜ , which do not depend on h, are given by C 1 = x 0 | g | 2 15 x 0 y 0 and C 1 ˜ = | g | 1 3 x 0 y 0 .
Proof. 
(a)
From the functions u and u h , given by (13) and (22), respectively, we have
u ( x i , y ) u h ( x i , y ) = g h 2 ( i 1 ) 2 , i = 1 , , n + 1 .
(b)
From the definition of the norm in space H and Formulas (13) and (22) for functions u and u h , respectively, it follows that:
| | u u h | | H 2 = y 0 i = 1 n x i x i + 1 u ( x , y ) u h ( x , y ) 2 d x = 1 120 y 0 h 5 g 2 n 3 ( 1 n 2 + 5 n + 10 ) 2 15 y 0 h 5 g 2 n 3 = 2 15 h 2 g 2 x 0 3 y 0 = C 1 2 h 2 .
The norm | | u x u h x | | H can be computed analogously. □
We next apply the classical finite-difference method to the system ( S α ) defined by Equations (1) and (3). For each n N , we set h = x 0 n and denote by u α , i h u α ( x i , y ) the approximate value of u α at ( x i , y ) for i = 1 , , n + 1 .
The Robin boundary condition on Γ 1 is approximated by a classical forward finite-difference scheme, namely,
u α ( x 2 , y ) u α ( x 1 , y ) h u α x ( x 1 , y ) .
Taking into account that u α x ( x 1 , y ) = α u α ( x 1 , y ) b , we impose that
u α , 2 h u α , 1 h h = α u α , 1 h b .
Moreover, at the interior nodes we use the approximation given in (16), while the Neumann boundary condition at x n + 1 is discretized according to (17).
Then, we obtain the linear system ( S α h ) :
A α v α h = T α h ,
where the vector of unknowns v α h R n + 1 is given by v α h = ( u α , i h ) i = 1 , n + 1 , the tridiagonal coefficient matrix A α of order n + 1 is defined as:
A α = ( 1 + α h ) 1 0 0 1 2 1 1 2 1 0 0 0 0 1 1 ( n + 1 ) × ( n + 1 )
and
T α h = α b h , g h 2 , , g h 2 , q h t R n + 1 .
It can be seen that the square matrix A α is invertible and its inverse matrix is given by
A α 1 = 1 α h 1 1 1 1 1 1 ( 1 + α h ) ( 1 + α h ) ( 1 + α h ) 1 + α h 1 ( 1 + α h ) ( 1 + 2 α h ) ( 1 + 2 α h ) ( 1 + 2 α h ) 1 ( 1 + α h ) ( 1 + 2 α h ) ( 1 + ( n 1 ) α h ) 1 + ( n 1 ) α h 1 ( 1 + α h ) ( 1 + 2 α h ) ( 1 + ( n 1 ) α h ) 1 + n α h ( n + 1 ) × ( n + 1 )
Then, the linear system ( S α h ) has a unique solution:
u α , i h = ( b + g x 0 q α ) + ( i 1 ) ( g x 0 q ) h g α h g i ( i 1 ) 2 h 2 , i = 1 , , n + 1 .
As a consequence, the continuous solution u α ( x , y ) of system ( S α ) given by (13) can be approximated in Ω ¯ by the discrete function u α h ( x , y ) , defined as the piecewise linear interpolation of the nodal values obtained from the finite-difference system ( S α h ) .
u α h ( x , y ) = ( g x 0 q h g i ) x + b + g x 0 q α g h α + i 2 i 2 g h 2 ,
for x [ x i , x i + 1 ] , y [ 0 , y 0 ] , i = 1 , , n .
Notice that u α h ( x , y ) u h ( x , y ) when α for every ( x , y ) Ω ¯ .
Lemma 2.
Let u α be the solution of problem ( S α ) , where α > 0 is the convective heat transfer coefficient appearing in the Robin boundary condition, and let u α h denote its piecewise linear discrete approximation defined in (27). Then, for each mesh size h, the following error estimates hold:
u α u α h H C 1 α h , and u α x u α h x H C 1 ˜ h ,
where C 1 α = | g | x 0 x 0 y 0 2 15 + 2 3 1 α x 0 + 1 α 2 x 0 2 and C 1 ˜ = | g | 1 3 x 0 y 0 are positive constants independent of h.
Proof. 
Taking into account that u α and u α h are given by (13) and (27), respectively, we have
| | u α u α h | | H 2 = y 0 i = 1 n x i x i + 1 u α ( x , y ) u α h ( x , y ) 2 d x = y 0 g 2 i = 1 n h 5 i 2 4 h 5 i 6 + h 5 20 h 4 3 α + h 4 i α + h 3 α 2 = y 0 g 2 h 5 n 3 1 12 + 1 24 n + 1 120 n 2 + h 4 n 2 α 1 2 + 1 6 n + h 3 n α 2 x 0 y 0 g 2 h 2 2 15 x 0 2 + 2 3 x 0 α + 1 α 2 = C 1 α 2 h 2 .
In addition, the partial derivatives with respect to x of functions u α and u α h are given by:
u α x ( x , y ) = u x ( x , y ) = g x + g x 0 q , ( x , y ) Ω
and
u α h x ( x , y ) = u h x ( x , y ) = g x 0 q h g i , x [ x i , x i + 1 ] , y [ 0 , y 0 ] .
Then, the bound for u α x u α h x H coincides with the bound for u x u h x H , obtained in Lemma 1. □
Remark 1.
Notice that C 1 α C 1 when α , where C 1 is the constant appearing in Lemma 1. This shows that the error bound associated with the convective boundary condition converges to the one obtained for the Dirichlet problem as α .

3. Distributed Optimization Problem with Variable g

In this section we obtain discrete optimal solutions to the continuous optimization problem ( P 1 ) and ( P 1 α ) in the rectangular domain Ω for the case where the optimization variable is g.

3.1. Discrete Problem ( P 1 h ) Associated with ( P 1 )

Taking into account that b , g , q and the desired state z d in (6) are constants, according to [16], the continuous quadratic functional cost for problem ( P 1 ) is explicitly given by:
J 1 ( g ) = 1 2 x 0 3 y 0 q 2 g 2 x 0 2 q 2 2 15 + M 1 x 0 4 + g x 0 q 5 12 + 2 3 ( b z d ) q x 0 + 1 3 ( b z d ) q x 0 + ( b z d ) 2 q 2 x 0 2 .
Then, the solution to the distributed optimization problem ( P 1 ) is g o p defined by:
g o p = q 3 x 0 5 8 ( b z d ) q x 0 2 15 + M 1 x 0 4
and the continuous optimization state when g = g o p is
u g o p ( x , y ) = 1 2 g o p x 2 + ( g o p x 0 q ) x + b .
We define the discrete distributed optimization problem ( P 1 h ) for the constant internal energy g as
find g o p h R such that J 1 h ( g o p h ) = min g R J 1 h ( g )
where the discrete cost function J 1 h is given by:
J 1 h ( g ) = 1 2 u g h z d H 2 + 1 2 M 1 g H 2 .
Here, u g h denotes the discrete approximation corresponding to the internal energy g (see (22)), h is the discretization step defined in (14), z d is the desired target, and M 1 > 0 is a regularization parameter.
Taking into account that the variable g is constant results in:
J 1 h ( g ) = 1 2 y 0 M 1 g 2 x 0 + i = 1 n x i x i + 1 u g h ( x , y ) z d 2 d x
and from algebraic work, it follows that
J 1 h ( g ) = 1 2 x 0 3 y 0 q 2 { g 2 x 0 2 q 2 2 15 + M 1 x 0 4 + 1 180 h 4 x 0 4 + 1 24 h 3 x 0 3 + 1 36 h 2 x 0 2 5 24 h x 0 + g x 0 q 5 12 + 2 3 ( b z d ) q x 0 + h x 0 1 3 + 1 12 h x 0 h x 0 ( b z d ) q x 0 1 2 + 1 6 h x 0 + 1 3 ( b z d ) q x 0 + ( b z d ) 2 q 2 x 0 2 } .
Lemma 3.
For any given internal energy g R , the following estimate holds for the discrete cost functional J 1 h :
| J 1 ( g ) J 1 h ( g ) | C 2 h
where C 2 = 1 2 x 0 3 y 0 g q | 5 24 g x 0 q + 1 3 1 2 ( b z d ) q x 0 | is a constant independent of h.
Proof. 
From (28) and (32) we get
J 1 h ( g ) J 1 ( g ) = 1 2 x 0 3 y 0 q 2 { g 2 x 0 2 q 2 1 180 h 4 x 0 4 + 1 24 h 3 x 0 3 + 1 36 h 2 x 0 2 5 24 h x 0 + g h q 1 3 + 1 12 h x 0 ( b z d ) q x 0 1 2 + 1 6 h x 0 } 1 2 x 0 3 y 0 q 2 5 24 g 2 x 0 q 2 + g q 1 3 1 2 ( b z d ) q x 0 h = 1 2 x 0 3 y 0 g q 5 24 g x 0 q + 1 3 1 2 ( b z d ) q x 0 h .
Therefore, we obtain (33). □
From the optimality condition we obtain the following result:
Lemma 4.
(a) 
The explicit expression for the optimal variable g o p h is given by:
g o p h = q 3 x 0 A 1 + h x 0 A 2 + h 2 x 0 2 A 3 A 4 + A 5 ( h ) ,
where
A 1 = 5 8 b z d q x 0 , A 4 = 2 15 + M 1 x 0 4 , A 2 = 3 ( b z d ) 4 q x 0 1 2 , A 5 ( h ) = h 12 x 0 h 3 15 x 0 3 + h 2 2 x 0 2 + h 3 x 0 5 2 . A 3 = b z d 4 q x 0 1 8 ,
(b) 
In addition, the following error estimates hold:
| g o p g o p h | C 3 h ,
J 1 ( g o p ) J 1 h ( g o p h ) C 4 h ,
where C 3 and C 4 do not depend on h.
Proof. 
(a)
It follows immediately from the expression of the derivative of J 1 h with respect to g.
(b)
Rewriting g o p given by (29) as: g o p = q 3 x 0 A 1 A 4 , it follows that:
g o p h g o p = q 3 x 0 A 1 A 5 ( h ) + h x 0 A 2 A 4 + h 2 x 0 2 A 3 A 4 A 4 2 + A 4 A 5 ( h ) q 3 x 0 2 A 2 A 4 + 5 24 A 1 A 4 2 h + o ( h 2 ) ,
and we obtain (36) with C 3 = | C 3 | where
C 3 = q 3 x 0 2 A 2 A 4 + 5 24 A 1 A 4 2 .
From the expressions for J 1 ( g ) at g = g o p and J 1 h ( g ) at g = g o p h , it follows that:
J 1 ( g o p ) J 1 h ( g o p h ) = 1 2 x 0 3 y 0 q 2 [ x 0 2 q 2 A 4 ( g o p 2 ( g o p h ) 2 ) 2 3 x 0 q A 1 ( g o p g o p h ) ( g o p h ) 2 x 0 2 q 2 A 5 ( h ) + 2 3 g o p h h q A 2 + h x 0 A 3 ] .
By using (34) and (36) we get (37) where
C 4 = 1 2 x 0 2 y 0 q 2 2 A 4 C 3 g o p x 0 3 q 2 + 5 24 g o p 2 x 0 2 q 2 + 2 3 A 1 C 3 x 0 2 q + 2 3 A 2 g o p x 0 q = 1 2 x 0 2 y 0 q 2 A 1 ( 5 A 1 + 48 A 2 A 4 ) 216 A 4 2 .
Lemma 5.
Let us consider u g o p the solution of the system ( S ) given by (1) and (2) for g = g o p and u g o p h h the discrete solution defined by (22) for h > 0 and for g = g o p h , where g o p h is the optimal value of the problem ( P 1 h ) given by (34). We have:
( a ) u g o p u g o p h h H C 5 h , ( b ) u g o p x u g o p h h x H C 6 h
where C 5 and C 6 are positive constants that are independent of parameter h.
Proof. 
(a)
From the definition of the norm in H, we obtain
| | u g o p u g o p h h | | H 2 = y 0 i = 1 n x i x i + 1 u g o p ( x , y ) u g o p h h ( x , y ) 2 d x = y 0 i = 1 n x i x i + 1 1 2 g o p x 2 + x 0 x ( g o p g o p h ) + h g o p h ( i x h i ( i 1 ) 2 ) 2 d x = 1 120 x 0 3 y 0 g o p 2 10 25 x 0 C 3 g o p + 16 x 0 C 3 g o p 2 h 2 + o ( h 3 ) .
where C 3 is given by (38). Therefore, it follows that
u g o p u g o p h h H C 5 h ,
with
C 5 = | g o p | 1 120 x 0 3 y 0 10 25 x 0 C 3 g o p + 16 x 0 C 3 g o p 2 .
(b)
We have
u g o p x u g o p h h x H 2 = y 0 i = 1 n x i x i + 1 g o p x + h g o p h i + x 0 ( g o p g o p h ) 2 d x = x 0 y 0 6 2 g o p 2 x 0 2 + g o p g o p h ( h 2 + 3 h x 0 4 x 0 2 ) + ( g o p h ) 2 ( h 2 3 h x 0 + 2 x 0 2 ) = x 0 y 0 6 2 x 0 2 ( g o p g o p h ) 2 + 3 h x 0 g o p h ( g o p g o p h ) + h 2 g o p h ( g o p + g o p h ) .
Taking into account Lemma 4, we get
u g o p x u g o p h h x H 2 = x 0 y 0 6 g o p 2 2 + 3 x 0 C 3 g o p + 2 x 0 C 3 g o p 2 h 2 + o ( h 3 ) .
Then,
u g o p x u g o p h h x H C 6 h ,
with
C 6 = | g o p | x 0 y 0 6 2 3 x 0 C 3 g o p + 2 x 0 C 3 g o p 2 ,
where C 3 is given by (38).

