Next Article in Journal
Research on Repeated Quantum Games with Public Goods under Strong Reciprocity
Next Article in Special Issue
The Multivariable Zhang–Zhang Polynomial of Phenylenes
Previous Article in Journal
Schröder-Based Inverse Function Approximation
Previous Article in Special Issue
A Unified Approach for Extremal General Exponential Multiplicative Zagreb Indices
 
 
Font Type:
Arial Georgia Verdana
Font Size:
Aa Aa Aa
Line Spacing:
Column Width:
Background:
Article

Conversion of Unweighted Graphs to Weighted Graphs Satisfying Properties R and SR

1
Institute of Computing Science and Technology, Guangzhou University, Guangzhou 510006, China
2
Department of Mathematics, University of the Punjab, Lahore 54590, Pakistan
3
Department of Mathematics, Prince Sattam Bin Abdulaziz University, Al-Kharj 11991, Saudi Arabia
4
Clinical Research Development Unit of Rouhani Hospital, Babol University of Medical Sciences, Babol 47176-47754, Iran
*
Author to whom correspondence should be addressed.
Axioms 2023, 12(11), 1043; https://doi.org/10.3390/axioms12111043
Submission received: 3 October 2023 / Revised: 24 October 2023 / Accepted: 1 November 2023 / Published: 9 November 2023
(This article belongs to the Special Issue Spectral Graph Theory, Molecular Graph Theory and Their Applications)

Abstract

Spectral graph theory is like a special tool for understanding graphs. It helps us find patterns and connections in complex networks, using the magic of eigenvalues. Let G be the graph and A ( G ) be its adjacency matrix, then G is singular if the determinant of the adjacency matrix A ( G ) is 0, otherwise it is nonsingular. Within the realm of nonsingular graphs, there is the concept of property R , where each eigenvalue’s reciprocal is also an eigenvalue of G . By introducing multiplicity constraints on both eigenvalues and their reciprocals, it becomes property SR . Similarly, the world of nonsingular graphs reveals property R , where the negative reciprocal of each eigenvalue also finds a place within the spectrum of G . Moreover, when the multiplicity of each eigenvalue and its negative reciprocal is equal, this results in a graph with a property of SR . Some classes of unweighted nonbipartite graphs are already constructed in the literature with the help of the complete graph K n and a copy of the path graph P 4 satisfying property R but not SR . This article takes this a step further. The main aim is to construct several weighted classes of graphs which satisfy property R but not SR . For this purpose, the weight functions are determined that enable these nonbipartite graph classes to satisfy the SR and R properties, even if the unweighted graph does not satisfy these properties. Some examples are presented to support the investigated results. These examples explain how certain weight functions make these special types of graphs meet the properties R or SR , even when the original graphs without weights do not meet these properties.

1. Introduction

Graph theory is like a special tool in mathematics that helps us to understand how things are connected. Graph theory started with K o ¨ nigburg’s seven bridge problem [1]. It is like a universal language for studying relationships between various things, like friendships or the structure of molecules. It is kind of like drawing a map with dots and lines to represent complicated systems. This helps us solve problems, make models of real-life situations, and figure out how things are connected. Spectral graph theory [2] introduces a special kind of wonder to graph theory. It takes us into the fascinating world of eigenvalues and eigenvectors, where graphs share their mysteries through mathematical beauty. The spectrum of a graph unveils its hidden patterns, helping us organize information, explore connections, and understand how networks work. Spectral graph theory plays a crucial role in the development of Graph Neural Networks (GNNs), a subfield of deep learning. GNNs have gained prominence in recent years for their ability to process data structured as graphs, making them applicable to a wide range of domains, from social network analysis to recommendation systems. Spectral graph theory provides the mathematical foundation for understanding the propagation of information through graphs, which is essential in GNNs [3]. While spectral methods are powerful, they can be computationally intensive, especially for large graphs. Implementing these techniques in AI (artificial intelligence) and ML (machine learning) applications might require significant computational resources.
Throughout the article, we consider simple connected graphs. Let G = ( V , E ) be a simple connected graph with vertex set V ( G ) and edge set E ( G ) , respectively. The adjacency matrix of a graph G of order n is an n × n square symmetric matrix A ( G ) = [ a i j ] , whose i j th entry is the number of edges between the vertices i and j. If two vertices are adjacent in a graph G , they are called neighbors, so the neighborhood of a vertex v in a graph G is denoted as N G ( v ) and is defined as
N G ( v ) = { u V ( G ) | ( v , u ) E ( G ) } .
The cardinality | N G ( v ) | is called the degree of vertex v and is denoted as d G ( v ) . If d G ( v ) = 0 , then v is called an isolated vertex, and if the degree of a vertex v is 1 i.e., d G ( v ) = 1 , then that vertex is called a terminal vertex or pendant vertex. A vertex is called quasipendant if it is adjacent to a pendant vertex (for notations, see reference [4]).
A weighted graph is one in which the edges are assigned weights. Weighted graphs model road networks, flight connections, and shipping routes. They help optimize routes, minimize costs, and manage the flow of goods and people efficiently. The shortest path problem is one of the best real-life examples of weighted graphs. In social media and sociology, weighted graphs represent relationships with varying strengths. They enable the identification of influential individuals, community detection, and targeted advertising. Weighted graphs assist in personalized recommendations on platforms like Amazon and Netflix. They enhance user experience by suggesting products or content based on preferences and connections. In finance, these graphs model correlations between financial instruments, helping with risk assessment, portfolio optimization, and market analysis. Weighted graphs are used to represent protein interaction networks, metabolic pathways, and genetic relationships. They aid in understanding complex biological systems and drug discovery. Electrical power systems use weighted graphs to model energy distribution and grid stability. They ensure efficient power flow and prevent blackouts.
Let G be a simple connected graph. Let G w denote the weighted graph obtained from G after applying the weight function w W ( G ) on the edge set of G , where W ( G ) is the set of all positive weight functions defined on the edge set of G . The adjacency matrix of a graph G w of order n is defined as
A ( G w ) = [ a i j ] = w ( i , j ) , if ( i , j ) E ( G w ) 0 , otherwise .
A graph G w is said to be non-singular if det ( A ( G w ) ) 0 and singular otherwise. The eigenvalues of a graph G w are the roots of the characteristic polynomial of its adjacency matrix A ( G w ) ; since A ( G w ) is symmetric, all of its roots, or eigenvalues, are real. The set consisting of all the eigenvalues λ 1 λ 2 λ n of a graph G w is called its spectrum.
σ ( G w ) = { ( λ i , m i ) ; i = 1 , , n }
where m i is the multiplicity of each λ i . The spectral radius of a finite graph is determined by taking the largest absolute value within its graph spectrum. Spectral graph theory explores the connection between a graph’s structural features and its eigenvalues. This is highly relevant in various domains such as social network analysis, transportation systems, communication networks, and even biological networks like protein–protein interaction networks. The insights gained from spectral graph theory can lead to more efficient network designs, improved routing algorithms, and better decision-making in network-related applications. Spectral clustering techniques based on spectral graph theory are used for data partitioning and clustering. Spectral graph theory is also used for signal processing on graphs. Community detection in complex networks, such as identifying groups of individuals with shared interests in a social network, relies on spectral graph theory. The eigenvalues of a graph provide insights into the graph’s topological attributes, including its size, order, the count of triangles, the total number of closed walks of different lengths, whether the graph is bipartite, and its regularity [2]. For example,
  • A graph is bipartite if and only if its spectrum is symmetric around zero, that is, for each λ σ ( G ) there exists λ σ ( G ) , λ σ ( G ) [2].
  • If λ 2 ( G ) = 0 , then G is a complete multipartite graph.
  • If λ 2 ( G ) = 1 , then G is a complete graph.
Several graph theoretic properties have been discussed in references [5,6,7,8,9,10,11]. In reference [12], the authors presented techniques from graph theory to assess the ranking of substations within an electric power grid. It specifically applies spectral graph theory and outlines various ranking algorithms. A novel mining algorithm rooted in spectral graph theory was introduced in reference [13]. The algorithm initially constructed an alarm association model using time series data. It then treated the alarms database as a high-dimensional structure, considering alarms with shared characteristics as integral components of this structure. Leveraging spectral graph theory, the algorithm uncovered the underlying mapping of a low-dimensional structure embedded within a high-dimensional space. The experimental results, based on both synthetic and real datasets, demonstrated that this approach not only uncovered associations among alarms but also identified faults in the telecommunications network through spectral graph transformations. Furthermore, an innovative approach to create wavelet transforms for functions defined on the nodes of any finite weighted graph was introduced in reference [14]. This approach was based on defining scaling using the graph’s analogue of the Fourier domain, namely the spectral decomposition of the discrete Laplacian graph.
In reference [15], the authors established the concept of a reciprocal eigenvalue property (property R ) for the nonsingular graphs. A nonsingular graph G holds property R if the reciprocal of each eigenvalue is also an eigenvalue of G ; in addition, if the multiplicity constraint is applied on the eigenvalues and their reciprocals, then that graph G holds a strong reciprocal eigenvalue property (property SR ).
The anti-reciprocal eigenvalue property (property R ) of graphs was introduced by Lagrange in reference [16]. A nonsingular graph G holds property R if the negative reciprocal of each eigenvalue is also an eigenvalue of G ; in addition, if the multiplicity constraint is applied on the eigenvalues and their negative reciprocals, then that graph G holds a strong anti-reciprocal eigenvalue property (property SR ).
Nonsingular trees with property SR were studied in 1978 under the titles, symmetric property [17] and property C [18]. Barik et al. renamed this property as “property SR ” in 2006, and they also introduced property R . They demonstrated that these two features are identical for nonsingular trees [19]. Moreover, in reference [20], it is proved that properties R and SR are also equivalent for weighted trees and they continued studying the nonsingular trees in two ways. Firstly, they studied the characterization of the set of all graphs whose inverses are nonsingular trees. Secondly, they investigated the extent of property R for weighted trees and characterized the property for all trees with eight vertices or more, under specific conditions on the weights. The authors provided a subclass of connected bipartite graphs with unique perfect matching, proving that it satisfies properties R and R if appropriate limitations on the weight function are enforced [21]. However, the general equivalence of these two properties for any nonsingular graph has not been established. In reference [22], the authors established that these properties are not equivalent in general. In reference [23], the structure of a unicyclic graph with property SR was examined. This study revealed that “such a graph is typically bipartite and took on a corona structure, except when it had a girth of four”. In the exceptional case where it is not a corona, the paper demonstrated that the graph could assume one of three distinct structures. The paper also presented families of unicyclic graphs with property SR , each corresponding to one of these specific structures.
For a connected bipartite graph G with a unique perfect matching M, the weighted graph G w satisfies property SR for all w W ( G ) if and only if G is a corona, according to Bapat et al. [24].
J. D. Lagrange [16] studied property SR for the zero-divisor graphs of finite commutative rings with non-zero divisors for the first time in 2012. Hameed et al. [25] investigated a family of graphs with unique perfect matching and diagonal entries of zero in the inverse of their adjacency matrix. The authors showed that this family does not satisfy property SR , not even for a single weight function w.
Ahmad et al. [26] explored the property SR for the class of connected simple weighted graphs with unique perfect matching M, denoted by G M , in 2020. They demonstrated that, G is a corona if and only if, the weighted graph G w satisfies the property SR for any w W ( G ) . They also investigated the property SR for several non-corona graph families [27], and Barik et al. [28] extended these families. They created the noncorona graph classes by linking each vertex of a finite number of copies of corona cycles of varying finite length to nondependent vertices of G in such a manner that no corona cycle is linked to more than one quasipendant vertex. These families were later generalized for weighted graphs in [29]. In reference [30], the authors investigated some families of graphs with property R but not SR . Later on, signed graphs with property SR were investigated in reference [31]. In reference [32], the authors introduced a new family of graphs named flabellum graphs and, with the help of this family, they constructed several families of graphs with property SR .
In [33], Barik et al. constructed some classes of unweighted nonbipartite graphs using complete graph K n and a copy of the path graph P 4 . These families of graphs satisfy property R but not SR for simple weights 0 and 1. In this article, an investigation is carried out to answer the following question: “what happens if we assign weight functions on edge sets of these classes?” It is interesting to note that, under certain weights, these families of graphs satisfy property SR ; however, if some of these weights are changed with specific conditions, the same families of graphs satisfy property R but not SR .

