Abstract
This research aims to analyze the behavior of bubble size distribution in the HydroFloat® with seawater and tap water. The study characterized bubble size in a two-phase gas–water system in a fluidized-bed flotation cell. The impact of seawater was compared to tap water using two frothers, MIBC and polyglycol F507. The experimental design was used to investigate the influence of various parameters such as superficial air velocity, superficial liquid velocity, frother concentration, and seawater concentration on bubble size. The results indicate that the critical coalescence concentration followed the order of MIBC > F507. Bubble size decreases with increasing superficial liquid velocity, while the superficial gas velocity and frother/seawater concentration have the opposite effect. ANOVA results reveal that all linear factors are significant, the quadratic terms of the frother and seawater concentrations are significant, and the interaction term for the superficial air velocity–superficial liquid velocity is nonsignificant for bubble size. Global sensitivity analysis demonstrates that the variables significantly affecting bubble size are frother concentration and seawater concentration, followed by superficial water velocity. The superficial gas velocity has minimal impact on bubble size under the conditions studied.
1. Introduction
Mineral froth flotation is widely used in the mining industry worldwide to concentrate millions of tons of ore each year due to its versatility and cost-effectiveness [1]. This process utilizes the surface property of hydrophobicity to separate fine mineral particles [1,2]. Prior to flotation, ores must be reduced to a specified top size, typically between 75 and 150 (d90) [3,4]. Froth flotation is effective within a range of diameters between 20 and 150 μm for base metal ores [4]. The recovery rate decreases rapidly outside of this range. Froth flotation is primarily used to process fine minerals such as chalcopyrite, pyrite, and molybdenite [5,6,7,8,9].
In recent studies, froth flotation was also used for processing coarse minerals such as sphalerite, galena, and pentlandite [4,10]. One of the main challenges in froth flotation has been the concentration of coarse particles [4,10,11,12,13,14,15,16]. The decrease in the recovery rates of coarse sulfide particles can be explained using the “elephant curve” of flotation data developed by Lynch et al. [14]. The drop-off in recovery rates for coarse particles is related to high turbulence in conventional flotation cells, allowing the detachment of coarse particles from the bubbles [3,4,11,14,15]. The low collection efficiency for coarse particles has been linked to high detachment efficiency and low attachment efficiency [17]. Since comminution equipment is the most energy-consuming unit in mineral processing plants, the effective separation of coarse particles has become increasingly important in the mineral industry [18].
In the process of froth flotation, the use of frothers is essential [19,20,21,22]. Frothers are types of surface-active compounds or surfactants that consist of a hydrophobic part (non-polar hydrocarbon chain) and a hydrophilic part (polar chain) in their structure [8,20]. The role of frothers is to create a stable froth phase and facilitate the formation of small bubbles [8,19,21,23,24]. Cho and Laskowski [23] conducted a study on the impact of frothers on foam stability and bubble size. They found that bubble size is mainly determined by the concentration of bubble coalescence below a specific level of frother concentration known as the critical coalescence concentration (CCC). Since then, some studies have determined the CCC for different surfactants and concentration conditions [25,26]. Szyszka [26] determined the CCC of the selected ingredients in industrial flotation frothers by analyzing air bubble sizes. Nassif et al. [25] developed a method, known as the dilution method, to calculate the CCC using a commercial frother on a laboratory scale. The authors expressed the CCC as equivalent to the frother concentration to compare water samples using the plot of Sauter mean bubble size (d32) against frother concentration, which is a method to characterize bubble size reduction and allows the determination of CCC [25].
Certain inorganic electrolytes, such as NaCl, KCl, MgCl2, CaCl2, and Na2SO4, have been shown to mimic the role of frothers [27]. Indeed, frothers are more effective in saline water because the inorganic electrolytes inhibit the bubbles’ coalescence and stabilize the froth layer [28]. Sovechles and Waters [29] determined the CCC for inorganic salts and a synthetic sea salt solution usually present in froth flotation systems. CCC values varied from 0.02 M (Al2(SO4)3) to 0.25 M (KCl), and the CCC decreased for multivalent ion salts. The results showed that the rupture of the multicomponent sea salt into parts featured a good correlation between the addition of the ionic strength of each ion and the overall ionic strength curve for all of the salts studied.
There is a growing interest in using seawater in mining processes due to water scarcity in places where mining usually occurs. One example is Chile, which hosts several mineral processing plants in the Atacama Desert [30]. Seawater contains several elements, mainly in the form of ions. Most (86%) of these ions comprise sodium and chloride, which results in salinity. The salinity is usually approximately 35‰, but it can reach 45‰ depending on the geographical location. Other secondary ions are magnesium, calcium, potassium, sulfate, and carbonate [27,30,31,32]. Salinity affects the properties of water, such as the density, viscosity, vapor pressure, and surface tension [30]. The pH of seawater varies between 7.8 and 8.2 according to the concentration of carbonate/bicarbonate ions and boric acid/borate ions [27,30].
In Chile, many copper mineral processing plants are currently using or exploring the option of using seawater directly in their operations [27]. It has been found that saline solutions can be used to replace frothers [20,33,34]. However, a critical consideration when using seawater in froth flotation is the precipitation of seawater at alkaline pH levels [32]. Some elements in seawater can interact with minerals and chemical reagents, leading to reduced recovery rates and damage to the flotation equipment. It is important to note that seawater has different physicochemical properties compared to the water typically used in mineral processing, and this difference must be taken into account [30]. Seawater contains small quantities of ions such as Mg2+, Ca2+, HCO3−, and CO32− that can affect surface phenomena [32]. Secondary ions such as magnesium (Mg2+) and calcium (Ca2+) are detrimental to the flotation of molybdenum and copper [35]. Recently, a review by Cruz et al. [27] discussed the challenges of utilizing seawater in copper flotation. The review highlighted several research opportunities, including determining the impact of seawater ions on chemical reagents, evaluating the effect of seawater on emerging technologies, conducting a detailed analysis of the interactions between metal and seawater, as well as reagent and seawater, and assessing the current industrial-scale use of seawater.