3.2. Discrete Problem ( P 1 α h ) Associated with ( P 1 α )

From [16], we know that the continuous quadratic functional cost in (6) for the optimization problem ( P 1 α ) is explicitly given by:
J 1 α ( g ) = J 1 ( g ) + x 0 2 y 0 q 2 2 α g 2 x 0 2 q 2 2 3 + 1 α x 0 + g x 0 q 5 3 2 α x 0 + 2 ( b z d ) q x 0 + 1 + 1 α x 0 2 ( b z d ) q x 0 } ,
where J 1 is defined by (28). Moreover, the continuous optimal distributed variable denoted by g α o p is given by
g α o p = q 3 x 0 5 8 ( b z d ) q x 0 + 5 2 α x 0 + 3 α 2 x 0 2 3 ( b z d ) α q x 0 2 2 15 + M 1 x 0 4 + 2 3 α x 0 + 1 α 2 x 0 2 .
The continuous associated state is established by:
u α g α o p ( x , y ) = 1 2 g α o p x 2 + ( g α o p x 0 q ) x + 1 α ( g α o p x 0 q ) + b .
We define the discrete cost function as
J 1 α h ( g ) = 1 2 u α g h z d H 2 + 1 2 M 1 g H 2 ,
where function u α g h , given in (27), denotes the discrete approximation corresponding to the internal energy g, h > 0 is the discretization step, z d is the desired target, and M 1 > 0 is a constant parameter. We set the following discrete optimization problem ( P 1 α h ) on the constant internal energy g as
find g α o p h R such that J 1 α h ( g α o p h ) = min g R J 1 α h ( g ) .
The discrete cost function J 1 α h is explicitly given by
J 1 α h ( g ) = J 1 α ( g ) + 1 2 x 0 3 y 0 g q h { g x 0 q [ 5 24 + 1 36 h x 0 + 1 24 h 2 x 0 2 + 1 180 h 3 x 0 3 + 1 α x 0 7 6 + 1 3 h x 0 + 1 6 h 2 x 0 2 + 1 α 2 x 0 2 2 + h x 0 ] + 1 3 + 1 12 h x 0 + 1 α x 0 3 2 + 1 6 h x 0 + 2 α 2 x 0 2 + ( b z d ) q x 0 1 2 1 6 h x 0 2 α x 0 } ,
where J 1 α is given by (39).
Lemma 6.
For g H , h > 0 and α > 0 , the following estimate holds
| J 1 α h ( g ) J 1 α ( g ) | C 2 α h
where
C 2 α = 1 2 x 0 3 y 0 | g | | g x 0 q 5 24 7 6 1 α x 0 2 α 2 x 0 2 + 1 3 + 3 2 1 α x 0 + 2 α 2 x 0 2 + ( b z d ) q x 0 1 2 2 α x 0 | ,
is a constant independent of h .
Proof. 
It follows immediately from expression (43). □
Remark 2.
C 2 α C 2 when α , where C 2 is given in Lemma 3.
Lemma 7.
(a) 
The explicit expression for the optimal control g α o p h is given by:
g α o p h = q 3 x 0 A 1 α + h x 0 A 2 α + h 2 x 0 2 A 3 α A 4 α + A 5 α ( h ) ,
where
A 1 α = 5 8 b z d q x 0 + 1 α x 0 5 2 + 3 α x 0 3 ( b z d ) q x 0 , A 2 α = 3 ( b z d ) 4 q x 0 1 2 + 1 α x 0 9 4 3 α x 0 + 3 ( b z d ) q x 0 , A 3 α = b z d 4 q x 0 1 8 1 4 α x 0 , A 4 α = 2 15 + M 1 x 0 4 + 1 α x 0 2 3 + 1 α x 0 , A 5 α ( h ) = h 12 x 0 h 3 15 x 0 3 + h 2 2 x 0 2 + h 3 x 0 5 2 + h α x 0 2 7 6 + h 3 x 0 + h 2 6 x 0 2 + 1 α x 0 2 + h x 0 .
(b) 
In addition, the following error estimates hold:
| g α o p g α o p h | C 3 α h ,
J 1 α ( g α o p ) J 1 α h ( g α o p h ) C 4 α h ,
where C 3 α and C 4 α do not depend on h.
Proof. 
(a)
It follows immediately from the fact that
J 1 α h ( g ) = 1 2 x 0 3 y 0 q 2 2 g x 0 2 q 2 ( A 4 α + A 5 α ( h ) ) 2 3 x 0 q A 1 α + h x 0 A 2 α + h 2 x 0 2 A 3 α .
(b)
Notice that g α o p given by (40) can be rewriten as g α o p = q 3 x 0 A 1 α A 4 α . Then,
g α o p h g α o p = q 3 x 0 A 1 α A 5 α ( h ) + h x 0 A 2 α A 4 α + h 2 x 0 2 A 3 α A 4 α A 4 α 2 + A 4 α A 5 α ( h ) q 3 x 0 2 A 2 α A 4 α + 5 24 A 1 α A 4 α 2 h + o ( h 2 ) .
and we obtain (46) with C 3 α = | C 3 α | , where
C 3 α = q 3 x 0 2 A 2 α A 4 α + 5 24 + 7 6 α x 0 A 1 α A 4 α 2 .
Following Lemma 4 we obtain Formula (47) with
C 4 α = 1 2 x 0 2 y 0 q 2 | 2 A 4 α C 3 α g α o p x 0 3 q 2 + 5 24 g α o p 2 x 0 2 q 2 + 7 6 g α o p 2 x 0 α q 2 + 2 3 A 1 α C 3 α x 0 2 q + 2 3 A 2 α g α o p x 0 q | .
Remark 3.
When α , we have A i α A i , where A i and A i α are given by (35) and (45), respectively, for i = 1 , 2 , , 5 . As an immediate consequence it follows that C 3 α C 3 and C 4 α C 4 when α , where C 3 and C 4 are defined in Lemma 4.
Lemma 8.
Let us consider u α g α o p , the function given by (13) for g = g α o p where g α o p is the optimal variable of problem ( P 1 α ) given by (40), and u α g α o p h h , the function defined by (27) for h > 0 where g = g α o p h is the optimal control of ( P 1 α h ) given by (44). We have:
( a ) u α g α o p u α g α o p h h H C 5 α h , ( b ) u α g α o p x u α g α o p h h x H C 6 α h ,
where C 5 α and C 6 α are positive constants independent of parameter h .
Proof. 
Working algebraically we can obtain
C 5 α = | g α o p | { 1 120 x 0 3 y 0 [ 10 25 x 0 C 3 α g o p + 16 x 0 C 3 α g o p 2 + 1 α x 0 60 + 120 α x 0 240 C 3 α α g α o p + 120 C 3 α x 0 α g α o p 2 140 C 3 α x 0 g α o p + 80 C 3 α x 0 2 g α o p 2 ] } 1 / 2 ,
and
C 6 α = | g α o p | x 0 y 0 6 2 3 x 0 C 3 α g α o p + 2 x 0 C 3 α g α o p 2 ,
where C 3 α is given by (48). □
Remark 4.
C 5 α C 5 and C 6 α C 6 when α , where C 5 and C 6 are given in Lemma 5.
Remark 5.
In [21] the double convergence when ( h , α ) ( 0 , + ) of optimal control problem ( P 1 α h ) was studied, obtaining a commutative diagram that relates the continuous and discrete optimal control problems ( P 1 ) , ( P 1 α ) , ( P 1 h ) and ( P 1 α h ) as in the following scheme:
Axioms 15 00190 i001

