Effects of Magnetic Field on Modified Stokes Problems Involving Fluids Whose Viscosity Depends Exponentially on Pressure
Abstract
1. Introduction
2. Problem Presentation
3. Steady-State Solutions for the Modified Stokes Problems
3.1. Limiting Case (MHD Modified Stokes Second Problem for Ordinary Fluids)
3.2. Case Study (MHD Modified Stokes First Problem)
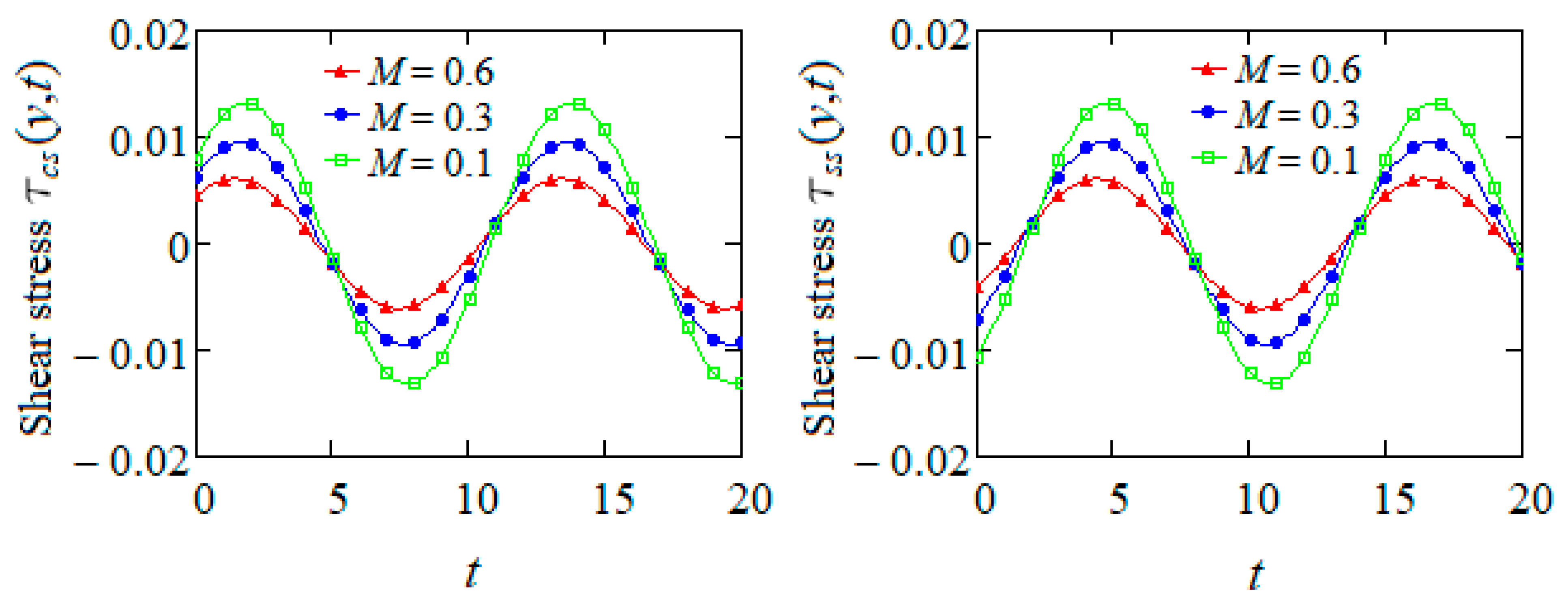
4. Numerical Results and Conclusions
- Modified Stokes problems involving incompressible viscous fluids whose viscosity depends exponentially on pressure were studied analytically and numerically, with magnetic effects and gravitational acceleration also being taken into account.