2. Preliminaries

This section comprises the basic definitions and terminologies which will be used in this article.
Definition 1. 
Let G 1 and G 2 be two connected graphs of order n and m, respectively. The corona product G 1 G 2 is a graph formed by one copy of graph G 1 and n-copies of G 2 and by connecting each vertex of the j t h copy of G 2 with the j t h vertex of G 1 , for 1 j n . If G 2 K 1 , then G 1 K 1 is a corona graph.
Definition 2. 
A polynomial f ( x ) = i = 0 n a i x i of degree n is called a palindromic polynomial if a i = a n i and an anti-palindromic polynomial if a i = a n i for i = 0 , 1 , , n . Note that property SR is satisfied by a polynomial f ( x ) if and only if it is either palindromic or anti-palindromic.
Lemma 1 
(ref. [26]). A polynomial f ( x ) = i = 0 2 n a i x i satisfies property SR if and only if
a 2 n i = a i , i f   i   a n d   n   h a v e   t h e   s a m e   p a r i t y , a i , o t h e r w i s e . , i = 0 , 1 , 2 , , 2 n .
Lemma 2 
(ref. [34]). If A is a block matrix, i.e., A = A 11 A 12 A 21 A 22 where A 11 and A 22 are square matrices. Then,
d e t ( A ) = d e t ( A 11 ) d e t ( A 22 A 21 A 11 1 A 12 ) , i f   A 11   i s   i n v e r t i b l e d e t ( A 22 ) d e t ( A 11 A 12 A 22 1 A 21 ) . i f   A 22   i s   i n v e r t i b l e .
Lemma 3 
(ref. [33]). Let A be an n × n matrix and 1 k < n . Then, for any constant c, d e t ( A + c I k O O O )   = | A | + c i = 1 k d e t ( A [ i ] ) + c 2 k 2 i , j = 1 k d e t ( A [ i , j ] ) + + c k k k d e t ( A [ 1 , 2 , , k ] ) .
Definition 3. 
Let A and B be two matrices of order n × m and p × q , respectively, then the Kronecker product of A and B is denoted by A B , defined as
A B = a 11 B a 1 n B a m 1 B a mn B .
Observation 1 
(ref. [33]). If S = [ ( x 1 x 4 x + 2 z ( x ) ) I n ( 1 + 4 x + 2 z ( x ) ) A ( K n ) ] , then
d e t ( S ) = y ( x ) n 1 ϕ n ( x ) z ( x ) x n
where, ϕ n ( x ) = x 4 n x 3 ( 3 n + 3 ) x 2 n x + 1 and
d e t ( S [ 1 , 2 , , k ] ) = y ( x ) n k 1 ϕ n k ( x ) z ( x ) x n k ,
where S [ 1 , 2 , , k ] is the submatrix of the matrix S obtained after deleting rows and columns with indices 1 , 2 , , k .