4. Boundary Optimization Problem with Variable q

4.1. Discrete Problem ( P 2 h ) Associated with ( P 2 )

Under the same considerations given in Section 3.1 and taking into account Formula (9), for a given q Q , we obtain the following quadratic cost function:
J 2 ( q ) = x 0 y 0 2 { q 2 x 0 2 1 3 + M 2 x 0 3 + q x 0 5 12 g x 0 2 ( b z d ) + 2 15 g 2 x 0 4 + ( b z d ) 2 + 2 3 g x 0 2 ( b z d ) } .
Then, the boundary optimal control of problem ( P 2 ) , called q o p , and the associated continuous optimal state are given by:
q o p = 5 12 g x 0 2 + ( b z d ) 2 x 0 ( 1 3 + M 2 x 0 3 ) , u q o p ( x , y ) = 1 2 g x 2 + ( g x 0 q o p ) x + b .
Associated with ( P 2 ) , we define the approximate discrete distributed optimal control problem ( P 2 h ) on the constant heat flux q as
find q o p h R such that J 2 h ( q o p h ) = min q R J 2 h ( q )
where the discrete cost function J 2 h is defined by
J 2 h ( q ) = 1 2 u q h z d H 2 + 1 2 M 2 q Q 2 ,
where u q h , given in (22), denotes the discrete approximation for a fixed constant flux q, h is the spatial step, and z d (the desired state). From the definition of the norm over Q, it results that:
J 2 h ( q ) = 1 2 y 0 M 2 q 2 x 0 + i = 1 n x i x i + 1 [ u q h ( x , y ) z d ] 2 d x
and working algebraically, we get
J 2 h ( q ) = J 2 ( q ) + x 0 y 0 2 { h g x 0 1 3 q x 0 5 24 g x 0 2 1 2 ( b z d ) + h 2 g 1 36 x 0 2 g 1 6 ( b z d ) + 1 12 q x 0 + 1 24 h 3 g 2 x 0 + 1 180 h 4 g 2 } .
Lemma 9.
Given q Q and h > 0 , we have
| J 2 h ( q ) J 2 ( q ) | C 7 h ,
where C 7 = 1 2 x 0 2 y 0 | g | 1 3 q x 0 5 24 g x 0 2 1 2 ( b z d ) is a constant independent of h .
Proof. 
It follows immediately from expression (51) for J 2 h . □
Lemma 10.
Let us consider h > 0 .
(a) 
The explicit expression for the optimal variable q o p h is given by:
q o p h = q o p B 1 g h 6 B 2 g h 2 24 x 0 ,
with B 1 = B 2 = 1 3 + M 2 x 0 3 1 .
(b) 
The following error estimates hold:
| q o p h q o p | C 8 h ,
J 2 h ( q o p h ) J 2 ( q o p ) C 9 h ,
where C 8 and C 9 are constants independent of h.
Proof. 
(a)
From the expression (51) for J 2 h , we have
d d q J 2 h ( q ) = 1 2 x 0 2 y 0 2 x 0 q 1 3 + M 2 x 0 3 5 12 g x 0 2 ( b z d ) + 1 3 g x 0 h + 1 12 g h 2 .
Therefore,
q o p h = 5 12 g x 0 2 + ( b z d ) 1 12 g h 2 1 3 g x 0 h 2 x 0 ( 1 3 + M 2 x 0 3 ) .
Taking into account that q o p is given by (50), we obtain Formula (53).
(b)
On one hand, expression (54) is a direct consequence of expression (53) where C 8 = | g B 1 6 | .
On the other hand, taking into account Formula (51) for J 2 h , it follows that
J 2 h ( q o p h ) J 2 ( q o p ) = J 2 ( q o p h ) J 2 ( q o p ) + x 0 2 y 0 2 h g 1 3 q o p h x 0 5 24 g x 0 2 1 2 ( b z d ) + o ( h 2 ) .
From the definition of J 2 given by (49) and the explicit expression (53) for q o p h , we get
J 2 ( q o p h ) J 2 ( q o p ) = x 0 2 y 0 2 { x 0 B 1 ( ( q o p h ) 2 q o p 2 ) + ( q o p h q o p ) 5 12 g x 0 2 ( b z d ) } = x 0 2 y 0 2 ( q o p h q o p ) x 0 B 1 ( q o p h + q o p ) 5 12 g x 0 2 ( b z d ) = x 0 2 y 0 12 g h B 1 2 x 0 B 1 q o p + 5 12 g x 0 2 + b z d + o ( h 2 ) .
Taking into account (56) and (57), we obtain estimate (55) with
C 9 = | g | x 0 2 y 0 2 B 1 6 2 x 0 B 1 q o p + 5 12 g x 0 2 + b z d + 1 3 q o p x 0 5 24 g x 0 2 1 2 ( b z d ) .
Lemma 11.
Consider u q o p , the solution of (1) and (2) for q = q o p , and u q o p h h , the discrete solution given by (22) for each h > 0 where q = q o p h is the optimal variable of the problem ( P 2 h ) given by (53). Then, we have:
( a ) u q o p h h u q o p H C 10 h , ( b ) u q o p h h x u q o p x H C 11 h ,
where C 10 and C 11 do not depend on the parameter h .
Proof. 
(a)
From the definition of u and u h given by (13) and (22), respectively, it follows for i = 1 , , n that
u q o p h h ( x , y ) u q o p ( x , y ) = 1 2 g x 2 ( q o p h q o p + g i h ) x + g i 2 i 2 h 2 , = 1 2 g x 2 + h g x B 1 6 i + h 2 g B 1 24 x x 0 + i ( i 1 ) 2 , x [ x i , x i + 1 ] .
Then,
u q o p h h u q o p H 2 = y 0 i = 1 n x i x i + 1 u q o p h h ( x ) u q o p ( x ) 2 d x = x 0 y 0 g 2 [ 1 108 ( B 1 3 ) 2 h 2 x 0 2 + 1 216 h 3 x 0 ( B 1 3 ) 2 + 1 8640 h 4 ( 72 30 B 1 + 5 B 1 2 ) ] .
Therefore, we get Formula (58) (a) with C 10 = | g ( B 1 3 ) | x 0 x 0 y 0 108 .
(b)
In the same manner, we get
u q o p h h x u q o p x H 2 = y 0 i = 1 n x i x i + 1 g x ( q o p h q o p ) h g i 2 d x = y 0 g 2 1 36 ( 12 6 B 1 + B 1 2 ) h 2 x 0 + 1 72 ( B 1 3 ) B 1 h 3 + 1 576 B 1 2 h 4 x 0 .
Then, we get (58) (b) with
C 11 = | g | 6 x 0 y 0 ( 12 6 B 1 + B 1 2 ) .

4.2. Discrete Problem ( P 2 α h ) Associated with ( P 2 α )

If we suppose that the desired state z d is constant in (9), the quadratic cost function J 2 α for optimal control problem ( P 2 α ) is explicitly given by:
J 2 α ( q ) = x 0 y 0 2 [ q 2 x 0 2 ( D 1 α + M 2 x 0 3 ) + q x 0 D 2 α g x 0 2 + D 3 α ( b z d ) + D 4 α g 2 x 0 4 + D 5 α ( b z d ) 2 + D 6 α g x 0 2 ( b z d ) ] ,
where
D 1 α = 1 3 + 1 α x 0 + 1 α 2 x 0 2 , D 2 α = 5 12 5 3 α x 0 2 α 2 x 0 2 , D 3 α = 1 2 α x 0 , D 4 α = 2 15 + 2 3 α x 0 + 1 α 2 x 0 2 , D 5 α = 1 , D 6 α = 2 3 + 2 α x 0 .
Then, the continuous boundary optimization control, called q α o p , and the associated state are:
q α o p = D 2 α g x 0 2 + D 3 α ( b z d ) 2 x 0 D 1 α + M 2 x 0 3 , u α q α o p ( x , y ) = 1 2 g x 2 + ( g x 0 q α o p ) x + 1 α ( g x 0 q α o p ) + b .
Remark 6.
Notice that J 2 α ( q ) J 2 ( q ) for all q Q and q α o p q o p when α .
Define the discrete cost function as:
J 2 α h ( q ) = 1 2 u α q h z d H 2 + 1 2 M 2 q Q 2 ,
where u α q h is the solution of ( S α h ) given in (27) when q is fixed. We set the following discrete optimization problem ( P 2 α h ) on the constant heat flux q as
find q α o p h R such that J 2 α h ( q α o p h ) = min q R J 2 α h ( q ) .
Working algebraically, the cost function J 2 α h can be written explicitly as:
J 2 α h ( q ) = J 2 α ( q ) + 1 2 x 0 y 0 g h { q x 0 2 3 5 g x 0 3 24 ( b z d ) x 0 2 + 3 x 0 q 2 α 7 g x 0 2 6 α 2 ( b z d ) α + 2 ( q g x 0 ) α 2 + h x 0 2 g 36 ( b z d ) 6 + q x 0 12 + 2 g x 0 + q 6 α + g α 2 + h 2 g x 0 24 + 1 6 α + 1 180 g h 3 } .
Lemma 12.
For each q Q and h > 0 , we have:
| J 2 α h ( q ) J 2 α ( q ) | C 7 α h ,
with
C 7 α = 1 2 x 0 2 y 0 g q x 0 3 5 g x 0 2 24 ( b z d ) 2 + 3 q 2 α 7 g x 0 6 α 2 ( b z d ) x 0 α + 2 ( q g x 0 ) x 0 α 2 ,
a constant independent of h .
Proof. 
It follows immediately from expression (64). □
Lemma 13.
Let us consider h > 0 .
(a) 
The explicit expression for optimal control q α o p h is given by:
q α o p h = q α o p , B 1 α g h 6 B 2 α g h 2 24 x 0
with
B 1 α = 1 + 9 2 α x 0 + 6 α 2 x 0 2 D 1 α + M 2 x 0 3 1 , B 2 α = 1 2 α x 0 D 1 α + M 2 x 0 3 1 .
(b) 
The following error estimates hold:
| q α o p h q α o p | C 8 α h ,
J 2 α h ( q α o p h ) J 2 α ( q α o p ) C 9 α h ,
where C 8 α and C 9 α do not depend on h.
Proof. 
(a)
From the derivative of the control function J 2 α h given by
d d q J 2 α h ( q ) = d d q J 2 α ( q ) + 1 2 x 0 y 0 g h x 0 2 3 + 3 x 0 2 α + 2 α 2 + h x 0 12 + 1 6 α = x 0 y 0 2 { 2 q x 0 2 D 1 α + M 2 x 0 3 + x 0 D 2 α g x 0 2 + D 3 α ( b z d ) + g h x 0 2 3 + 3 x 0 2 α + 2 α 2 + h x 0 12 + 1 6 α } ,
it follows that
q α o p h = g h x 0 2 3 + 3 x 0 2 α + 2 α 2 g h 2 x 0 12 + 1 6 α x 0 ( D 2 α g x 0 2 + D 3 α ( b z d ) ) 2 x 0 2 D 1 α + M 2 x 0 3 .
Working algebraically, we get Formula (66).
(b)
Estimate (67) follows straightforwardly from (66) with
C 8 α = g B 1 α 6 .
From Formula (64) we obtain that
J 2 α h ( q α o p h ) J 2 α ( q α o p ) = J 2 α ( q α o p h ) J 2 α ( q α o p ) + 1 2 x 0 y 0 g h ( q α o p h x 0 2 3 5 g x 0 3 24 ( b z d ) x 0 2 + 3 x 0 q α o p h 2 α 7 g x 0 2 6 α 2 ( b z d ) α + 2 ( q α o p h g x 0 ) α 2 ) + o ( h 2 ) .
Moreover, taking into account the explicit expression for J 2 α h given by (64) and Formula (66), it follows that
J 2 α h ( q α o p h ) J 2 α ( q α o p ) = x 0 2 y 0 2 q α o p h q α o p [ q α o p h + q α o p x 0 D 1 α + M 2 x 0 3 + D 2 α g x 0 2 + D 3 α ( b z d ) ] = x 0 2 y 0 12 g B 1 α 2 q 1 x 0 D 1 α + M 2 x 0 3 + D 2 α g x 0 2 + D 3 α ( b z d ) + o ( h 2 ) .
Combining (69) and (70) we get estimate (68) with
C 9 α = x 0 2 y 0 2 | g | | B 1 α 6 2 q α o p x 0 D 1 α + M 2 x 0 3 + D 2 α g x 0 2 + D 3 α ( b z d ) + q α o p x 0 3 5 g x 0 2 24 ( b z d ) 2 + 3 q α o p 2 α 7 g x 0 6 α 2 ( b z d ) α x 0 + 2 ( q α o p g x 0 ) α 2 x 0 | .
Lemma 14.
Let us consider u q α o p the solution of (1) and (3) for q = q α o p and u α q α o p h h the discrete solution given in (27) for h > 0 and q = q α o p h . Then, we have:
( a ) u α q α o p h h u α q α o p H C 10 α h , ( b ) u α q α o p h h x u α q α o p x H C 11 α h ,
Proof. 
Similarly to what was done in Lemma 12, we obtain
C 10 α = | g | x 0 x 0 y 0 108 B 1 α 2 3 α 2 x 0 2 + 3 α x 0 + 1 + 9 12 α 2 x 0 2 + 6 α x 0 + 1 3 B 1 α 12 α 2 x 0 2 + 9 α x 0 + 2
C 11 α = | g | 6 x 0 y 0 ( 12 6 B 1 α + B 1 α 2 ) .
Remark 7.
The constants verify that C i α C i , when α , for each i = 7 , , 11 .
Remark 8.
The double convergence when ( h , α ) ( 0 , + ) of the optimal control of problem ( P 2 α h ) holds. The relationship among optimal control problems ( P 2 ) , ( P 2 α ) , ( P 2 h ) and ( P 2 α h ) is given by the following diagram:
Axioms 15 00190 i002

