1. Introduction
Since the reform and opening up, the construction industry has been playing a crucial role in China’s urban development. With the enhancement of China’s economic strength and improvement of technical means, the total output value of the construction industry (TOVCI) in China now ranks forefront. China’s national bureau of statistics pointed out that the TOVCI is the sum of the construction products and services provided by the construction enterprises in the form of money in a certain period. It includes the output value of construction projects, the output value of installation projects and the output value of others. As the TOVCI shows its own development level to a certain extent, a precise prediction of the construction industry’s total output value is conducive to the government’s dynamic regulation.
At present, numerous scholars have explored this issue. Cheng et al. took the TOVCI of China in the past seven years as the research object, and established a residual tail correction model was established to forecast the TOVCI of China based on the dynamic gray prediction model (GM (1,1) model) [
1]; Guang used genetic algorithm (GA) to optimize the initial weights and thresholds of the BP neural network model, and constructed a GA-GM (1,1)-BP model to predict the added value of the China’s construction industry [
2]; Liu conducted a quantitative and qualitative analysis with a linear regression analysis, and forecasted the total output value in Shaanxi Province [
3]. The traditional research method for data prediction has some deficiencies such as large computational effort and low accuracy. Concerning the deficiencies of little data and poor information, Deng et al. founded the grey system theory in 1982. They took the uncertain system with “partly known information and partly unknown information” as the research object, and mainly described the operation and evolution law of the system by processing and analyzing the “partly” known information.
The GM (1,1) model is the basic model of grey prediction theory, often used for short-term data prediction [
4,
5]. In recent years, many scholars have done a lot of prediction research based on the GM (1,1) model [
6,
7,
8,
9,
10]. Although the GM (1,1) model has achieved ideal experimental results, its accuracy remains undesirable. Therefore, many scholars have been trying to improve it [
11,
12,
13,
14,
15]. At the same time, Wu et al. proposed the FGM (1,1) model based on the principle of new information priority. In the FGM (1,1) model, each sequence is multiplied by different fractional orders and then accumulated [
16,
17,
18,
19]. In fact, the GM (1,1) model is a special case of the FGM (1,1) model. On this basis, many scholars have adopted the FGM model for prediction research and achieved ideal results [
20,
21,
22,
23,
24,
25].
In the FGM (1,1) model, the
r can be obtained by some optimization algorithms, such as Genetic Algorithm (GA) [
26,
27], Ant Colony Algorithm (ACA) [
28,
29], Grey Wolf algorithm [
30,
31,
32], Particle Swarm Optimization algorithm (PSO) [
33], Simulated Annealing algorithm (SA) [
34,
35,
36] and so on. The SA algorithm was introduced by Kirkpatrick et al. in 1983, and it’s an extension of local search algorithm with powerful global search performance [
37,
38]. Similar to the previous related literature, the FGM (1,1) model is used for prediction. Nonetheless, as for the calculation of the
r, we choose the SA algorithm. The advantage of SA algorithm is its better global search ability which can help us find the optimal solution in a more efficient way.
In order to understand the dynamic change law of the TOVCI of China, this paper constructs the FGM (1,1) model, calculates r by SA algorithm, and forecasts the TOVCI of China in the next few years based on the TOVCI of China from 2017 to 2020. The results will help to guide the development of the construction industry and provide some reference for promoting the development of China’s construction industry. In addition, it is of some significance to speed up the structural adjustment of the construction industry and better exercise macro-control so as to achieve sustainable development.
2. The FGM (1,1) Model and SA Algorithm
2.1. The FGM (1,1) Model
(1) The original sequence is derived from the original non-negative data:
(2) The accumulation formula is
and the
r-order accumulation sequence is
where
(3) The whitening differential equation is
where
a and
b are the developmental gray number and endogenous control gray number.
The solution of the equation in exponential form is
The following results can be obtained based on the least square method:
where
(4) The time response function is solved as
where
is the value of time
.
