Multi-Scale Characterization of Pores and Fractures in Coals with Different Coal-Body Structures from the Jincheng Mine, Qinshui Basin, Northern China
Abstract
1. Introduction
2. Geological Setting
3. Samples and Experiments
3.1. Coal Samples
3.2. Analytical Methods
4. Results and Discussions
4.1. Characteristics of Coal Petrography and Coal Quality
4.2. Characteristics of Pore–Fracture Structures
4.2.1. Characteristics of Microfractures
4.2.2. Characteristics of the SEM Pore–Fractures System
4.2.3. Characteristics of Adsorption Pore Structure
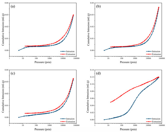
4.2.4. Characteristics of the Mercury Intrusion Porosimetry
4.2.5. Characteristics of Micro-CT Scanning and 3D Reconstruction
5. Conclusions
- (1)
- The coal from the Jincheng mine was classified as low- to medium-ash coals and low volatile bituminous coal. The minerals in the coal matrix predominantly consisted of illite, kaolinite, and calcite, with a small amount of quartz and ankerite. It was speculated that tectonism may have played a role in the elevation of coal rank.
- (2)
- The microfractures from microscopic observation were dominated by type B, and the number of type B in cataclastic coal was the least among the other samples. The density of type A fractures significantly increased with tectonic deformation. These results were consistent with the observations at the micron scale, where the fracture structure of the coal underwent gradual changes with tectonism. A 3D model of the CT images demonstrated that the fractures in cataclastic coal tended to close under the influence of tectonism, while the granulated coal exhibited an increase in the number of fractures with the increase in tectonic deformation.
- (3)
- During the process of tectonic deformation, tectonism resulted in the degradation of the structural integrity of coal and an increase in pore content. According to the SEM scale, the minerals in primary coal mainly filled fractures appearing veiny, partially in flakes or irregular granules. Conversely, in cataclastic and granulated coals, the minerals appeared as irregular granules and aggregates filling the pores.
- (4)
- It was found that the effect of tectonic deformation on micropores (<2 nm) was not significant, especially in weakly deformed coals such as cataclastic coal and granulated coal, while the micropore volume of mylonite coal had a decrease. This showed that different levels of tectonism had different effects on micropore structure. The decrease in micropore volume may be due to the shear tectonic deformation.
- (5)
- A 3D model of the CT images showed that minerals existed in irregular aggregates in tectonic coal. In comparing primary coal to TDCs, the latter had a larger pore radius at the μm scale, yet had lower permeability. The rationale for this phenomenon was that the tectonic deformation had significantly destroyed the primary coal’s structure, leading to more complex and shorter throats of the interconnected pores.
Author Contributions
Funding
Data Availability Statement
Acknowledgments
Conflicts of Interest
References
