How Containment Can Effectively Suppress the Outbreak of COVID-19: A Mathematical Modeling
Abstract
:1. Introduction
2. The Mathematical Model
3. Next Generation Matrix for Infection Diseases
4. Disease-Free Equilibrium: The Basic Reproduction Number
5. Model Sensitivity Analysis
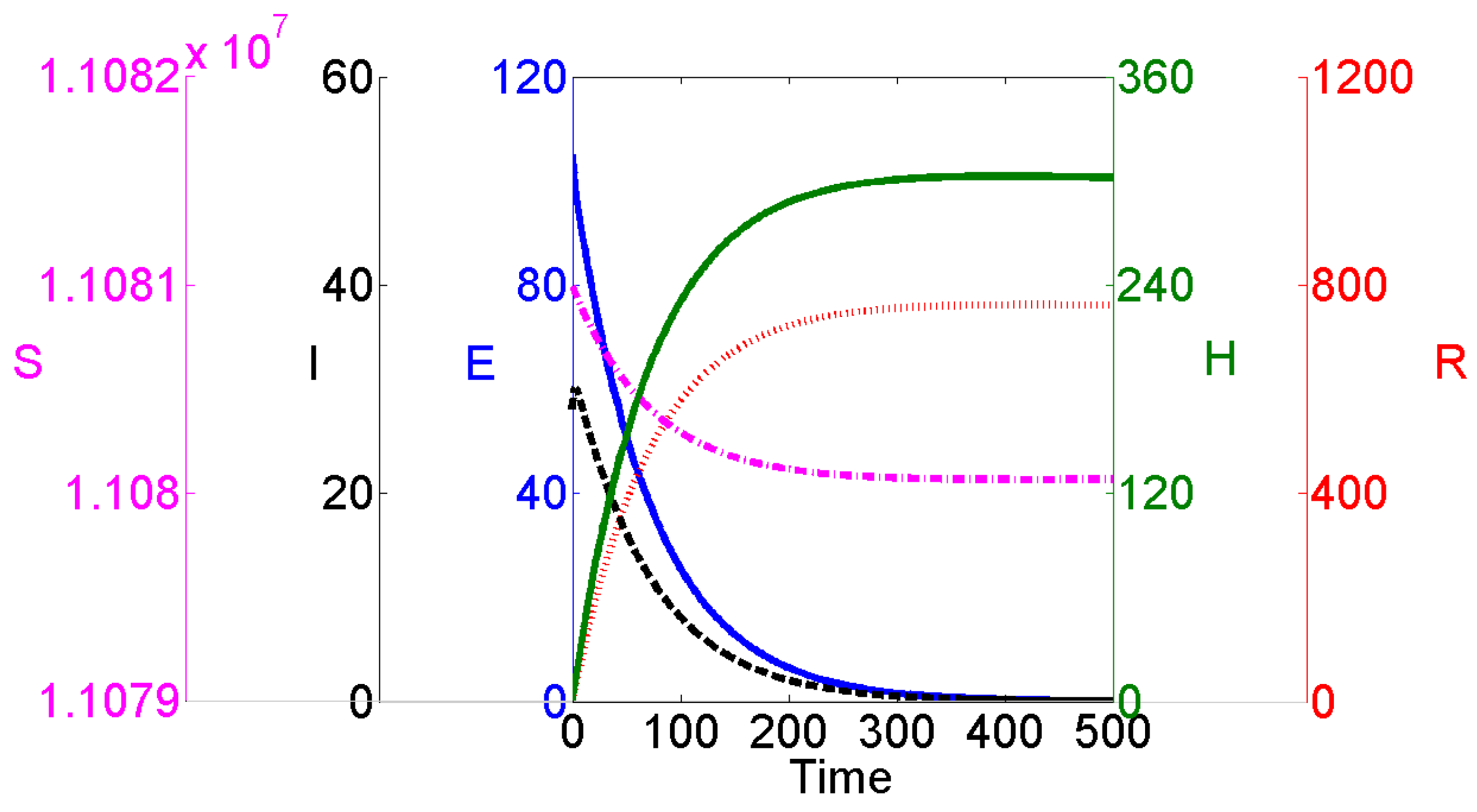
6. Model Dynamics and the Stability Regions
7. Conclusions
Author Contributions
Funding
Data Availability Statement
Conflicts of Interest
References
- Ndaïrou, F.; Area, I.; Nieto, J.J.; Torres, D.F. Mathematical modeling of COVID-19 transmission dynamics with a case study of Wuhan. Chaos Solitons Fractals 2020, 135, 109846. [Google Scholar] [CrossRef]
- Arcede, J.P.; Caga-anan, R.L.; Mentuda, C.Q.; Mammeri, Y. Accounting for Symptomatic and Asymptomatic in a SEIR-type model of COVID-19. arXiv 2020, arXiv:2004.01805v1. [Google Scholar] [CrossRef]
- Lin, X.; Gong, Z.; Xiao, Z.; Xiong, J.; Fan, B.; Liu, J. Novel coronavirus pneumonia outbreak in 2019: Computed tomographic findings in two cases. Korean J. Radiol. 2020, 21, 365–368. [Google Scholar] [CrossRef]
- Tian, J.; Wu, J.; Bao, Y.; Weng, X.; Shi, L.; Liu, B.; Yu, X.; Qi, L.; Liu, Z. Modeling analysis of COVID-19 based on morbidity data in Anhui, China. Math. Biosci. Eng. 2020, 17, 2842–2852. [Google Scholar] [CrossRef]
- Tang, B.; Wang, X.; Li, Q.; Bragazzi, N.L.; Tang, S.; Xiao, Y.; Wu, J. Estimation of the Transmission Risk of the 2019-nCoV and Its Implication for Public Health Interventions. J. Clin. Med. 2020, 9, 462. [Google Scholar] [CrossRef] [PubMed] [Green Version]
- Rocklöv, J.; Sjödin, H.; Wilder-Smith, A. COVID-19 outbreak on the Diamond Princess cruise ship: Estimating the epidemic potential and effectiveness of public health countermeasures. J. Travel Med. 2020, 27, taaa030. [Google Scholar] [CrossRef] [Green Version]
- Aldila, D.; Khoshnaw, S.H.; Safitri, E.; Anwar, Y.R.; Bakry, A.R.; Samiadji, B.M.; Anugerah, D.A.; Alfarizi, M.F.; Ayulani, I.D.; Salim, S.N. A mathematical study on the spread of COVID–19 considering social distancing and rapid assessment: The case of Jakarta, Indonesia. Chaos Solitons Fractals 2020, 139, 110042. [Google Scholar] [CrossRef] [PubMed]
- Khoshnaw, S.H.; Shahzad, M.; Ali, M.; Sultan, F. A quantitative and qualitative analysis of the COVID–19 pandemic model. Chaos Solitons Fractals 2020, 138, 109932. [Google Scholar] [CrossRef] [PubMed]
- Rahman, B.; Sadraddin, E.; Porreca, A. The basic reproduction number of SARS-CoV-2 in Wuhan is about to die out, how about the rest of the World? Rev. Med Virol. 2020, 30, e2111. [Google Scholar] [CrossRef] [PubMed]
- Agaba, G.O. Modelling the Spread of COVID-19 with Impact of Awareness and Medical Assistance. Math. Theory Model. 2020, 10, 21–28. [Google Scholar]
