Estimation of Lifetime Performance Index for Generalized Inverse Lindley Distribution Under Adaptive Progressive Type-II Censored Lifetime Test
Abstract
1. Introduction
2. Generalized Inverse Lindley Distribution
3. Maximum Likelihood Estimation
| Algorithm 1. Newton–Raphson iteration approach using calculate ML estimate of |
| (1) Initial Guess: Start with an initial guess for the root of Equation (13). |
| (2) Calculate the Derivative: Find the first partial derivatives of the Equations (11) and (12). |
| (3) Iteration: For each iteration , calculate the next approximation by using the following equation:
|
| (4) Convergence Check: Check if the absolute or relative error between and is less than a predetermined tolerance level. If it is, then is considered a root of the Equation (13), and set and . |
| (5) Repeat: If the convergence criterion is not met, repeat the process from the step (3) with as the new approximation. |
| (6) Termination: The process is terminated when the accuracy level is achieved or after a maximum number of iterations is reached. |
| (7) the ML estimator can be obtained according to Equation (14). |
4. Bootstrap Confidence Interval
- (i)
- The BCI does not require assumptions such as the population following a normal distribution, and it is applicable to complex statistical models and non-normal data.
- (ii)
- The BCI can more accurately reflect the actual distribution characteristics of the parameters, especially when the sample size is small or the distribution is skewed.
- (iii)
- The computation process is relatively flexible and can be applied to various statistical inference problems, such as parameter estimation, hypothesis testing, and model evaluation.
| Algorithm 2. The calculation process of the bootstrap-t method to construct the BCI of |
| (1) According to Algorithm 1, compute the ML estimates and under the censored sample and censored scheme . Furthermore, the ML estimate of , denoted as , is obtained. |
| (2) Generate adaptive progressive type-II censored samples from with , and denote as . |
| (3) As in step (1), calculate the ML estimates of and based on , say and . Then, obtain the Bootstrap sample estimates by putting and into Equation (5). |
| (4) Compute the statistic , where is estimated by Equation (22). |
| (5) Repeat steps (2) to (4) for times and obtain , where . |
| (6) Let be the CDF of . For a given , define . Thus, the BCI of is
|
5. Bayesian Estimation
6. Monte Carlo Simulation
- (1)
- As can be seen from Table 4, when the effective samples proportion increases, the MSE of each estimator decreases. In comparing the ML estimation with the Bayesian estimation under a non-informative prior, the results indicate that the MSEs for both the CS-I and CS-II are significantly higher than that of the CS-III. Furthermore, when comparing the Bayesian estimations under Prior 2 and Prior 3, it was found that, for Prior 2, the Bayesian estimate under the CS-II exhibits the lowest MSE; conversely, under Prior 3, the Bayesian estimate under the CS-III demonstrates the lowest MSE. These findings highlight the critical role that the choice of censored scheme and prior distribution plays in the accuracy of the estimations.
- (2)
- When using Prior 1 and Prior 2, the ML estimation demonstrates superior performance compared to the Bayesian estimation under the CS-III. In contrast, when using Prior 3, the Bayesian estimation outperforms the ML estimation under the CS-I and CS-II. Additionally, under different loss functions, there is no significant difference in the performance of the Bayesian estimators under Prior 1 and Prior 2; however, the Bayesian estimators under Prior 3 exhibit smaller MSEs compared to those under Prior 1 and Prior 2.
- (3)
- When the effective samples proportion is large, the MSEs of the different Bayesian estimates are relatively close under the same censored scheme. If we fix the values of and then, for a given censored scheme, the Bayesian estimates under the SELF and the GELF have larger MSEs compared to those under the LLF.
- (4)
- Based on Table 5, we observe that the ABs of all the Bayesian estimators are negative. In contrast, the ABs of the ML estimator exhibit both positive and negative signs. This result indicates that, under the various conditions simulated in this study, the Bayesian estimation tends to underestimate the true LPI values, while the ML estimation exhibits a mixture of overestimation and underestimation across different scenarios.