(5) The reduced sequence of sequence
is as follows:
where
By cumulative subtraction operation, the prediction sequence is as follows:
(6) Evaluation the model (
MAPE). Mean Absolute Percentage Error (
MAPE) is used to measure the relative errors between the predictive value and the real value. In the FGM (1,1) model,
MAPE is a function with r as the independent variable. The SA algorithm will be used to determine the minimum of
MAPE and the corresponding
r.
2.2. SA Algorithm
As a stochastic optimization algorithm based on Monte Carlo iterative solution strategy, Simulated Annealing (SA) algorithm can eliminate the tendency of falling into local minima and the dependence on initial values compared to other optimization processes. Compared with local search algorithms, it will probably select inferior solutions in the large objective values of the neighborhood. SA algorithm uses the Metropolis algorithm and control the temperature drop process properly to achieve SA for the sake of addressing global optimization problem [
39].
Metropolis is an effective focused sampling method. When the system
i changes from one energy state to another system
j, the corresponding energy changes from
E1 to
E2 with the probability
. If
E2 <
E1, the system will accept this state
j; Otherwise, its acceptance probability needs to be examined. If the probability
p is still greater than the random number in the [0, 1) interval, the state
j will still be accepted as the current state; if it is not true, the state
i will be retained as the current state. The probability of state
j being accepted is as follows:
The system will gradually converge to a stable distribution state after iterations. The flow chart of SA algorithm is shown in
Figure 1.
According to the characteristics of the FGM (1,1) model, the markov chain length is set at 100, the initial temperature is T = 10, the decay parameter is 0.9, the step factor is 0.001, the tolerance is 10−8, and the fractional order r is in [0, 1].
3. Empirical Research
To predict the TOVCI of China, a gray fractional order FGM (1,1) model is established with the MAPE as the objective function, and the fractional order r is calculated by SA algorithm. The MAPE is frequently used as a statistical indicator to measure the accuracy of prediction. Its concept is concise, which can better reflect the difference between the predicted data and the original data, and describe the accuracy of the data. Therefore, we use the MAPE value to measure the results of the model.
The original sequence of the TOVCI of China from 2017 to 2020 is as follows (unit: trillion yuan, data from “
China Statistical Yearbook”):
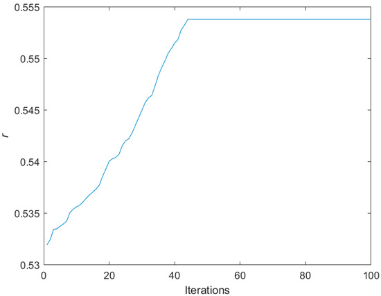
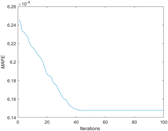
According to the operation results of SA algorithm, the value of fractional order
r is 0.5539 and the objective function value is 0.0615%. The iterative convergence processes of fractional order
r and objective function values (
MAPE) are shown in
Figure 2 and
Figure 3, respectively.
By calculation, the fractional order r is 0.5539, and then it is substituted into the FGM (1,1) model for calculation.
and
are obtained as follows:
where
Then the time series function is
The reduction sequence is as follows:
The predicted values are as follows:
The FGM (1,1) model is the traditional GM (1,1) model when
r = 1. It directly accumulates the original data to get the accumulated data for fitting calculation, with each data playing an equally important role. However, the FGM (1,1) model believes that there is a gap between the information, and that the data have different degrees of influence at different times. These things considered, the data will become more important. Thus, it should give greater weight to the new information. The fitting results and the
MAPE of the GM (1,1) model and FGM (1,1) model are showed in
Table 1, it can verify the superiority of the FGM (1,1) model.
Based on the above results, taking the fractional order
r = 0.5539, the prediction values of the TOVCI of China from 2021–2023 based on FGM (1,1) model are shown in
Table 2.
According to
Table 2, it can be seen that since the TOVCI of China will continue to grow, so China’s construction industry still has some room for development in the coming years. At the same time, the growth trend is gradually slowing down. The growth rate is projected to be 4.17% in 2021, and it will drop to 1.56% in 2023.