- Cao, J.; Jiang, X.; Zhao, B. Mathematical modeling and epidemic prediction of COVID-19 and its significance to epidemic prevention and control measures. J. Biomed. Res. Innov. 2020, 1, 1–19. [Google Scholar]
- Rao, A.S.R.S.; Krantz, S.G. Ground reality versus model-based computation of basic reproductive numbers in epidemics. J. Math. Anal. Appl. 2020, 125004. [Google Scholar] [CrossRef]
- Krantz, S.; Rao, A.S.S. Level of underreporting including underdiagnosis before the first peak of COVID-19 in various countries: Preliminary retrospective results based on wavelets and deterministic modeling. Infect. Control Hosp. Epidemiol. 2020, 41, 857–859. [Google Scholar] [CrossRef] [Green Version]
- Rao, S.R.S.; Krantz, S.; Bonsall, M.; Kurien, T.; Byrareddy, S.; Swanson, D.; Bhat, R.; Sudhakar, K. How relevant is the basic reproductive number computed during COVID-19, especially during lockdowns? Infect. Control Hosp. Epidemiol. 2021, 1–3. [Google Scholar] [CrossRef]
- Abbott, S.; Hellewell, J.; Thompson, R.N.; Sherratt, K.; Gibbs, H.P.; Bosse, N.I.; Munday, J.D.; Meakin, S.; Doughty, E.L.; Chun, J.Y.; et al. Estimating the time-varying reproduction number of SARS-CoV-2 using national and subnational case counts [version 1; peer review: Awaiting peer review]. Wellcome Open Res. 2020, 5, 112. [Google Scholar] [CrossRef]
- Hong, H.G.; Li, Y. Estimation of time-varying reproduction numbers underlying epidemiological processes: A new statistical tool for the COVID-19 pandemic. PLoS ONE 2020, 15, e0236464. [Google Scholar] [CrossRef] [PubMed]
- Massad, M.; Amaku, A.; Wilder-Smith, P.; Costa dos Santos, C.; Struchiner, F. Coutinho Two complementary model-based methods for calculating the risk of international spreading of a novel virus from the outbreak epicenter. The case of COVID-19. Epidemiol. Infect. 2020, 148, E109. [Google Scholar] [CrossRef] [PubMed]
- Mandal, M.; Jana, S.; Nandi, S.K.; Khatua, A.; Adak, S.; Kar, T.K. A model based study on the dynamics of COVID-19: Prediction and control. Chaos Solitons Fractals 2020, 136, 109889. [Google Scholar] [CrossRef] [PubMed]
- Reis, R.F.; de Melo Quintela, B.; de Oliveira Campos, J.; Gomes, J.M.; Rocha, B.M.; Lobosco, M.; Dos Santos, R.W. Characterization of the COVID-19 pandemic and the impact of uncertainties, mitigation strategies, and underreporting of cases in South Korea, Italy, and Brazil. Chaos Solitons Fractals 2020, 136, 109888. [Google Scholar] [CrossRef]
- Maier, B.F.; Brockmann, D. Effective containment explains subexponential growth in recent confirmed COVID-19 cases in China. Science 2020, 368, 742–746. [Google Scholar] [CrossRef] [PubMed] [Green Version]
- Kyrychko, Y.N.; Blyuss, K.B.; Brovchenko, I. Mathematical modelling of the dynamics and containment of COVID-19 in Ukraine. Sci. Rep. 2020, 10, 19662. [Google Scholar] [CrossRef] [PubMed]
