A Fast Novel Recursive Algorithm for Computing the Inverse of a Generalized Vandermonde Matrix
Abstract
1. Introduction and Objectives
2. The Vandermonde Matrix Determinant Formula—A Simple Proof
3. Inversion of the Vandermonde Matrix —A New Easy Method for the Derivation
4. A Recursive Computational Algorithm for Inverting the Vandermonde Matrix
- Using matrix representation, we see that Lemma 2 together with Lemma 3 introduce a very simple, direct proof and generalizes Theorem 2.1 in [17], which can be written as , wherefor . The relation enables us to give another proof that in Theorem 3 satisfies .
- Since , and applying the Horner’s scheme for synthetic division, we obtain
- For , can also be computed using the recurrencefor . Hence, .
| Algorithm 1 A recursive algorithm for inverting |
| Consider the Vandermonde matrix with n distinct nodes (real or complex). Let , where is the j-th column in . To compute the inverse , we may proceed as follows: |
| INPUT: The nodes of . |
| OUTPUT: The inverse . |
|
![]() |
|
5. Illustrative Examples and Simulation Study
- Step 1
- Step 2
- Furthermore, we can use the recurrence relation (34) to compute the numerators in columns in the same order. Thus, the inverse is given byHence, simplifying the entries for the previous matrix, we obtain the inverse of the Vandermonde matrix .
- Step 1
- Step 2
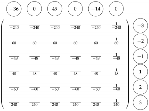
- Using (34) to compute the numerators in columns in the same order. Thus, the inverse is given byFurthermore, we can compute via Horner’s scheme Remark 1. Hence, simplifying the entries for the previous matrix, we obtain the inverse of the Vandermonde matrix .
- Step 1
- Following Corollary 1, we obtain andfurthermore, and . Moreover, we have forso, and . Arrange and the nodes as follows
- Step 2
- Using (34) to compute the numerators in columns in the same order. Thus, the inverse is given byFurthermore, we can compute via Horner’s scheme Remark 1. Hence, simplifying the entries for the previous matrix, we obtain the inverse of the Vandermonde matrix .
6. General Conclusions
Author Contributions
Funding
Data Availability Statement
Acknowledgments
Conflicts of Interest
Appendix A. A Computational Recursive Maple Procedure to Compute the Inverse of the Vandermonde Matrix
- > vand_inv := proc(x::vector, p::numeric )
- # written by Prof. Dr. Moawwad El-Mikkawy
- # The inverse matrix is W.
- local i,j,k,fixi;
- global n,a,d,r,N,W;
- with(linalg,vectdim): n:= vectdim(x):
- a:= array(0..n): d:= vector(n): r:= vector(n):
- N:= array(1..n,1..n): W:= array(1..n,1..n):
- # STEP 1:
- # To compute a[i] , i=0,1,2,...,n.
- a[0]:=1:
- for i to n do
- a[i] := x[i]* a[i-1]:
- for j from i-1 by -1 to 1 do
- a[j] :=rationalize( evalc(a[j] + x[i]* a[j-1])):
- od:
- od:
- i:= ’i’: j:=’j’:
- for i to n do
- a[i]:=evalc((-1)^i*a[i]):
- od:
- # STEP 2:
- # To compute d[i], N[i,j],i,i=1,2,...,n and column n of W .
- i:=i: j:= j:
- for i to n do
- fixi:= n: N[i,n]:= 1:
- for j from n-1 by -1 to 1 do
- fixi := rationalize(evalc(fixi* x[i] + j * a[n-j])):
- N[i,j] := rationalize(evalc(N[i,j+1] * x[i] + a[n-j]))
- od:
- r[i]:= rationalize(evalc(x[i] * N[i,1]+ a[n])):
- d[i] := fixi*x[i]^p : W[i,n]:= rationalize(1/d[i]):
- # To compute the first (n-1) columns of W recursively.