5. Boundary Optimization Problem with Variable b

5.1. Discrete Problem ( P 3 h ) Associated with ( P 3 )

In this section we consider the boundary optimal control problem ( P 3 ) given by (10). Taking into account expression (12), for a given constant b, we get
J 3 ( b ) = x 0 y 0 2 { b 2 1 + M 3 x 0 + b 2 g x 0 2 3 q x 0 2 z d + 2 g 2 x 0 4 15 5 g q x 0 3 12 + x 0 2 3 ( q 2 2 g z d ) + z d ( z d + q x 0 ) } .
Then, the boundary optimal variable of problem ( P 3 ) , called b o p , and the associated continuous optimal state, are given respectively by:
b o p = g x 0 2 3 + q x 0 2 + z d 1 + M x 0 , u b o p = 1 2 g x 2 + ( g x 0 q ) x + b o p .
We define the discrete optimal control problem ( P 3 h ) on the constant temperature b as
find b o p h R such that J 3 h ( b o p h ) = min b R J 3 h ( b )
where the discrete cost function J 3 h ( b ) is defined as:
J 3 h ( b ) = 1 2 u b h z d H 2 + 1 2 M 3 b B 2 ,
where u b h is given in (22) for a fixed constant b, h is the spatial step, and z d (the desired state) is constant.
Notice that the cost function J 3 h can be explicitly written as:
J 3 h ( b ) = J 3 ( b ) + x 0 y 0 g 2 { b h x 0 2 + h 6 + h x 0 1 3 q x 0 5 24 g x 0 2 + z d 2 + 1 6 h 2 q x 0 2 + 1 6 g x 0 2 + z d + 1 24 g h 3 x 0 + 1 180 g h 4 } .
Lemma 15.
Let b R and h > 0 ; we have:
| J 3 h ( b ) J 3 ( b ) | C 12 h ,
where
C 12 = 1 2 x 0 2 y 0 | g | b 2 + q x 0 3 5 g x 0 2 24 + z d 2 ,
does not depend on h .
Proof. 
It follows from expression (74) for J 3 h . □
Lemma 16.
Let us consider h > 0 .
(a) 
The explicit expression for the optimal variable b o p h is given by:
b o p h = b o p + E 1 g x 0 h 1 + h 3 x 0 , E 1 = 1 4 1 + M 3 x 0 .
(b) 
The following error estimates hold:
| b o p h b o p | C 13 h ,
J 3 h ( b o p h ) J 3 ( b o p ) C 14 h ,
where C 13 and C 14 do not depend on h.
Proof. 
(a)
According to (74) we have
d d b J 3 h ( b ) = d d b J 3 ( b ) x 0 y 0 2 g b h x 0 2 + h 6 .
Then, Formula (76) for b o p h follows immediately.
(b)
Estimate (77) is a direct consequence of (76) with C 13 = | E 1 g x 0 | .
Moreover, taking into account Formulas (72) and (74) for J 3 and J 3 h and Formulas (73) and (76) for b o p and b o p h , respectively, it follows that
J 3 h ( b o p h ) J 3 ( b o p ) = J 3 ( b o p h ) J 3 ( b o p ) + x 0 2 y 0 g 2 b o p h 2 + 1 3 q x 0 5 24 g x 0 2 + z d 2 h + o ( h 2 ) .
In addition, the expression J 3 ( b o p h ) J 3 ( b o p ) can be rewritten as
J 3 ( b o p h ) J 3 ( b o p ) = x 0 2 y 0 g 2 E 1 2 b o p 1 + M 3 x 0 + 2 3 g x 0 2 q x 0 2 z d h + o ( h 2 ) .
Therefore, it follows that estimate (16) is given by
C 14 = x 0 2 y 0 g 2 E 1 2 b o p 1 + M 3 x 0 + 2 3 g x 0 2 q x 0 2 z d b o p 2 + q x 0 3 5 g x 0 2 24 + z d 2 .
Lemma 17.
Let us consider u b o p , the solution of (1), (3) for b = b o p , and u b o p h h , the discrete solution given in (27) for h > 0 and b = b o p h . Then, we have:
( a ) u b o p h h u b o p H C 15 h , ( b ) u b o p h h x u b o p x H C 16 h ,
where C 15 and C 16 are constants that do not depend on h.
Proof. 
Working algebraically, we obtain
u b o p h h u b o p H 2 = x 0 3 y 0 g 2 2 2 E 1 2 E 1 + 1 6 h 2 + o ( h 3 ) .
Then, we obtain estimate ( a ) with
C 15 = x 0 | g | x 0 y 0 2 2 E 1 2 E 1 + 1 6 .
In a similar manner, we get that estimate ( b ) holds with
C 16 = | g | x 0 y 0 2 .

5.2. Discrete Problem ( P 3 α h ) Associated with ( P 3 α )

From [16], we know that the continuous quadratic functional cost in (6) for the optimization problem ( P 3 α ) is explicitly given by:
J 3 α ( b ) = J 3 ( b ) + x 0 y 0 2 1 3 α ( q g x 0 ) ( 6 b + 3 q x 0 2 g x 0 2 + 6 z d ) + 1 α 2 ( q g x 0 ) 2
where J 3 is defined by (72). Moreover, the continuous optimal boundary control b α o p is given by
b α o p = b o p g x 0 q α ( 1 + M 3 x 0 ) .
The continuous associated state is established by:
u b α o p ( x , y ) = 1 2 g x 2 + ( g x 0 q ) x + 1 α ( g x 0 q ) + b α o p .
Define the discrete cost function as:
J 3 α h ( b ) = 1 2 u α b h z d H 2 + 1 2 M 3 b B 2
where u α b h is the solution of ( S α h ) given in (27) for a fixed b. We set the following discrete optimization problem ( P 3 α h ) as
find b α o p h R such that J 3 α h ( b α o p h ) = min b R J 3 α h ( b ) .
Working algebraically leads us to write J 3 α h as follows:
J 3 α h ( b ) = J 3 α ( b ) + 1 2 x 0 y 0 g h { b x 0 2 + 2 α + h 6 + g 5 x 0 3 24 7 x 0 2 6 α 2 x 0 α 2 + q x 0 2 3 + 3 x 0 2 α + 2 α 2 + z d x 0 2 + 2 α + h g x 0 2 36 + x 0 3 α + 1 α 2 + q x 0 12 + 1 6 α + z d 6 + h 2 g x 0 24 + 1 6 α + h 3 g 180 } .
Lemma 18.
For b B and h > 0 , we have
| J 3 α h ( b ) J 3 α ( b ) | C 12 α h ,
with
C 12 α = x 0 y 0 2 | g | b x 0 2 + 2 α + h 6 + g 5 x 0 3 24 7 x 0 2 6 α 2 x 0 α 2 + q x 0 2 3 + 3 x 0 2 α + 2 α 2 + z d x 0 2 + 2 α .
Proof. 
It arises immediately from (85). □
Lemma 19.
Let us consider h > 0 .
(a) 
The explicit expression for optimal control b α o p h is given by:
b α o p h = b α o p + E 1 g x 0 h 1 + 4 α x 0 + h 3 x 0 ,
where E 1 is given in (76).
(b) 
The following error estimates hold:
| b α o p h b α o p | C 13 α h ,
J 3 α h ( b α o p h ) J 3 α ( b α o p ) C 14 α h ,
where C 13 α and C 14 α do not depend on h.
Proof. 
(a)
It follows from expression J 3 α h given by (85).
(b)
The estimate in (88) is obtained immediately from item ( a ) with
C 13 α = | E 1 | | g | x 0 1 + 4 α x 0 .
Taking into account (85) and (81) yields
J 3 α h ( b α o p h ) J 3 α ( b α o p ) = J 3 α ( b α o p h ) J 3 α ( b α o p ) + F 1 α h + o ( h 2 ) .
with
F 1 α = 1 2 x 0 2 y 0 g ( b α o p z d ) 1 2 + 2 α x 0 + g x 0 2 5 24 7 6 α x 0 2 α 2 x 0 2 + q x 0 1 3 + 3 2 α x 0 + 2 α 2 x 0 2 .
In addition, from the definition of J 3 α h and b α o p h , we have
J 3 α h ( b α o p h ) J 3 α ( b α o p ) = J 3 ( b α o p h ) J 3 ( b α o p ) + F 2 α h + o ( h 2 )
with
F 2 α = x 0 2 y 0 g α E 1 ( q + g x 0 ) 1 + 4 α x 0 .
Finally, according to Formula (72) for J 3 , we get
J 3 ( b α o p h ) J 3 ( b α o p ) = F 3 α h + o ( h 2 ) ,
with
F 3 α = x 0 2 y 0 g 2 E 1 1 + 4 α x 0 2 b α o p 1 + M 3 x 0 + 2 3 g x 0 2 q x 0 2 z d .
Therefore, estimate (19) holds for
C 14 α = F 1 α + F 2 α + F 3 α .
Lemma 20.
Let us consider u b α o p , the solution of (1) and (3) for b = b α o p , and u α b α o p h h , the discrete solution given in (27) for h > 0 and b = b α o p h . Then, we have:
( a ) u α b α o p h h u α b α o p H C 15 α h , ( b ) u α b α o p h h x u α b α o p x H C 16 α h ,
Proof. 
Similarly to what was done in Lemma 12, we obtain
C 15 α = x 0 | g | x 0 y 0 2 A , A = E 1 2 2 + 16 α x 0 + 32 α 2 x 0 2 + E 1 1 8 α x 0 16 α 2 x 0 2 + 1 6 + 1 α x 0 + 2 α 2 x 0 2 , C 16 α = C 16 .
Remark 9.
The constants obtained in the estimates of the previous lemmas verify that C i α C i when α for i = 12 , , 16 .
Remark 10.
The double convergence when ( h , α ) ( 0 , + ) of the optimal control of problem ( P 3 α h ) holds. The relationship among the optimal control of problems ( P 3 ) , ( P 3 α ) , ( P 3 h ) and ( P 3 α h ) is given by the following diagram:
Axioms 15 00190 i003