3. Main Results

In a previous work by Barik et al. [33], specific classes of unweighted nonbipartite graphs were created using a complete graph and a copy of the path graph. They investigated how these families of graphs satisfy the property R but not SR . In this section, we aim to determine the weight functions that enable these nonbipartite graph classes to satisfy property SR or property R . Consider the complete graph K n and one copy of P 2 with vertex set V ( P 2 ) = { a , b } .
Definition 4 
(ref. [33]). Let V n , n 1 be the graph obtained using the corona K n K 1 and P 2 K 1 in such a way that each non pendant vertex of K n K 1 is joined with each vertex of P 2 K 1 by an edge; the order of this graph is 2 n + 4 .
For example, V 5 can be obtained from K 5 and P 2 , as shown in Figure 1. In reference [33], the authors proved that this graph is very close to satisfy property SR . We investigated how, if we assign weights to some of the edges of the graph under specific conditions, then this graph will satisfy property SR .
  • Observations
  • The adjacency matrix of the path graph P 4 or P 2 K 1 can be written as follows:
    A ( P 2 K 1 ) = A ( P 4 ) = 0 1 1 0 1 0 0 1 1 0 0 0 0 1 0 0 = A ( P 2 ) I 2 I 2 O ,
    then, f ( P 4 ; x ) = d e t ( x I 4 A ( P 4 ) ) = d e t ( x I 4 A ( P 2 K 1 ) ) = x 4 3 x 2 + 1 = y ( x ) z ( x ) where y ( x ) = x 2 + x 1 and z ( x ) = x 2 x 1 .
  • Let M = [ ( x 1 x 10 x w 2 z ( x ) ) I n ( 1 + 10 x w 2 z ( x ) ) A ( K n ) ] , then d e t ( M ) = y ( x ) n 1 ψ n ( x ) z ( x ) x n where
    ψ n ( x ) = x 4 n x 3 10 n w 2 x 2 + ( n 3 ) x 2 + n x + 1 .
  • Following the same logic as in (4), we can see that
    d e t M [ 1 , 2 , , k ] = y ( x ) n k 1 ψ n k ( x ) z ( x ) x n k .
Definition 5. 
Let V n W be a weighted graph obtained from V n (defined in Definition 4) by assigning a weight function W to the edge set of V n defined as,
W ( v , u ) = 1 , if ( v , u ) { E ( K n K 1 ) E ( P 2 K 1 ) } ; w , if v V ( P 2 ) & u V ( K n ) ; 2 w , if v { V ( P 2 K 1 ) V ( P 2 ) } & u V ( K n ) .
For example, V 5 W , as shown in Figure 2, has the following weight function
W ( v , u ) = 1 , if ( v , u ) { E ( K 5 K 1 ) E ( P 2 K 1 ) } ; 5.5 , if v V ( P 2 ) & u V ( K 5 ) , ( red edges ) ; 2 ( 5.5 ) , if v { V ( P 2 K 1 ) V ( P 2 ) } & u V ( K 5 ) , ( blue edges ) .
Theorem 1. 
The graph V n W , as defined in Definition 5, satisfies property SR .
Proof. 
The adjacency matrix of the graph V n W can be written as,
A ( V n W ) = A ( P 2 ) I 2 w J 2 , n O 2 , n I 2 O 2 2 w J 2 , n O 2 , n w J n , 2 2 w J n , 2 A ( K n ) I n O n , 2 O n , 2 I n O n
Thus,
f ( V n W ; x ) = d e t x I 2 A ( P 2 ) I 2 I 2 x I 2 · d e t x I n A ( K n ) I n I n x I n w J n , 2 2 w J n , 2 O n , 2 O n , 2
( x I 4 A ( P 2 K 1 ) ) 1 w J n , 2 O n , 2 2 w J n , 2 O n , 2
= f ( P 2 K 1 ; x ) d e t x I n A ( K n ) I n I n x I n 10 x w 2 x 2 x 1 J n O n O n O n
= ( x 2 + x 1 ) n ( x 4 n x 3 ( 10 n w 2 + n 3 ) x 2 + n x + 1 ) .
Since the polynomials ( x 2 + x 1 ) n and x 4 n x 3 ( 10 n w 2 + n 3 ) x 2 + n x + 1 satisfy property SR from Lemma 1, thus V n W satisfies property SR . □
Remark 1. 
Let V ( P 2 ) = { a , b } . The weighted graph in Definition 5 can be further generalized by assigning the following weight function:
W ˜ ( v , u ) = 1 , if ( v , u ) { E ( K n K 1 ) E ( K n ) E ( P 2 K 1 ) } ; w i , if ( v i , u i ) E ( K n ) , i = 1 , , n ; w ˜ 1 , if v V ( K n ) & u = a ; w ˜ 2 , if v V ( K n ) & u = b ; w ˜ 1 + w ˜ 2 , if v V ( K n ) & u { V ( P 2 K 1 ) V ( P 2 ) } .
It can be shown that V n W ˜ satisfies property SR using a similar argument as in Theorem 1.
Definition 6. 
Consider the graph V n , as defined above. Let v 1 , , v k , 1 k n be k quasipendant vertices in V n . Let B n W ¨ ( k ) be the graph obtained from V n (defined in Definition 4), by attaching a copy of P 4 at each quasipendant vertex v i , i = 1 , , k of V n in such a way that each nonpendant vertex of P 4 is attached to v i by an edge. Assign the weight function W ¨ on the edge set of B n W ¨ ( k ) defined as
W ¨ ( v , u ) = 1 , if ( v , u ) { E ( V n ) E ( P 4 ) } ; w , if v and u are quasipendant vertices of V n and P 4 , respectively .
Thus, the order of the graph B n W ¨ ( k ) is 2 n + 4 + 4 k . For example, B 4 W ¨ ( 3 ) as shown in Figure 3, which is obtained from V 4 and three copies of P 4 , where
W ¨ ( v , u ) = 1 , if ( v , u ) { E ( V 4 ) E ( P 4 ) } ; 5 , if v and u are quasipendant vertices of V 4 and P 4 , respectively ( i . e . , Pink edges ) .
Theorem 2. 
The graph B n W ¨ ( k ) , as defined in Definition 6, satisfies property R but not SR for k = n .
Proof. 
The adjacency matrix of A ( V n ) can be written as
A ( V n ) = A ( P 4 ) J 4 , n O 4 , n J n , 4 A ( K n ) I n O n , 4 I n O n .
Let B 1 = O 4 H 4 , n 1 O 4 , n , B 2 = O 4 H 4 , n 2 O 4 , n and B k = O 4 H 4 , n k O 4 , n