- for k from n-1 by -1 to 1 do
- W[i,k] := rationalize( evalc(( x[i] * N[i,k+1] + a[n-k])/d[i]))
- od:
- od:
- evalm(W)
- endproc:
References
- Dormand, J.; El-Mikkawy, M.; Prince, P. Families of Runge-Kutta-Nystrom formulae. IMA J. Numer. Anal. 1987, 7, 235–250. [Google Scholar] [CrossRef]
- Dormand, J.; El-Mikkawy, M.; Prince, P. High-order embedded Runge-Kutta-Nystrom formulae. IMA J. Numer. Anal. 1987, 7, 423–430. [Google Scholar] [CrossRef]
- El-Mikkawy, M.; Rahmo, E.D. A new optimized non-FSAL embedded Runge–Kutta–Nystrom algorithm of orders 6 and 4 in six stages. Appl. Math. Comput. 2003, 145, 33–43. [Google Scholar] [CrossRef]
- Kalman, D. The generalized Vandermonde matrix. Math. Mag. 1984, 57, 15–21. [Google Scholar] [CrossRef]
- Vein, R.; Dale, P. Determinants and Their Applications in Mathematical Physics; Springer Science & Business Media: New York, NY, USA, 2006; Volume 134. [Google Scholar]
- Tou, J. Determination of the inverse Vandermonde matrix. IEEE Trans. Autom. Control 1964, 9, 314. [Google Scholar] [CrossRef]
- Neagoe, V.E. Inversion of the Van der Monde matrix. IEEE Signal Process. Lett. 1996, 3, 119–120. [Google Scholar] [CrossRef]
- Börck, A.; Pereyra, V. Solution of Vandermonde systems of linear equations. Math. Comput. 1970, 24, 893–903. [Google Scholar] [CrossRef][Green Version]
- Gautschi, W. On inverses of Vandermonde and confluent Vandermonde matrices III. Numer. Math. 1978, 29, 445–450. [Google Scholar] [CrossRef]
- Eisinberg, A.; Picardi, C. On the inversion of Vandermonde matrix. IFAC Proc. Vol. 1981, 14, 507–511. [Google Scholar] [CrossRef]
- Oruç, H.; Phillips, G.M. Explicit factorization of the Vandermonde matrix. Linear Algebra Its Appl. 2000, 315, 113–123. [Google Scholar] [CrossRef]
- Eisinberg, A.; Fedele, G. On the inversion of the Vandermonde matrix. Appl. Math. Comput. 2006, 174, 1384–1397. [Google Scholar] [CrossRef]
- Oruç, H. LU factorization of the Vandermonde matrix and its applications. Appl. Math. Lett. 2007, 20, 982–987. [Google Scholar] [CrossRef]
- Moya-Cessa, H.; Soto-Eguibar, F. Inverse of the Vandermonde and Vandermonde confluent matrices. arXiv 2012, arXiv:1211.1566. [Google Scholar]
- Zhou, Q.; Zhang, X.; Liu, X. A new derivation and recursive algorithm based on Wronskian matrix for Vandermonde inverse matrix. Math. Probl. Eng. 2015, 2015, 924757. [Google Scholar] [CrossRef]
- Ghassabeh, Y.A. A recursive algorithm for computing the inverse of the Vandermonde matrix. Cogent Eng. 2016, 3, 1175061. [Google Scholar] [CrossRef]
- Man, Y.K. On computing the inverse of Vandermonde matrix. Adv. Theor. Appl. Math. 2018, 13, 15–21. [Google Scholar]
- Lita da Silva, J. On One Type of Generalized Vandermonde Determinants. Am. Math. Mon. 2018, 125, 433–442. [Google Scholar] [CrossRef]
- Hosseini, M.S.; Chen, A.; Plataniotis, K.N. On the Closed Form Expression of Elementary Symmetric Polynomials and the Inverse of Vandermonde Matrix. arXiv 2019, arXiv:1909.08155. [Google Scholar]
- Rawashdeh, E.A. A simple method for finding the inverse matrix of Vandermonde matrix. Mat. Vesn. 2019, 71, 207–213. [Google Scholar]
- El-Mikkawy, M. Explicit inverse of a generalized Vandermonde matrix. Appl. Math. Comput. 2003, 146, 643–651. [Google Scholar] [CrossRef]