Many researchers have investigated the use of seawater in froth flotation [27,30,35,36,37]. Jeldres et al. [31] conducted a study on copper–molybdenum sulfide ore flotation using seawater devoid of calcium and magnesium. They discovered that seawater hardness decreases, high recoveries of copper and molybdenum are achieved in highly alkaline conditions, and significant pyrite depression is attained at pH 11.5. Cruz et al. [35] suggested a method involving carbon dioxide gas and sodium hydroxide to eliminate calcium and magnesium from seawater for its use in the froth flotation of copper–molybdenum minerals, aiming to enhance recovery rates. This method removed 60.5% of calcium and 98.3% of molybdenum species, allowing the recovery of 81.1% of molybdenum and 93.4% of copper. Quinn et al. [33] compared the effect of a frother and methyl isobutyl carbinol (MIBC) with the water used in the Ranglan concentrator (Xtrata Nickel). This process does not use a frother and instead uses water with a high salinity (ca. 30,000 ppm). The objective was to compare the frother and the water performance on gas dispersion. The tests were performed in laboratory columns of two phases (solution–air) and three phases (slurry–air). The results showed that the froth texture, bubble size distribution, and froth overflow rate obtained with salt solutions are similar to those obtained using the usual frother dosage.
Bubble size is affected by the break-up phenomena and bubble coalescence, and has a crucial role in the kinetics of froth flotation [29]. Both frothers and seawater can stabilize and reduce bubble size [29]. Arancibia-Bravo et al. [36] studied the influence of various parameters on d32 for saline solutions on a laboratory scale using the response surface methodology and ANOVA. The results showed that the salt concentration under the conditions studied was the only one to affect all of the saline solutions studied. Zhu et al. [38] studied bubble size evolution in a Jameson cell. The authors investigated the influence of three parameters on bubble size: MIBC concentration, superficial liquid velocity (Jl), and superficial air velocity (Jg). This study showed that Jl and Jg have the opposite effect on the Reynolds (Re) number and bubble size. An increase in Jl increases the Re number because the solution’s density, viscosity, and velocity increase. The opposite happens in terms of the increase in Jg because the velocity increases, but the density and viscosity of the solution decrease, causing a reduction in the Re number.
Fluidized beds such as the Hydrofloat® cell have been used recently to improve the flotation of coarse particles [11,14,15,39,40]. The HydroFloat® cell was designed in early 2000. It was the first embodiment to approach the drop-off in the recovery of sulfide particles within the mineral flotation plant; where particles > 150 µm, the recovery decays considerably, and this has been previously illustrated by the size-by-size flotation data in the well-recognized “elephant curve” [14,41]. The Hydrofloat® offers several advantages over traditional flotation cells. It minimizes turbulence by creating a calm environment inside the cell, which allows coarse particles to attach to the bubbles. This results in longer retention time, reduced particle buoyancy constraints, and minimal detachment of coarse particles from the bubbles. Additionally, it has an increased capacity for bubble–liquid segregation during the process, which leads to excellent coarse particle recovery (references [14,15,18,39]). Despite the numerous scientific publications on the bubble size in conventional flotation cells using frother or ionic salts, there have been no studies investigating the HydroFloat® cell. This study aims to comprehend the behavior of bubble size distribution in the Hydrofloat® cell using seawater and tap water. Moreover, this study introduces the use of seawater in the HydroFloat® cell for the first time.
2. Methodology
In this study, we conducted tests on two phases (water and air) in the HydroFloat® cell using tap water and various seawater concentrations. We examined different seawater concentrations to understand their effect on bubble size better, especially considering the use of diluted seawater as a potential way to mitigate the impact of magnesium and calcium ions. Initially, we collected samples from nine positions to assess the distribution of bubbles. Samples were taken at vertical positions every 10 cm and horizontal positions every 2 cm, starting from the cell’s center point.
MIBC with a concentration of 7.5 ppm was used to determine the CCC and the effect of both frothers on bubble size. To study the impact of the frother, seawater, tap water, Jg, and Jl on bubble size, design of experiments (DOE) was used, including three variables and three levels.
In this study, Jg and Jl are referred to as volumetric gas flow rates and volumetric liquid flow rates per unit cross-section of the Hydrofloat® flotation cell, respectively [38,42].
This section is divided into three subsections to provide a further understanding of this study:
- -
- Apparatus and material reagents;
- -
- Procedures;
- -
- Mathematical modeling.
2.1. Apparatus and Material Reagents
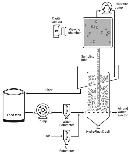
The HydroFloat cell® used for this study consisted of an acrylic cylinder with a diameter of 15 cm and a height of 37 cm. The cell volume was 9 L, and the bottom had a conical shape with a height of approximately 10 cm. Figure 1 shows the schematic diagram of the system consisting mainly of the Hydrofloat® cell. As is shown in Figure 1, the main components were (1) a feed open tank for tap water mixed with the frother and receiving the overflow of the flotation cell; (2) a centrifugal pump of 1 HP for pressurizing aqueous solutions into the cell; (3) flowmeters for measuring and controlling the water and air flow rate; (4) an ejector that mixed water and air for pumping the mixture to the cell, which has 12 nozzles of 1/8” diameter; (5) an acrylic tube with a total height of 90 cm, which collected the generated bubbles; and (6) a photo capture system to measure the bubble size.