- (5)
- From Table 6, as the proportion increases, the CPs of two confidence intervals and one credible interval increase. Regardless of whether a non-informative prior or gamma priors are used, the coverage performance of the HPD credible intervals is better than that of the ACI and BCI under the CS-II. For a small proportion , the coverage performance of the BCI outperforms the other two interval types in comparison to under the CS-I and CS-III.
- (6)
- From Table 6, when is small, the AW of the ACI is relatively large. For example, when and , the AW of the ACI under the CS-II is 1.2137. Under the CS-II, the CPs of the HPD credible intervals consistently exceed 95%. However, under the CS-I, the CPs of the HPD credible intervals are smaller than 95%.
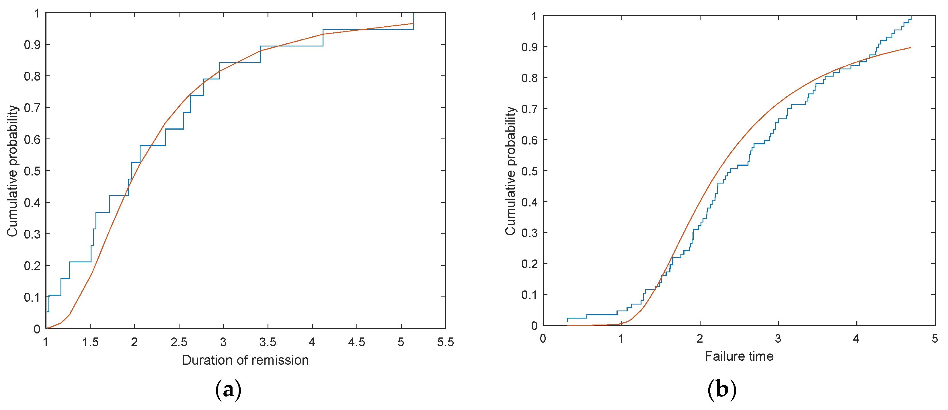
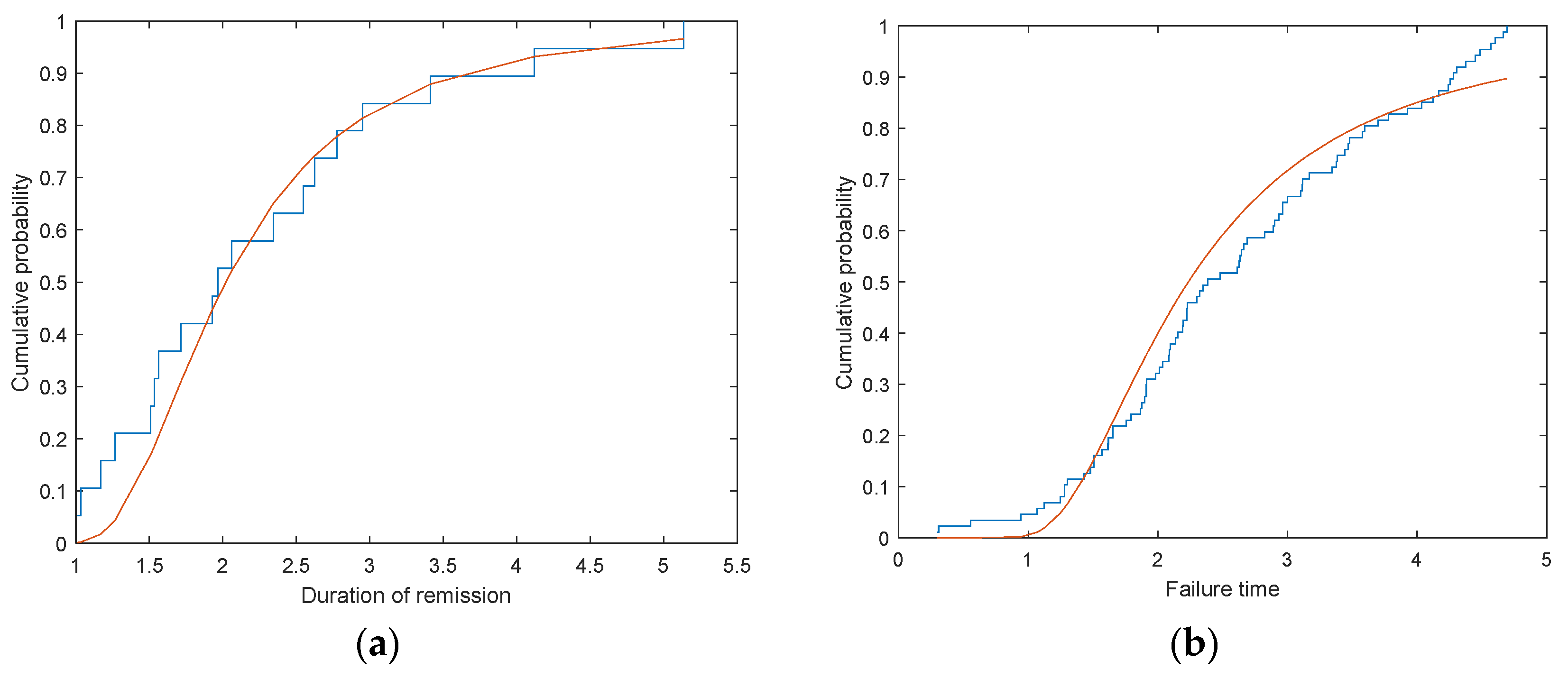
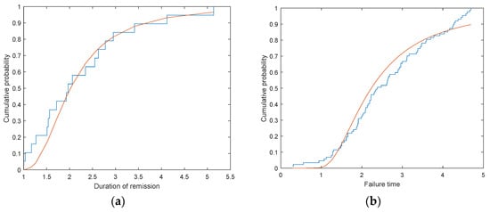
7. Real Data Analysis
8. Conclusions
Author Contributions
Funding
Data Availability Statement
Conflicts of Interest
References
- Yen, C.H.; Chang, C.H.; Lee, C.C. A new multiple dependent state sampling plan based on one-sided process capability indices. Int. J. Adv. Manuf. Technol. 2023, 126, 3297–3309. [Google Scholar] [CrossRef]
- Wang, S.; Chiang, J.Y.; Tsai, T.R.; Qin, Y. Robust process capability indices and statistical inference based on model selection. Comput. Ind. Eng. 2021, 156, 107265. [Google Scholar] [CrossRef]
- Yalçın, S.; Kaya, İ. Analyzing of process capability indices based on neutrosophic sets. Comp. Appl. Math. 2022, 41, 287. [Google Scholar] [CrossRef]
- Wang, T.C. Developing an adaptive sampling system indexed by Taguchi capability with acceptance-criterion-switching mechanism. Int. J. Adv. Manuf. Technol. 2022, 122, 2329–2342. [Google Scholar] [CrossRef]
- Montgomery, D.C. Introduction to Statistical Quality Control; John Wiley & Sons: Hoboken, NJ, USA, 2007. [Google Scholar]
- Shaabani, J.; Jafari, A.A. Inference on the lifetime performance index of gamma distribution: Point and interval estimation. Commun. Stat. Simulat. Comput. 2022, 53, 1368–1386. [Google Scholar] [CrossRef]
- İklim, G.B. Estimation of the generalized process capability index Cpyk based on bias-corrected maximum-likelihood estimators for the generalized inverse Lindley distribution and bootstrap confidence intervals. J. Stat. Comput. Simulat. 2021, 91, 1960–1979. [Google Scholar] [CrossRef]
- Cohen, A.; Clifford, J. Progressively censored samples in life testing. Technometrics 1963, 5, 327–339. [Google Scholar] [CrossRef]
- Kilany, N.M.; Lobna, H.E.R. Evaluating the lifetime performance index of omega distribution based on progressive type-II censored samples. Sci. Rep. 2024, 14, 5694–5708. [Google Scholar] [CrossRef]
- Mohammad, V.A.; Mahdi, D. Bayesian analysis of the lifetime performance index on the basis of progressively censored Weibull observations. Qual. Technol. Quant. Manag. 2022, 19, 187–214. [Google Scholar] [CrossRef]
- Hanan, H.A.; Kariema, E.; Dina, R. Investigating the lifetime performance index under Ishita distribution based on progressive type II censored data with applications. Symmetry 2023, 15, 1779. [Google Scholar] [CrossRef]
- Kundu, D.; Joarder, A. Analysis of Type-II progressively hybrid censored data. Comput. Stat. Data Anal. 2006, 50, 2509–2528. [Google Scholar] [CrossRef]
- Ng, H.K.T.; Kundu, D.; Chan, P.S. Statistical analysis of exponential lifetimes under an adaptive type II progressively censoring scheme. Nav. Res. Logist. 2009, 56, 687–698. [Google Scholar] [CrossRef]
- Hassan, A.S.; Elsherpieny, E.A.; Felifel, A.M. Bayesian and non-Bayesian analysis for the lifetime performance index based on generalized order statistics from Pareto distribution. J. Auton. Intell. 2024, 7. [Google Scholar] [CrossRef]
- Wu, S.F.; Cheng, Y.W.; Kang, C.W.; Chang, W.T. Reliability sampling design for the lifetime performance index of Burr XII lifetime distribution under progressive type I interval censoring. Commun. Stat. Simul. Comput. 2023, 52, 5483–5497. [Google Scholar] [CrossRef]
- Wu, S.F.; Song, M.Z. Experimental Design for Progressive Type I Interval Censoring on the Lifetime Performance Index of Chen Lifetime Distribution. Mathematics 2023, 11, 1554. [Google Scholar] [CrossRef]
