Study of the Crystallographic Distortion Mechanism during the Annealing of Kaolinite
Abstract
:1. Introduction
2. Materials and Methods
2.1. Materials
2.2. Preparation
2.3. Characterization
2.4. Simulation of Crystal Structure Distortion
2.5. XAS Calculation
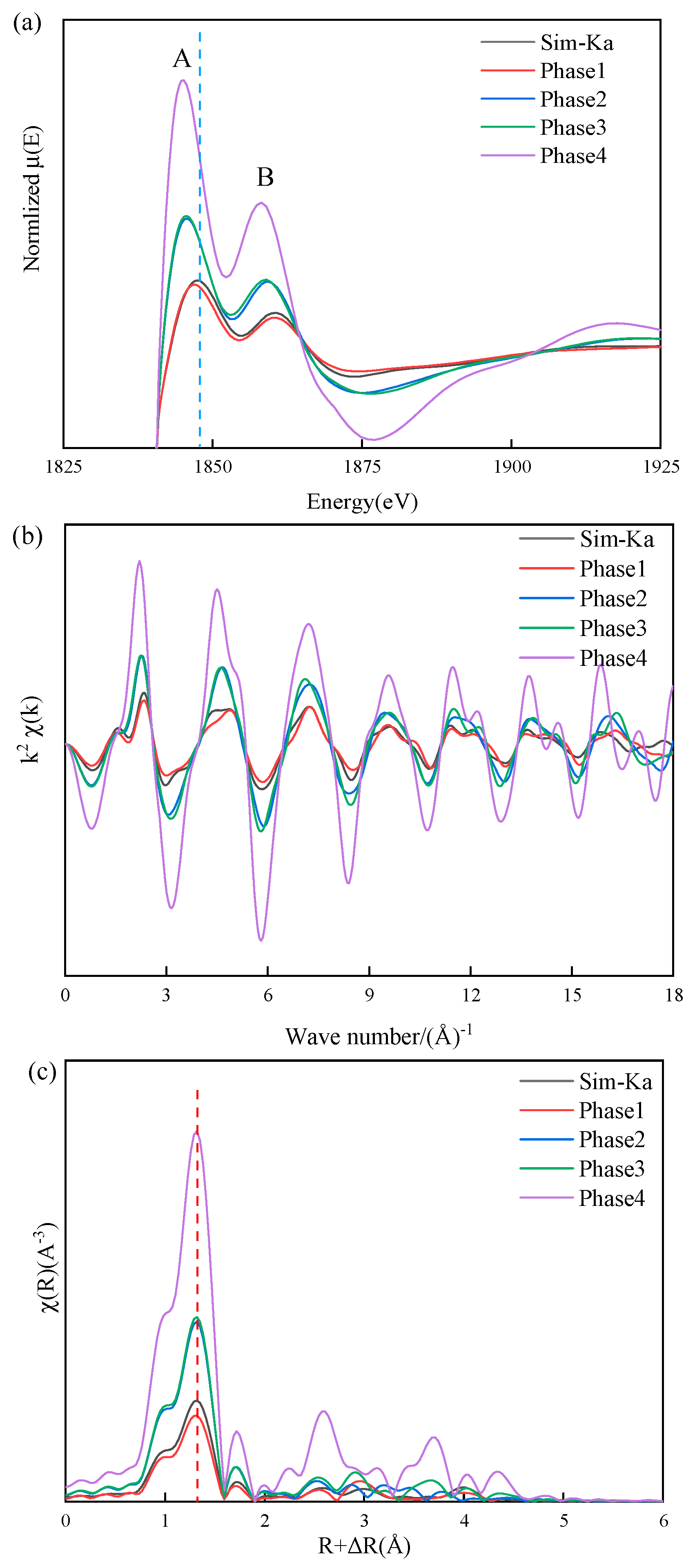
3. Results and Discussion
3.1. TG/DSC Measurements
3.2. FTIR
3.3. Microstructural Characterization
3.4. Crystal Structure
3.5. Powder XRD
3.6. XAFS Calculation
4. Conclusions
Author Contributions
Funding
Institutional Review Board Statement
Informed Consent Statement
Data Availability Statement
Acknowledgments
Conflicts of Interest
Appendix A


| Oxide | Content (%) | Standard Error |
|---|---|---|
| SiO2 | 54.82 | 0.25 |
| Al2O3 | 43.16 | 0.25 |
| TiO2 | 0.654 | 0.033 |
| Fe2O3 | 0.48 | 0.024 |
| Na2O | 0.225 | 0.011 |
| MgO | 0.164 | 0.008 |
| P2O5 | 0.162 | 0.008 |
| K2O | 0.153 | 0.008 |
| SO3 | 0.0566 | 0.0028 |
| ZnO | 0.0415 | 0.0021 |
| CaO | 0.0305 | 0.0015 |
| V2O5 | 0.0147 | 0.0008 |
| Cl | 0.0138 | 0.0009 |
| Cr2O3 | 0.0058 | 0.0005 |
| CeO2 | 0.0056 | 0.002 |
| Nd2O3 | 0.003 | 0.0011 |
| Re2O7 | 0.0025 | 0.0012 |
| Ga2O3 | 0.0022 | 0.0003 |
| MnO | 0.0019 | 0.0004 |
| Sc2O3 | 0.0017 | 0.0004 |
| ZrO2 | 0.0015 | 0.0003 |
References
- Neubert, K.; Wotruba, H. Investigations on the Detectability of Rare-Earth Minerals Using Dual-Energy X-ray Transmission Sorting. J. Sustain. Metall. 2017, 3, 3–12. [Google Scholar] [CrossRef]
- Osipov, S.; Libin, E.; Chakhlov, S.; Osipov, O.; Shtein, A. Parameter Identification Method for Dual-Energy X-ray Imaging. NDTE Int. 2015, 76, 38–42. [Google Scholar] [CrossRef]
- Pan, Y.; Bi, Y.; Zhang, C.; Yu, C.; Li, Z.; Chen, X. Feeding Material Identification for a Crusher Based on Deep Learning for Status Monitoring and Fault Diagnosis. Minerals 2022, 12, 380. [Google Scholar] [CrossRef]
- Jin, J.; Yuan, S.; Lv, Z.; Sun, Q. Development of Backfill Concrete Including Coal Gangue and Metakaolin and Prediction of Compressive Strength by Extreme Learning Machine. Minerals 2022, 12, 330. [Google Scholar] [CrossRef]
- Sun, A.; Jia, W.; Hei, D.; Yang, Y.; Cheng, C.; Li, J.; Wang, Z.; Tang, Y. Application of Concave Point Matching Algorithm in Segmenting Overlapping Coal Particles in X-ray Images. Miner. Eng. 2021, 171, 107096. [Google Scholar] [CrossRef]