6. Numerical Results

We carried out some numerical simulations in order to illustrate the theoretical results obtained in the previous sections for the optimal control problems ( P i h ) and ( P i α h ) for i = 1 , 2 , 3 .
Throughout this section we consider the domain Ω = [ 0 , 1 ] × [ 0 , 1 ] , i.e, x 0 = y 0 = 1 .
Before analyzing the optimal control problems we illustrate the behavior of the continuous state of the systems ( S ) and ( S α ) and the discrete state of the systems ( S h ) and ( S α h ) .
In Figure 1a we plotted the state of system u given by (13) and the approximate discrete function u h defined by (22) against the position x for h = 1 / 3 , 1 / 5 , 1 / 10 . As we saw in Lemma 1 for each fixed x, the functions u h ( x ) increase and get closer to the limit u ( x ) as h decreases. In a similar manner, in Figure 1b, for α = 50 , we obtained system u α given by (13) and the approximate discrete function u α h defined by (27) against the position x for h = 1 / 3 , 1 / 5 , 1 / 10 . Notice that as h decreases, the functions { u α h } increase and get closer to the limit u α as it was proved in Lemma 2.
In addition in order to visualize the double convergence of u α h u when ( h , α ) ( 0 , ) , in Figure 2 we plotted u and u α h for ( h , α ) = ( 1 / 3 , 10 ) , ( 1 / 5 , 50 ) and ( 1 / 10 , 500 ) .
Table 1 illustrates that the L 2 errors exhibit a linear rate of convergence. Indeed, each refinement step in which the mesh size h is divided by two produces an error that is approximately halved, confirming the expected first-order behavior.

6.1. Control Variable g

In this subsection we obtain some computational examples for the optimal distributed control problems ( P 1 ) , ( P 1 h ) , ( P 1 α ) and ( P 1 α h ) . For each plot, we set q = 12 , b = 30 , z d = 40 and M 1 = 1 .
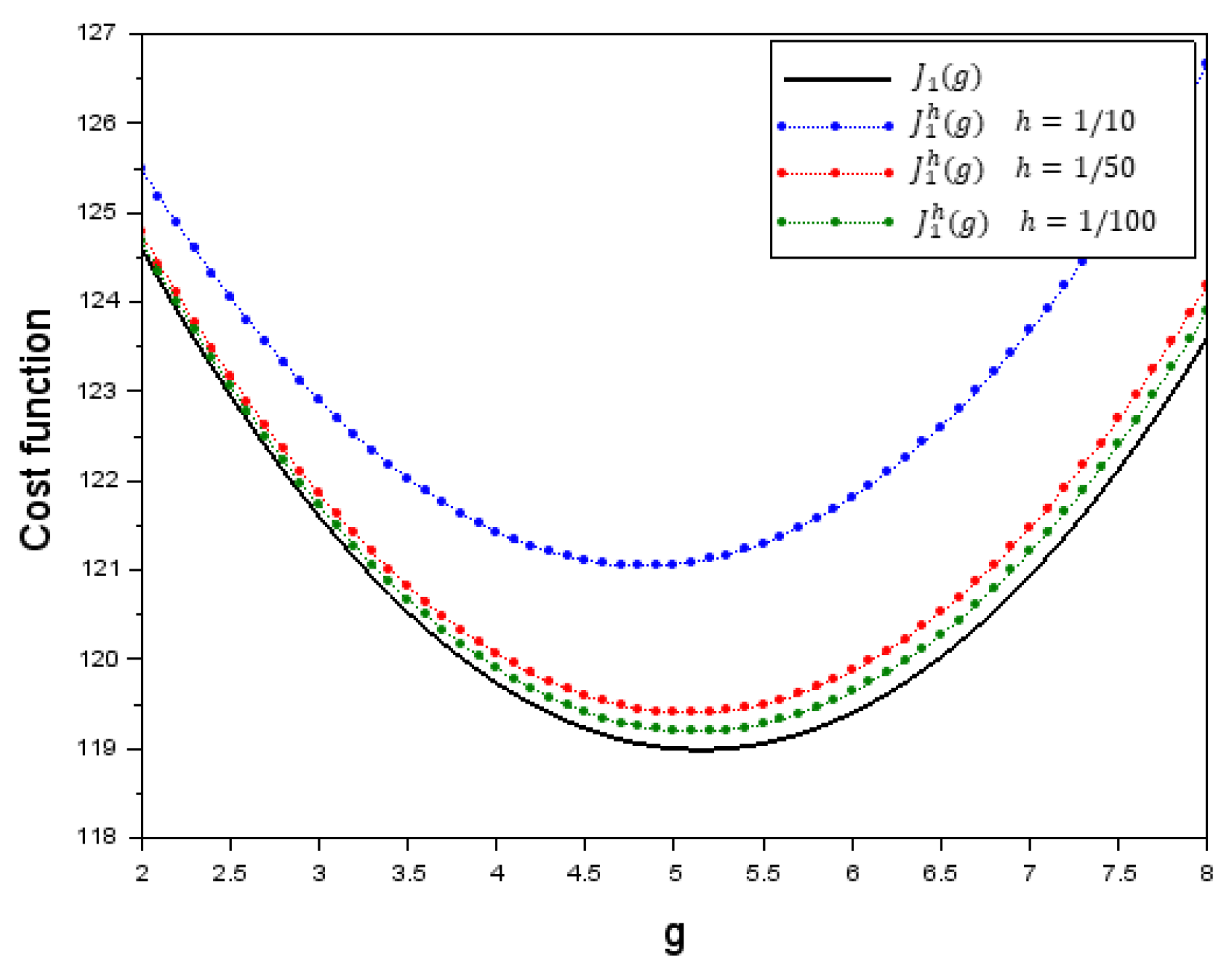
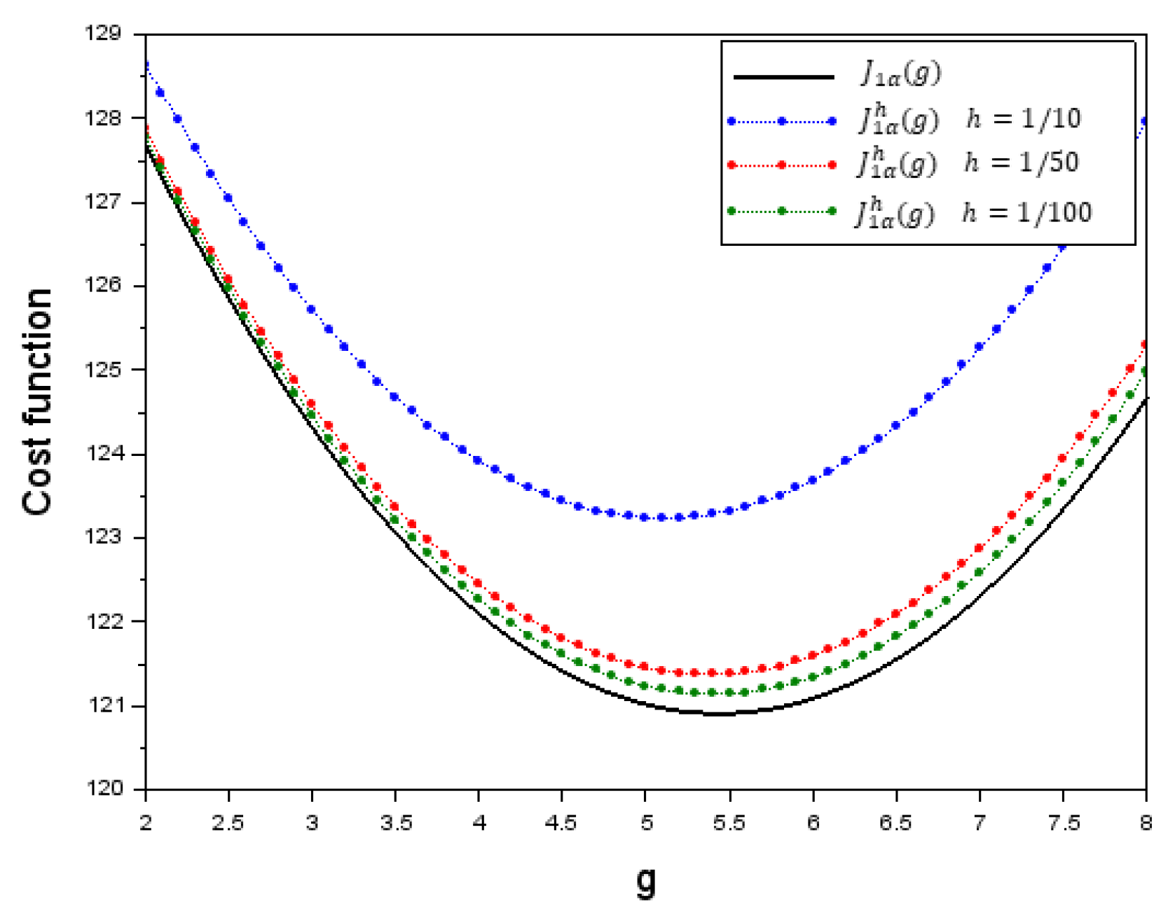
In Figure 3 we plotted the continuous quadratic cost function J 1 given by (28) and the discrete cost function J 1 h obtained in (32) against g for h = 1 / 10 , 1 / 50 and 1 / 100 . Notice that as h decreases, the function J 1 h = J 1 h ( g ) also decreases to the limit function J 1 = J 1 ( g ) in agreement with Lemma 3. In a similar manner in Figure 4, for α = 50 , we obtain the continuous function J 1 α and the discrete functions J 1 α h for h = 1 / 10 , 1 / 50 and 1 / 100 observing the convergence of J 1 α h J 1 α as h decreases to zero. Moreover, Figure 5 shows the double convergence of J 1 α h J 1 when ( h , α ) ( 0 , ) . We illustrate how J 1 α h gets closer to J 1 as the value of h decreases and the value of α increases.
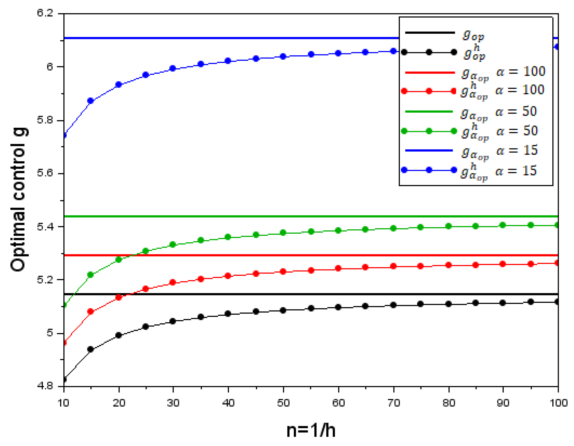
In Figure 6 we plotted the continuous optimal control g o p for problem ( P 1 ) given by (29) and optimal control g α o p given by (40) for α = 15 , 50 , 100 . Notice that as α increases, g α o p decreases to the limit g o p . In addition, we set different values of n between n = 10 and n = 100 . Recalling that h = x 0 n = 1 n , for each h, we obtained the optimal discrete control g o p h to problem ( P 1 h ) defined by (4) and the optimal discrete control g α o p h to problem ( P 1 α h ) given by (40) for α = 15 , 50 , 100 . For each α fixed, we observe the discrete solution g α o p h g α o p when h 0 , i.e., n .