- Zhang, Y.; Gui, W.H. Statistical inference for the lifetime performance index of products with Pareto distribution on basis of general progressive type II censored sample. Commun. Stat. Theory Methods 2021, 50, 3790–3808. [Google Scholar] [CrossRef]
- Rady, E.A.; Hassanein, W.; Yehia, S. Evaluation of the lifetime performance index on first failure progressive censored data based on Topp Leone Alpha power exponential model applied on HPLC data. J. Biopharm. Stat. 2021, 31, 565–582. [Google Scholar] [CrossRef]
- Alharthi, A.S.; Fatimah, A.A. Evaluating the lifetime performance index of the generalized half-logistic population in the generalized Type I hybrid censoring scheme. Alex. Eng. J. 2024, 105, 237–244. [Google Scholar] [CrossRef]
- Sharma, V.K.; Singh, S.K.; Singh, U.; Merovci, F. The generalized inverse Lindley distribution: A new inverse statistical model for the study of upside-down bathtub data. Commun. Stat. Theory Methods 2016, 45, 5709–5729. [Google Scholar] [CrossRef]
- Basu, S.; Singh, S.K.; Singh, U. Inference on generalized inverse Lindley distribution under progressive hybrid censoring scheme. J. Iran. Stat. Soc. 2022, 21, 21–50. [Google Scholar] [CrossRef]
- Vikas, K.S. Bayesian analysis of head and neck cancer data using generalized inverse Lindley stress–strength reliability model. Commun. Stat. Theory Methods 2018, 47, 1155–1180. [Google Scholar] [CrossRef]
- Devendra, K.; Mazen, N.; Sanku, D. Inference for generalized inverse Lindley distribution based on generalized order statistics. Afr. Mat. 2020, 31, 1207–1235. [Google Scholar] [CrossRef]
- Fatma, G.A.; Keming, Y.; Birdal, S. Estimation of the system reliability for generalized inverse Lindley distribution based on different sampling designs. Commun. Stat. Theory Methods 2021, 50, 1532–1546. [Google Scholar] [CrossRef]
- Asgharzadeh, A.; Nadarajah, S.; Sharafi, F. Generalized inverse Lindley distribution with application to Danish fire insurance data. Commun. Stat. Theory Methods 2017, 46, 5001–5021. [Google Scholar] [CrossRef]
- Intekhab, A.; Murshid, K.; Mohammad, T.I.; Saqib, S.W.; Imran, A. Statistical analysis from the generalized inverse Lindley distribution with adaptive type-II progressively hybrid censoring scheme. Ann. Data Sci. 2024, 11, 479–506. [Google Scholar] [CrossRef]
- Devendra, K.; Mazen, N.; Sanku, D.; Farouq, M.A.A. On estimation procedures of constant stress accelerated life test for generalized inverse Lindley distribution. Qual. Reliab. Eng. Int. 2022, 38, 211–228. [Google Scholar] [CrossRef]
- Mojammel, H.S.; Manas, R.T.; Debasis, K. Estimating parameters from the generalized inverse Lindley distribution under hybrid censoring scheme. Commun. Stat. Theory Methods 2019, 48, 5839–5862. [Google Scholar] [CrossRef]
- Muhammad, S.; Irum, S.D.; Muhammad, A.H.; Rana, M.U. A sustainable generalization of inverse Lindley distribution for wind speed analysis in certain regions of Pakistan. Model. Earth Syst. Environ. 2022, 8, 625–637. [Google Scholar] [CrossRef]
- Ouyang, L.; Dey, S.; Byun, J.H.; Park, C. Confidence intervals of the process capability index Cpc revisited via modified bootstrap technique and ROC curves. Qual. Reliab. Eng. Int. 2023, 39, 2162–2184. [Google Scholar] [CrossRef]
- Saha, M.; Sanku, D.; Saralees, N. Parametric inference of the process capability index Cpc for exponentiated exponential distribution. J. Appl. Stat. 2022, 49, 4097–4121. [Google Scholar] [CrossRef]
- Tolba, A.H.; Ehab, M.A.; Dina, A.R. Bayesian estimation of a one parameter Akshaya distribution with progressively type ii censord data. J. Stat. Appl. Probab. 2022, 11, 565–579. [Google Scholar] [CrossRef]
- Maiti, K.; Suchandan, K. Estimation of stress-strength reliability following extended Chen distribution. Int. J. Reliab. Qual. Saf. Eng. 2022, 29, 2150048–2150075. [Google Scholar] [CrossRef]
- Kumar, S.; Yadav, A.S.; Dey, S.; Saha, M. Parametric inference of generalized process capability index Cpyk for the power Lindley distribution. Qual. Technol. Quant. Manag. 2022, 19, 153–186. [Google Scholar] [CrossRef]
- Migdadi, H.S.; Al-Olaimat, N.M.; Maryam, M.; Omar, M. Statistical inference for the Power Rayleigh distribution based on adaptive progressive Type-II censored data. AIMS Math. 2023, 8, 22553–22576. [Google Scholar] [CrossRef]
- Jana, N.; Samadrita, B. Interval estimation of multicomponent stress–strength reliability based on inverse Weibull distribution. Math. Comput. Simulat. 2022, 191, 95–119. [Google Scholar] [CrossRef]