- Brigatti, M.F.; Galán, E.; Theng, B.K.G. Chapter 2—Structure and mineralogy of clay minerals. In Developments in Clay Science; Bergaya, F., Lagaly, G., Eds.; Elsevier: Amsterdam, The Netherlands, 2013; Volume 5, pp. 21–81. ISBN 1572-4352. [Google Scholar]
- Dou, D.; Wu, W.; Yang, J.; Zhang, Y. Classification of Coal and Gangue under Multiple Surface Conditions via Machine Vision and Relief-SVM. Powder Technol. 2019, 356, 1024–1028. [Google Scholar] [CrossRef]
- Dou, D.; Zhou, D.; Yang, J.; Zhang, Y. Coal and Gangue Recognition under Four Operating Conditions by Using Image Analysis and Relief-SVM. Int. J. Coal Prep. Util. 2020, 40, 473–482. [Google Scholar] [CrossRef]
- Pauling, L. The Structure of the Chlorites. Proc. Natl. Acad. Sci. USA 1930, 16, 578–582. [Google Scholar] [CrossRef] [Green Version]
- Chen, J.; Min, F.; Liu, L.; Cai, C. Systematic Exploration of the Interactions between Fe-Doped Kaolinite and Coal Based on DFT Calculations. Fuel 2020, 266, 117082. [Google Scholar] [CrossRef]
- Li, J.; Zuo, X.; Zhao, X.; Ouyang, J.; Yang, H. Insight into the Effect of Crystallographic Structure on Thermal Conductivity of Kaolinite Nanoclay. Appl. Clay Sci. 2019, 173, 12–18. [Google Scholar] [CrossRef]
- Richard, D.; Martínez, J.M.; Mizrahi, M.; Andrini, L.; Rendtorff, N.M. Assessment of Structural Order Indices in Kaolinites: A Multi-Technique Study Including EXAFS. J. Electron. Spectrosc. Relat. Phenom. 2022, 254, 147128. [Google Scholar] [CrossRef]
- Richard, D.; Rendtorff, N.M. First Principles Study of Structural Properties and Electric Field Gradients in Kaolinite. Appl. Clay Sci. 2019, 169, 67–73. [Google Scholar] [CrossRef]
- Zhang, S.; Liu, Q.; Yang, Y.; Wang, D.; He, J.; Sun, L. Preparation, Morphology, and Structure of Kaolinites with Various Aspect Ratios. Appl. Clay Sci. 2017, 147, 117–122. [Google Scholar] [CrossRef]
- Hu, X.; Zhang, M.; Xu, W.; Tu, M.; Yin, Z.; Zhang, X. A Dynamic Coupled Elastoplastic Damage Model for Rock-like Materials Considering Tension-Compression Damage and Pressure-Dependent Behavior. Minerals 2022, 12, 851. [Google Scholar] [CrossRef]
- Shvarzman, A.; Kovler, K.; Grader, G.S.; Shter, G.E. The Effect of Dehydroxylation/Amorphization Degree on Pozzolanic Activity of Kaolinite. Cem. Concr. Res. 2003, 33, 405–416. [Google Scholar] [CrossRef]
- Wan, Q.; Rao, F.; Song, S. Reexamining Calcination of Kaolinite for the Synthesis of Metakaolin Geopolymers-Roles of Dehydroxylation and Recrystallization. J. Non-Cryst. Solids 2017, 460, 74–80. [Google Scholar] [CrossRef]