- Cao, D.; Li, X.; Deng, J. Coupling Effect Between Coalification and Tectonic-thermal Events-Geological Records of Geodynamics of Sedimentary Basin. Earth Sci. Front. 2009, 16, 52–60. [Google Scholar] [CrossRef]
- Ju, Y.; Jiang, B.; Hou, Q.; Wang, G. The new structure-genetic classification system in tectonically deformed coals and its geological significance. J. China Coal Soc. 2004, 29, 514–517. (In Chinese) [Google Scholar]
- Wang, Z.; Cheng, Y.; Qi, Y.; Wang, R.; Wang, L.; Jiang, J. Experimental study of pore structure and fractal characteristics of pulverized intact coal and tectonic coal by low temperature nitrogen adsorption. Powder Technol. 2019, 350, 15–25. [Google Scholar] [CrossRef]
- Ma, J.; Qi, H.; Wong, P. Experimental study of multilayer adsorption on fractal surfaces in porous media. Phys. Rev. E 1999, 59, 2049–2059. [Google Scholar] [CrossRef]
- Li, H.; Ogawa, Y.; Shimada, S. Mechanism of methane flow through sheared coals and its role on methane recovery. Fuel 2003, 82, 1271–1279. [Google Scholar] [CrossRef]
- Mark, C. Coal bursts that occur during development: A rock mechanics enigma. Int. J. Min. Sci. Technol. 2018, 28, 35–42. [Google Scholar] [CrossRef]
- Geng, J.; Cao, L.; Zhong, C.; Zhang, S. An Experimental Study on Preparation of Reconstituted Tectonic Coal Samples: Optimization of Preparation Conditions. Energies 2021, 14, 2846. [Google Scholar] [CrossRef]
- Tu, Q.; Cheng, Y.; Ren, T.; Wang, Z.; Lin, J.; Lei, Y. Role of Tectonic Coal in Coal and Gas Outburst Behavior During Coal Mining. Rock Mech. Rock Eng. 2019, 52, 4619–4635. [Google Scholar] [CrossRef]
- IUPAC (International Union of Pure and Applied Chemistry). Physical chemistry division commission on colloid and surface chemistry, subcommittee on characterization of porous solids: Recommendations for the characterization of porous solids (Technical report). Pure Appl. Chem. 1994, 8, 1739–1758. [Google Scholar]
- Thommes, M. Physical Adsorption Characterization of Nanoporous Materials. Chem. Ing. Tech. 2010, 82, 1059–1073. [Google Scholar] [CrossRef]
- Li, M.; Jiang, B.; Lin, S.; Wang, J.; Ji, M.; Qu, Z. Tectonically deformed coal types and pore structures in Puhe and Shanchahe coal mines in western Guizhou. Int. J. Min. Sci. Technol. 2011, 21, 353–357. [Google Scholar] [CrossRef]
- Ni, X.; Chen, W.; Li, Z.; Gao, X. Reconstruction of different scales of pore-fractures network of coal reservoir and its permeability prediction with Monte Carlo method. Int. J. Min. Sci. Technol. 2017, 27, 693–699. [Google Scholar] [CrossRef]
- Yao, Y.; Liu, D.; Tang, D.; Tang, S.; Huang, W. Fractal characterization of adsorption-pores of coals from North China: An investigation on CH4 adsorption capacity of coals. Int. J. Coal Geol. 2008, 73, 27–42. [Google Scholar] [CrossRef]
- Yao, Y.; Liu, D.; Che, Y.; Tang, D.; Tang, S.; Huang, W. Non-destructive characterization of coal samples from China using microfocus X-ray computed tomography. Int. J. Coal Geol. 2009, 80, 113–123. [Google Scholar] [CrossRef]
- Lawrie, G.A.; Gentle, I.R.; Fong, C.; Glikson, M. Atomic force microscopy studies of Bowen Basin coal macerals. Fuel 1997, 76, 1519–1526. [Google Scholar] [CrossRef]