where
H 4 , n 1 = w 0 0 0 w 0 0 0 0 0 0 0 0 0 0 0 , H 4 , n 2 = 0 w 0 0 0 w 0 0 0 0 0 0 0 0 0 0
and H 4 , n n = 0 0 0 w 0 0 0 w 0 0 0 0 0 0 0 0 .
Thus, the adjacency matrix of B n W ¨ ( k ) can be written as
A ( B n W ¨ ( k ) ) = A ( V n ) B 1 t B 2 t B k t B 1 A ( P 4 ) O 4 O 4 B 2 O 4 A ( P 4 ) O 4 B k O 4 O 4 A ( P 4 )
Then,
f ( B n W ¨ ( k ) ; x ) = ( f ( P 4 ; x ) ) k d e t ( x I 2 n + 4 A ( V n )
B 1 t B 2 t B k t ( I k ( x I 4 A ( P 4 ) ) 1 B 1 B 2 B k )
= ( f ( P 4 ; x ) ) k d e t ( x I 2 n + 4 A ( V n ) 2 x w 2 z ( x ) O 4 O O O I k O O O O 2 n k )
= ( f ( P 4 ; x ) ) k d e t x I 4 A ( P 4 ) J 4 , n O 4 , n J n , 4 x I n A ( K n ) 2 x w 2 z ( x ) I k O k O O n k I n O n , 4 I n x I n
= ( f ( P 4 ; x ) ) k + 1 d e t ( x I n A ( K n ) 2 x w 2 z ( x ) I k O k O O n k I n I n x I n
J n , 4 O n , 4 ( x I 4 A ( P 4 ) ) 1 J 4 , n O 4 , n )
= ( f ( P 4 ; x ) ) k + 1 d e t x I n A ( K n ) 2 x w 2 z ( x ) I k O k O O n k I n I n x I n
4 x + 2 z ( x ) J n O O O
= x n ( f ( P 4 ; x ) k + 1 ) d e t ( x I n A ( K n ) 2 x w 2 z ( x ) I k O O O n k 4 x + 2 z ( x ) J n 1 x I n )
= x n ( f ( P 4 ; x ) k + 1 ) d e t ( ( x 1 x 4 x + 2 z ( x ) ) I n ( 1 + 4 x + 2 z ( x ) ) A ( K n ) 2 x w 2 z ( x ) I k O O O n k )
= x n ( f ( P 4 ; x ) k + 1 ) d e t ( S 2 x w 2 z ( x ) I k O O O n k ) ,
from Lemma 3 and Observation 1, we have
= x n f ( P 4 ; x ) k + 1 [ y ( x ) n 1 z ( x ) ϕ n ( x ) x n k 1 2 x w 2 z ( x ) y ( x ) n 2 z ( x ) ϕ n 1 ( x ) x n 1 + k 2 ( 2 x w 2 ) 2 z ( x ) 2 y ( x ) n 3 z ( x ) ϕ n 2 ( x ) x n 2 ]
= x n ( y ( x ) z ( x ) ) k + 1 [ y ( x ) n k 1 x n z ( x ) k + 1 ( i = 0 k ) ( 1 ) i ( w 2 ) i 2 i k i x 2 i ( y ( x ) z ( x ) ) k i ϕ n i ( x ) ]
= ( x 2 + x 1 ) n ( i = 0 k ( 1 ) i ( w 2 ) i 2 i k i x 2 i ( x 4 3 x 2 + 1 ) k i ϕ n i ( x ) ) .
Since i = 0 k ( 1 ) i ( w 2 ) i 2 i k i x 2 i ( x 4 3 x 2 + 1 ) k i ϕ n i ( x ) is palindromic and the power of x 2 + x 1 is greater than the power of x 2 x 1 . Thus, B n W ¨ ( k ) for k = n , satisfies property R but not SR . □
Remark 2. 
If the k copies of P 4 in Definition 6 are named as P 4 i , for i = 1 , , k . The weighted graph B n W ¨ ( k ) can be further generalized by assigning the following weight function:
W ¨ ( v , u ) = 1 , if ( v , u ) { E ( V n ) E ( P 4 i ) , i = 1 , , k } ; w i , if v i and u i are quasipendant vertices of V n and P 4 i , i = 1 , , k , respectively .
Then, it can be shown that B n W ¨ ( k ) satisfies property R but not SR using a similar argument as in Theorem 2.
Definition 7. 
Consider the graph V n defined in Definition 4. Take k 2 copies of P 4 , namely P 4 i , i = 1 , , k and attach nonpendant vertices of all these copies to one quasipendant vertex of V n . Now, a weighted graph D n W ˇ ( k ) can be obtained from this graph by assigning a weight function W ˇ to the edge set as follows:
W ˇ ( v , u ) = 1 , if ( v , u ) { E ( V n ) E ( P 4 i ) , i = 1 , , k } ; w i , if v and u i s are quasipendant vertices of V n and P 4 i , i = 1 , , k , respectively .
For example, D 3 W ˇ ( 2 ) , which is obtained from one copy of V 4 and t w o copies of P 4 , namely P 4 1 and P 4 2 , as shown in Figure 4, where the weights are assigned to the red and blue edges, respectively, according to the following weight function.
W ˇ ( v , u ) = 1 , if ( v , u ) { E ( V 4 ) E ( P 4 i ) , i = 1 , 2 } ; w 1 = 2 , if v and u 1 1 , u 2 1 are the quasipendant vertices of V 4 and P 4 1 ( i . e . , red edges ) ; w 2 = 3 , if v and u 1 2 , u 2 2 are quasipendant vertices of V 4 and P 4 2 ( i . e . , blue edges ) ;
Theorem 3. 
The graph D n W ˇ ( k ) , as defined in Definition 7, satisfies property R but not SR .
Proof. 
The adjacency matrix of D n W ˇ ( k ) can be written as
A ( D n W ˇ ( k ) ) = A ( P 4 ) J 4 , n O 4 , n O 4 O 4 J n , 4 A ( K n ) I n w 1 F n , 4 w k F n , 4 O n , 4 I n O n O n , 4 O n , 4 O 4 w 1 F 4 , n O 4 , n A ( P 4 ) O 4 O 4 w k F 4 , n O 4 , n O 4 A ( P 4 ) ,
where F n , 4 = 1 1 0 0 0 0 0 0 0 0 0 0 0 0 0 0 . Thus,
f ( D n W ˇ ( k ) ; x ) = ( f ( P 4 ; x ) ) k d e t x I 4 A ( P 4 ) J 4 , n O 4 , n J n , 4 x I n A ( K n ) I n O n , 4 I n O n
O 4 O 4 w 1 F n , 4 w k F n , 4 O 4 O 4 ( I k ( x I 4 A ( P 4 ) ) 1 O 4 w 1 F 4 , n O 4 O 4 w k F 4 , n O 4
= ( f ( P 4 ; x ) ) k d e t ( x I 2 n + 4 A ( V n ) 2 x z ( x ) i = 1 k w i 2 O 4 O O O e n e n t O O O O n )
= ( f ( P 4 ; x ) ) k d e t x I 4 A ( P 4 ) J 4 , n O 4 , n J n , 4 x I n A ( K n ) 2 x z ( x ) i = 1 k w i 2 E n I n O n , 4 I n x I n ,
where E n = e n e n t , then
f ( D n W ˇ ( k ) ; x ) = ( f ( P 4 ; x ) ) k + 1 d e t x I n A ( K n ) 2 x z ( x ) i = 1 k w i 2 E n I n I n x I n
J n , 4 O n , 4 ( x I 4 A ( P 4 ) ) 1 J 4 , n O 4 , n )
= ( f ( P 4 ; x ) ) k + 1 d e t x I n A ( K n ) 2 x z ( x ) i = 1 k w i 2 E n I n I n x I n
4 x + 2 z ( x ) J n O O O