- Hall, P. Theoretical comparison of bootstrap confidence intervals. Ann. Stat. 1988, 16, 927–953. [Google Scholar] [CrossRef]
- Xu, B.; Wang, D.; Wang, R. Estimator of scale parameter in a subclass of the exponential family under symmetric entropy loss. Northeast. Math. J. 2008, 24, 447–457. [Google Scholar] [CrossRef]
- Varian, H.R. A Bayesian Approach to Real Estate Assessment; Studies in Bayesian Econometrics and Statistics in Honor of Leonard J. Savage; American Elsevier: Amsterdam, NY, USA, 1975. [Google Scholar]
- Calabria, R.; Pulcini, G. An engineering approach to bayes estimation for the Weibull distribution. Microelectron. Reliab. 1994, 34, 789–802. [Google Scholar] [CrossRef]
- Chen, M.; Shao, Q. Monte Carlo estimation of Bayesian credible and HPD intervals. J. Comput. Graph. Stat. 1999, 8, 69–92. [Google Scholar] [CrossRef]
- Wu, S.F.; Wu, C.C. Two stage multiple comparisons with the average for exponential location parameters under heteroscedasticity. J. Stat. Plan. Inference 2005, 134, 392–408. [Google Scholar] [CrossRef]
- Blischke, W.R.; Murthy, D.N.P. Reliability: Modeling, Prediction, and Optimization; John Wiley & Sons: Hoboken, NJ, USA, 2011. [Google Scholar]




| References | Sample Type | Lifetime Model | Focus |
|---|---|---|---|
| Kilany and Lobna [9] | Progressive type-II censored sample | Omega distribution | ML and Bayesian estimation |
| Mohammad and Mahdi [10] | Weibull distribution | Bayesian estimation | |
| Hanan et al. [11] | Ishita distribution | ML and Bayesian estimation | |
| Hassan et al. [14] | Generalized order statistics | Pareto distribution | ML and Bayesian estimation |
| Wu et al. [15] | Progressive type-I interval censored sample | Burr XII distribution | Sampling design |
| Wu and Song [16] | Chen distribution | Sampling design | |
| Zhang and Gui [17] | General progressive type-II censored sample | Pareto distribution | ML and Bayesian estimation |
| Rady et al. [18] | First failure progressive censored sample | Topp Leone Alpha power Exponential distribution | ML estimation |
| Alharthi and Fatimah [19] | Generalized type-I hybrid censored sample | Generalized half-logistic distribution | ML and Bayesian estimation |
| 0.0000 | 0.20 | 0.4633 | 0.60 | 0.8259 | |
| −3.00 | 0.0150 | 0.25 | 0.5015 | 0.65 | 0.8706 |
| −2.50 | 0.0215 | 0.30 | 0.5425 | 0.70 | 0.9103 |
| −2.00 | 0.0322 | 0.35 | 0.5862 | 0.75 | 0.9432 |
| −1.50 | 0.0511 | 0.40 | 0.6322 | 0.80 | 0.9682 |
| −1.00 | 0.0869 | 0.45 | 0.6801 | 0.85 | 0.9849 |
| 0.00 | 0.3377 | 0.50 | 0.7291 | 0.90 | 0.9943 |
| 0.10 | 0.3953 | 0.55 | 0.7782 | 0.95 | 0.9984 |
| Serial Number | Censored Scheme (CS) |
|---|---|
| I | |
| II | |
| III |
| CS | Prior 1 | Prior 2 | Prior 3 | |||||||||
|---|---|---|---|---|---|---|---|---|---|---|---|---|
| 30 | 20 | I | 0.0737 (0.4210) | 0.0718 (0.3504) | 0.0556 (0.3831) | 0.0797 (0.3347) | 0.0916 (0.3021) | 0.0717 (0.3372) | 0.1008 (0.2871) | 0.0654 (0.3394) | 0.0577 (0.3745) | 0.0732 (0.3246) |
| II | 0.0799 (0.3228) | 0.0720 (0.3710) | 0.0555 (0.4017) | 0.0797 (0.3560) | 0.1052 (0.3878) | 0.0631 (0.3797) | 0.0628 (0.3674) | 0.0591 (0.3589) | 0.0452 (0.4375) | 0.0603 (0.3277) | ||
| III | 0.0620 (0.6865) | 0.0463 (0.4616) | 0.0348 (0.4898) | 0.0495 (0.4485) | 0.0816 (0.3216) | 0.0634 (0.3564) | 0.0898 (0.3069) | 0.0402 (0.4496) | 0.0300 (0.4778) | 0.0447 (0.4351) | ||
| 70 | 30 | I | 0.0813 (0.3541) | 0.1181 (0.2603) | 0.0959 (0.2945) | 0.1278 (0.2464) | 0.1216 (0.2542) | 0.0982 (0.2894) | 0.1323 (0.2391) | 0.0767 (0.2928) | 0.0658 (0.3287) | 0.0804 (0.2773) |
| II | 0.0998 (0.2485) | 0.0961 (0.2962) | 0.0755 (0.3311) | 0.1053 (0.2815) | 0.0876 (0.3123) | 0.0667 (0.3510) | 0.0978 (0.2955) | 0.0679 (0.3919) | 0.0566 (0.3281) | 0.0782 (0.2770) | ||
| III | 0.0380 (0.6546) | 0.0645 (0.3725) | 0.0508 (0.4003) | 0.0698 (0.3615) | 0.0975 (0.2952) | 0.0788 (0.3270) | 0.1050 (0.2831) | 0.0555 (0.3894) | 0.0425 (0.4192) | 0.0610 (0.3767) | ||
| 50 | I | 0.0639 (0.3987) | 0.0966 (0.2939) | 0.0753 (0.3304) | 0.1059 (0.2790) | 0.0957 (0.2985) | 0.0751 (0.3334) | 0.1057 (0.2826) | 0.0501 (0.3572) | 0.0475 (0.3915) | 0.0596 (0.3426) | |
| II | 0.0677 (0.3865) | 0.0617 (0.4249) | 0.0511 (0.4420) | 0.0665 (0.4138) | 0.0524 (0.4082) | 0.1029 (0.2087) | 0.0710 (0.4047) | 0.0235 (0.4042) | 0.0359 (0.4203) | 0.0355 (0.3906) | ||