- Liu, S.; Sang, S.; Wang, G.; Ma, J.; Wang, X.; Wang, W.; Du, Y.; Wang, T. FIB-SEM and X-ray CT characterization of interconnected pores in high-rank coal formed from regional metamorphism. J. Petrol. Sci. Eng. 2016, 148, 21–31. [Google Scholar] [CrossRef]
- Okolo, G.N.; Everson, R.C.; Neomagus, H.W.J.P.; Roberts, M.J.; Sakurovs, R. Comparing the porosity and surface areas of coal as measured by gas adsorption, mercury intrusion and SAXS techniques. Fuel 2015, 141, 293–304. [Google Scholar] [CrossRef]
- Hou, S.; Wang, X.; Wang, X.; Yuan, Y.; Pan, S.; Wang, X. Porestructure characterization of low volatile bituminous coals with different particle size and tectonic deformation using low pressure gas adsorption. Int. J. Coal Geol. 2017, 183, 1–13. [Google Scholar] [CrossRef]
- Bustin, R.M.; Bustin, A.M.M.; Cui, A.; Ross, D.; Pathi, V.M. Impact of Shale Properties on Pore Structure and Storage Characteristics. In Proceedings of the SPE Shale Gas Production Conference, Fort Worth, TX, USA, 16–18 November 2008. Paper Number: SPE-119892-MS. [Google Scholar] [CrossRef]
- Li, X.; Kang, Y.; Haghighi, M. Investigation of pore size distributions of coals with different structures by nuclear magnetic resonance (NMR) and mercury intrusion porosimetry (MIP). Measurement 2018, 116, 122–128. [Google Scholar] [CrossRef]
- Zhao, Y.; Sun, Y.; Liu, S.; Wang, K.; Jiang, Y. Pore structure characterization of coal by NMR cryoporometry. Fuel 2017, 190, 359–369. [Google Scholar] [CrossRef]
- Pan, J.; Niu, Q.; Wang, K.; Shi, X.; Li, M. The closed pores of tectonically deformed coal studied by small-angle X-ray scattering and liquid nitrogen adsorption. Microporous Mesoporous Mater. 2016, 224, 245–252. [Google Scholar] [CrossRef]
- Zhang, K.; Wang, S.; Wang, L.; Cheng, Y.; Li, W.; Han, X.; Liu, C.; Su, H. 3D visualization of tectonic coal microstructure and quantitative characterization on topological connectivity of pore-fracture networks by Micro-CT. J. Petrol. Sci. Eng. 2022, 208, 109675. [Google Scholar] [CrossRef]
- Zhang, G.; Ranjith, P.G.; Fu, X.; Li, X. Pore-fracture alteration of different rank coals: Implications for CO2 sequestration in coal. Fuel 2021, 289, 119801. [Google Scholar] [CrossRef]
- Zhai, J.; Wang, J.; Lu, G.; Qin, X.; Wang, W. Permeability characteristics of remolded tectonically deformed coal and its influence factors. J. Nat. Gas Sci. Eng. 2018, 53, 22–31. [Google Scholar] [CrossRef]
- Xu, X.; Meng, Z.; Wang, Y. Experimental comparisons of multiscale pore structures between primary and disturbed coals and their effects on adsorption and seepage of coalbed methane. J. Petrol. Sci. Eng. 2019, 174, 704–715. [Google Scholar] [CrossRef]
- Zhang, Z.; Ren, J.; Zhao, Y.; Wang, M.; Yang, J.; Zhang, C. Geological Characteristics of Low-Yield and Low-Efficiency CBM Wells and Practical Measures for Production Increase in the Qinshui Basin. ACS Omega 2023, 8, 47530–47539. [Google Scholar] [CrossRef]
- Yang, Y.; Wang, Y.; Liu, Z.; Chen, B.; Wu, C.; Zhang, X.; Dong, Q. Strategy and practice of high-efficiency development of high-rank coalbed methane in the southern Qinshui Basin. China Pet. Explor. 2024, 29, 18–31. (In Chinese) [Google Scholar] [CrossRef]