- Oruç, H.; Akmaz, H.K. Symmetric functions and the Vandermonde matrix. J. Comput. Appl. Math. 2004, 172, 49–64. [Google Scholar] [CrossRef][Green Version]
- El-Mikkawy, M.; Atlan, F. Remarks on two symmetric polynomials and some matrices. Appl. Math. Comput. 2013, 219, 8770–8778. [Google Scholar] [CrossRef]
- Respondek, J.S. Recursive Matrix Calculation Paradigm by the Example of Structured Matrix. Information 2020, 11, 42. [Google Scholar] [CrossRef]
- Knutson, D. λ-Rings and the Representation Theory of the Symmetric Group; Springer: New York, NY, USA, 1973. [Google Scholar]
- Stanley, R.P. Enumerative Combinatorics; Cambridge Studies in Advanced Mathematics; Springer: New York, NY, USA, 1999; Volume 2. [Google Scholar]
- Bergeron, F. Algebraic Combinatorics and Coinvariant Spaces; AK Peters/CRC Press: Boca Raton, FL, USA, 2009. [Google Scholar]
- Macdonald, I.G. Symmetric Functions and Hall Polynomials; Oxford University Press: Oxford, UK, 1998. [Google Scholar]
- El-Mikkawy, M.; Sogabe, T. Notes on particular symmetric polynomials with applications. Appl. Math. Comput. 2010, 215, 3311–3317. [Google Scholar] [CrossRef]
- Xu, J.; Zhao, L. An application of the Vandermonde determinant. Int. J. Math. Educ. Sci. Technol. 2006, 37, 229–231. [Google Scholar] [CrossRef]
- Alatawi, M.S. On the Elementary Symmetric Polynomials and the Zeros of Legendre Polynomials. J. Math. 2022, 2022, 4139728. [Google Scholar] [CrossRef]
- Hou, S.H.; Hou, E. Triangular factors of the inverse of Vandermonde matrices. In Proceedings of the 2008 International MultiConference of Engineers and Computer Scientists (Volume II IMECS 2008), Hong Kong, China, 19–21 March 2008; pp. 2027–2029. [Google Scholar]



Disclaimer/Publisher’s Note: The statements, opinions and data contained in all publications are solely those of the individual author(s) and contributor(s) and not of MDPI and/or the editor(s). MDPI and/or the editor(s) disclaim responsibility for any injury to people or property resulting from any ideas, methods, instructions or products referred to in the content. |
© 2022 by the authors. Licensee MDPI, Basel, Switzerland. This article is an open access article distributed under the terms and conditions of the Creative Commons Attribution (CC BY) license (https://creativecommons.org/licenses/by/4.0/).
Share and Cite
Arafat, A.; El-Mikkawy, M. A Fast Novel Recursive Algorithm for Computing the Inverse of a Generalized Vandermonde Matrix. Axioms 2023, 12, 27. https://doi.org/10.3390/axioms12010027
Arafat A, El-Mikkawy M. A Fast Novel Recursive Algorithm for Computing the Inverse of a Generalized Vandermonde Matrix. Axioms. 2023; 12(1):27. https://doi.org/10.3390/axioms12010027
Chicago/Turabian StyleArafat, Ahmed, and Moawwad El-Mikkawy. 2023. "A Fast Novel Recursive Algorithm for Computing the Inverse of a Generalized Vandermonde Matrix" Axioms 12, no. 1: 27. https://doi.org/10.3390/axioms12010027
APA StyleArafat, A., & El-Mikkawy, M. (2023). A Fast Novel Recursive Algorithm for Computing the Inverse of a Generalized Vandermonde Matrix. Axioms, 12(1), 27. https://doi.org/10.3390/axioms12010027