6.2. Control Variable q

In this subsection we ran some computational examples for the optimal boundary control problems ( P 2 ) , ( P 2 h ) , ( P 2 α ) and ( P 2 α h ) . For each plot, we set g = 10 , b = 50 , z d = 40 and M 2 = 1 .
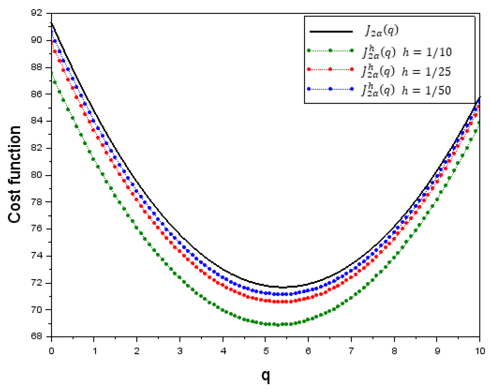
In Figure 7 we plotted the continuous quadratic cost function J 2 given by (49) and the discrete cost function J 2 h obtained in (51) against q for h = 1 / 10 , 1 / 25 and 1 / 50 . Observe that as h decreases, function J 2 h = J 2 h ( q ) also decreases to the limit function J 2 = J 2 ( q ) . In a similar way, in Figure 8, for α = 100 , we obtained the continuous function J 2 α and the discrete functions J 2 α h for h = 1 / 10 , 1 / 25 and 1 / 50 . The convergences J 2 h J 2 and J 2 α h J 2 α when h 0 are in agreement with Lemmas 9 and 12, respectively.
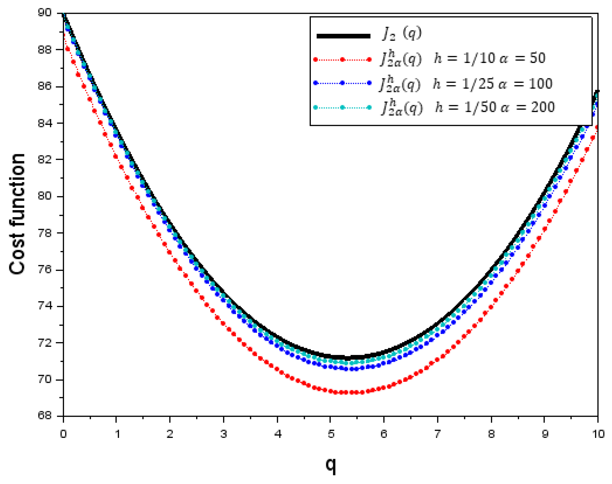
Moreover, Figure 9 shows the double convergence of J 2 α h J 2 when ( h , α ) ( 0 , ) . We illustrate how J 2 α h gets closer to J 2 as the value of h decreases and the value of α increases.
In Figure 10 we plotted the continuous optimal control q o p for problem ( P 2 ) given by (50) and optimal control q α o p given by (62) for α = 50 , 100 , 200 . Notice that as α increases, q α o p decreases to the limit q o p . In addition, we set different values of n between n = 10 and n = 100 . Recalling that h = x 0 n = 1 n , for each h, we obtained the optimal discrete control q o p h to problem ( P 2 h ) defined by (53) and the optimal discrete control q α o p h to problem ( P 2 α h ) given by (66) for α = 50 , 100 , 200 . For each α fixed, we observe the discrete solution q α o p h q α o p when h 0 , i.e., n .

6.3. Control Variable b

In this section we obtain some computational examples for the optimal distributed control problems ( P 3 ) , ( P 3 h ) , ( P 3 α ) and ( P 3 α h ) . For each plot, we set q = 12 , g = 10 , z d = 40 and M 3 = 1 .
In Figure 11 we plotted the continuous quadratic cost function J 3 given by (72) and the discrete cost function J 3 h obtained in (74) against g for h = 1 / 10 , 1 / 25 and 1 / 100 . Notice that as h decreases, function J 3 h = J 3 h ( b ) also decreases to the limit function J 3 = J 3 ( b ) in agreement with Lemma 15. In a similar manner, in Figure 12, for α = 50 , we obtained the continuous function J 3 α and the discrete functions J 3 α h for h = 1 / 10 , 1 / 25 and 1 / 100 . Observe the convergence of J 3 α h J 3 α as h 0 . Moreover, Figure 13 shows the double convergence of J 3 α h J 3 when ( h , α ) ( 0 , ) . We illustrate how J 3 α h gets closer to J 3 as the value of h decreases and the value of α increases.
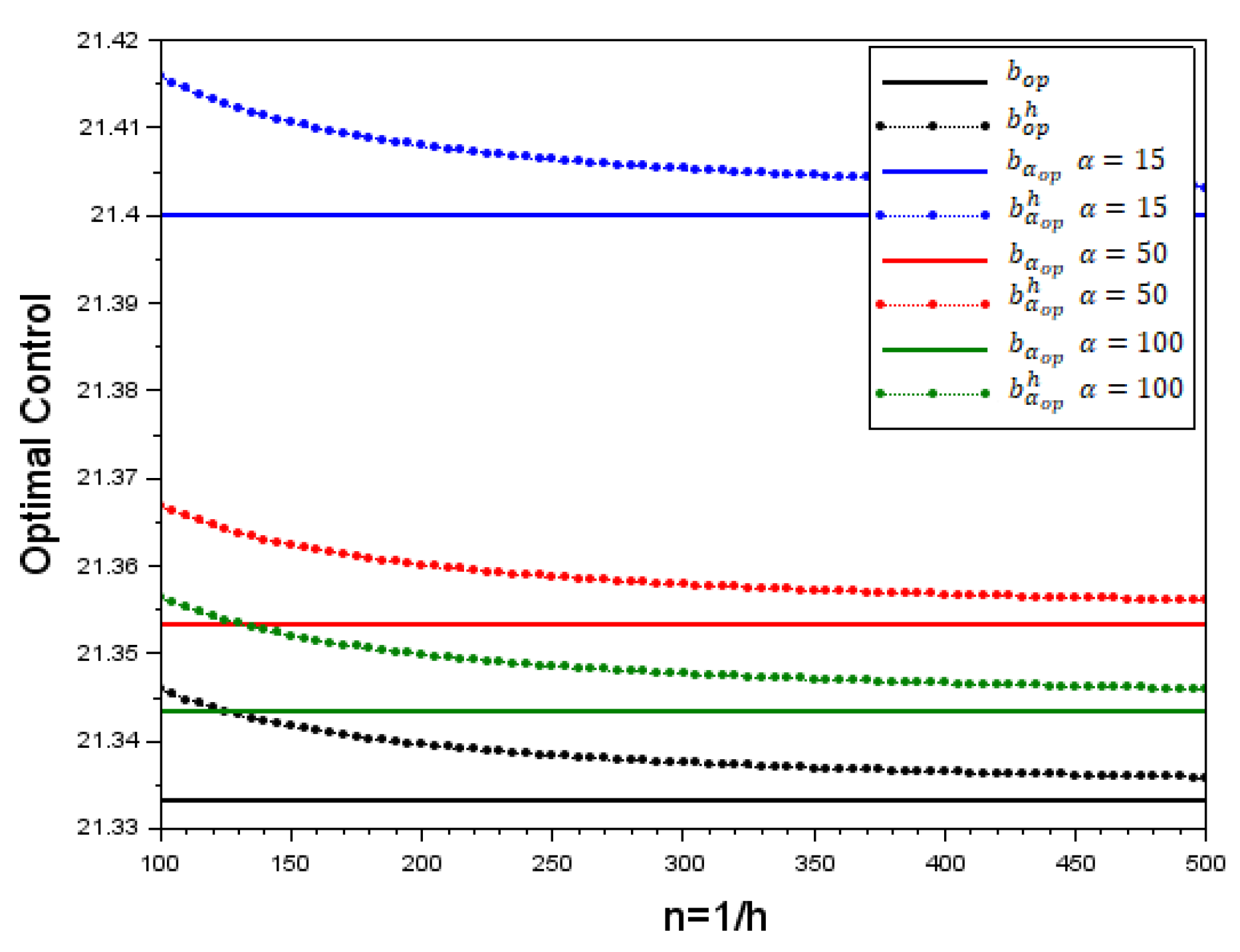
In Figure 14 we plotted the continuous optimal control b o p for problem ( P 3 ) given by (73) and optimal control b α o p given by (82) for α = 15 , 50 , 100 . Notice that as α increases, b α o p decreases to the limit b o p . In addition, we set different values of n between n = 10 and n = 100 . Recalling that h = x 0 n = 1 n , for each h, we obtained the optimal discrete control b o p h to problem ( P 3 h ) defined by (76) and the optimal discrete control b α o p h to problem ( P 3 α h ) given by (87) for α = 15 , 50 , 100 . For each α fixed, we observe the discrete solution b α o p h decreases to b α o p when h 0 .