4. Conclusions
On the basis of the TOVCI of China from 2017 to 2020, we constructed the FGM (1,1) model, calculated r by SA algorithm (the advantage of SA algorithm is that it has powerful global search performance), and forecasted the TOVCI of China next few years. The FGM (1,1) model can predict the data more accurately than the GM (1,1) model. In the past few years, the TOVCI of China has been rising due to the simultaneous opening of a number of projects. However, with the deepening of industrialization and urbanization, the market demand of the construction industry will be saturate. In addition, the growth rate of the TOVCI of China will decline in the coming years, which will lead to the depression of construction industry if the development direction is not properly handled. The prediction suggests that the government should pay more attention to the change trend of the TOVCI of China and formulate corresponding countermeasures. In other words, China’s construction industry should not just pursue the high-speed growth of the total output value, but high-quality development, including technological innovation, energy conservation and environmental protection.
However, this paper has the following limitations. (1) This paper did not compare the prediction results of FGM (1,1) model with those of other models. There are many prediction methods available, and many scholars have used the FGM (1,1) model for forecasting and achieved ideal results. However, it is still impossible to prove that the prediction results of FGM (1,1) model are more accurate than those of other models. Moreover, although FGM (1,1) model requires less raw data, and is a better choice for short-term prediction, the prediction accuracy of the FGM (1,1) model may be relatively low for long-term prediction. (2) we failed to take into account other factors, such as China’s land policies and fiscal policies, infrastructure construction and the urbanization level. In recent years, great changes of land policy and fiscal policy have taken place in China, and the level of infrastructure construction and urbanization has been greatly improved. These factors will certainly have a huge impact on the construction market and the TOVCI of China. Therefore, future research should make more efforts to cope with these problems.
Author Contributions
Conceptualization, X.Z. and L.W.; methodology, J.W. and L.W.; software, X.Z. and M.C.; validation, M.C. and D.Z.; formal analysis, J.W.; investigation, M.C. and D.Z.; resources, L.W.; data curation, X.Z.; writing—original draft preparation, X.Z. and D.Z.; writing—review and editing, M.C.; visualization, X.Z.; supervision, L.W.; project administration, L.W. All authors have read and agreed to the published version of the manuscript.
Funding
This research was funded by China Postdoctoral Science Foundation (grant number 2017M611785) and Jiangsu Planned Projects for Postdoctoral Research Funds (grant number 1601091C).
Institutional Review Board Statement
Not applicable.
Informed Consent Statement
Not applicable.
Data Availability Statement
Not applicable.
Acknowledgments
The authors also gratefully acknowledge the editor and anonymous reviewers for their helpful comments and suggestions which improved the paper.
Conflicts of Interest
The authors declare no conflict of interest.