| III | 0.0237 (0.6261) | 0.0588 (0.3814) | 0.0451 (0.4121) | 0.0645 (0.3687) | 0.1005 (0.2864) | 0.0802 (0.3209) | 0.1090 (0.2731) | 0.0318 (0.3746) | 0.0286 (0.4023) | 0.0370 (0.3635) | ||
| 100 | 30 | I | 0.0782 (0.3328) | 0.1391 (0.2283) | 0.1143 (0.2673) | 0.1492 (0.2150) | 0.1332 (0.2388) | 0.1098 (0.2719) | 0.1443 (0.2238) | 0.0617 (0.3021) | 0.0506 (0.3393) | 0.0651 (0.2867) |
| II | 0.0798 (0.3159) | 0.0802 (0.3293) | 0.0618 (0.3643) | 0.0874 (0.3163) | 0.1050 (0.2785) | 0.0831 (0.3143) | 0.1140 (0.2646) | 0.0619 (0.3249) | 0.0464 (0.3576) | 0.0793 (0.3117) | ||
| III | 0.0426 (0.6654) | 0.0766 (0.3373) | 0.0616 (0.3656) | 0.0819 (0.3273) | 0.1078 (0.2765) | 0.0880 (0.3082) | 0.1149 (0.2656) | 0.0478 (0.3570) | 0.0327 (0.3882) | 0.0540 (0.3443) | ||
| 50 | I | 0.0708 (0.3587) | 0.1145 (0.2653) | 0.0920 (0.3009) | 0.1250 (0.2500) | 0.1033 (0.2892) | 0.0829 (0.3218) | 0.1140 (0.2732) | 0.0616 (0.2631) | 0.0535 (0.2980) | 0.0663 (0.2482) | |
| II | 0.0846 (0.3100) | 0.0819 (0.3311) | 0.0629 (0.3649) | 0.0919 (0.3142) | 0.0639 (0.3658) | 0.0486 (0.3963) | 0.0726 (0.3496) | 0.0623 (0.3287) | 0.0431 (0.3651) | 0.0726 (0.3121) | ||
| III | 0.0238 (0.6186) | 0.0734 (0.3467) | 0.0588 (0.3748) | 0.0795 (0.3349) | 0.1074 (0.2765) | 0.0871 (0.3095) | 0.1153 (0.2644) | 0.0222 (0.4469) | 0.0172 (0.4765) | 0.0280 (0.4359) | ||
| 70 | I | 0.0601 (0.4114) | 0.0902 (0.3052) | 0.0706 (0.3401) | 0.1004 (0.2886) | 0.0787 (0.3309) | 0.0599 (0.3660) | 0.0873 (0.3156) | 0.0601 (0.3420) | 0.0570 (0.3757) | 0.0644 (0.3278) | |
| II | 0.0381 (0.6054) | 0.0459 (0.3981) | 0.0382 (0.4145) | 0.0513 (0.3866) | 0.0432 (0.4043) | 0.0359 (0.4207) | 0.0486 (0.3926) | 0.0266 (0.4766) | 0.0194 (0.5061) | 0.0311 (0.4769) | ||
| III | 0.0187 (0.6110) | 0.0643 (0.3598) | 0.0492 (0.3919) | 0.0705 (0.3469) | 0.1076 (0.2739) | 0.0861 (0.3087) | 0.1161 (0.2609) | 0.0171 (0.4374) | 0.0113 (0.5062) | 0.0126 (0.4723) | ||
| 150 | 40 | I | 0.0791 (0.3281) | 0.1237 (0.2494) | 0.1034 (0.2847) | 0.1393 (0.2328) | 0.1033 (0.2896) | 0.0829 (0.3224) | 0.1150 (0.2720) | 0.0691 (0.2905) | 0.0577 (0.3263) | 0.0614 (0.2727) |
| II | 0.0867 (0.3040) | 0.0861 (0.3178) | 0.0687 (0.3495) | 0.0931 (0.3056) | 0.1132 (0.2685) | 0.0919 (0.2992) | 0.1223 (0.2523) | 0.0624 (0.3259) | 0.0457 (0.3567) | 0.0691 (0.3139) | ||
| III | 0.0269 (0.6490) | 0.0890 (0.3104) | 0.0730 (0.3385) | 0.0951 (0.3001) | 0.1176 (0.2594) | 0.0973 (0.2909) | 0.1252 (0.2486) | 0.0338 (0.5191) | 0.0260 (0.5519) | 0.0303 (0.5076) | ||
| 60 | I | 0.0716 (0.3486) | 0.1108 (0.2725) | 0.0884 (0.3083) | 0.1224 (0.2553) | 0.0932 (0.3072) | 0.0724 (0.3428) | 0.1044 (0.2895) | 0.0613 (0.3479) | 0.0508 (0.3106) | 0.0619 (0.3577) | |
| II | 0.0639 (0.3736) | 0.1184 (0.2621) | 0.0959 (0.2968) | 0.1298 (0.2458) | 0.1003 (0.2949) | 0.0792 (0.3302) | 0.1117 (0.2774) | 0.0482 (0.4600) | 0.0392 (0.4955) | 0.0437 (0.4439) | ||
| III | 0.0204 (0.6388) | 0.0890 (0.3084) | 0.0713 (0.3397) | 0.0955 (0.2974) | 0.1199 (0.2549) | 0.0993 (0.2865) | 0.1283 (0.2430) | 0.0283 (0.4097) | 0.0120 (0.4401) | 0.0355 (0.3989) | ||
| 80 | I | 0.0616 (0.3925) | 0.0939 (0.3013) | 0.0728 (0.3377) | 0.1040 (0.2848) | 0.0772 (0.3355) | 0.0584 (0.3704) | 0.0867 (0.3186) | 0.0526 (0.3565) | 0.0493 (0.3912) | 0.0541 (0.3403) | |
| II | 0.0306 (0.6394) | 0.0508 (0.3966) | 0.0372 (0.4261) | 0.0579 (0.3819) | 0.0408 (0.4190) | 0.0308 (0.4421) | 0.0469 (0.4053) | 0.0262 (0.4895) | 0.0137 (0.5075) | 0.0329 (0.4953) | ||
| III | 0.0144 (0.6250) | 0.0823 (0.3225) | 0.0652 (0.3545) | 0.0891 (0.3106) | 0.1135 (0.2651) | 0.0915 (0.2988) | 0.1223 (0.2512) | 0.0188 (0.5133) | 0.0124 (0.5417) | 0.0245 (0.4636) | ||
| 200 | 40 | I | 0.0828 (0.3181) | 0.1207 (0.2607) | 0.0962 (0.2977) | 0.1335 (0.2426) | 0.0986 (0.3018) | 0.0759 (0.3394) | 0.1096 (0.2847) | 0.0741 (0.3013) | 0.0524 (0.3394) | 0.0746 (0.2842) |
| II | 0.0880 (0.3019) | 0.0588 (0.3894) | 0.0461 (0.4162) | 0.0637 (0.3783) | 0.0995 (0.2904) | 0.0804 (0.3226) | 0.1070 (0.2784) | 0.0541 (0.3936) | 0.0420 (0.4204) | 0.0585 (0.3832) | ||
| III | 0.0259 (0.6509) | 0.1010 (0.2895) | 0.0832 (0.3183) | 0.1070 (0.2799) | 0.1265 (0.2469) | 0.1059 (0.2772) | 0.1336 (0.2370) | 0.0280 (0.4123) | 0.0194 (0.4459) | 0.0348 (0.4006) | ||
| 80 | I | 0.0764 (0.3343) | 0.1076 (0.2854) | 0.0839 (0.3230) | 0.1194 (0.2676) | 0.0768 (0.3452) | 0.0588 (0.3755) | 0.0870 (0.3250) | 0.0679 (0.3789) | 0.0466 (0.3460) | 0.0622 (0.3604) | |