7. Improvement of the Order of Convergence

In this section, we introduce alternative discrete solutions u ˜ h and u ˜ α h associated with systems ( S ) and ( S α ) , respectively, and analyze the order of convergence of u ˜ h to u and of u ˜ α h to u α as h 0 + . The Neumann boundary condition on Γ 2 is approximated by a three-point backward finite-difference scheme. Moreover, for the discrete solution u ˜ α h , the Robin boundary condition on Γ 1 is approximated by a three-point forward finite-difference scheme. These higher-order boundary approximations lead to an improved order of accuracy.
We consider the system ( S ) defined by Equations (1) and (2). From this system, we define the discrete problem ( S ˜ h ) , where for a fixed h > 0 , u ˜ i h approximates u ( x i , y ) , for i = 1 , , n + 1 . Notice that from the Dirichlet condition on Γ 1 , it follows immediately that u ˜ 1 h = b .
For the interior nodes, we employ the classical centered second-order finite-difference approximation given in (15), which leads to the discrete system (16) for u ˜ i h , i = 2 , . . . , n .
For the Neumann boundary condition on Γ 2 , we use the three-point backward approximation
u x ( x n + 1 , y ) 3 u ( x n + 1 , y ) 4 u ( x n , y ) + u ( x n 1 , y ) 2 h .
Thus, the discrete Neumann condition can be written as
2 q h = 3 u ˜ n + 1 h 4 u ˜ n h + u ˜ n 1 h .
In addition, from (16) for i = n , we obtain
g h 2 = u ˜ n + 1 h 2 u ˜ n h + u ˜ n 1 h .
Subtracting the two previous equations, it follows that
u ˜ n h + u ˜ n + 1 h = g h 2 2 q h .
Therefore, the system given by (16) together with (94) can be written as
A w h = T ˜ h
where w h = ( u ˜ i h ) i = 2 , , n + 1 R n is the vector of unknowns, A is the matrix given by (20) and T ˜ h R n is the vector of independent terms:
T ˜ h = g h 2 b , g h 2 , , g h 2 , q h + g h 2 2 t .
Notice that system (95) differs from (19) in the last component of the vector of independent terms. Solving the linear system gives
u ˜ i h = b + ( i 1 ) h ( g x 0 q ) g h 2 2 ( i 1 ) 2 .
Taking into account that for i = 1 , , n
m ˜ i = u ˜ i + 1 h u ˜ i h x i + 1 x i = g x 0 q ( 2 i 1 ) g h 2 ,
and
h ˜ i = u ˜ i h m ˜ i x i = b + g h 2 2 i ( i 1 ) ,
the linear approximation is given by u ˜ h ( x , y ) = m ˜ i x + h ˜ i , i.e.,
u ˜ h ( x , y ) = g x 0 q ( 2 i 1 ) g h 2 x + g h 2 2 i ( i 1 ) + b , x [ x i , x i + 1 ] , i = 1 , , n
In the following lemma, we give some bounds for the approximate function u ˜ h :
Lemma 21.
The following bounds hold:
u u ˜ h H D 1 h 2 , and u x u ˜ h x H D ˜ 1 h ,
where D 1 = x 0 y 0 120 g and D ˜ 1 = x 0 y 0 12 g .
Proof. 
From the definition of the norm in space H and using the expressions (13) and (100) for functions u and u ˜ h , respectively, it follows that
u u ˜ h H 2 = 0 y 0 0 x 0 u ( x , y ) u ˜ h ( x , y ) 2 d x d y = y 0 i = 1 n x i x i + 1 E i 2 ( x ) d x ,
where
E i ( x ) = u ( x , y ) u ˜ h ( x , y ) , x [ x i , x i + 1 ] , y [ 0 , y 0 ] .
Note that, within each subinterval, E i ( x ) depends only on x and the index i, but not on y, since both u and u ˜ h are constant along the y-direction.
A direct computation yields
E i ( x ) = g 2 x 2 + ( 2 i 1 ) h x h 2 i ( i 1 ) = g 2 ( x i h ) ( x ( i 1 ) h ) .
Then,
x i x i + 1 E i 2 ( x ) d x = g 2 4 ( x i h ) 5 5 + h 2 ( x i h ) 4 + h 2 3 ( x i h ) 3 x i x i + 1 = g 2 4 h 5 5 h 5 2 + h 5 3 = g 2 120 h 5 .
As a consequence, from (101), it follows that
u u ˜ h H 2 = y 0 g 2 h 5 120 n = x 0 y 0 g 2 120 h 4 ,
and then
u u ˜ h H = x 0 y 0 120 g h 2 .
In addition,
u x u ˜ h x H 2 = 0 y 0 0 x 0 u x ( x , y ) u ˜ h x ( x , y ) 2 d x d y = y 0 i = 1 n x i x i + 1 F i 2 ( x ) d x ,
where
F i ( x ) = u x ( x , y ) u ˜ h x ( x , y ) = g x ( 2 i 1 ) h 2 ,
for x [ x i , x i + 1 ] . Then,
x i x i + 1 F i 2 ( x ) d x = x i x i + 1 g 2 x ( 2 i 1 ) h 2 2 d x = g 2 1 3 x ( 2 i 1 ) h 2 3 x i x i + 1 = g 2 1 3 h 3 8 + h 3 8 = g 2 12 h 3 .
Therefore, from (104), we have
u x u ˜ h x H 2 = y 0 g 2 12 n h 3 = x 0 y 0 g 2 12 h 2 ,
and finally
u x u ˜ h x H = x 0 y 0 12 g h .
Remark 11.
We emphasize that by improving the approximation of the Neumann boundary condition on Γ 2 , the convergence order of the error u u ˜ h H is increased to second order, namely, O ( h 2 ) . The improvement is entirely due to the modification in the last component of vectors T h and T α h in systems ( S ) and ( S α ) , respectively, where a term of order h 2 appears. This enhancement leads to a more accurate numerical approximation while remaining fully consistent with the theoretical convergence results established in [10,22].
Remark 12.
The linear system (95) obtained by using the three-point backward finite-difference approximation for the Neumann boundary condition on Γ 2 can be equivalently interpreted by introducing a ghost point x n + 2 outside the computational domain and assuming that the discrete differential equation holds at the boundary node x n + 1 . Indeed, assuming that the equation is satisfied at u ˜ n + 1 h , we have
g h 2 = u ˜ n + 2 h 2 u ˜ n + 1 h + u ˜ n h ,
while the Neumann boundary condition is approximated by
u ˜ n + 2 h u ˜ n h 2 h = q .
Eliminating the ghost value u ˜ n + 2 from these two expressions yields
u ˜ n h + u ˜ n + 1 h = q h + g h 2 2 ,
which coincides with the boundary equation obtained in (94). Hence, the three-point backward finite-difference approximation of the Neumann condition is consistent with the ghost-point formulation and leads to the same discrete system.
Analogously to the analysis of system ( S ) , we propose a new discrete approximation u ˜ α h for system ( S α ) and study the order of convergence of u ˜ α h to u α as h 0 + . The associated discrete system ( S ˜ h α ) employs a three-point backward finite-difference approximation for the Neumann boundary condition on Γ 2 and a three-point forward finite-difference approximation for the Robin boundary condition on Γ 1 , leading to improved accuracy.
We consider system ( S α ) defined by Equations (1) and (3) and define u ˜ α , i h u α ( x i , y ) .
For the interior nodes, i = 2 , , n , we employ the classical centered second-order finite-difference approximation given in (15):
u ˜ α , i + 1 h 2 u ˜ α , i h + u ˜ α , i 1 h = g h 2 .
For the Robin boundary at Γ 1 , we use the three-point forward approximation:
3 u ˜ α , 1 h + 4 u ˜ α , 2 h u ˜ α , 3 h 2 h = α ( u ˜ α , 1 b ) .
Combining this expression with the interior equation at i = 2 yields the simplified discrete condition
( 1 + α h ) u ˜ α , 1 h + u ˜ α , 2 h = α h b g h 2 2 .
For the Neumann boundary at Γ 2 we use the three-point backward approximation:
3 u ˜ α , n + 1 h 4 u ˜ α , n h + u ˜ α , n 1 h = 2 q h .
Combining with the interior equation for i = n gives
u ˜ α , n h + u ˜ α , n + 1 h = q h + g h 2 2 .
The system given by (105), (107) and (109) can be rewritten as
A α w α h = T ˜ α h
where w α h = ( u ˜ α , i h ) i = 1 , , n + 1 R n + 1 is the vector of unknowns, A α is the matrix given by (25) and T ˜ α h R n + 1 is the vector of independent terms:
T ˜ α h = α b h g h 2 2 , g h 2 , , g h 2 , q h + g h 2 2 t R n + 1 .
It should be noted that only the first and last components of T ˜ α h differ from those in T α given by (26).
The solution of system (110) is given by
u ˜ α , i h = b + 1 α ( g x 0 q ) + ( i 1 ) h ( g x 0 q ) g 2 ( i 1 ) h 2 , i = 1 , , n + 1 .
We define the linear interpolation on each subinterval [ x i , x i + 1 ] by
u ˜ α h ( x , y ) = m ˜ α , i x + h ˜ α , i , x [ x i , x i + 1 ] , y [ 0 , y 0 ] ,
where
m ˜ α , i = g x 0 q g h i 1 2 , i = 1 , , n ,
h ˜ α , i = b + 1 α ( g x 0 q ) + g h 2 2 ( i 1 ) i , i = 1 , , n .
From the previous expressions, we derive the following lemma.
Lemma 22.
The following bounds hold:
u α u ˜ α h H D 2 h 2 , u α x u ˜ α h x H D ˜ 2 h ,
where D 2 = x 0 y 0 120 g and D ˜ 2 = x 0 y 0 12 g .
Proof. 
By the definition of the H-norm, and using the expression for u α in (13) as well as the definition of u ˜ α h in (113), it follows that
u α u ˜ α h H 2 = y 0 i = 1 n x i x i + 1 E α , i 2 ( x ) d x ,
where
E α , i ( x ) = u α ( x , y ) u ˜ α h ( x , y )
E α , i ( x ) = g 2 x 2 + g 2 2 i 1 h x g h 2 2 ( i 2 i ) , x [ x i , x i + 1 ]
We can notice that E α , i ( x ) = E i ( x ) where E i ( x ) is given by (102). Therefore, from (103), it follows immediately that
u α u ˜ α h H 2 x 0 y 0 g 2 120 h 4 .
In addition,
u x u ˜ h x H 2 = 0 y 0 0 x 0 u x ( x , y ) u ˜ h x ( x , y ) 2 d x d y = y 0 i = 1 n x i x i + 1 g 2 x ( 2 i 1 ) h 2 2 d x = y 0 g 2 12 h 3 n = x 0 y 0 g 2 12 h 2 .

8. Conclusions

Applying the finite difference method, we derived discrete systems ( S h ) and ( S α h ) and discrete optimization problems ( P i h ) and ( P i α h ) , i = 1 , 2 , 3 , where α > 0 is a parameter that represents the heat transfer coefficient on a portion of the boundary of the domain. Explicit discrete solutions were obtained, and convergence results as discretization step h 0 and parameter α were proved. Error estimations were also obtained as a function of step h. Some numerical computations were provided in order to illustrate the theoretical results.
The obtained results showed that the proposed numerical approach provided first-order accurate approximations for both state systems ( S ) and ( S α ) and associated optimal control problems ( P i ) and ( P i α ) , i = 1 , 2 , 3 , and that the discrete solutions converged to the corresponding continuous ones as discretization step h 0 .
Finally, for systems ( S ) and ( S α ) , an alternative discretization of the Neumann boundary condition on Γ 2 and of the Robin boundary condition on Γ 1 for ( S α ) was considered. By modifying the approximation of these boundary conditions, the order of convergence of the numerical solution was improved, leading to a more accurate approximation.
A main limitation of the present work is that the analysis is restricted to rectangular domains, which allows the derivation of explicit solutions and simplifies the numerical implementation. As a future development, the proposed methodology is expected to be extended to more general domains, including polar and spherical coordinate systems.