- Li, L.; Yang, Z.; Dang, Z.; Meng, C.; Huang, J.; Meng, H.; Wang, D.; Chen, G.; Zhang, J.; Peng, H.; et al. Propagation analysis and prediction of the COVID-19. Infect. Dis. Model. 2020, 5, 282–292. [Google Scholar] [CrossRef]
- Singh, R.K.; Drews, M.; De la Sen, M.; Kumar, M.; Singh, S.S.; Pandey, A.K.; Srivastava, P.K.; Dobriyal, M.; Rani, M.; Kumari, P.; et al. Short-term statistical forecasts of COVID-19 infections in India. IEEE Access 2020, 8, 186932–186938. [Google Scholar] [CrossRef]
- Chatterjee, A.N.; Al Basir, F.; Almuqrin, M.A.; Mondal, J.; Khan, I. SARS-CoV-2 infection with Lytic and Non-lytic immune responses: A fractional order optimal control theoretical study. Results Phys. 2021, 26, 104260. [Google Scholar] [CrossRef]
- Ndaïrou, F.; Torres, D.F. Mathematical Analysis of a Fractional COVID-19 Model Applied to Wuhan, Spain and Portugal. Axioms 2021, 10, 135. [Google Scholar] [CrossRef]
- Niazkar, M.; Eryılmaz Türkkan, G.; Niazkar, H.R.; Türkkan, Y.A. Assessment of three mathematical prediction models for forecasting the COVID-19 outbreak in Iran and Turkey. Comput. Math. Methods Med. 2020, 2020, 7056285. [Google Scholar] [CrossRef]
- Sarkar, K.; Khajanchi, S.; Nieto, J.J. Modeling and forecasting the COVID-19 pandemic in India. Chaos Solitons Fractals 2020, 139, 110049. [Google Scholar] [CrossRef]
- Baba, I.A.; Yusuf, A.; Nisar, K.S.; Abdel-Aty, A.H.; Nofal, T.A. Mathematical model to assess the imposition of lockdown during COVID-19 pandemic. Results Phys. 2021, 20, 103716. [Google Scholar] [CrossRef] [PubMed]
- Lu, G.; Razum, O.; Jahn, A.; Zhang, Y.; Sutton, B.; Sridhar, D.; Ariyoshi, K.; von Seidlein, L.; Müller, O. COVID-19 in Germany and China: Mitigation versus elimination strategy. Glob. Health Action 2021, 14, 1875601. [Google Scholar] [CrossRef] [PubMed]
- Khoshnaw, S.H.; Salih, R.H.; Sulaimany, S. Mathematical modelling for coronavirus disease (COVID–19) in predicting future behaviours and sensitivity analysis. Math. Model. Nat. Phenom. 2020, 15, 33. [Google Scholar] [CrossRef]
- Van den Driessche, P.; Watmough, J. Reproduction numbers and sub–threshold endemic equilibria for compartmental models of disease transmission. Math. Biosci. 2002, 180, 29–48. [Google Scholar] [CrossRef]
- Van den Driessche, P.; Watmough, J. Further notes on the basic reproduction number. In Mathematical Epidemiology; Springer: Berlin/Heidelberg, Germany, 2008; pp. 159–178. [Google Scholar]
- Heffernan, J.M.; Smith, R.J.; Wahl, L.M. Perspectives on the basic reproductive ratio. J. R. Soc. Interface 2005, 2, 281–293. [Google Scholar] [CrossRef]
- Khan, A.; Naveed, M.; Dur-e-Ahmad, M.; Imran, M. Estimating the basic reproductive ratio for the Ebola outbreak in Liberia and Sierra Leone. Infect. Dis. Poverty 2015, 4, 13. [Google Scholar] [CrossRef] [PubMed] [Green Version]