| II | 0.0678 (0.3574) | 0.1147 (0.2379) | 0.0924 (0.3081) | 0.1268 (0.2564) | 0.0936 (0.3089) | 0.0725 (0.3450) | 0.1054 (0.2903) | 0.0443 (0.3517) | 0.0286 (0.4077) | 0.0367 (0.3537) | ||
| III | 0.0144 (0.6182) | 0.0997 (0.2913) | 0.0817 (0.3212) | 0.1062 (0.2811) | 0.1280 (0.2441) | 0.1063 (0.2760) | 0.1356 (0.2335) | 0.0160 (0.4906) | 0.0097 (0.5201) | 0.0170 (0.4804) | ||
| 100 | I | 0.0578 (0.4088) | 0.0857 (0.3170) | 0.0660 (0.3530) | 0.0960 (0.2996) | 0.0661 (0.3637) | 0.0495 (0.3965) | 0.0752 (0.3464) | 0.0413 (0.3758) | 0.0399 (0.3616) | 0.0425 (0.3591) | |
| II | 0.0464 (0.7406) | 0.0462 (0.4079) | 0.0328 (0.4363) | 0.0536 (0.3922) | 0.0340 (0.4377) | 0.0255 (0.4589) | 0.0396 (0.4239) | 0.0351 (0.4107) | 0.0202 (0.4397) | 0.0394 (0.3958) | ||
| III | 0.0117 (0.6192) | 0.0941 (0.3004) | 0.0747 (0.3339) | 0.1017 (0.2879) | 0.1215 (0.2526) | 0.0977 (0.2886) | 0.1308 (0.2392) | 0.0107 (0.5289) | 0.0082 (0.5524) | 0.0127 (0.4885) | ||
| CS | Prior 1 | Prior 2 | Prior 3 | |||||||||
|---|---|---|---|---|---|---|---|---|---|---|---|---|
| 30 | 20 | I | −0.1773 | −0.2408 | −0.2453 | −0.2636 | −0.2962 | −0.2611 | −0.3112 | −0.2589 | −0.2238 | −0.2737 |
| II | −0.2775 | −0.2273 | −0.1966 | −0.2433 | −0.2105 | −0.2186 | −0.2309 | −0.2394 | −0.2608 | −0.2711 | ||
| III | 0.0882 | −0.1367 | −0.1085 | −0.1458 | −0.2767 | −0.2419 | −0.2419 | −0.1478 | −0.1205 | −0.1632 | ||
| 70 | 30 | I | −0.2443 | −0.3380 | −0.3038 | −0.3519 | −0.3441 | −0.3089 | −0.3593 | −0.3055 | −0.2969 | −0.3210 |
| II | −0.3118 | −0.3021 | −0.2672 | −0.3168 | −0.2860 | −0.2473 | −0.3028 | −0.3064 | −0.2702 | −0.3213 | ||
| III | 0.0563 | −0.2258 | −0.1980 | −0.2368 | −0.3031 | −0.2713 | −0.3152 | −0.2089 | −0.1792 | −0.2216 | ||
| 50 | I | −0.1996 | −0.3044 | −0.2679 | −0.3193 | −0.2998 | −0.2625 | −0.3157 | −0.2411 | −0.2068 | −0.2547 | |
| II | −0.2118 | −0.1734 | −0.1563 | −0.1845 | −0.1951 | −0.3117 | −0.1936 | −0.1942 | −0.2951 | −0.2077 | ||
| III | 0.0278 | −0.2169 | −0.1862 | −0.2296 | −0.3119 | −0.2775 | −0.3252 | −0.2237 | −0.1660 | −0.2048 | ||
| 100 | 30 | I | −0.2655 | −0.3700 | −0.3347 | −0.3833 | −0.3595 | −0.3264 | −0.3746 | −0.2962 | −0.2590 | −0.3116 |
| II | −0.2824 | −0.2690 | −0.2340 | −0.2820 | −0.3198 | −0.2840 | −0.3337 | −0.2734 | −0.2407 | −0.2866 | ||
| III | 0.0671 | −0.2610 | −0.2327 | −0.2710 | −0.3218 | −0.2901 | −0.3327 | −0.2414 | −0.2101 | −0.2540 | ||
| 50 | I | −0.2397 | −0.3330 | −0.2974 | −0.3483 | −0.3091 | −0.2765 | −0.3251 | −0.3352 | −0.3003 | −0.3501 | |
| II | −0.2884 | −0.2672 | −0.2334 | −0.2841 | −0.2325 | −0.2020 | −0.2488 | −0.2696 | −0.2348 | −0.2862 | ||
| III | 0.0203 | −0.2516 | −0.2235 | −0.2634 | −0.3218 | −0.2889 | −0.3339 | −0.1514 | −0.1218 | −0.1628 | ||
| 70 | I | −0.1870 | −0.2931 | −0.2582 | −0.3098 | −0.2672 | −0.2323 | −0.2827 | −0.3563 | −0.3226 | −0.3705 | |
| II | 0.0071 | −0.2002 | −0.1838 | −0.2117 | −0.1940 | −0.1776 | −0.2057 | −0.2017 | −0.2922 | −0.2215 | ||
| III | 0.0126 | −0.2385 | −0.2064 | −0.2514 | −0.3244 | −0.2869 | −0.3374 | −0.1609 | −0.1332 | −0.1709 | ||
| 150 | 40 | I | −0.2702 | −0.3489 | −0.3136 | −0.3655 | −0.3087 | −0.2759 | −0.3263 | −0.3078 | −0.2720 | −0.3256 |
| II | −0.2943 | −0.2806 | −0.2488 | −0.2927 | −0.3325 | −0.2991 | −0.3460 | −0.2724 | −0.2461 | −0.2844 | ||
| III | 0.0507 | −0.2879 | −0.2598 | −0.2982 | −0.3389 | −0.3074 | −0.3497 | −0.2192 | −0.1464 | −0.1907 | ||
| 60 | I | −0.2497 | −0.3259 | −0.2900 | −0.3431 | −0.2911 | −0.2555 | −0.3089 | −0.3234 | −0.2877 | −0.3406 | |
| II | −0.2248 | −0.3362 | −0.3015 | −0.3525 | −0.3034 | −0.2681 | −0.3210 | −0.2383 | −0.2028 | −0.2544 | ||
| III | 0.0405 | −0.2899 | −0.2586 | −0.3009 | −0.3434 | −0.3118 | −0.3553 | −0.1886 | −0.1582 | −0.1994 | ||
| 80 | I | −0.2058 | −0.2971 | −0.2606 | −0.3135 | −0.2628 | −0.2279 | −0.2797 | −0.3418 | −0.3072 | −0.3580 | |
| II | 0.0411 | −0.2018 | −0.1722 | −0.2164 | −0.1794 | −0.1562 | −0.1960 | −0.1845 | −0.1608 | −0.1031 | ||
| III | 0.0267 | −0.2758 | −0.2438 | −0.2877 | −0.3343 | −0.2995 | −0.3471 | −0.1580 | −0.1566 | −0.1948 | ||
| 200 | 40 | I | −0.2802 | −0.3376 | −0.3006 | −0.3557 | −0.2965 | −0.2589 | −0.3136 | −0.2970 | −0.2589 | −0.3141 |
| II | −0.2964 | −0.2090 | −0.1821 | −0.2200 | −0.3080 | −0.2758 | −0.3199 | −0.2047 | −0.1779 | −0.2151 | ||
| III | 0.0525 | −0.3088 | −0.2800 | −0.3184 | −0.3515 | −0.3212 | −0.3613 | −0.2860 | −0.2524 | −0.2977 | ||