- Zhang, W.; Zhao, L.; Wang, W.; Nechaev, V.P.; French, D.; Graham, I.; Lang, Y.; Li, Z.; Dai, S. Enrichment of critical metals (Li, Ga, and rare earth elements) in the early Permian coal seam from the Jincheng Coalfield, southeastern Qinshui Basin, northern China: With an emphasis on cookeite as the Li host. Ore Geol. Rev. 2024, 167, 105939. [Google Scholar] [CrossRef]
- Hou, Y.; Dai, S.; Nechaev, V.P.; Finkelman, R.B.; Wang, H.; Zhang, S.; Di, S. Mineral matter in the Pennsylvanian coal from the Yangquan Mining District, northeastern Qinshui Basin, China: Enrichment of critical elements and a Se-Mo-Pb-Hg assemblage. Int. J. Coal Geol. 2023, 266, 104178. [Google Scholar] [CrossRef]
- Hou, Y.; Liu, D.; Zhao, F.; Zhang, S.; Zhang, Q.; Emmanuel, N.N.; Zhong, L. Mineralogical and geochemical characteristics of coal from the Southeastern Qinshui Basin: Implications for the enrichment and economic value of Li and REY. Int. J. Coal Geol. 2022, 264, 104136. [Google Scholar] [CrossRef]
- Zhao, L.; Dai, S.; Nechaev, V.P.; Nechaeva, E.V.; Graham, I.T.; French, D. Enrichment origin of critical elements (Li and rare earth elements) and a Mo-U-Se-Re assemblage in Pennsylvanian anthracite from the Jincheng Coalfield, southeastern Qinshui Basin, northern China. Ore Geol. Rev. 2019, 115, 103184. [Google Scholar] [CrossRef]
- Zhang, M.; Fu, X. Characterization of pore structure and its impact on methane adsorption capacity for semi-anthracite in Shizhuangnan Block, Qinshui Basin. J. Nat. Gas Sci. Eng. 2018, 60, 49–62. [Google Scholar] [CrossRef]
- Cai, Y.; Liu, D.; Yao, Y.; Li, J.; Qiu, Y. Geological controls on prediction of coalbed methane of No. 3 coal seam in Southern Qinshui Basin, North China. Int. J. Coal Geol. 2011, 88, 101–112. [Google Scholar] [CrossRef]
- Zhao, L.; Ward, C.R.; French, D.; Graham, I.T.; Dai, S.; Yang, C.; Xie, P.; Zhang, S. Origin of a kaolinite-NH4-illite-pyrophyllite-chlorite assemblage in a marine-influenced anthracite and associated strata from the Jincheng Coalfield, Qinshui Basin, Northern China. Int. J. Coal Geol. 2018, 185, 61–78. [Google Scholar] [CrossRef]
- Cheng, Y.; Pan, Z. Reservoir properties of Chinese tectonic coal: A review. Fuel 2020, 260, 116350. [Google Scholar] [CrossRef]
- Su, X.; Lin, X.; Liu, S.; Zhao, M.; Song, Y. Geology of coalbed methane reservoirs in the Southeast Qinshui Basin of China. Int. J. Coal Geol. 2005, 62, 197–210. [Google Scholar] [CrossRef]
- Ju, Y.; Jiang, B.; Hou, Q.L.; Tan, Y.; Guiliang, W.; Xiao, W. Behavior and mechanism of the adsorption/desorption of tectonically deformed coals. Chin. Sci. Bull. 2009, 54, 88–94. [Google Scholar] [CrossRef]
- ASTM Standard D3174-12; Standard Test Method for Ash in the Analysis Sample of Coal and Coke from Coal. ASTM International: West Conshohocken, PA, USA, 2012.
- ASTM Standard D3173/D3173M; Standard Test Method for Moisture in the Analysis Sample of Coal and Coke. ASTM International: West Conshohocken, PA, USA, 2017.
- ASTM Standard D3175-17; Standard Test Method for Volatile Matter in the Analysis Sample of Coal and Coke. ASTM International: West Conshohocken, PA, USA, 2020.
- ISO Standard 11760; Classification of Coals. International Organization for Standardization: Geneva, Switzerland, 2018.