Figure 1.
Schematic diagram of the system for measuring the size of bubbles in the HydroFloat® cell.
The bubble measurement system used a Masterflex L/S peristaltic pump to sample bubbles from the solution 3 cm above the ejector at a flow rate of 2.1 L/min. The system operated continuously, and any overflow from the column was recycled back to the feed tank to ensure solution homogeneity. All tests were conducted after the system had been running for 5 min. The procedure for measuring bubble size had been validated in previous research [36], which compared our results to those obtained by Finch et al. [20]. Experimental deviations in bubble diameter were found to be within ±0.02 mm.
The photo capture system included a Nikon D610 DSLR camera with an AF-S Micro Nikon 105 mm 1:2.8 G lens. The typical image resolution was 60 pixels/mm and the camera took one frame per second. The area for collecting images was 42 mm × 34 mm, which was controlled using Nikon Software Camera Control Pro 2 v2.28.0. To determine the distribution of bubble sizes, Fiji software via ImageJ v1.52b was utilized. A minimum of 5000 bubbles were measured for each tested condition.
Two frothers, AEROFROTH 70 and Oreprep F507, provided by Solvay with a purity of over 90%, were used in this study for tap water experiments. AEROFROTH 70 is a commercial name for MIBC, an alcohol frother of the molecular formula (CH3)2C3H4OHCH3 and a molecular weight of 102.2 g/mol [24]. Oreprep F507 is a polyglycol frother with a molecular weight of 425 g/mol. Bubble size measurements were conducted at the ambient pH of tap water, which was measured at pH 7.2.
The seawater tests used seawater from San Jorge Bay, located in Antofagasta, northern Chile. Table 1 shows the chemical composition of the seawater sample [43].
Table 1.
Seawater composition at San Jorge Bay in Antofagasta (adapted from Arias et al. [43]).
2.2. Procedures
The data generated from Fiji were automatically transferred to Excel and analyzed via Visual Basic for Applications (VBA) to determine the bubble size distribution (BSD), and Sauter mean diameter (), which was calculated using the expression that determines the diameter based on the bubble area, as shown in Equations (1) and (2) [44]:
where is the diameter of the bubble particle, Ap is the area of the bubble particle given by Fiji, is the diameter of the bubble, and is the number of the overall sample.
Nesset et al. [44] suggested fitting the Sauter mean diameter vs. frother concentration following the three-parameter model:
where is the limit that can reach as the frother concentration tends to be infinite, is the difference between and the initial in water (without the frother), is the decay constant, and is the frother concentration. This model calculates the , which is the concentration where is reduced by %.
2.3. Mathematical Modeling
A full factorial design [45] was used to design the experiments to identify the input factors that affect the bubble size, and replicas of the central point were used to obtain an independent estimation of the experimental error (Table 2). Then, response surface methodology was used to model the data obtained [46]. The ANOVA test and global sensitivity analysis, using the Sobol–Jansen method [47], were utilized to analyze the importance of the factors. The Sobol–Jansen method was selected because it performs best among several Sobol methods [48] and has been successfully used in other mineral processing studies [49,50]. Interpretation of the Sobol–Jansen indices is straightforward: the higher its value for a factor, the greater the effect of that factor on the output or dependent variable.
Table 2.
Factors and their levels for full factorial experiments for MIBC and seawater.
3. Results and Discussion
3.1. Effect of Different Position Samples on Bubble Size in the HydroFloat® Cell
Figure 2 shows the d32 at nine different positions in the HydroFloat® cell using 7.5 ppm MIBC in tap water. The bubble size ranges from 0.96 to 1.04 mm, with an average of 1.00 mm ± 0.035 mm and a standard deviation of approximately 3.6% in the different areas.
Figure 2.
Sauter mean diameter in different positions on HydroFloat® flotation cell using 7.5 ppm MIBC at Jg = 2.70 cm/s and Jl = 17.6 cm/s.
The results in Figure 3 confirm the findings in Figure 2 regarding the average bubble size distribution (BSD) for both vertical and horizontal positions. The bubble size remains consistent across all positions and reaches a maximum size of 1.00 mm, accounting for an average of 33% ± 2.71% of the total bubbles. These consistent results suggest that the cell is representative, likely due to its quiescent state. The absence of turbulence zones, characteristic of conventional flotation cells with mechanical stirrers, ensures that the bubble size remains unaffected. Therefore, subsequent tests will be conducted at the central bottom position, 3 cm above the ejector, at a vertical height of 5 cm and a horizontal height of 3.5 cm. It is important to note that these findings may not apply to different operational conditions and types of frothers, but they do support reasonable assumptions.
Figure 3.
Bubble size distribution average using 7.5 ppm MIBC in a vertical and horizontal position at Jg = 2.70 cm/s and Jl = 17.6 cm/s.
3.2. Effect of Frother Reagents on Bubble Size Using Tap Water
Figure 4 compares MIBC and F507 frother reagents in d32 as a function of the frother concentration. The d32 value decreased with the increased frother concentration until it reached the CCC, which maintained the bubble size constant at 0.55 and 0.46 mm for MIBC and F507, respectively. Where the reagent concentration is low, the bubble size is larger, and bubble coalescence may occur. However, in areas where the concentration is higher, the bubble size drops significantly to an area where the bubble size is not concentration dependent, resulting in stable bubbles. This transition concentration for bubble coalescence stability has been explained by several authors [23,51,52].
Figure 4.
Sauter mean diameter as a function of frother concentration in HydroFloat® system for Jg = 2.70 cm/s and Jl = 17.6 cm/s. The insert is the bubble size distribution at a concentration of MIBC and F507 at 10 ppm.