- Andrini, L.; Gauna, M.R.; Conconi, M.S.; Suarez, G.; Requejo, F.G.; Aglietti, E.F.; Rendtorff, N.M. Extended and Local Structural Description of a Kaolinitic Clay, Its Fired Ceramics and Intermediates: An XRD and XANES Analysis. Appl. Clay Sci. 2016, 124–125, 39–45. [Google Scholar] [CrossRef]
- Kelly, S.D.; Hesterberg, D.; Ravel, B. Analysis of soils and minerals using x-ray absorption spectroscopy. In Methods of Soil Analysis Part 5—Mineralogical Methods; 2008; Volume 5, pp. 387–464. [Google Scholar]
- Mathew, K.; Zheng, C.; Winston, D.; Chen, C.; Dozier, A.; Rehr, J.J.; Ong, S.P.; Persson, K.A. High-Throughput Computational X-ray Absorption Spectroscopy. Sci. Data 2018, 5, 180151. [Google Scholar] [CrossRef] [PubMed]
- Danner, T.; Norden, G.; Justnes, H. Characterisation of Calcined Raw Clays Suitable as Supplementary Cementitious Materials. Appl. Clay Sci. 2018, 162, 391–402. [Google Scholar] [CrossRef]
- Drits, V.A.; Sakharov, B.A.; Dorzhieva, O.V.; Zviagina, B.B.; Lindgreen, H. Determination of the Phase Composition of Partially Dehydroxylated Kaolinites by Modelling Their X-ray Diffraction Patterns. Clay Miner. 2019, 54, 309–322. [Google Scholar] [CrossRef]
- Andrini, L.; Moreira Toja, R.; Conconi, M.S.; Requejo, F.G.; Rendtorff, N.M. Halloysite Nanotube and Its Firing Products: Structural Characterization of Halloysite, Metahalloysite, Spinel Type Silicoaluminate and Mullite. J. Electron. Spectrosc. Relat. Phenom. 2019, 234, 19–26. [Google Scholar] [CrossRef]
- Newville, M. Fundamentals of XAFS. Rev. Mineral. Geochem. 2014, 78, 33–74. [Google Scholar] [CrossRef]
- de Jong, M.; Chen, W.; Geerlings, H.; Asta, M.; Persson, K.A. A Database to Enable Discovery and Design of Piezoelectric Materials. Sci. Data 2015, 2, 150053. [Google Scholar] [CrossRef] [PubMed] [Green Version]
- Wang, A.; Kingsbury, R.; McDermott, M.; Horton, M.; Jain, A.; Ong, S.P.; Dwaraknath, S.; Persson, K. A Framework for Quantifying Uncertainty in DFT Energy Corrections. Nature 2021, 11, 15496. [Google Scholar] [CrossRef] [PubMed]
- Munro, J.M.; Latimer, K.; Horton, M.K.; Dwaraknath, S.; Persson, K.A. An Improved Symmetry-Based Approach to Reciprocal Space Path Selection in Band Structure Calculations. NPJ Comput. Mater. 2020, 6, 112. [Google Scholar] [CrossRef]