= x n ( f ( P 4 ; x ) k + 1 ) d e t ( x I n A ( K n ) 2 x z ( x ) i = 1 k w i 2 E n 4 x + 2 z ( x ) J n 1 x I n ) ,
Using observation (4) and (5)
= x n ( f ( P 4 ; x ) k + 1 ) d e t ( ( x 1 x 4 x + 2 z ( x ) ) I n ( 1 + 4 x + 2 z ( x ) ) A ( K n ) 2 x z ( x ) i = 1 k w i 2 E n )
= x n ( f ( P 4 ; x ) k + 1 ) d e t ( S 2 x z ( x ) i = 1 k w i 2 E n )
= ( x 2 + x 1 ) n + k 1 ( x 2 x 1 ) k 1 h ( x ) ,
where h ( x ) = x 8 n x 7 ( 3 n + 6 + 2 i = 1 k w i 2 ) x 6 + ( 2 n + ( 2 n 2 ) i = 1 k w i 2 ) x 5 + ( 9 n + 11 + 6 n i = 1 k w i 2 )
x 4 + ( 2 n + ( 2 n 2 ) i = 1 k w i 2 ) x 3 ( 3 n + 6 + 2 i = 1 k w i 2 ) x 2 n x + 1 is a palindromic polynomial which satisfies property SR . Moreover, the multiplicities of roots differ due to the polynomials ( x 2 + x 1 ) n + k 1 and ( x 2 x 1 ) k 1 . We can see that D n W ˇ ( k ) satisfies property R but not SR . □
Now, the following question arises: ‘is it possible to assign weights to some edges so that the classes defined in Definitions 6 and 7 satisfy property SR ?’ To answer this question, we assign weights to some particular edges and, consequently, the families of nonbipartite weighted graphs with property SR are given in Definitions 8 and 9. We recall that the graph V n is obtained using the coronas K n K 1 and P 2 K 1 in such a way that each non-pendant vertex of K n K 1 is joined with each vertex of P 2 K 1 by an edge.
Definition 8. 
Consider the graph B n W ¨ ( k ) , as defined in Definition 6. A new weighted graph B n W ( k ) can be obtained if we replace the weight function W ¨ by W , defined as
W ( v , u ) = w , if v V ( P 2 ) & u V ( K n ) ; 2 w , if v { V ( P 2 K 1 ) V ( P 2 ) } & u V ( K n ) ; 1 , otherwise ,
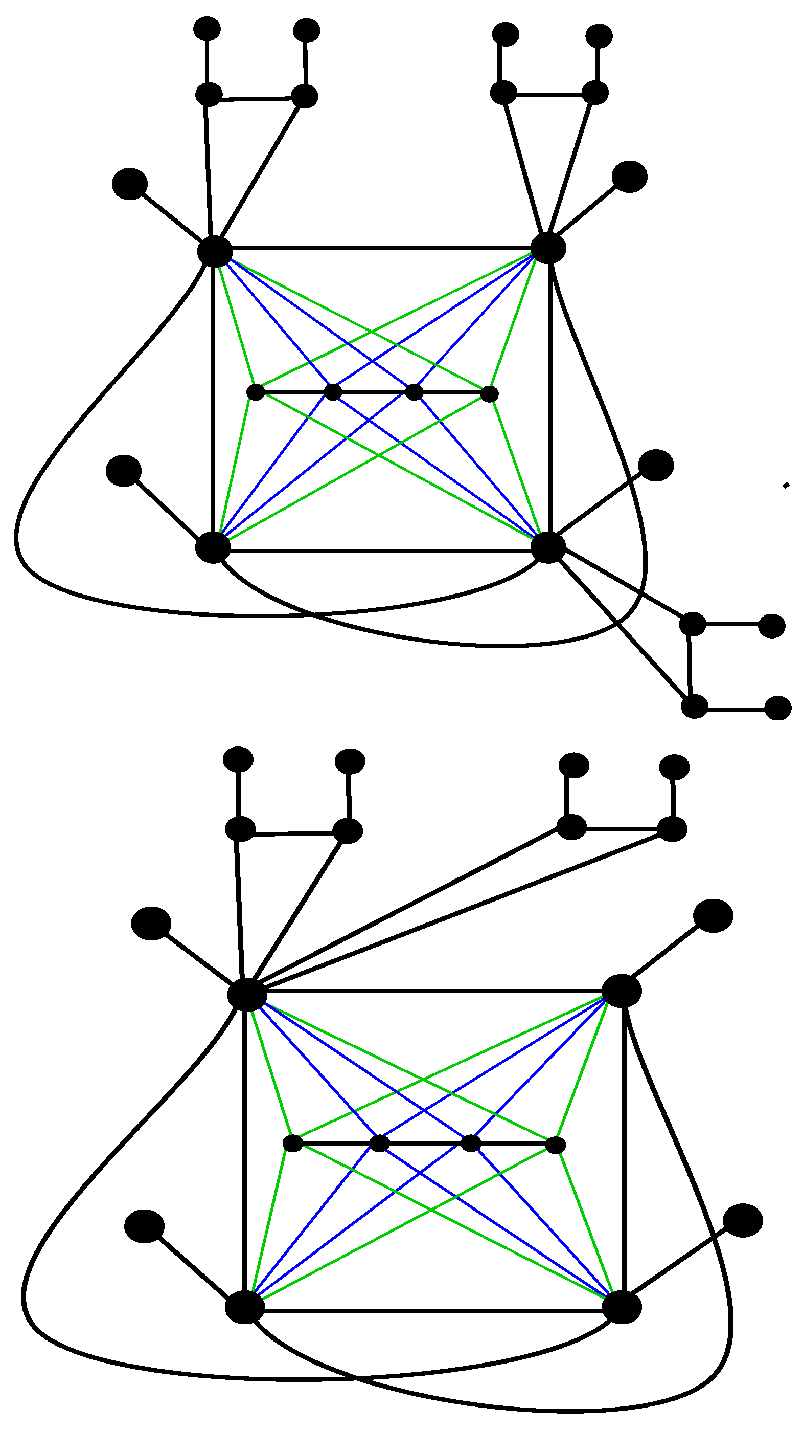
where P 2 and K n are the graphs used in the construction of V n . For example, B 4 W ( 3 ) , as shown in Figure 5, where
W ( v , u ) = 9 , if v V ( P 2 ) & u V ( K 4 ) , ( i . e . , blue edges ) ; 2 ( 9 ) , if v { V ( P 2 K 1 ) V ( P 2 ) } & u V ( K 4 ) , ( i . e . , green edges ) ; 1 , otherwise .
Definition 9. 
We now introduce the graph D n W ( k ) obtained from D n W ˇ ( k ) by changing weight function W ˇ to W , defined as
W ( v , u ) = w , if v V ( P 2 ) & u V ( K n ) ; 2 w , if v { V ( P 2 K 1 ) V ( P 2 ) } & u V ( K n ) ; 1 , otherwise ,
where P 2 and K n are the graphs used in the construction of V n . For example, D 4 W ( 2 ) , as shown in Figure 5, with weight function
W ( v , u ) = 7.5 , if v V ( P 2 ) & u V ( K 4 ) , ( i . e . , blue edges ) ; 2 ( 7.5 ) , if v { V ( P 2 K 1 ) V ( P 2 ) } & u V ( K 4 ) , ( i . e . , green edges ) ; 1 , otherwise .
Theorem 4. 
The graph B n W ( k ) , defined in Definition 8, satisfies property SR .
Proof. 
Recall that,
A ( V n W ) = A ( P 2 ) I 2 w J 2 , n O 2 , n I 2 O 2 2 w J 2 , n O 2 , n w J n , 2 2 w J n , 2 A ( K n ) I n O n , 2 O n , 2 I n O n .
Let C 1 = O 4 N 4 , n 1 O 4 , n , C 2 = O 4 N 4 , n 2 O 4 , n and C k = O 4 N 4 , n k O 4 , n , where N 4 , n 1 = 1 0 0 0 1 0 0 0 0 0 0 0 0 0 0 0 , N 4 , n 2 = 0 1 0 0 0 1 0 0 0 0 0 0 0 0 0 0 and N 4 , n n = 0 0 0 1 0 0 0 1 0 0 0 0 0 0 0 0 . Thus, the adjacency matrix of B n W ( k ) can be written as,
A ( B n W ( k ) ) = A ( V n W ) C 1 t C 2 t C k t C 1 A ( P 4 ) O 4 O 4 C 2 O 4 A ( P 4 ) O 4 C k O 4 O 4 A ( P 4 ) .
Then, the characteristic polynomial of B n W ( k ) is
f ( B n W ( k ) ; x ) = ( f ( P 4 ; x ) ) k d e t ( x I 2 n + 4
A ( V n W ) C 1 t C 2 t C k t ( I k ( x I 4 A ( P 4 ) ) ) 1 C 1 C 2 C k )
= ( f ( P 4 ; x ) ) k d e t ( x I 2 n + 4 A ( V n W ) 2 x z ( x ) O 2 O O O O O 2 O O O O I k O O O O O 2 n k )
= ( f ( P 4 ; x ) ) k d e t x I 2 A ( P 2 ) I 2 w J 2 , n O 2 , n I 2 x I 2 2 w J 2 , n O 2 , n w J n , 2 2 w J n , 2 x I n A ( K n ) 2 x z ( x ) I k O k O O 2 n k I n O n , 2 O n , 2 I n x I n
= ( f ( P 4 ; x ) ) k + 1 d e t x I n A ( K n ) 2 x z ( x ) I k O k O O 2 n k I n I n x I n
w J n , 2 2 w J n , 2 O n , 2 O n , 2 ( x I 4 A ( P 2 K 1 ) ) 1 w J 2 , n O 2 , n 2 w J 2 , n O 2 , n
= ( f ( P 4 ; x ) ) k + 1 d e t x I n A ( K n ) 2 x z ( x ) I k O k O O 2 n k I n I n x I n 10 x w 2 z ( x ) J n O O O
= x n ( f ( P 4 ; x ) k + 1 ) d e t ( x I n A ( K n ) 2 x z ( x ) I k O O O 2 n k 10 x w 2 z ( x ) J n 1 x I n )
using observations (4) and (5)
= x n ( f ( P 4 ; x ) k + 1 ) d e t ( ( x 1 x 10 x w 2 z ( x ) ) I n ( 1 + 10 x w 2 z ( x ) ) A ( K n ) 2 x z ( x ) I k O O O 2 n k )
= x n ( f ( P 4 ; x ) k + 1 ) d e t ( M 2 x z ( x ) I k O O O 2 n k )
= x n ( f ( P 4 ; x ) k + 1 ) [ y ( x ) n 1 z ( x ) ψ n ( x ) x n k 1 2 x z ( x ) y ( x ) n 2 z ( x ) ψ n 1 ( x ) x n 1 + k 2 ( 2 x ) 2 z ( x ) 2 y ( x ) n 3 z ( x ) ψ n 2 ( x ) x n 2 ]
= x n ( y ( x ) z ( x ) ) k + 1 [ y ( x ) n k 1 x n z ( x ) k + 1 ( i = 0 k ) ( 1 ) i 2 i k i x 2 i ( y ( x ) z ( x ) ) k i ψ n i ( x ) ]
= ( x 2 + x 1 ) n ( i = 0 k ( 1 ) i 2 i k i x 2 i ( x 4 3 x 2 + 1 ) k i ψ n i ( x ) )