- Deng, X.; Hu, Q.; Wei, S. Genesis and Property Classfication of Tectonic Coal. J. Eng. Geol. 2014, 22, 1008–1014. [Google Scholar]
- Liu, D.; Yao, Y.; Tang, D.; Tang, S.; Che, Y.; Huang, W. Coal reservoir characteristics and coalbed methane resource assessment in Huainan and Huaibei coalfields, Southern North China. Int. J. Coal Geol. 2009, 79, 97–112. [Google Scholar] [CrossRef]
- Yao, Y.; Liu, D.; Huang, W.; Tang, D.; Tang, S. Research on the pore-fractures system properties of coalbed methane reservoirs and recovery in Huainan and Huaibei coal-fields. J. China Coal Soc. 2006, 31, 163–168. [Google Scholar]
- Li, S.; Tang, D.; Xu, H.; Yang, Z. Advanced characterization of physical properties of coals with different coal structures by nuclear magnetic resonance and X-ray computed tomography. Comput Geosci. 2012, 48, 220–227. [Google Scholar] [CrossRef]
- Guo, D.; Guo, X.; Li, D. Effects of tectonic deformation on micropore-mesopore of bituminous deformed coal. J. China Coal Soc. 2019, 10, 3135–3144. [Google Scholar] [CrossRef]
- Stanmore, B.R.; He, Y.; White, E.T.; Firth, B.; O’Brien, G.; O’Brien, M. Porosity and water retention in coarse coking coal. Fuel 1997, 76, 215–222. [Google Scholar] [CrossRef]
- Li, Y.; Lu, G.Q.; Rudolph, V. Compressibility and Fractal Dimension of Fine Coal Particles in Relation to Pore Structure Characterisation Using Mercury Porosimetry. Part. Part. Syst. Charact. 1999, 16, 25–31. [Google Scholar] [CrossRef]
- Li, M. Structure Evolution and Deformation Mechanism of Tectonically Deformed Coal. Master’s Thesis, China University of Mining and Technology, Xuzhou, China, 2013. Available online: http://cdmd.cnki.com.cn/Article/CDMD-10290-1013030104.htm (accessed on 1 May 2013).
- Ren, J.; Tamaki, K.; Li, S.; Junxia, Z. Late Mesozoic and Cenozoic rifting and its dynamic setting in Eastern China and adjacent areas. Tectonophysics 2002, 344, 175–205. [Google Scholar] [CrossRef]
- Deng, J.; Hou, Z.; Mo, X.; Yang, L.; Wang, Q.; Wang, C. Superimposed orogenesis and metallogenesis in Sanjiang Tethys. Miner. Depos. 2010, 29, 37–42, (In Chinese with English Abstract). [Google Scholar] [CrossRef]
- Teng, J. Coal Structure Prediction Based on Geophysical Logging; China University of Geosciences: Beijing, China, 2016; Available online: https://kns.cnki.net/kcms2/article/abstract?v=6uDTENTNErAlc3LIlE2xHBcpHKMdHdh0viODqUpf8swyjzygZLB0MUwVCCMiPy4DOJpBsi2Si51pfl-jY9ua7rLhpASAJz2S4AVCVZZ2DLCA2V60zJUWh69USBr1N9eE&uniplatform=NZKPT&language=CHS (accessed on 7 December 2016).
- Li, Y.; Zhang, Y.; Zhang, L.; Hou, J. Characterization on pore structure of tectonic coals based on the method of mercury intrusion, carbon dioside adsorption and nitrogen adsorption. J. China Coal Soc. 2019, 44, 1188–1196. [Google Scholar] [CrossRef]















| Sample No. | Type | Features of Macroscopic Hand Specimens |
|---|---|---|
| JC-1 | primary coal | With primary structure, having good integrity, and harder to separate. |
| JC-2 | cataclastic coal | Primary structures are still well preserved, accompanied by banded structure. Coal has more than 2 groups of fracture cutting and is hard to separate by hands. |
| JC-3 | granulated coal | The primary structures are destroyed, and stratification is out of order. Coal can be separated into 1–5 cm pieces by hands. |
| JC-4 | mylonitic coal | The primary structures disappear, and crumpled structures widely develop. Coal is easy to be broken into fine grains or powder by hands. |