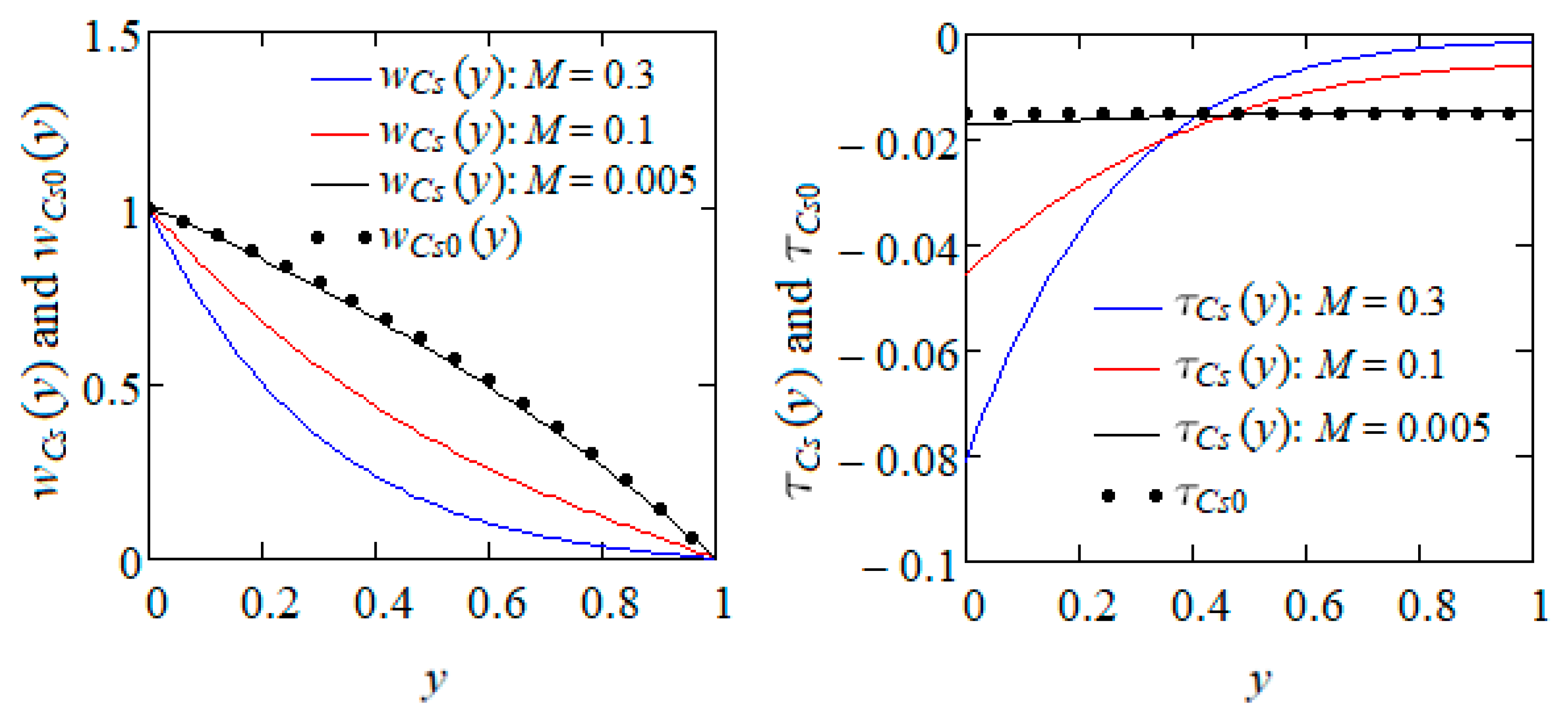
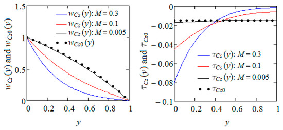
- Exact expressions were derived for the dimensionless steady-state velocity fields and the associated shear stresses. The fluid velocity was utilized, as shown in Figure 3, to calculate the time required to reach the steady state, a critical parameter for experimental researchers.
- Graphical analysis clearly revealed that the fluid achieved steady-state motion later, and flowed more quickly, when the magnetic field was absent. As expected, some known results from the literature were recovered as limiting cases of the present solutions.