- de Jong, M.; Chen, W.; Angsten, T.; Jain, A.; Notestine, R.; Gamst, A.; Sluiter, M.; Ande, C.K.; van der Zwaag, S.; Plata, J.J.; et al. Charting the Complete Elastic Properties of Inorganic Crystalline Compounds. Sci. Data 2015, 2, 150009. [Google Scholar] [CrossRef] [Green Version]
- Jain, A.; Ong, S.P.; Hautier, G.; Chen, W.; Richards, W.D.; Dacek, S.; Cholia, S.; Gunter, D.; Skinner, D.; Ceder, G.; et al. Commentary: The Materials Project: A Materials Genome Approach to Accelerating Materials Innovation. APL Mater. 2013, 1, 011002. [Google Scholar] [CrossRef] [Green Version]
- Ding, H.; Dwaraknath, S.S.; Garten, L.; Ndione, P.; Ginley, D.; Persson, K.A. Computational Approach for Epitaxial Polymorph Stabilization through Substrate Selection. ACS Appl. Mater. Interfaces 2016, 8, 13086–13093. [Google Scholar] [CrossRef] [Green Version]
- Patel, A.M.; Nørskov, J.K.; Persson, K.A.; Montoya, J.H. Efficient Pourbaix Diagrams of Many-Element Compounds. Phys. Chem. Chem. Phys. 2019, 21, 25323–25327. [Google Scholar] [CrossRef] [Green Version]
- Singh, A.K.; Zhou, L.; Shinde, A.; Suram, S.K.; Montoya, J.H.; Winston, D.; Gregoire, J.M.; Persson, K.A. Electrochemical Stability of Metastable Materials. Chem. Mater. 2017, 29, 10159–10167. [Google Scholar] [CrossRef] [Green Version]
- Latimer, K.; Dwaraknath, S.; Mathew, K.; Winston, D.; Persson, K.A. Evaluation of Thermodynamic Equations of State across Chemistry and Structure in the Materials Project. NPJ Comput. Mater. 2018, 4, 40. [Google Scholar] [CrossRef]
- Jain, A.; Hautier, G.; Ong, S.P.; Moore, C.J.; Fischer, C.C.; Persson, K.A.; Ceder, G. Formation Enthalpies by Mixing GGA and GGA +U Calculations. Phys. Rev. B 2011, 84, 045115. [Google Scholar] [CrossRef] [Green Version]
- Zheng, H.; Li, X.-G.; Tran, R.; Chen, C.; Horton, M.; Winston, D.; Persson, K.A.; Ong, S.P. Grain Boundary Properties of Elemental Metals. Acta Mater. 2020, 186, 40–49. [Google Scholar] [CrossRef] [Green Version]
- Horton, M.K.; Montoya, J.H.; Liu, M.; Persson, K.A. High-Throughput Prediction of the Ground-State Collinear Magnetic Order of Inorganic Materials Using Density Functional Theory. NPJ Comput. Mater. 2019, 5, 64. [Google Scholar] [CrossRef] [Green Version]
- Petousis, I.; Mrdjenovich, D.; Ballouz, E.; Liu, M.; Winston, D.; Chen, W.; Graf, T.; Schladt, T.D.; Persson, K.A.; Prinz, F.B. High-Throughput Screening of Inorganic Compounds for the Discovery of Novel Dielectric and Optical Materials. Sci. Data 2017, 4, 160134. [Google Scholar] [CrossRef] [PubMed]