where ψ n i ( x ) = x 4 ( n i ) x 3 ( 10 ( n i ) w 2 + ( n i 3 ) ) x 2 + ( n i ) x + 1 satisfies property SR from Lemma 1. Thus, the graph B n W ( k ) satisfies property SR . □
Theorem 5. 
The graph D n W ( k ) , as defined in Definition 9, satisfies property SR for k 2 .
Proof. 
Remember that, A ( V n W ) = A ( P 2 ) I 2 w J 2 , n O 2 , n I 2 O 2 2 w J 2 , n O 2 , n w J n , 2 2 w J n , 2 A ( K n ) I n O n , 2 O n , 2 I n O n and
Let C 1 = O 4 L 4 , n 1 O 4 , n , C 2 = O 4 L 4 , n 2 O 4 , n and C k = O 4 L 4 , n k O 4 , n where, L 4 , n i = 1 0 0 0 1 0 0 0 0 0 0 0 0 0 0 0 for i = 1 , , k .
Thus, A ( D n W ( k ) ) = A ( V n W ) C 1 t C 2 t C k t C 1 A ( P 4 ) O 4 O 4 C 2 O 4 A ( P 4 ) O 4 C k O 4 O 4 A ( P 4 ) .
Then, using direct calculations, the characteristic polynomial of D n W ( k ) can be written as
f ( D n W ( k ) ; x ) = ( f ( P 4 ; x ) ) k d e t ( x I 2 n + 4 A ( V n W )
C 1 t C 2 t C k t ( I k ( x I 4 A ( P 4 ) ) ) 1 C 1 C 2 C k )
= ( f ( P 4 ; x ) ) k d e t ( x I 2 n + 4 A ( V n W ) k 2 x z ( x ) O 4 O O O e n e n t O O O O n ) , e n e n t = E n
= ( f ( P 4 ; x ) ) k d e t x I 2 A ( P 2 ) I 2 w J 2 , n O 2 , n I 2 x I 2 2 w J 2 , n O 2 , n w J n , 2 2 w J n , 2 x I n A ( K n ) k 2 x z ( x ) E n I n O n , 2 O n , 2 I n x I n
= ( f ( P 4 ; x ) ) k + 1 d e t x I n A ( K n ) k 2 x z ( x ) E n I n I n x I n
w J n , 2 2 w J n , 2 O n , 2 O n , 2 ( x I 4 A ( P 4 ) ) 1 w J 2 , n O 2 , n 2 w J 2 , n O 2 , n
= ( f ( P 4 ; x ) ) k + 1 d e t x I n A ( K n ) k 2 x z ( x ) I n I n x I n 10 x w 2 z ( x ) J n O O O
= x n ( f ( P 4 ; x ) k + 1 ) d e t [ x I n A ( K n ) k 2 x z ( x ) E n 10 x w 2 z ( x ) J n 1 x I n ]
using observations (4) and (5)
f ( D n W ( k ) ) = x n ( f ( P 4 ; x ) k + 1 ) d e t ( ( x 1 x 10 x w 2 z ( x ) ) I n ( 1 + 10 x w 2 z ( x ) ) A ( K n ) 2 x z ( x ) E n )
= ( x 2 + x 1 ) n + k 1 ( x 2 x 1 ) k 1 h ( x ) , where
h ( x ) = x 8 n x 7 ( 10 n w 2 + 2 k + 6 n ) x 6 + ( 4 n + 2 ( n 1 ) k ) x 5 + ( 20 ( n 1 ) k w 2 + 30 n w 2 + 2 ( 4 n ) k + 11 3 n ) x 4 + ( 4 n + 2 ( n 1 ) k ) x 3 ( 10 n w 2 + 2 k + 6 n ) x 2 + n x + 1 .
We see that D n W ( k ) satisfies property SR from Lemma 1. □
Example 1. 
Consider the graph V 5 W , as shown in Figure 2. The weight function W defined on the edge set of V n W is
W ( v , u ) = 1 , if ( v , u ) { E ( K 5 K 1 ) E ( P 2 K 1 ) } ; 5.5 , if v V ( P 2 ) & u V ( K 5 ) ; 2 ( 5.5 ) , if v { V ( P 2 K 1 ) V ( P 2 ) } & u V ( K 5 ) .
The red edges are assigned weight 5.5 , the blue edges are assigned weight 11, and all the remaining edges are assigned weight 1. The spectrum of V 5 W is shown in Table 1. We can easily see that this graph satisfies property SR .
Example 2. 
Consider the graph B 5 W ¨ ( 5 ) . It is obtained from o n e copy of V 5 and f i v e copies of P 4 according to Definition 6. The following weight function is applied on the graph B 5 W ¨ ( 5 ) :
W ¨ ( v , u ) = 1 , if ( v , u ) { E ( V 5 ) E ( P 4 ) } ; 7 , if v and u are quasipendant vertices of V 5 and P 4 , respectively .
All the blue edges are assigned weight 7, as shown in Figure 6. The spectrum of B 5 W ¨ ( 5 ) is shown in Table 2. We can easily see that B 5 W ¨ ( 5 ) satisfies property R but not SR .
In the graph B 5 W ¨ ( 5 ) , if we change the weight function W ¨ to W (according to the Definition 8), then
W ( v , u ) = 3.5 , if v V ( P 2 ) & u V ( K 5 ) , ( red edges ) ; 2 ( 3.5 ) , if v { V ( P 2 K 1 ) V ( P 2 ) } & u V ( K 5 ) , ( blue edges ) ; 1 , otherwise .
The graph B 5 W ( 5 ) with a weight function is shown in Figure 6. In Table 3, the spectrum of the weighted graph B 5 W ( 5 ) is given.
Example 3. 
Consider the graph D 5 W ˇ ( 3 ) , as shown in Figure 7. This graph is obtained from o n e copy of V 5 and t h r e e copies of P 4 (namely P 4 1 , P 4 2 and P 4 3 ) according to Definition 7. The weight function applied to the graph D 5 W ˇ ( 3 ) is as follows:
W ˇ ( v , u ) = 1 , if ( v , u ) { E ( V 5 ) E ( P 4 i ) , i = 1 , 2 , 3 } ; w 1 = 7 , if v and u are quasipendant vertices of V 5 and P 4 1 , respectively ; w 2 = 10 , if v and u are quasipendant vertices of V 5 and P 4 2 , respectively ; w 3 = 15 , if v and u are quasipendant vertices of V 5 and P 4 3 , respectively .
Here, the weights w 1 , w 2 , and w 3 are assigned to the purple, blue, and red edges, respectively. The spectrum of D 5 W ˇ ( 3 ) is given in Table 4. We can easily see that D 5 W ˇ ( 3 ) satisfies property R .
In the graph D 5 W ˇ ( 3 ) , if we change weight function W ˇ to W according to Definition 9, then the resulting graph is named D 5 W ( 3 ) , as shown in Figure 7. The weight function of D 5 W ( 3 ) follows:
W ( v , u ) = 5 , if v V ( P 2 ) & u V ( K 5 ) , ( red edges ) ; 2 ( 5 ) , if v { V ( P 2 K 1 ) V ( P 2 ) } & u V ( K 5 ) , ( blue edges ) ; 1 , otherwise .
Table 5 shows the spectrum of D 5 W ( 3 ) ; it can be seen that it satisfies property SR .