References
- Cheng, S.S.; Song, J.L.; Lv, H.T. A research on the forecast of total output of construction industry in China based on GM(1,1) modified residual error model. J. Hebei Univ. Eng. (Soc. Sci. Ed.) 2018, 35, 7–10. [Google Scholar]
- Guang, H. Research on construction value added prediction based on GA optimized gray neural network model. China Constr. Met. Struct. 2021, 5, 12–13. [Google Scholar]
- Lu, N.; Liu, N.; Li, L.; Li, P. Prediction research into total output value of construction industry’s development trend in Shaanxi province during the 12th Five-Year Plan. Value Eng. 2012, 31, 112–114. [Google Scholar]
- Deng, J.L. Properties of grey forecasting models GM(1,1). J. Huazhong Univ. Sci. Technol. 1987, 15, 1–6. [Google Scholar]
- Peng, F.; Peng, L.L.; Huang, X.Y. GM(1,1) modeling principle analysis. J. Grey Syst. 2013, 25, 87–95. [Google Scholar]
- Yao, H.; Zhang, Q.X.; Niu, G.Y.; Liu, H.; Yang, Y.X. Applying the GM(1,1) model to simulate and predict the ecological footprint values of Suzhou city, China. Environ. Dev. Sustain. 2021, 23, 11297–11309. [Google Scholar]
- Yan, J.M.; Li, Y.B.; Zhou, P.Y. Impact of COVID-19 pandemic on the epidemiology of STDs in China: Based on the GM (1,1) model. BMC Infect. Dis. 2022, 22, 519. [Google Scholar]
- Wang, C.N.; Nguyen, T.L.; Dang, T.T. Analyzing operational efficiency in real estate companies: An application of GM (1,1) and DEA malmquist model. Mathematics 2021, 9, 202. [Google Scholar] [CrossRef]
- Chen, C.I.; Huang, S.J. The necessary and sufficient condition for GM(1,1) grey prediction model. Appl. Math. Comput. 2013, 219, 6152–6162. [Google Scholar] [CrossRef]
- Yuan, C.Q.; Liu, S.F.; Fang, Z.G. Comparison of China’s primary energy consumption forecasting by using ARIMA (the autoregressive integrated moving average) model and GM(1,1) model. Energy 2016, 100, 384–390. [Google Scholar] [CrossRef]
- Yeh, M.F.; Chang, M.H. GM(1,1;λ) with constrained linear least squares. Axioms 2021, 10, 278. [Google Scholar] [CrossRef]
- Cheng, M.L.; Xiang, M.Y. Generalized GM(1,1) model and its application. J. Grey Syst. 2017, 29, 110–122. [Google Scholar]
- Wang, Z.X.; Li, D.D.; Zheng, H.H. Model comparison of GM(1,1) and DGM(1,1) based on Monte-Carlo simulation. Physica A 2020, 542, 123341. [Google Scholar]
- Zeng, B.; Yang, Y.J.; Gou, X.Y. Research on physical health early warning based on GM(1,1). Comput. Biol. Med. 2022, 143, 105256. [Google Scholar] [CrossRef]
- Yousuf, M.U.; Al-Bahadly, L.; Avci, E. A modified GM(1,1) model to accurately predict wind speed. Sustain. Energy Technol. Assess. 2021, 43, 100905. [Google Scholar]
- Wu, L.F. Fractional Order Grey Forecasting Models and Their Application. Ph.D. Thesis, Nanjing University of Aeronautics and Astronautics, Nanjing, China, 2015. [Google Scholar]
- Wu, L.F.; Liu, S.F.; Yao, L.G. Discrete grey model based on fractional order accumulate. Syst. Eng. Theory Pract. 2014, 34, 1822–1827. [Google Scholar]
- Xu, Z.C.; Dun, M.; Wu, L.F. Evaluating the effect of sample length on forecasting validity of FGM(1,1). Alex. Eng. J. 2020, 59, 4687–4698. [Google Scholar]
- Chen, Y.; Wu, L.F.; Liu, L.Y.; Zhang, K. Fractional Hausdorff grey model and its properties. Chaos Solitons Fractals 2020, 138, 109915. [Google Scholar] [CrossRef]
- Tong, Y.Z.; Chen, Y.; Chen, H.J.; Zhao, G.H.; Wu, L.F. Forecast of Tianjin municipal solid waste disposal volume based on FGM(1,1) model. Math. Pract. Theory 2020, 50, 67–72. [Google Scholar]
- Tong, Y.Z.; Chen, H.J.; Zhang, X.M.; Wu, L.F. Forecast of Beijing natural gas consumption based on FGM(1,1) model. Math. Pract. Theory 2020, 50, 79–83. [Google Scholar]