Equation (3) was used to fit the experimental data for both reagents, obtaining the following equations:
Using Equation (1), we determined the CCC values for each frother at Jg = 2.70 cm/s and Jl = 17.6 cm/s. For MIBC, the CCC was 11.98 ppm, equivalent to 0.1175 mmol/L; for F507, the CCC was 5.47 ppm or 0.0128 mmol/L. The CCC value was lower for higher molecular weights; MIBC has a molecular weight of 102 g/mol, which is lower than that of F507 at 425 g/mol. This trend was similar in other studies [21,23,51]. Cho and Laskowski [23] determined the CCC for five frothers, including MIBC and four different hexanol isomers, finding that bubble size is a product of coalescence at frother concentrations lower than the CCC. Corona-Arroyo et al. [51] determined the CCC for three frothers, MIBC, DDA, and F507, in a downflow column, finding the same trend of lower values of the CCC for higher molecular weights. The same trend was found previously by Melo and Laskowski [21] by testing three frothers, MIBC, DF-200, and DF-1012; the CCC was lower for higher molecular weights.
The minimum sizes of the bubbles produced using MIBC and F507 were found to have an inverse correlation with their CCC values. It has been observed that frothers impede coalescence and influence break-up [20]. According to the proposed break-up mechanism, frothers cause surface tension gradients, which increase instabilities along the air/water interface. Compared to F507, the MIBC molecule is smaller. It has fewer hydrophilic sites for H-bonding with water molecules, which means that the MIBC molecules on the bubble surface are closer, resulting in smaller break-away bubbles.
The arrow lines in Figure 4 indicate these CCC values. In the HydroFloat® flotation cell, the bubble size can achieve lower d32 values than 0.630 mm, on average, in conventional flotation cells [20,25,37,38]. In Figure 4, the insert shows that F507 produces a finer BSD than MIBC due to its longer hydrocarbon chain and strong and active surface [51].
Figure 5 shows the bubble size distribution of five different concentrations for MIBC and F507. The distribution follows other results in the literature [23,51]. Cho and Laskowski [23] studied bubble size distribution and foam stability using different frothers, finding that frothers control bubble size; at lower concentrations than the CCC, coalescence determines bubble size.

Figure 5.
Bubble size distributions at different frother concentrations from 5.0 to 12.5 ppm for (top) MIBC and (bottom) F507 at Jg = 2.70 cm/s and Jl = 17.6 cm/s.
As the frother concentration increases, the bubble size tends to decrease, resulting in a solution dominated mainly by a bubble size of <0.6 mm. As the frother concentration increases, smaller and more stable bubbles are produced. On the other hand, a low concentration of F507 produces more small and stable bubbles than MIBC. In the Hydrofloat® cell, a more significant number of bubbles smaller than 0.45 mm is obtained using a concentration greater than the CCC.
3.3. Effect of Jg and Jl on Bubble Size Using Tap Water
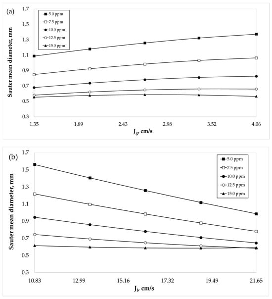
Figure 6a shows the d32 value as a function of Jg for MIBC. When the Jg increases, the d32 increases at all concentrations; this variation becomes more noticeable at lower frother concentrations because the adsorption on the bubble surface is lower.
Figure 6.
Sauter mean diameter as a function of Jg and Jl for different concentrations of MIBC. (a) Function of Jg for Jl = 17.6 cm/s and (b) function of Jl for Jg = 2.70 cm/s.
This increase in bubble size is related to the mass of air injected so that the variations increase and provide more air mass to the system, causing larger bubbles. When the concentration exceeds the CCC, the variation is not appreciated. The bubble size is limited to stabilize its minimum size; in low concentrations, the bubble size difference can reach 300–250 µm, and in high concentrations, the difference can be 80 µm [20].
Figure 6b shows the variation in d32 as a function of Jl. When Jl increases, d32 decreases at all concentrations. This variation was opposite to the effect of Jg, where a lower frother concentration led to a greater reduction in d32. At low concentrations, the bubble size difference can reach 600–500 µm, and in high concentrations, the difference can be 250 µm. The adjustment of Jg and Jl causes the Re number variation in the HydroFloat® cell. Increasing Jg leads to an increase in the velocity of the solution but a decrease in the density and viscosity of the solution, inducing the reduction in the Re number. We can see the opposite effect when Jl increases, increasing density and viscosity and increasing Re [38]. The impact of Jg and Jl are opposite regarding Re and d32. The HydroFloat® operates at a lower Jg and Jl than other flotation cells [3,34,38,51,53]. The HydroFloat® works in a quiescence state, which is fundamental to maintaining low turbulence and decreasing the possibility of particulate–bubble detachment [10,39,54].
Figure 7 shows the effect of seawater concentration on the HydroFloat® system. As the concentration of seawater increases, the bubble size tends to decrease until it reaches its minimum size of 0.41 mm. The insert in Figure 7 indicates that over 0.21 mol/L, the cumulative pass throughput of the bubble sizes does not show significant variation. Compared with the results in the presence of the frother, seawater has a positive effect on bubble size. Even when a partial seawater solution is used, improved results are obtained.
Figure 7.
Sauter mean diameter as a function of seawater salinity in HydroFloat® at Jg = 2.70 cm/s and Jl = 17.6 cm/s. The insert is the bubble size distribution at 0.11, 0.21, and 0.29 mol/L.
3.4. Effect of Seawater Concentration on Bubble Size
Figure 8 shows the bubble size distribution at different concentrations of seawater. At concentrations above 0.21 mol/L (corresponding to 40% seawater), bubble sizes begin to stabilize and predominate between 0.28 and 0.4 mm, with 87% of the total bubbles being in this size range. Above this concentration, no significant variation in bubble size can be seen.