Author Contributions
Funding
Data Availability Statement
Conflicts of Interest
Abbreviation
| MHD | Magnetohydrodynamic |
Nomenclature
| T | Cauchy stress tensor |
| S | Extra-stress tensor |
| Hydrostatic pressure | |
| Dimensional pressure viscosity coefficient | |
| Velocity vector | |
| Electrostatic force | |
| Cartesian coordinates | |
| g | Gravitational acceleration |
| M | Magnetic parameter |
| Re | Reynolds number |
| Fluid velocity | |
| , , | Dimensionless start-up velocities |
| , , | Dimensionless steady-state velocities |
| Complex velocity | |
| Dynamic viscosity | |
| Fluid density | |
| Kinematic viscosity | |
| Electrical conductivity | |
| Dimensionless non-trivial shear stress |
References
- Renardy, M. Parallel shear flows of fluids with a pressure dependent viscosity. J. Non-Newton. Fluid Mech. 2003, 114, 229–236. [Google Scholar] [CrossRef]
- Denn, M.M. Polymer Melt Processing; Cambridge University Press: Cambridge, UK, 2008. [Google Scholar]
- Rajagopal, K.R.; Saccomandi, G.; Vergori, L. Flow of fluids with pressure and shear-dependent viscosity down an inclined plane. J. Fluid Mech. 2003, 706, 173–189. [Google Scholar] [CrossRef]
- Le Roux, C. Flow of fluids with pressure dependent viscosities in an orthogonal rheometer subject to slip boundary conditions. Meccanica 2009, 44, 71–83. [Google Scholar] [CrossRef]
- Martinez-Boza, F.J.; Martin-Alfonso, M.J.; Callegas, C.; Fernandez, M. High-pressure behavior of intermediate fuel oils. Energy Fuels 2011, 25, 5138–5144. [Google Scholar] [CrossRef]
- Dealy, J.M.; Wang, J. Melt Rheology and Its Applications in the Plastic Industry, 2nd ed.; Springer: Dordrecht, The Netherlands, 2013. [Google Scholar]
- Andrade, C. Viscosity of liquids. Nature 1930, 125, 309–310. [Google Scholar] [CrossRef]
- Bridgman, P.W. The Physics of High Pressure; MacMillan Company: New York, NY, USA, 1931. [Google Scholar]
- Griest, E.M.; Webb, W.; Schiessler, R.W. Effect of pressure on viscosity of high hydrocarbons and their mixture. J. Chem. Phys. 1958, 29, 711–720. [Google Scholar] [CrossRef]
- Johnson, K.L.; Cameron, R. Shear behavior of elastohydrodynamic oil films at high rolling contact pressures. Proc. Inst. Mech. Eng. 1967, 182, 307–330. [Google Scholar] [CrossRef]
- Johnson, K.L.; Greenwood, J.A. Thermal analysis of an Eyring fluid in elastohydrodynamic traction. Wear 1980, 61, 355–374. [Google Scholar] [CrossRef]
- Bair, S.; Winer, W.O. The high pressure high shear stress rheology of liquid lubricants. J. Tribol. 1992, 114, 1–9. [Google Scholar] [CrossRef]
- Hron, J.; Malek, J.; Rajagopal, K.R. Simple flows of fluids with pressure dependent viscosities. Proc. Roy. Soc. Lond. Ser. A Math. Phys. Eng. Sci. 2001, 457, 1603–1622. [Google Scholar] [CrossRef]
- Rajagopal, K.R. Couette flows of fluids with pressure dependent viscosity. Int. J. Appl. Mech. Eng. 2004, 9, 573–585. [Google Scholar]
- Rajagopal, K.R. A semi-inverse problem of flows of fluids with pressure-dependent viscosities. Inverse Probl. Sci. Eng. 2008, 16, 269–280. [Google Scholar] [CrossRef]
- Prusa, V. Revisiting Stokes first and second problems for fluids with pressure-dependent viscosities. Int. J. Eng. Sci. 2010, 48, 2054–2065. [Google Scholar] [CrossRef]
- Akyildiz, F.T.; Siginer, D. A note on the steady flow of Newtonian fluids with pressure dependent viscosity in a rectangular duct. Int. J. Eng. Sci. 2016, 104, 1–4. [Google Scholar] [CrossRef]
- Housiadas, K.D.; Georgiou, G.C. Analytical solution of the flow of a Newtonian fluid with pressure-dependent viscosity in a rectangular duct. Appl. Math. Comput. 2018, 322, 123–128. [Google Scholar] [CrossRef]
- Rajagopal, K.R.; Saccomandi, G.; Vergori, L. Unsteady flows of fluids with pressure dependent viscosity. J. Math. Anal. Appl. 2013, 404, 362–372. [Google Scholar] [CrossRef]
- Fetecau, C.; Vieru, D. Exact solutions for unsteady motion between parallel plates of some fluids with power-law dependence of viscosity on the pressure. Appl. Eng. Sci. 2020, 1, 100003. [Google Scholar] [CrossRef]
- Fetecau, C.; Bridges, C. Analytical solutions for some unsteady flows of fluids with linear dependence of viscosity on the pressure. Inverse Probl. Sci. Eng. 2021, 29, 378–395. [Google Scholar] [CrossRef]
- Fetecau, C.; Rauf, A.; Qureshi, T.M.; Mahmood, O.U. Analytical solutions of upper-convected Maxwell fluid flow with exponential dependence of viscosity on the pressure. Eur. J. Mech. B Fluids 2021, 88, 148–159. [Google Scholar] [CrossRef]