- Tchuenche, J.M.; Dube, N.; Bhunu, C.P.; Smith, R.J.; Bauch, C.T. The impact of media coverage on the transmission dynamics of human influenza. BMC Public Health 2011, 11, S5. [Google Scholar] [CrossRef] [Green Version]
- van den Driessche, P. Reproduction numbers of infectious disease models. Infect. Dis. Model. 2017, 2, 288–303. [Google Scholar] [CrossRef]
- Jones, J.H. Notes on R0; Department of Anthropological Sciences, Stanford University: Stanford, CA, USA, 2007. [Google Scholar]
- Blackwood, J.C.; Childs, L.M. An introduction to compartmental modeling for the budding infectious disease modeler. Lett. Biomath. 2018, 5, 195–221. [Google Scholar] [CrossRef]
- Perasso, A. An introduction to the basic reproduction number in mathematical epidemiology. ESAIM Proc. Surv. 2018, 62, 123–138. [Google Scholar] [CrossRef]
- Mikucki, M.A. Sensitivity Analysis of the Basic Reproduction Number and Other Quantities for Infectious Disease Models. Ph.D. Thesis, Colorado State University, Fort Collins, CO, USA, 2012. [Google Scholar]
- Li, J.; Blakeley, D. The failure of R0. Comput. Math. Methods Med. 2011, 2011, 527610. [Google Scholar] [CrossRef] [PubMed] [Green Version]









| Parameters | Description | Values |
|---|---|---|
| the lockdown parameter | 0.4 | |
| b | human birth rate | |
| the disease-related death rate | ||
| rate of isolation–hospitalization of infective individuals | 0.13266 | |
| rate of recovery of infected people | 0.33029 | |
| rate at which those exposed become negative | 0.0006 | |
| and allowed to integrate with rest of the population | ||
| rate at which the exposed are confirmed infective | 0.1428 |
Publisher’s Note: MDPI stays neutral with regard to jurisdictional claims in published maps and institutional affiliations. |
© 2021 by the authors. Licensee MDPI, Basel, Switzerland. This article is an open access article distributed under the terms and conditions of the Creative Commons Attribution (CC BY) license (https://creativecommons.org/licenses/by/4.0/).
Share and Cite
Rahman, B.; Khoshnaw, S.H.A.; Agaba, G.O.; Al Basir, F. How Containment Can Effectively Suppress the Outbreak of COVID-19: A Mathematical Modeling. Axioms 2021, 10, 204. https://doi.org/10.3390/axioms10030204
Rahman B, Khoshnaw SHA, Agaba GO, Al Basir F. How Containment Can Effectively Suppress the Outbreak of COVID-19: A Mathematical Modeling. Axioms. 2021; 10(3):204. https://doi.org/10.3390/axioms10030204
Chicago/Turabian StyleRahman, Bootan, Sarbaz H. A. Khoshnaw, Grace O. Agaba, and Fahad Al Basir. 2021. "How Containment Can Effectively Suppress the Outbreak of COVID-19: A Mathematical Modeling" Axioms 10, no. 3: 204. https://doi.org/10.3390/axioms10030204
APA StyleRahman, B., Khoshnaw, S. H. A., Agaba, G. O., & Al Basir, F. (2021). How Containment Can Effectively Suppress the Outbreak of COVID-19: A Mathematical Modeling. Axioms, 10(3), 204. https://doi.org/10.3390/axioms10030204