Figure 8.
Bubble size distributions at different seawater salinities at Jg = 2.70 cm/s and Jl = 17.6 cm/s.
Using Equations (3) and (4) of the three-parameter model, the CCC for seawater was obtained with a value of 0.27 mol/L, corresponding to 51% of seawater in the system. This demonstrates that seawater between concentrations of 40 and 50% can be used to achieve a minimum bubble size; these results were very similar to those reported in a previous study [37].
3.5. Analysis of Variables Using Design of Experiments
The results of all experiments in the presence of MIBC and seawater are shown in Table 3. In the presence of MIBC, the size of the bubble varies between 1.42 and 0.56 mm. We can visualize the largest bubble sizes when the following are true: (1) the concentration of the frother agent is lower, (2) the superficial air velocity is high, and (3) the superficial water velocity is low. Thus, the superficial air and water velocity have an inverse relationship. Among these three variables, the solute and seawater concentrations have the most significant impact on reducing the bubble size. The bubble size ranges from 1.69 to 0.37 mm. The bubble size does not vary much above 55% seawater in the system. Still, compared with the MIBC results, seawater at low concentrations significantly impacts the bubble size.
Table 3.
Summary of bubble size results for MIBC and seawater with the design of experiments method.
The regression coefficients were obtained using Statgraphics Centurion XVI. Equations (7) and (8) are the models corresponding to the MIBC and seawater tests, respectively.
The coefficient of determination, R squared, was 97.0% and 97.5% for MIBC and seawater, respectively, meaning that 97.0% and 97.5% of the variance in the bubble size can be explained by the model of Equations (7) and (8), respectively. The R squared adjusted was 95.9% and 96.6% for MIBC and seawater, respectively. Also, the root-mean-square error (RMSE) was 0.05 and 0.07 mm, respectively. Figure 9 shows the response surface when two variables change up or down while the other stays at a central point.
Figure 9.
Contour surface as a function of Xg, Xl, Xc, and Xs on the bubble size.
The analysis of variance, ANOVA, test was used to identify the terms of Equations (7) and (8) that are significant in predicting the bubble size. Table 4 shows the terms under study, where the significant terms present a p-value smaller than 0.05 (significant terms are identified with the symbol ✓; non-significant terms are identified with the symbol ×). The global sensitivity analysis results based on the Sobol–Jansen method are also included in Table 4. The variables that significantly affect the system are frother concentration at 0.718 and seawater concentration at 0.948; the superficial water velocity has a secondary role with values of 0.167 and 0.013 in MIBC and seawater, respectively. These results clearly show us that the solute concentration in the system has the most significant effect on the flotation cells. Interactions of the combination variables also show that they tend to decrease the bubble size, although some variables have a more substantial impact.
Table 4.
Identification of influential factors on bubble size (significant ✓; non-significant ×).
Factors such as water or air flow do not affect bubble size over a given seawater concentration [34,36]. Airflow is directly proportional to the size of the bubble, while water flow is inversely proportional. Other studies have demonstrated these results [24,36,44,51].
As shown in Table 4, in the tests with MIBC, the variables affecting the process the most are Xc at 0.71, Xl at 0.16, and Xg at 0.01%. For seawater, Xs (mainly NaCl) affects the size of the bubble by 0.948. For both experiments, the solute has the most significant impact on the change in bubble size, but in seawater, the variables Xg and Xl tend to suppress their effect. It is known that airflow and water flow affect the size of bubbles [34,44], but the effect of seawater concentration can eliminate those factors and generate stable bubbles without changing their size.
These results can also be analyzed using Figure 6; increasing the airflow, the bubble size tends to increase, while increasing the water flow, the bubble size tends to decrease. Both factors can be expected to be eliminated when seawater exceeds 50% of the concentration in the solution.
4. Conclusions
The study yields the following conclusions:
- The tap water experimental results indicate that the Sauter mean bubble size (d32) decreased as the concentration of frother increased, approaching the critical coalescence concentration (CCC). At gas superficial velocity (Jg) = 2.70 cm/s and liquid superficial velocity (Jl) = 17.6 cm/s, the CCC for MIBC was determined to be 11.98 ppm, corresponding to 0.1175 mmol/L, while for F507, the CCC was found to be 5.47 ppm, which is equivalent to 0.0128 mmol/L.
- A higher concentration of the frother produces smaller stable bubbles. Comparing F507 with MIBC, a lower concentration of the first produces more diminutive and more stable bubbles, with a constant size of 0.51 and 0.40 mm for MIBC and F507, respectively. This variation in bubble size can be attributed to frothers that impede coalescence and also influence break-up. In comparison to F507, the MIBC molecule is smaller, possessing fewer hydrophilic sites for bonding with water molecules. Consequently, the MIBC molecules on the bubble surface are closer, resulting in smaller break-away bubbles.
- The analysis of the effect of Jg and Jl on bubble size using an MIBC frother in experiments with tap water showed that when Jg increases, d23 increases for all frother concentrations. This is more noticeable with a lower concentration of MIBC. The opposite situation occurs when Jl increases.
- In the experiments with different seawater concentrations, when the seawater concentration increases, bubble size decreases, reaching a minimum size of 0.41 mm. Comparing the results of seawater with tap water using a frother, we can observe the positive effects of seawater on the bubble’s compression, even when a lower concentration of seawater is used. With 40% seawater in the solution, the bubble size begins to stabilize, and 87% of the bubbles reach sizes between 0.28 and 0.4 mm. The CCC was obtained with 51% seawater. Hence, we can use 40 and 50% seawater solutions to achieve a minimum bubble size.