- Srinivasan, S.; Rajagopal, K.R. A note on the flow of a fluid with pressure-dependent viscosity in the annulus of two infinite long coaxial cylinders. Appl. Math. Model. 2010, 34, 3255–3263. [Google Scholar] [CrossRef]
- Kalogirou, A.; Poyiadji, S.; Georgiou, G.C. Incompressible Poiseuille flows of Newtonian liquids with a pressure-dependent viscosity. J. Non-Newton. Fluid Mech. 2011, 166, 413–419. [Google Scholar] [CrossRef]
- Housiadas, K.D.; Georgiou, G.C.; Tanner, R.I. A note on the unbounded creeping flow past a sphere for Newtonian fluids with pressure-dependent viscosity. Int. J. Eng. Sci. 2015, 86, 1–9. [Google Scholar] [CrossRef]
- Zehra, I.; Kousar, N.; Ur Rehman, K. Pressure dependent viscosity subject to Poiseuille and Couette flows via tangent hyperbolic model. Phys. A Stat. Mech. Appl. 2019, 527, 121332. [Google Scholar] [CrossRef]
- Jia-Bin, W.; Li, L. Pressure-flow rate relationship and its polynomial expansion for laminar flow in a circular pipe based on exponential viscosity-pressure characteristics: An extension of classical Poiseuille’ s law. Phys. Fluids 2023, 35, 103613. [Google Scholar] [CrossRef]
- Schmelzer, J.W.P.; Abyzov, A.S. Pressure dependence of viscosity: A new general relation. Interfacial Phenom. Heat Transf. 2017, 5, 107–112. [Google Scholar] [CrossRef]
- Tao, L.N. Magnetohydrodynamic effects on the formation of Couette flow. J. Aerosp. Sci. 1960, 27, 334–338. [Google Scholar] [CrossRef]
- Katagiri, M. Flow formation in Couette motion in magneto hydrodynamics. Phys. Soc. Jpn. 1962, 17, 393–396. [Google Scholar] [CrossRef]
- Zahid, M.; Rana, M.A.; Haroom, T.; Siddiqui, A.M. Applications of Sumudu transform to MHD flows of an Oldroyd-B fluid. Appl. Math. Sci. 2013, 7, 7027–7036. [Google Scholar] [CrossRef]
- Ghosh, A.K.; Datta, S.K.; Sen, P. On hydromagnetic flow of an Oldroyd-B fluid between two oscillating plates. Int. J. Appl. Comput. Math. 2016, 2, 365–386. [Google Scholar] [CrossRef]
- Rossow, V.J. On flow of electrically conducting fluids over a flat plate in the presence of a transverse magnetic fluid. NACA TN Tech. Rep. 1957, 3971, 489–508. [Google Scholar]
- Zill, D.G. A First Course in Differential Equations with Modelling Applications, 9th ed.; Brooks/Cole Pub. Co.: Pacific Grove, CA, USA, 2009. [Google Scholar]
- Rauf, A.; Qureshi, T.M.; Fetecau, C. Analytical and numerical solutions for some motions of viscous fluids with exponential dependence of viscosity on the pressure. Math. Rep. 2023, 25, 465–479. [Google Scholar] [CrossRef]
- Fetecau, C.; Narahari, M. General solutions for hydromagnetic flow of viscous fluids between horizontal parallel plates through porous medium. J. Eng. Mech. 2020, 146, 04020053. [Google Scholar] [CrossRef]





Disclaimer/Publisher’s Note: The statements, opinions and data contained in all publications are solely those of the individual author(s) and contributor(s) and not of MDPI and/or the editor(s). MDPI and/or the editor(s) disclaim responsibility for any injury to people or property resulting from any ideas, methods, instructions or products referred to in the content. |
© 2025 by the authors. Licensee MDPI, Basel, Switzerland. This article is an open access article distributed under the terms and conditions of the Creative Commons Attribution (CC BY) license (https://creativecommons.org/licenses/by/4.0/).
Share and Cite
Fetecau, C.; Hanif, H. Effects of Magnetic Field on Modified Stokes Problems Involving Fluids Whose Viscosity Depends Exponentially on Pressure. Axioms 2025, 14, 124. https://doi.org/10.3390/axioms14020124
Fetecau C, Hanif H. Effects of Magnetic Field on Modified Stokes Problems Involving Fluids Whose Viscosity Depends Exponentially on Pressure. Axioms. 2025; 14(2):124. https://doi.org/10.3390/axioms14020124
Chicago/Turabian StyleFetecau, Constantin, and Hanifa Hanif. 2025. "Effects of Magnetic Field on Modified Stokes Problems Involving Fluids Whose Viscosity Depends Exponentially on Pressure" Axioms 14, no. 2: 124. https://doi.org/10.3390/axioms14020124
APA StyleFetecau, C., & Hanif, H. (2025). Effects of Magnetic Field on Modified Stokes Problems Involving Fluids Whose Viscosity Depends Exponentially on Pressure. Axioms, 14(2), 124. https://doi.org/10.3390/axioms14020124