- Zhang, S.Y.; Wu, L.S.; Cheng, M.; Zhang, D.Q. Prediction of whole social electricity consumption in Jiangsu province based on metabolic FGM (1,1) model. Mathematics 2022, 10, 1791. [Google Scholar] [CrossRef]
- Xiong, C.Y.; Wu, L.S. Prediction of China’s express business volume based on FGM (1, 1) model. J. Math. 2021, 2021, 8585238. [Google Scholar] [CrossRef]
- Wu, L.F.; Li, N.; Zhao, T. Using the seasonal FGM(1,1) model to predict the air quality indicators in Xingtai and Handan. Environ. Sci. Pollut. Res. 2019, 26, 14683–14688. [Google Scholar] [CrossRef] [PubMed]
- Wu, L.F.; Zhao, H.Y. Using FGM(1,1) model to predict the number of the lightly polluted day in Jing-Jin-Ji region of China. Atmos. Pollut. Res. 2018, 10, 552–555. [Google Scholar] [CrossRef]
- Coley, D.A. Genetic Algorithms. Contemp. Phys. 1996, 37, 145–154. [Google Scholar] [CrossRef]
- Katoch, S.; Chauhan, S.S.; Kumar, V. A review on genetic algorithm: Past, present, and future. Multimed. Tools Appl. 2021, 80, 8091–8126. [Google Scholar]
- Middendorf, M.; Reischle, F.; Schmeck, H. Multi colony ant algorithms. J. Heuristics 2002, 8, 305–320. [Google Scholar] [CrossRef]
- Skackauskas, J.; Kalganova, T.; Dear, I.; Janakiram, M. Dynamic impact for ant colony optimization algorithm. Swarm Evol. Comput. 2021, 69, 100993. [Google Scholar] [CrossRef]
- Precup, R.E.; David, R.C.; Petriu, E.M. Grey wolf optimizer algorithm-based tuning of fuzzy control systems with reduced parametric sensitivity. IEEE Trans. Ind. Electron. 2017, 64, 527–534. [Google Scholar] [CrossRef]
- Kohli, M.; Arora, S. Chaotic grey wolf optimization algorithm for constrained optimization problems. J. Comput. Des. Eng. 2018, 5, 458–472. [Google Scholar] [CrossRef]
- Mirjalili, S.; Saremi, S.; Mirjalili, S.M.; Coelho, L.D. Multi-objective grey wolf optimizer: A novel algorithm for multi-criterion optimization. Expert Syst. Appl. 2016, 47, 106–119. [Google Scholar] [CrossRef]
- Wang, D.S.; Tan, D.P.; Liu, L. Particle swarm optimization algorithm: An overview. Soft Comput. 2018, 22, 387–408. [Google Scholar] [CrossRef]
- Prasad, R.; Ali, M.; Kwan, P.; Khan, H. Designing a multi-stage multivariate empirical mode decomposition coupled with ant colony optimization and random forest model to forecast monthly solar radiation. Appl. Energy 2019, 236, 778–792. [Google Scholar] [CrossRef]
- Ding, J.; Chen, G.; Yuan, K. Short-term wind power prediction based on improved grey wolf optimization algorithm for extreme learning machine. Processes 2020, 8, 109. [Google Scholar] [CrossRef]
- Chen, H.G.; Li, L.H.; Xu, H.P.; Chen, B. Modified very fast simulated annealing algorithm. J. Tongji Univ. (Nat. Sci.) 2006, 34, 1121–1125. [Google Scholar]
- Kirkpatrick, S.; Gelatt, C.D.; Vecchi, M.P. Optimization by simulated annealing. Science 1983, 220, 671–680. [Google Scholar] [CrossRef]
- Rutrnbar, R.A. Simulated annealing algorithms: An overview. IEEE Circuits Devices 1989, 5, 19–26. [Google Scholar] [CrossRef]
- Yang, R.L.; Gu, J.F. An efficient simulated annealing algorithm for global optimization. Syst. Eng. Theory Pract. 1997, 17, 29–35. [Google Scholar]
| Publisher’s Note: MDPI stays neutral with regard to jurisdictional claims in published maps and institutional affiliations. |
© 2022 by the authors. Licensee MDPI, Basel, Switzerland. This article is an open access article distributed under the terms and conditions of the Creative Commons Attribution (CC BY) license (https://creativecommons.org/licenses/by/4.0/).