- The design of experiment technique was used to examine how Jl and Jg, frother concentration, and seawater concentration affect bubble size. The results indicate that all linear factors are significant, the quadratic terms of the frother and seawater concentrations are also significant, and the interaction term between superficial air velocity and superficial liquid velocity does not significantly impact bubble size. Through global sensitivity analysis, it is observed that the variables with the most significant impact on bubble size are the frother and seawater concentrations, followed by superficial liquid velocity. Superficial gas velocity has little effect on bubble size under the conditions studied.
Saline solutions have been proposed to replace frothers in froth flotation. This study shows that seawater has a greater impact on bubble sizes compared to the frother, resulting in smaller bubble sizes and a narrower distribution. Using seawater in froth flotation in areas of water scarcity would help reduce the stress on continental water resources. It would also decrease water treatment costs for mining companies.
The flotation process is a complex separation process influenced by numerous factors. The size of the bubbles is affected by various parameters such as the frother, collector, particle and liquid properties, hydrodynamics, energy input, and airflow rate within the flotation cell. Subsequent studies should thoroughly evaluate the combined effects of these factors on the Hydrofloat®.
Author Contributions
Conceptualization, G.G., L.A.C., A.L.-V. and E.D.G.; Methodology, G.G., L.A.C. and F.A.L.; Validation, G.G. and N.A.-G.; Investigation, G.G. and L.A.C.; Writing—Original Draft, G.G. and N.A.-G.; Writing—Review and Editing, L.A.C.; Supervision, L.A.C., E.D.G., A.L.-V. and F.V.; Formal Analysis, E.D.G. and F.A.L.; Funding Acquisition, L.A.C. and E.D.G. All authors have read and agreed to the published version of the manuscript.
Funding
This research received no external funding.
Data Availability Statement
All data underlying the results are available as part of the article and no additional source data are required.
Acknowledgments
The authors are grateful for the support of Agencia Nacional de Investigación y Desarrollo de Chile (ANID) through grants ANID/ACT210027, MEC80190019, and Fondecyt 1240182. N.A.-G. would also like to thank the Finnish Foundation for Technology Promotion (Tekniikan Edistämissäätiö) for grant 8015.
Conflicts of Interest
Felipe Valdes is an employee of Eriez Manufacturing Company. The authors declare that they have no known competing financial interests or personal relationships that could have appeared to influence the work reported in this paper.
References
- Mesa, D.; Brito-Parada, P.R. Scale-up in froth flotation: A state-of-the-art review. Sep. Purif. Technol. 2019, 210, 950–962. [Google Scholar] [CrossRef]
- Lai, H.; Deng, J.; Liu, Q.; Wen, S.; Song, Q. Surface chemistry investigation of froth flotation products of lead-zinc sulfide ore using ToF-SIMS and multivariate analysis. Sep. Purif. Technol. 2021, 254, 117655. [Google Scholar] [CrossRef]
- Jameson, G.J. New directions in flotation machine design. Miner. Eng. 2010, 23, 835–841. [Google Scholar] [CrossRef]
- Jameson, G.J. Advances in fine and coarse particle flotation. Can. Metall. Q. 2010, 49, 328–330. [Google Scholar] [CrossRef]
- Cilek, E.C.; Ozgen, S. Improvement of the flotation selectivity in a mechanical flotation cell by ultrasound. Sep. Sci. Technol. 2010, 45, 572–579. [Google Scholar] [CrossRef]
- Hirajima, T.; Mori, M.; Ichikawa, O.; Sasaki, K.; Miki, H.; Farahat, M.; Sawada, M. Selective flotation of chalcopyrite and molybdenite with plasma pre-treatment. Miner. Eng. 2014, 66, 102–111. [Google Scholar] [CrossRef]
- Hirajima, T.; Miki, H.; Suyantara, G.P.W.; Matsuoka, H.; Elmahdy, A.M.; Sasaki, K.; Imaizumi, Y.; Kuroiwa, S. Selective flotation of chalcopyrite and molybdenite with H2O2 oxidation. Miner. Eng. 2017, 100, 83–92. [Google Scholar] [CrossRef]
- Khoshdast, H. Flotation Frothers: Review of Their Classifications, Properties and Preparation. Open Miner. Process. J. 2011, 4, 25–44. [Google Scholar] [CrossRef]
- Yu, Y.; Ma, L.; Cao, M.; Liu, Q. Slime coatings in froth flotation: A review. Miner. Eng. 2017, 114, 26–36. [Google Scholar] [CrossRef]
- Awatey, B.; Skinner, W.; Zanin, M. Effect of particle size distribution on recovery of coarse chalcopyrite and galena in Denver flotation cell. Can. Metall. Q. 2013, 52, 465–472. [Google Scholar] [CrossRef]
- Awatey, B.; Thanasekaran, H.; Kohmuench, J.N.; Skinner, W.; Zanin, M. Optimization of operating parameters for coarse sphalerite flotation in the HydroFloat fluidised-bed separator. Miner. Eng. 2013, 50–51, 99–105. [Google Scholar] [CrossRef]