Author Contributions

Conceptualization, D.A.T.; writing—original draft preparation, J.B. and M.C.O.; mathematical analysis, J.B., M.C.O. and D.A.T.; writing—review and editing, J.B., M.C.O. and D.A.T.; supervision, D.A.T.; software, M.C.O.; validation, J.B. and M.C.O. All authors have read and agreed to the published version of the manuscript.

Funding

This research received no external funding.

Data Availability Statement

Data are contained within the article.

Acknowledgments

The authors would like to thank the support of project O06-24CI1901 from Universidad Austral, Rosario, Argentina, and project PIP Nº 11220220100532 from CONICET.

Conflicts of Interest

The authors declare no conflicts of interest.

References

  1. Tarzia, D.A. Numerical analysis for the heat flux in a mixed elliptic problem to obtain a discrete steady-state two-phase Stefan problems. SIAM J. Numer. Anal. 1996, 33, 1257–1265. [Google Scholar] [CrossRef]
  2. Tabacman, E.D.; Tarzia, D.A. Sufficient and/or necessary condition for the heat transfer coefficient on γ1 and the heat flux on γ2 to obtain a steady-state two-phase Stefan problem. J. Differ. Equ. 1989, 77, 16–37. [Google Scholar]
  3. Haller-Dintelman, R.; Meyer, C.; Rehberg, J.; Schiela, A. Hölder continuity and optimal control for nonsmooth elliptic problems. Appl. Math. Optim. 2009, 60, 397–428. [Google Scholar] [CrossRef]
  4. Gariboldi, C.M.; Tarzia, D.A. Convergence of distributed optimal controls on the internal energy in mixed elliptic problems when the heat transfer coefficient goes to infinity. Appl. Math. Optim. 2003, 47, 213–230. [Google Scholar] [CrossRef]
  5. Gariboldi, C.M.; Tarzia, D.A. Convergence of boundary optimal control problems with restrictions in mixed elliptic Stefan-like problems. Adv. Differ. Equ. Control Process. 2008, 1, 113–132. [Google Scholar]
  6. Grisvard, P. Elliptic Problems in Non-Smooth Domains; Pitman: London, UK, 1985. [Google Scholar]
  7. Azzam, A.; Kreyszig, E. On solutions of elliptic equations satisfying mixed boundary conditions. SIAM J. Math. Anal. 1982, 13, 254–262. [Google Scholar] [CrossRef]
  8. Lanzani, L.; Capogna, L.; Brown, R. The mixed problem in Lp for some two-dimensional Lipschitz domains. Math. Ann. 2008, 342, 91–124. [Google Scholar] [CrossRef][Green Version]
  9. Shamir, E. Regularization of mixed second order elliptic problems. Isr. J. Math. 1968, 6, 150–168. [Google Scholar] [CrossRef]
  10. Hinze, M. A variational discretization concept in control constrained optimization: The linear-quadratic case. Comput. Optim. Appl. 2005, 30, 45–61. [Google Scholar] [CrossRef]
  11. Wachsmuth, D.; Wachsmuth, G. Regularization error estimates and discrepancy principle for optimal control problems with inequality constraints. Control Cybern. 2011, 40, 1125–1158. [Google Scholar]
  12. Barbu, V. Optimal Control of Variational Inequalities; Pitman Advanced Publishing Program: Boston, MA, USA, 1984. [Google Scholar]
  13. Lions, J. Contrôle Optimal de Systèmes Gouvernés par des Équations aux Dérivées Partielles; Dunod: Paris, France, 1968. [Google Scholar]
  14. Neittaanmäki, P.; Sprekels, J.; Tiba, D. Optimization of Elliptic Systems: Theory and Applications; Springer: New York, NY, USA, 2006. [Google Scholar]
  15. Tröltzsch, F. Optimal Control of Partial Differential Equations: Theory, Methods and Applications; American Mathematical Society: Providence, RI, USA, 2010. [Google Scholar]
  16. Bollati, J.; Gariboldi, C.M.; Tarzia, D.A. Explicit solutions for distributed, boundary and distributed-boundary elliptic optimal control problems. J. Appl. Math. Comput. 2020, 64, 283–311. [Google Scholar] [CrossRef]
  17. Angel, E. Discrete invariant imbedding and elliptic boundary-value problems over irregular regions. J. Math. Anal. Appl. 1968, 23, 471–484. [Google Scholar] [CrossRef]
  18. Arnal, A.; Monterde, J.; Ugail, H. Explicit polynomial solutions of fourth order linear elliptic partial differential equations for boundary based smooth surface generation. Comput. Aided Geom. Des. 2011, 28, 382–394. [Google Scholar] [CrossRef]
  19. Lang, J.; Schmitt, B.A. Exact discrete solutions of boundary control problems for the 1D heat equation. J. Optim. Theory Appl. 2023, 196, 1106–1118. [Google Scholar] [CrossRef]
  20. Yang, C.; Sun, T. Second-order time discretization for reaction coefficient estimation of bilinear parabolic optimization problem with Neumann boundary conditions. Comput. Math. Appl. 2023, 140, 211–224. [Google Scholar] [CrossRef]
  21. Tarzia, D.A. Double convergence of a family of discrete distributed mixed elliptic optimal control problems with a parameter. In Proceedings of the 27th IFIP TC 7 Conference on System Modelling and Optimization, CSMO 2015, IFIP AICT 494; Bociu, L., Desideri, J., Habbal, A., Eds.; Springer Nature: Singapore, 2016; pp. 493–504. [Google Scholar]
  22. Casas, E.; Mateos, M. Uniform convergence of the FEM. Application to state constrained control problems. Comput. Appl. Math. 2002, 21, 67–100. [Google Scholar]
Figure 1. State of systems ( S ) , ( S h ) , ( S α ) and ( S α h ) using q = 12 , b = 30 , z d = 40 and g = 10 .
Figure 1. State of systems ( S ) , ( S h ) , ( S α ) and ( S α h ) using q = 12 , b = 30 , z d = 40 and g = 10 .
Axioms 15 00190 g001
Figure 2. Plot of u and u α h against n = 1 / h for different values of ( h , α ) .
Figure 2. Plot of u and u α h against n = 1 / h for different values of ( h , α ) .
Axioms 15 00190 g002
Figure 3. Plot of J 1 and J 1 h against g.
Figure 3. Plot of J 1 and J 1 h against g.
Axioms 15 00190 g003
Figure 4. Plot of J 1 α and J 1 α h for α = 50 against g.
Figure 4. Plot of J 1 α and J 1 α h for α = 50 against g.
Axioms 15 00190 g004
Figure 5. Plot of J 1 and J 1 α h against g.
Figure 5. Plot of J 1 and J 1 α h against g.
Axioms 15 00190 g005
Figure 6. Plot of g o p , g o p h , g α o p and g α o p h against n = 1 / h .
Figure 6. Plot of g o p , g o p h , g α o p and g α o p h against n = 1 / h .
Axioms 15 00190 g006
Figure 7. Plot of J 2 and J 2 h against q.
Figure 7. Plot of J 2 and J 2 h against q.
Axioms 15 00190 g007
Figure 8. Plot of J 2 α and J 2 α h for α = 100 against q.
Figure 8. Plot of J 2 α and J 2 α h for α = 100 against q.
Axioms 15 00190 g008
Figure 9. Plot of J 2 and J 2 α h against q.
Figure 9. Plot of J 2 and J 2 α h against q.
Axioms 15 00190 g009
Figure 10. Plot of q o p , q o p h , q α o p and q α o p h against n = 1 / h .
Figure 10. Plot of q o p , q o p h , q α o p and q α o p h against n = 1 / h .
Axioms 15 00190 g010
Figure 11. Plot of J 3 and J 3 h against b.
Figure 11. Plot of J 3 and J 3 h against b.
Axioms 15 00190 g011
Figure 12. Plot of J 3 α and J 3 α h for α = 100 against b.
Figure 12. Plot of J 3 α and J 3 α h for α = 100 against b.
Axioms 15 00190 g012
Figure 13. Plot of J 3 and J 3 α against b.
Figure 13. Plot of J 3 and J 3 α against b.
Axioms 15 00190 g013
Figure 14. Plot of b o p , b o p h , b α o p and b α o p h against n = 1 / h .
Figure 14. Plot of b o p , b o p h , b α o p and b α o p h against n = 1 / h .
Axioms 15 00190 g014
Table 1. L 2 errors for u u h and u α u α h for different values of α .
Table 1. L 2 errors for u u h and u α u α h for different values of α .
h u u h L 2 u α u α h L 2
α = 50 α = 100 α = 200
0.2500007.675914 × 10−18.120374 × 10−17.897314 × 10−17.786397 × 10−1
0.1250003.722243 × 10−13.942740 × 10−13.832039 × 10−13.777023 × 10−1
0.0625001.832549 × 10−11.942324 × 10−11.887200 × 10−11.859813 × 10−1
0.0312509.091783 × 10−29.639423 × 10−29.364392 × 10−29.227771 × 10−2
0.0156254.528211 × 10−24.801716 × 10−24.664351 × 10−24.596121 × 10−2
Disclaimer/Publisher’s Note: The statements, opinions and data contained in all publications are solely those of the individual author(s) and contributor(s) and not of MDPI and/or the editor(s). MDPI and/or the editor(s) disclaim responsibility for any injury to people or property resulting from any ideas, methods, instructions or products referred to in the content.

Share and Cite

MDPI and ACS Style

Bollati, J.; Olguin, M.C.; Tarzia, D.A. Explicit Discrete Solution for Some Optimization Problems and Estimations with Respect to the Exact Solution. Axioms 2026, 15, 190. https://doi.org/10.3390/axioms15030190

AMA Style

Bollati J, Olguin MC, Tarzia DA. Explicit Discrete Solution for Some Optimization Problems and Estimations with Respect to the Exact Solution. Axioms. 2026; 15(3):190. https://doi.org/10.3390/axioms15030190

Chicago/Turabian Style

Bollati, Julieta, Mariela C. Olguin, and Domingo A. Tarzia. 2026. "Explicit Discrete Solution for Some Optimization Problems and Estimations with Respect to the Exact Solution" Axioms 15, no. 3: 190. https://doi.org/10.3390/axioms15030190

APA Style

Bollati, J., Olguin, M. C., & Tarzia, D. A. (2026). Explicit Discrete Solution for Some Optimization Problems and Estimations with Respect to the Exact Solution. Axioms, 15(3), 190. https://doi.org/10.3390/axioms15030190

Note that from the first issue of 2016, this journal uses article numbers instead of page numbers. See further details here.

Article Metrics

Back to TopTop