| Sample No. | Rr | Coal Lithotype | Proximate Analysis | ||
|---|---|---|---|---|---|
| Mad | Ad | Vdaf | |||
| JC-1 | 2.67 | semi-dull | 2.696 | 26.612 | 11.975 |
| JC-2 | 2.92 | semi-dull | 3.444 | 14.427 | 8.203 |
| JC-3 | 3.60 | semi-dull | 3.353 | 11.128 | 7.105 |
| Sample No. | Illite | Kaolinite | Quartz | Calcite | Ankerite |
|---|---|---|---|---|---|
| JC-1 | 9.31 | 5.32 | 2.12 | 1.33 | - |
| JC-2 | 1.44 | 1.15 | - | 2.45 | 1.15 |
| JC-3 | 1.67 | 2.23 | - | - | 0.23 |
| Sample | Microfractures Density (/9 cm2) | ||||
|---|---|---|---|---|---|
| Type A | Type B | Type C | Type D | Total | |
| JC-1 | 1 | 37 | 15 | 6 | 59 |
| JC-2 | 3 | 24 | 12 | 7 | 46 |
| JC-3 | 8 | 35 | 9 | 6 | 58 |
| Sample | Vz/ (cm3·g−1) | Stage Pore Capacity/ (cm3·g−1) | Stage Pore Capacity Ratio/% | Sz/ (cm2·g−1) | Stage Pore-Specific Surface Area/(cm3·g−1) | Stage Pore-Specific Surface Area Ratio/(cm3·g−1) | ||||||||
|---|---|---|---|---|---|---|---|---|---|---|---|---|---|---|
| V1 | V2 | V3 | V1 | V2 | V3 | S1 | S2 | S3 | S1 | S2 | S3 | |||
| JC-1 | 0.0700 | 0.0405 | 0.0247 | 0.0052 | 57.30 | 35.30 | 7.40 | 146.3770 | 129.3522 | 16.9490 | 0.0750 | 88.35 | 11.60 | 0.05 |
| JC-2 | 0.0720 | 0.0393 | 0.0269 | 0.006 | 54.58 | 37.36 | 8.06 | 141.0817 | 123.0827 | 17.8854 | 0.1136 | 87.24 | 12.68 | 0.08 |
| JC-3 | 0.0740 | 0.0374 | 0.0311 | 0.005 | 50.45 | 42.03 | 7.52 | 138.2814 | 116.8182 | 21.3750 | 0.0882 | 84.48 | 15.46 | 0.06 |
| JC-4 | 0.1141 | 0.0247 | 0.0382 | 0.0812 | 7.18 | 21.65 | 71.17 | 99.0729 | 74.8070 | 18.6496 | 1.6163 | 75.51 | 18.82 | 5.67 |
Disclaimer/Publisher’s Note: The statements, opinions and data contained in all publications are solely those of the individual author(s) and contributor(s) and not of MDPI and/or the editor(s). MDPI and/or the editor(s) disclaim responsibility for any injury to people or property resulting from any ideas, methods, instructions or products referred to in the content. |
© 2024 by the authors. Licensee MDPI, Basel, Switzerland. This article is an open access article distributed under the terms and conditions of the Creative Commons Attribution (CC BY) license (https://creativecommons.org/licenses/by/4.0/).
Share and Cite
Yang, H.; Wang, X.; Li, R.; Chai, P.; Deng, F.; Guo, X. Multi-Scale Characterization of Pores and Fractures in Coals with Different Coal-Body Structures from the Jincheng Mine, Qinshui Basin, Northern China. Minerals 2024, 14, 833. https://doi.org/10.3390/min14080833
Yang H, Wang X, Li R, Chai P, Deng F, Guo X. Multi-Scale Characterization of Pores and Fractures in Coals with Different Coal-Body Structures from the Jincheng Mine, Qinshui Basin, Northern China. Minerals. 2024; 14(8):833. https://doi.org/10.3390/min14080833
Chicago/Turabian StyleYang, Haoran, Xiaomei Wang, Rui Li, Pancun Chai, Fan Deng, and Xingxing Guo. 2024. "Multi-Scale Characterization of Pores and Fractures in Coals with Different Coal-Body Structures from the Jincheng Mine, Qinshui Basin, Northern China" Minerals 14, no. 8: 833. https://doi.org/10.3390/min14080833
APA StyleYang, H., Wang, X., Li, R., Chai, P., Deng, F., & Guo, X. (2024). Multi-Scale Characterization of Pores and Fractures in Coals with Different Coal-Body Structures from the Jincheng Mine, Qinshui Basin, Northern China. Minerals, 14(8), 833. https://doi.org/10.3390/min14080833