- Mehrfert, P.J. Investigating the Potential of HydroFloat (TM) Coarse Particle Flotation Techniques on Copper Sulphide Ores. In Proceedings of the 49th Annual Canadian Minerals Processors Conference Proceedings, Ottawa, ON, Canada, 26 May 2017; ALS Metallurgy: Kamloops, BC, Canada, 2017. [Google Scholar]
- Hassanzadeh, A.; Safari, M.; Hoang, D.H. Fine, coarse and fine-coarse particle flotation in mineral processing with a particular focus on the technological assessments. In Proceedings of the 2nd International Conference on Mineral Science, Online, 1–15 March 2021; p. 9383. [Google Scholar]
- Kohmuench, J.N.; Mankosa, M.J.; Thanasekaran, H.; Hobert, A. Improving coarse particle flotation using the HydroFloatTM (raising the trunk of the elephant curve). Miner. Eng. 2018, 121, 137–145. [Google Scholar] [CrossRef]
- Kohmuench, J.N.; Luttrell, G.H.; Mankosa, M.J. Coarse particle concentration using the HydroFloat separator. Miner. Metall. Process. 2001, 18, 61–67. [Google Scholar] [CrossRef]
- Lawagon, C.P.; Nisola, G.M.; Cuevas, R.A.I.; Torrejos, R.E.C.; Kim, H.; Lee, S.-P.; Chung, W.-J. Li1−xNi0.5Mn1.5O4/Ag for electrochemical lithium recovery from brine and its optimized performance via response surface methodology. Sep. Purif. Technol. 2019, 212, 416–426. [Google Scholar] [CrossRef]
- Darabi, H.; Koleini, S.M.J.; Deglon, D.; Rezai, B.; Abdollahy, M. Investigation of bubble-particle attachment, detachment and collection efficiencies in a mechanical flotation cell. Powder Technol. 2020, 375, 109–123. [Google Scholar] [CrossRef]
- Kromah, V.; Powoe, S.B.; Khosravi, R.; Neisiani, A.A.; Chelgani, S.C. Coarse particle separation by fluidized-bed flotation: A comprehensive review. Powder Technol. 2022, 409, 117831. [Google Scholar] [CrossRef]
- Drzymala, J.; Kowalczuk, P. Classification of Flotation Frothers. Minerals 2018, 8, 53. [Google Scholar] [CrossRef]
- Finch, J.A.; Nesset, J.E.; Acuña, C. Role of frother on bubble production and behaviour in flotation. Miner. Eng. 2008, 21, 949–957. [Google Scholar] [CrossRef]
- Melo, F.; Laskowski, J.S. Fundamental properties of flotation frothers and their effect on flotation. Miner. Eng. 2006, 19, 766–773. [Google Scholar] [CrossRef]
- Ding, S.; Yin, Q.; He, Q.; Feng, X.; Yang, C.; Gui, X.; Xing, Y. Role of hydrophobic fine particles in coarse particle flotation: An analysis of bubble-particle attachment and detachment. Colloids Surfaces A Physicochem. Eng. Asp. 2023, 662, 130980. [Google Scholar] [CrossRef]
- Cho, Y.S.; Laskowski, J.S. Effect of flotation frothers on bubble size and foam stability. Int. J. Miner. Process. 2002, 64, 69–80. [Google Scholar] [CrossRef]
- Zhou, X.; Jordens, A.; Cappuccitti, F.; Finch, J.A.; Waters, K.E. Gas dispersion properties of collector/frother blends. Miner. Eng. 2016, 96–97, 20–25. [Google Scholar] [CrossRef]
- Nassif, M.; Finch, J.A.; Waters, K.E. Developing critical coalescence concentration curves for industrial process waters using dilution. Miner. Eng. 2013, 50–51, 64–68. [Google Scholar] [CrossRef]
- Szyszka, D. Critical coalescence concentration (Ccc) for surfactants in aqueous solutions. Minerals 2018, 8, 431. [Google Scholar] [CrossRef]
- Cruz, C.; Botero, Y.L.; Jeldres, R.I.; Uribe, L.; Cisternas, L.A. Current Status of the Effect of Seawater Ions on Copper Flotation: Difficulties, Opportunities, and Industrial Experience. Miner. Process. Extr. Metall. Rev. 2022, 43, 545–563. [Google Scholar] [CrossRef]
- Suyantara, G.P.W.; Hirajima, T.; Miki, H.; Sasaki, K. Floatability of molybdenite and chalcopyrite in artificial seawater. Miner. Eng. 2018, 115, 117–130. [Google Scholar] [CrossRef]
- Sovechles, J.M.; Waters, K.E. Effect of Ionic Strength on Bubble Coalescence in Inorganic Salt and Seawater Solutions. AIChE J. 2015, 61, 2489–2496. [Google Scholar] [CrossRef]
- Cisternas, L.A.; Gálvez, E.D. The use of seawater in mining. Miner. Process. Extr. Metall. Rev. 2017, 39, 1–16. [Google Scholar] [CrossRef]
- Jeldres, R.I.; Arancibia-Bravo, M.P.; Reyes, A.; Aguirre, C.E.; Cortes, L.; Cisternas, L.A. The impact of seawater with calcium and magnesium removal for the flotation of copper-molybdenum sulphide ores. Miner. Eng. 2017, 109, 10–13. [Google Scholar] [CrossRef]
- Castro, S. Physico-chemical factors in flotation of Cu-Mo-Fe ores with seawater: A critical review. Physicochem. Probl. Miner. Process. 2018, 54, 1223–1236. [Google Scholar]
- Quinn, J.J.; Kracht, W.; Gomez, C.O.; Gagnon, C.; Finch, J.A. Comparing the effect of salts and frother (MIBC) on gas dispersion and froth properties. Miner. Eng. 2007, 20, 1296–1302. [Google Scholar] [CrossRef]
- Sovechles, J.M.; Lepage, M.R.; Johnson, B.; Waters, K.E. Effect of gas rate and impeller speed on bubble size in frother-electrolyte solutions. Miner. Eng. 2016, 99, 133–141. [Google Scholar] [CrossRef]