4. Applicability of Graphs with Properties SR and SR

The energy of a graph is defined as the sum of the absolute eigenvalues of a graph. Graph energy provides valuable insights into the topological properties of a graph. It quantifies the structural characteristics and complexity of a graph, making it a useful tool for studying network connectivity and architecture. Different types of graphs, such as trees, cycles, and complete graphs, have distinct energy values. This enables the classification of graphs based on their energy levels, aiding in graph theory research. In the field of chemical graph theory, graph energy is used to analyze molecular structures. It is employed to predict molecular stability, reactivity, and other chemical properties, contributing to drug discovery and materials science. A graph satisfying properties SR and SR can be helpful in estimating the bounds for the energy of graphs because the spectrum of graphs having these properties can be split into two disjoint sets, such that one set contains half of the eigenvalues and the other set contains their reciprocals with the same multiplicity.

5. Conclusions

In this article, the influence of weight functions on the eigenvalue properties of graphs has been demonstrated. By applying specific weight functions to a family of graphs that is very close to satisfy property SR , a family of graphs with property SR has been established. Additionally, by introducing weight functions to families that already satisfy the property R but not SR , it has been shown that, with appropriate limits on weights, the same families of graphs can satisfy R (but not SR ) and property SR , respectively. These findings contribute to our understanding of eigenvalue properties and open avenues for further exploration in graph theory and related applications.

Author Contributions

Conceptualization, X.S.; methodology, S.H. and M.A.; software, S.H.; validation, S.H.; formal analysis, A.K. and M.A.; investigation, A.K. and M.A.; resources, A.K.; writing—original draft preparation, S.A.; writing—review and editing, S.A.; project administration, X.S. All authors have read and agreed to the published version of the manuscript.

Funding

This work was supported by the National Key R & D Program of China (Grant 2019YFA0706402) and the National Natural Science Foundation of China under Grants 62172302, 62072129 and 61876047.

Institutional Review Board Statement

Not applicable.

Informed Consent Statement

Not applicable.

Data Availability Statement

Data will be available on request.

Conflicts of Interest

The authors declare no conflict of interest.