| 80 | I | −0.2640 | −0.3129 | −0.2573 | −0.3308 | −0.2558 | −0.2228 | −0.2733 | −0.2194 | −0.1823 | −0.2379 | |
| II | −0.2409 | −0.3244 | −0.2902 | −0.3419 | −0.2894 | −0.2533 | −0.3080 | −0.1266 | −0.1906 | −0.1446 | ||
| III | 0.0199 | −0.3070 | −0.2771 | −0.3173 | −0.3542 | −0.3223 | −0.3648 | −0.1077 | −0.1781 | −0.1179 | ||
| 100 | I | −0.1895 | −0.2813 | −0.2453 | −0.2987 | −0.2347 | −0.2021 | −0.2519 | −0.2225 | −0.1867 | −0.2392 | |
| II | 0.1423 | −0.1904 | −0.1620 | −0.2061 | −0.1606 | −0.1394 | −0.1744 | −0.1876 | −0.1586 | −0.2025 | ||
| III | 0.0209 | −0.2979 | −0.2644 | −0.3104 | −0.3457 | −0.3097 | −0.3592 | −0.1005 | −0.0729 | −0.1098 | ||
| CS | ACI | BCI | HPD | |||||||||
|---|---|---|---|---|---|---|---|---|---|---|---|---|
| Prior 1 | Prior 2 | Prior 3 | ||||||||||
| CP | AW | CP | AW | CP | AW | CP | AW | CP | AW | |||
| 30 | 20 | I | 0.8321 | 0.6013 | 0.8445 | 0.6906 | 0.8940 | 0.1635 | 0.8660 | 0.1540 | 0.8667 | 0.6529 |
| II | 0.8474 | 0.6552 | 0.8134 | 0.2487 | 0.9920 | 0.4038 | 0.9960 | 0.3528 | 0.9564 | 0.3156 | ||
| III | 0.8744 | 0.4385 | 0.8564 | 0.8160 | 0.9560 | 0.2294 | 0.9280 | 0.1996 | 0.9800 | 0.7481 | ||
| 70 | 30 | I | 0.8117 | 0.2247 | 0.9011 | 0.4620 | 0.8140 | 0.1303 | 0.8280 | 0.1227 | 0.8767 | 0.5936 |
| II | 0.8267 | 0.8257 | 0.8654 | 0.3161 | 0.9900 | 0.3490 | 0.9960 | 0.3305 | 0.9270 | 0.3964 | ||
| III | 0.8217 | 0.7948 | 0.8973 | 0.2450 | 0.8740 | 0.1334 | 0.8520 | 0.1327 | 0.9267 | 0.6505 | ||
| 50 | I | 0.8623 | 0.5887 | 0.8376 | 0.5036 | 0.8560 | 0.1327 | 0.8600 | 0.1321 | 0.9033 | 0.4311 | |
| II | 0.9000 | 0.3739 | 0.8021 | 0.1274 | 0.9980 | 0.3435 | 1.0000 | 0.3064 | 0.9677 | 0.3967 | ||
| III | 0.9100 | 0.3099 | 0.8480 | 1.1489 | 0.9220 | 0.1708 | 0.8920 | 0.1597 | 0.9320 | 0.5949 | ||
| 100 | 30 | I | 0.7993 | 0.3831 | 0.9338 | 0.5442 | 0.8360 | 0.1195 | 0.8680 | 0.1224 | 0.8233 | 0.5062 |
| II | 0.8278 | 1.2137 | 0.8966 | 0.1809 | 0.9960 | 0.3579 | 1.0000 | 0.3400 | 0.9088 | 0.4951 | ||
| III | 0.8200 | 0.2649 | 0.9201 | 0.5107 | 0.8280 | 0.1276 | 0.8000 | 0.1264 | 0.8167 | 0.6223 | ||
| 50 | I | 0.8181 | 0.2554 | 0.8694 | 0.4747 | 0.8340 | 0.1264 | 0.8020 | 0.1225 | 0.8300 | 0.5383 | |
| II | 0.8500 | 0.4492 | 0.8541 | 2.3060 | 0.9940 | 0.3193 | 0.9980 | 0.3140 | 0.9154 | 0.4446 | ||
| III | 0.8300 | 0.5740 | 0.8896 | 0.1546 | 0.8540 | 0.1297 | 0.8340 | 0.1304 | 0.8470 | 0.5760 | ||
| 70 | I | 0.8268 | 0.5072 | 0.8521 | 0.4480 | 0.8500 | 0.1289 | 0.8620 | 0.1296 | 0.8933 | 0.5039 | |
| II | 0.9108 | 0.3361 | 0.8247 | 0.5436 | 0.9900 | 0.3020 | 1.0000 | 0.2956 | 0.9490 | 0.3036 | ||
| III | 0.8933 | 0.3486 | 0.8642 | 0.5161 | 0.8920 | 0.1441 | 0.8720 | 0.1406 | 0.8765 | 0.5381 | ||
| 150 | 40 | I | 0.7882 | 0.3657 | 0.9425 | 0.7191 | 0.7900 | 0.1257 | 0.7900 | 0.0485 | 0.8533 | 0.4955 |
| II | 0.8110 | 1.3912 | 0.9077 | 0.4710 | 0.9840 | 0.3299 | 0.9940 | 0.3240 | 0.9153 | 0.3727 | ||
| III | 0.8012 | 0.2883 | 0.9267 | 0.5642 | 0.8080 | 1.2255 | 0.8280 | 0.1281 | 0.8268 | 0.5742 | ||
| 60 | I | 0.8117 | 0.2986 | 0.9247 | 0.4427 | 0.8220 | 0.4337 | 0.8340 | 0.0322 | 0.8650 | 0.5605 | |
| II | 0.8438 | 0.4730 | 0.8771 | 0.7233 | 0.9960 | 0.3113 | 0.9980 | 0.3068 | 0.9400 | 0.3554 | ||
| III | 0.8201 | 0.3532 | 0.9045 | 0.2224 | 0.8280 | 0.1245 | 0.7680 | 0.1202 | 0.8767 | 0.5389 | ||
| 80 | I | 0.8335 | 0.3612 | 0.8803 | 0.4375 | 0.8340 | 0.1237 | 0.8280 | 0.1214 | 0.8760 | 0.5210 | |
| II | 0.8551 | 0.2738 | 0.8456 | 0.9327 | 0.9960 | 0.2978 | 1.0000 | 0.2934 | 0.9467 | 0.3366 | ||
| III | 0.8321 | 0.4967 | 0.8815 | 0.1676 | 0.8420 | 0.1286 | 0.8380 | 0.1254 | 0.8947 | 0.5161 | ||
| 200 | 40 | I | 0.7735 | 0.2248 | 0.9488 | 1.3135 | 0.7820 | 0.6273 | 0.7840 | 0.5999 | 0.8467 | 0.5919 |
| II | 0.8143 | 1.6440 | 0.9192 | 0.7622 | 0.9840 | 0.3390 | 0.9900 | 0.3732 | 0.9633 | 0.2906 | ||
| III | 0.8117 | 0.2801 | 0.9329 | 0.8906 | 0.8300 | 0.1232 | 0.8080 | 0.0969 | 0.8377 | 0.5707 | ||
| 80 | I | 0.7993 | 0.2860 | 0.9102 | 0.4652 | 0.7740 | 0.5723 | 0.7860 | 0.6247 | 0.8333 | 0.5644 | |
| II | 0.8400 | 0.3048 | 0.8879 | 0.5705 | 0.9940 | 0.3004 | 0.9960 | 0.2951 | 0.9867 | 0.2553 | ||
| III | 0.8255 | 0.2656 | 0.9133 | 0.2379 | 0.8160 | 0.1206 | 0.8260 | 0.1241 | 0.8967 | 0.5059 | ||
| 100 | I | 0.8119 | 0.2970 | 0.8924 | 0.4143 | 0.8060 | 0.1353 | 0.8260 | 0.2840 | 0.8430 | 0.5283 | |
| II | 0.8900 | 0.2355 | 0.8359 | 1.0363 | 0.9980 | 0.2908 | 1.0000 | 0.2878 | 0.9933 | 0.2066 | ||