- Cruz, C.; Reyes, A.; Jeldres, R.I.; Cisternas, L.A.; Kraslawski, A. Using Partial Desalination Treatment To Improve the Recovery of Copper and Molybdenum Minerals in the Chilean Mining Industry. Ind. Eng. Chem. Res. 2019, 58, 8915–8922. [Google Scholar] [CrossRef]
- Arancibia-Bravo, M.P.; Lucay, F.A.; López, J.; Cisternas, L.A. Modeling the effect of air flow, impeller speed, frother dosages, and salt concentrations on the bubbles size using response surface methodology. Miner. Eng. 2019, 132, 142–148. [Google Scholar] [CrossRef]
- Quinn, J.J.; Sovechles, J.M.; Finch, J.A.; Waters, K.E. Critical coalescence concentration of inorganic salt solutions. Miner. Eng. 2014, 58, 1–6. [Google Scholar] [CrossRef]
- Zhu, H.; Valdivieso, A.L.; Zhu, J.; Song, S.; Min, F.; Corona Arroyo, M.A. A study of bubble size evolution in Jameson flotation cell. Chem. Eng. Res. Des. 2018, 137, 461–466. [Google Scholar] [CrossRef]
- Fosu, S.; Awatey, B.; Skinner, W.; Zanin, M. Flotation of coarse composite particles in mechanical cell vs. the fluidised-bed separator (The HydroFloatTM). Miner. Eng. 2015, 77, 137–149. [Google Scholar] [CrossRef]
- Islam, M.T.; Nguyen, A.V. Effect of particle size and shape on liquid–solid fluidization in a HydroFloat cell. Powder Technol. 2021, 379, 560–575. [Google Scholar] [CrossRef]
- Trahar, W.J. A rational interpretation of the role of particle size in flotation. Int. J. Miner. Process. 1981, 8, 289–327. [Google Scholar] [CrossRef]
- Majumder, S.K.; Kundu, G.; Mukherjee, D. Mixing mechanism in a modified co-current downflow bubble column. Chem. Eng. J. 2005, 112, 45–55. [Google Scholar] [CrossRef]
- Arias, D.; Villca, G.; Pánico, A.; Cisternas, L.A.; Jeldres, R.I.; González-Benito, G.; Rivas, M. Partial desalination of seawater for mining processes through a fluidized bed bioreactor filled with immobilized cells of Bacillus subtilis LN8B. Desalination 2020, 482, 114388. [Google Scholar] [CrossRef]
- Nesset, J.E.; Hernandez-Aguilar, J.R.; Acuna, C.; Gomez, C.O.; Finch, J.A. Some gas dispersion characteristics of mechanical flotation machines. Miner. Eng. 2006, 19, 807–815. [Google Scholar] [CrossRef]
- Lazić, Ž.R. Design of Experiments in Chemical Engineering—A Practical Guide; Wiley-Vch Verlag GmbH & Co. KGaA: Weinheim, Germany, 2004; ISBN 3527311424. [Google Scholar]
- Arroug, L.; Elaatmani, M.; Zegzouti, A. A preliminary study to investigate the beneficiation of low-grade phosphate sludge using reverse flotation: Modeling and optimization through Box-Behnken design and response surface methodology. Chem. Eng. Res. Des. 2024, 204, 228–237. [Google Scholar] [CrossRef]
- Jansen, M.J.W. Analysis of variance designs for model output. Comput. Phys. Commun. 1999, 117, 35–43. [Google Scholar] [CrossRef]
- Lucay, F.A.; Lopez-Arenas, T.; Sales-Cruz, M.; Gálvez, E.D.; Cisternas, L.A. Performance profiles for benchmarking of global sensitivity analysis algorithms. Rev. Mex. Ing. Quim. 2020, 19, 423–444. [Google Scholar] [CrossRef]
- Lucay, F.A.; Gálvez, E.D.; Salez-Cruz, M.; Cisternas, L.A. Improving milling operation using uncertainty and global sensitivity analyses. Miner. Eng. 2019, 131, 249–261. [Google Scholar] [CrossRef]
- Sepúlveda, F.D.; Cisternas, L.A.; Gálvez, E.D. The use of global sensitivity analysis for improving processes: Applications to mineral processing. Comput. Chem. Eng. 2014, 66, 221–232. [Google Scholar] [CrossRef]
- Corona-Arroyo, M.A.; López-Valdivieso, A.; Laskowski, J.S.; Encinas-Oropesa, A. Effect of frothers and dodecylamine on bubble size and gas holdup in a downflow column. Miner. Eng. 2015, 81, 109–115. [Google Scholar] [CrossRef]
- Jávor, Z.; Schreithofer, N.; Heiskanen, K. Validity of critical coalescence concentration in dynamic conditions. Int. J. Miner. Process. 2014, 127, 16–22. [Google Scholar] [CrossRef]
- Chen, X.; Peng, Y.; Bradshaw, D. Effect of regrinding conditions on pyrite flotation in the presence of copper ions. Int. J. Miner. Process. 2013, 125, 129–136. [Google Scholar] [CrossRef]
- Mankosa, M.J.; Kohmuench, J.N.; Eisenmann, M.D.; Luttrell, G.H. Testing of the Hydrofloat Separator for Coal Cleaning Applications; Virginia Polytechnic Institute and State University: Blacksburg, VA, USA, 1995; pp. 1–6. [Google Scholar]
Disclaimer/Publisher’s Note: The statements, opinions and data contained in all publications are solely those of the individual author(s) and contributor(s) and not of MDPI and/or the editor(s). MDPI and/or the editor(s) disclaim responsibility for any injury to people or property resulting from any ideas, methods, instructions or products referred to in the content. |
© 2024 by the authors. Licensee MDPI, Basel, Switzerland. This article is an open access article distributed under the terms and conditions of the Creative Commons Attribution (CC BY) license (https://creativecommons.org/licenses/by/4.0/).