References

  1. Euler, L. The seven bridges of Königsberg. In The World of Mathematics; Simon and Schuster: New York, NY, USA, 1956; Volume 1, pp. 573–580. [Google Scholar]
  2. Godsil, C.D.; Royle, B.D. Algebraic Graph Theory; Springer Science & Business Media: Berlin/Heidelberg, Germany, 2001; Volume 207. [Google Scholar]
  3. Wang, X.; Zhang, M. How powerful are spectral graph neural networks. In Proceedings of the International Conference on Machine Learning, Baltimore, MD, USA, 17–23 July 2022; pp. 23341–23362. [Google Scholar]
  4. Bender, E.A.; Williamson, S.G. Lists, Decisions and Graphs; University of California: San Diego, CA, USA, 2010. [Google Scholar]
  5. Hameed, S.; Ahmad, U. Minimal Energy Tree with 4 Branched Vertices. Open Chem. 2019, 17, 198–205. [Google Scholar] [CrossRef]
  6. Qiang, X.; Kosari, S.; Shao, Z.; Sheikholeslami, S.M.; Chellali, M.; Karami, H. A note on the paired-domination subdivision number of trees. Mathematics 2021, 9, 181. [Google Scholar] [CrossRef]
  7. Dettlaff, M.; Lemańska, M.; Kosary, S.; Sheikholeslami, S. The convex domination subdivision number of a graph. Commun. Comb. Optim. 2016, 1, 43–56. [Google Scholar] [CrossRef]
  8. Shaebani, S.; Kosari, S.; Asgharsharghi, L. The restrained K-rainbow reinforcement number of graphs. Discret. Math. Algorithms Appl. 2021, 13, 2150026. [Google Scholar] [CrossRef]
  9. Shao, Z.; Kosari, S.; Anoos, R.; Sheikholeslami, S.M.; Dayap, J.A. Outer-convex dominating set in the corona of graphs as encryption key generator. Complexity 2020, 2020, 8316454. [Google Scholar] [CrossRef]
  10. Chen, Z.; Kosari, S.; Omidi, S.; Mehdipoor, N.; Talebi, A.A.; Rashmanlou, H. Elementary abelian covers of the Wreath graph W (3, 2) and the Foster graph F 26 A. Akce Int. J. Graphs Comb. 2022, 20, 20–28. [Google Scholar] [CrossRef]
  11. Rao, Y.; Kosari, S.; Anitha, J.; Rajasingh, I.; Rashmanlou, H. Forcing parameters in fully connected cubic networks. Mathematics 2022, 10, 1263. [Google Scholar] [CrossRef]
  12. Torres, A.; Anders, G. Spectral graph theory and network dependability. In Proceedings of the 2009 Fourth International Conference on Dependability of Computer Systems, Athens/Glyfada, Greece, 18–23 June 2009; pp. 356–363. [Google Scholar]
  13. Xu, Q.; Guo, J. Alarm association algorithms based on spectral graph theory. In Proceedings of the 2009 International Joint Conference on Artificial Intelligence, Hainan, China, 25–26 April 2009; pp. 320–323. [Google Scholar]
  14. Hammond, D.K.; Vandergheynst, P.; Gribonval, R. Wavelets on graphs via spectral graph theory. Appl. Comput. Harmon. Anal. 2011, 30, 129–150. [Google Scholar] [CrossRef]
  15. Barik, S.; Pati, S.; Sarma, B.K. The spectrum of the corona of two graphs. SIAM J. Discrete Math. 2007, 21, 47–56. [Google Scholar] [CrossRef]
  16. Lagrange, J.D. Boolean rings and reciprocal eigenvalue properties. Linear Algebra Appl. 2012, 436, 1863–1871. [Google Scholar] [CrossRef]
  17. Godsil, C.D.; Mckay, B.D. A new graph product and its spectrum. Bull. Aust. Math. Soc. 1978, 18, 21–28. [Google Scholar] [CrossRef]
  18. Cvetkovic, D.M.; Gutman, I.; Simic, S.K. On self pseudo-inverse graphs. Univ. Beograd. Publ. Elektrotehn. Fak. Ser. Mat. Fiz. 1978, 602, 111–117. [Google Scholar]
  19. Barik, S.; Neumann, M.; Pati, S. On nonsingular trees and a reciprocal eigenvalue property. Linear Multilinear Alg. 2006, 54, 453–465. [Google Scholar] [CrossRef]
  20. Neumann, N.; Pati, S. On reciprocal eigenvalue property of weighted tree. Linear Multilinear Alg. 2013, 438, 3817–3828. [Google Scholar] [CrossRef]
  21. Panda, S.K.; Pati, S. On the inverse of a class of bipartite graphs with unique perfect matchings. Electron. J. Linear Algebra 2015, 29, 89–101. [Google Scholar] [CrossRef]
  22. Panda, S.K.; Pati, S. Graphs with reciprocal eigenvalue properties. Electron. J. Linear Algebra 2016, 31, 511–514. [Google Scholar] [CrossRef]
  23. Barik, S.; Nath, M.; Pati, S.; Sarma, B. Unicyclic graphs with strong reciprocal eigenvalue property. Electron. J. Linear Algebra 2008, 17, 139–153. [Google Scholar] [CrossRef][Green Version]
  24. Bapat, R.B.; Panda, S.K.; Pati, S. Strong reciprocal eigenvalue property of a class of weighted graphs. Linear Algebra Appl. 2016, 511, 460–475. [Google Scholar] [CrossRef]
  25. Hameed, S.; Ahmad, U. Inverse of the adjacency matrices and strong anti-reciprocal eigenvalue property. Linear Multilinear Alg. 2022, 70, 2739–2764. [Google Scholar] [CrossRef]
  26. Ahmad, U.; Hameed, S.; Jabeen, S. Class of weighted graphs with strong anti-reciprocal eigenvalue property. Linear Multilinear Alg. 2020, 68, 1129–1139. [Google Scholar] [CrossRef]
  27. Ahmad, U.; Hameed, S.; Jabeen, S. Noncorona graphs with strong anti-reciprocal eigenvalue property. Linear Multilinear Alg. 2021, 69, 1878–1888. [Google Scholar] [CrossRef]
  28. Barik, S.; Ghosh, S.; Mondal, D. On graphs with strong anti-reciprocal eigenvalue property. Linear Multilinear Alg. 2021, 70, 6698–6711. [Google Scholar] [CrossRef]
  29. Ahmad, U.; Hameed, S.; Akhter, S. On weighted noncorona graphs with properties R and −SR. Kuwait J. Sci. 2023, 50, 1–12. [Google Scholar] [CrossRef]
  30. Akhter, S.; Ahmad, U.; Hameed, S. On graphs with anti-reciprocal eigenvalue property. Trans. Comb. 2022. [Google Scholar] [CrossRef]
  31. Akhter, S.; Hameed, S.; Ahmad, U. Signed graphs with strong anti-reciprocal eigenvalue property. Commun. Algebra 2023, 51, 4271–4279. [Google Scholar] [CrossRef]
  32. Guan, H.; Khan, A.; Akhter, S.; Hameed, S. Spectral Characterization of Graphs with Respect to the Anti-Reciprocal Eigenvalue Property. Symmetry 2023, 15, 1240. [Google Scholar] [CrossRef]
  33. Barik, S.; Pati, S. Classes of nonbipartite graphs with reciprocal eigenvalue property. Linear Algebra Appl. 2021, 612, 177–187. [Google Scholar] [CrossRef]
  34. Bapat, R.B. Graphs and Matrices, 2nd ed.; Springer: Berlin/Heidelberg, Germany, 2014. [Google Scholar]
Figure 1. K 5 K 1 , P 2 K 1 , and V 5 .
Figure 1. K 5 K 1 , P 2 K 1 , and V 5 .
Axioms 12 01043 g001
Figure 2. V 5 W .
Figure 2. V 5 W .
Axioms 12 01043 g002
Figure 3. V 4 , 3 copies of P 4 and B 4 W ¨ ( 3 ) .
Figure 3. V 4 , 3 copies of P 4 and B 4 W ¨ ( 3 ) .
Axioms 12 01043 g003
Figure 4. Weighted D 3 W ˇ ( 2 ) , where the blue edges are assigned weight 3, and the red edges are assigned weight 2.
Figure 4. Weighted D 3 W ˇ ( 2 ) , where the blue edges are assigned weight 3, and the red edges are assigned weight 2.
Axioms 12 01043 g004
Figure 5. B 4 W ( 3 ) and D 4 W ( 2 ) .
Figure 5. B 4 W ( 3 ) and D 4 W ( 2 ) .
Axioms 12 01043 g005
Figure 6. B 5 W ¨ ( 5 ) and B 5 W ( 5 ) .
Figure 6. B 5 W ¨ ( 5 ) and B 5 W ( 5 ) .
Axioms 12 01043 g006
Figure 7. D 3 W ˇ ( 3 ) and D 3 W ( 3 ) .
Figure 7. D 3 W ˇ ( 3 ) and D 3 W ( 3 ) .
Axioms 12 01043 g007
Table 1. Eigenvalues of V 5 W with reciprocals and multiplicities.
Table 1. Eigenvalues of V 5 W with reciprocals and multiplicities.
( λ , m ) (41.4952, 1)(0.02739, 1)(0.61803, 5)
( 1 λ , m ) (−0.02409, 1)(−36.509, 1)(−1.6180, 5)
Table 2. Eigenvalues of B 5 W ¨ ( 5 ) with reciprocals and multiplicities.
Table 2. Eigenvalues of B 5 W ¨ ( 5 ) with reciprocals and multiplicities.
( λ , m ) (13.573, 1)(−0.11724, 1)(0.0995, 4)(−0.0995, 4)(0.61803, 6)(−0.61803, 1)
( 1 λ , m ) (0.073675, 1)(−8.5295, 1)(10.049, 4)(−10.049, 4)(1.61803, 1)(−1.61803, 6)
Table 3. Eigenvalues of B 5 W ( 5 ) with negative reciprocals and multiplicities.
Table 3. Eigenvalues of B 5 W ( 5 ) with negative reciprocals and multiplicities.
( λ , m ) (−22.379, 1)(−2.1889, 4)(−1.6180, 6)(−0.6180, 1)(−0.45685, 4)(−0.3653, 1)
( 1 λ , m ) (0.04468, 1)(0.45685, 4)(0.6180, 6)(1.6180, 1)(2.1889, 4)(27.371, 1)
Table 4. Eigenvalues of D 5 W ˇ ( 3 ) with reciprocals and multiplicities.
Table 4. Eigenvalues of D 5 W ˇ ( 3 ) with reciprocals and multiplicities.
( λ , m ) (0.03562, 1)(0.15698, 1)(−0.03701, 1)(−0.47436, 1)(1.61803, 2)(−0.61803, 2)
( 1 λ , m ) (28.071, 1)(6.3702, 1)(−27.014, 1)(−2.1081, 1)(0.61803, 7)(−1.61803, 7)
Table 5. Eigenvalues of C 5 W ( 3 ) with reciprocals and multiplicities.
Table 5. Eigenvalues of C 5 W ( 3 ) with reciprocals and multiplicities.
( λ , m ) (0.030363, 1)(0.36120, 1)(2.7686, 1)(1.618, 2)(37.931, 1)(0.618, 7)
( 1 λ , m ) (−32.935, 1)(−2.7685, 1)(−0.3612, 1)(−0.618, 2)(−0.02636, 1)(−1.618, 7)
Disclaimer/Publisher’s Note: The statements, opinions and data contained in all publications are solely those of the individual author(s) and contributor(s) and not of MDPI and/or the editor(s). MDPI and/or the editor(s) disclaim responsibility for any injury to people or property resulting from any ideas, methods, instructions or products referred to in the content.

Share and Cite

MDPI and ACS Style

Shi, X.; Hameed, S.; Akhter, S.; Khan, A.; Akhoundi, M. Conversion of Unweighted Graphs to Weighted Graphs Satisfying Properties R and SR. Axioms 2023, 12, 1043. https://doi.org/10.3390/axioms12111043

AMA Style

Shi X, Hameed S, Akhter S, Khan A, Akhoundi M. Conversion of Unweighted Graphs to Weighted Graphs Satisfying Properties R and SR. Axioms. 2023; 12(11):1043. https://doi.org/10.3390/axioms12111043

Chicago/Turabian Style

Shi, Xiaolong, Saira Hameed, Sadia Akhter, Aysha Khan, and Maryam Akhoundi. 2023. "Conversion of Unweighted Graphs to Weighted Graphs Satisfying Properties R and SR" Axioms 12, no. 11: 1043. https://doi.org/10.3390/axioms12111043

APA Style

Shi, X., Hameed, S., Akhter, S., Khan, A., & Akhoundi, M. (2023). Conversion of Unweighted Graphs to Weighted Graphs Satisfying Properties R and SR. Axioms, 12(11), 1043. https://doi.org/10.3390/axioms12111043

Note that from the first issue of 2016, this journal uses article numbers instead of page numbers. See further details here.

Article Metrics

Back to TopTop