| III | 0.8281 | 0.4396 | 0.8729 | 0.1190 | 0.8160 | 0.1242 | 0.8180 | 0.1212 | 0.9004 | 0.4892 | ||
| Data | K-S | |||||||||||
|---|---|---|---|---|---|---|---|---|---|---|---|---|
| Statistic | p-Values | |||||||||||
| Data 1 | 1.013 | 1.034 | 1.169 | 1.266 | 1.509 | 1.533 | 1.563 | 1.716 | 1.929 | 1.965 | 0.1669 | 0.3468 |
| 2.061 | 2.344 | 2.546 | 2.626 | 2.778 | 2.951 | 3.413 | 4.118 | 5.136 | ||||
| Data 2 | 0.301 | 0.309 | 0.557 | 0.943 | 1.070 | 1.124 | 1.248 | 1.281 | 1.281 | 1.303 | 0.1029 | 0.1587 |
| 1.432 | 1.480 | 1.505 | 1.506 | 1.568 | 1.615 | 1.619 | 0.652 | 0.652 | 1.757 | |||
| 1.795 | 1.866 | 1.876 | 1.899 | 1.911 | 1.912 | 1.914 | 1.981 | 2.010 | 2.038 | |||
| 2.085 | 2.089 | 2.097 | 2.135 | 2.154 | 2.190 | 2.194 | 2.223 | 2.224 | 2.229 | |||
| 2.300 | 2.324 | 2.349 | 2.385 | 2.481 | 2.610 | 2.625 | 2.632 | 2.646 | 2.661 | |||
| 2.688 | 2.823 | 2.890 | 2.902 | 2.934 | 2.962 | 2.964 | 3.000 | 3.103 | 3.114 | |||
| 3.117 | 3.166 | 3.344 | 3.376 | 3.385 | 3.443 | 3.467 | 3.478 | 3.578 | 3.595 | |||
| 3.699 | 3.779 | 3.924 | 4.035 | 4.121 | 4.167 | 4.240 | 4.255 | 4.278 | 4.305 | |||
| 4.376 | 4.449 | 4.485 | 4.570 | 4.602 | 4.663 | 4.694 | ||||||
| Serial Number | Censored Scheme | Censored Sample | |||||||||
|---|---|---|---|---|---|---|---|---|---|---|---|
| Data 1 | I | 1.013 | 1.965 | 2.061 | 2.344 | 2.546 | 2.626 | 2.778 | 2.951 | 3.413 | |
| 4.118 | 5.136 | ||||||||||
| II | 1.013 | 1.533 | 1.563 | 1.716 | 1.929 | 1.965 | 2.061 | 2.344 | 2.546 | ||
| 2.626 | 2.778 | ||||||||||
| Data 2 | I | 0.301 | 2.646 | 2.661 | 2.688 | 2.823 | 2.890 | 2.902 | 2.934 | 2.962 | |
| 2.964 | 3.000 | 3.103 | 3.114 | 3.117 | 3.166 | 3.344 | 3.376 | 3.385 | |||
| 3.443 | 3.467 | 3.478 | 3.578 | 3.595 | 3.699 | 3.779 | 3.924 | 4.035 | |||
| 4.121 | 4.167 | 4.240 | 4.255 | 4.278 | 4.305 | 4.376 | 4.449 | 4.485 | |||
| 4.570 | 4.602 | 4.663 | 4.694 | ||||||||
| II | 0.301 | 1.866 | 1.876 | 1.899 | 1.911 | 1.912 | 1.914 | 1.981 | 2.010 | ||
| 2.038 | 2.085 | 2.089 | 2.097 | 2.135 | 2.154 | 2.190 | 2.194 | 2.223 | |||
| 2.224 | 2.229 | 2.300 | 2.324 | 2.349 | 2.385 | 2.481 | 2.610 | 2.625 | |||
| 2.632 | 2.646 | 2.661 | 2.688 | 2.823 | 2.890 | 2.902 | 2.934 | 2.962 | |||
| 2.964 | 3.000 | 3.103 | 3.114 | ||||||||
| CS | ACI | BCI | HPD | |||||
|---|---|---|---|---|---|---|---|---|
| Data 1 | I | 0.3788 | 0.5689 | 0.5733 | 0.5595 | (0.2770, 1.2346) | (0.1437, 0.7382) | (0.1139, 0.8767) |
| II | 0.5571 | 0.7969 | 0.7909 | 0.7905 | (0.1106,1.4642) | (0.4201, 1.6411) | (0.3229,1.0561) | |
| Data 2 | I | 0.5217 | 0.4222 | 0.4237 | 0.4219 | (0.2591, 0.6148) | (0.3114, 0.5995) | (0.2739, 0.4948) |
| II | 0.2639 | 0.3786 | 0.3819 | 0.3790 | (0.1816, 0.4095) | (0.1004, 0.4150) | (0.1840, 0.4732) |
Disclaimer/Publisher’s Note: The statements, opinions and data contained in all publications are solely those of the individual author(s) and contributor(s) and not of MDPI and/or the editor(s). MDPI and/or the editor(s) disclaim responsibility for any injury to people or property resulting from any ideas, methods, instructions or products referred to in the content. |
© 2024 by the authors. Licensee MDPI, Basel, Switzerland. This article is an open access article distributed under the terms and conditions of the Creative Commons Attribution (CC BY) license (https://creativecommons.org/licenses/by/4.0/).
Share and Cite
Xiao, S.; Hu, X.; Ren, H. Estimation of Lifetime Performance Index for Generalized Inverse Lindley Distribution Under Adaptive Progressive Type-II Censored Lifetime Test. Axioms 2024, 13, 727. https://doi.org/10.3390/axioms13100727
Xiao S, Hu X, Ren H. Estimation of Lifetime Performance Index for Generalized Inverse Lindley Distribution Under Adaptive Progressive Type-II Censored Lifetime Test. Axioms. 2024; 13(10):727. https://doi.org/10.3390/axioms13100727
Chicago/Turabian StyleXiao, Shixiao, Xue Hu, and Haiping Ren. 2024. "Estimation of Lifetime Performance Index for Generalized Inverse Lindley Distribution Under Adaptive Progressive Type-II Censored Lifetime Test" Axioms 13, no. 10: 727. https://doi.org/10.3390/axioms13100727
APA StyleXiao, S., Hu, X., & Ren, H. (2024). Estimation of Lifetime Performance Index for Generalized Inverse Lindley Distribution Under Adaptive Progressive Type-II Censored Lifetime Test. Axioms, 13(10), 727. https://doi.org/10.3390/axioms13100727