- Persson, K.A.; Waldwick, B.; Lazic, P.; Ceder, G. Prediction of Solid-Aqueous Equilibria: Scheme to Combine First-Principles Calculations of Solids with Experimental Aqueous States. Phys. Rev. B 2012, 85, 235438. [Google Scholar] [CrossRef] [Green Version]
- Tran, R.; Xu, Z.; Radhakrishnan, B.; Winston, D.; Sun, W.; Persson, K.A.; Ong, S.P. Surface Energies of Elemental Crystals. Sci. Data 2016, 3, 160080. [Google Scholar] [CrossRef] [PubMed] [Green Version]
- Aykol, M.; Dwaraknath, S.S.; Sun, W.; Persson, K.A. Thermodynamic Limit for Synthesis of Metastable Inorganic Materials. Sci. Adv. 2018, 4, eaaq0148. [Google Scholar] [CrossRef] [PubMed] [Green Version]
- Ravel, B.; Newville, M. ATHENA, ARTEMIS, HEPHAESTUS: Data Analysis for X-ray Absorption Spectroscopy Using IFEFFIT. J. Synchrotron Radiat. 2005, 12, 537–541. [Google Scholar] [CrossRef] [Green Version]
- Ravel, B.; Newville, M.; Kas, J.; Rehr, J. The Effect of Self-Consistent Potentials on EXAFS Analysis. J. Synchrotron Radiat. 2017, 24, 1173–1179. [Google Scholar] [CrossRef] [PubMed]
- Rehr, J.J.; Kas, J.J.; Vila, F.D.; Prange, M.P.; Jorissen, K. Parameter-Free Calculations of X-ray Spectra with FEFF9. Phys. Chem. Chem. Phys. 2010, 12, 5503–5513. [Google Scholar] [CrossRef] [PubMed]
- Clark, S.J.; Segall, M.D.; Pickard, C.J.; Hasnip, P.J.; Probert, M.I.; Refson, K.; Payne, M.C. First Principles Methods Using CASTEP. Z. Für Krist. Cryst. Mater. 2005, 220, 567–570. [Google Scholar] [CrossRef] [Green Version]
- Perdew, J.P.; Burke, K.; Ernzerhof, M. Generalized Gradient Approximation Made Simple. Phys. Rev. Lett. 1996, 77, 3865. [Google Scholar] [CrossRef] [PubMed] [Green Version]
- Swinehart, D.F. The Beer-Lambert Law. J. Chem. Educ. 1962, 39, 333. [Google Scholar] [CrossRef]
- Koningsberger, D.C.; Mojet, B.L.; Van Dorssen, G.E.; Ramaker, D.E. XAFS Spectroscopy; Fundamental Principles and Data Analysis. Top. Catal. 2000, 10, 143–155. [Google Scholar] [CrossRef]
- Gaur, A.; Shrivastava, B.D.; Nigam, H.L. X-ray Absorption Fine Structure (XAFS) Spectroscopy—A Review. Proc. Indian Natl. Sci. Acad. 2013, 79, 921–966. [Google Scholar]
- Crozier, E.D. A Review of the Current Status of XAFS Spectroscopy. Nucl. Instrum. Methods Phys. Res. Sect. B Beam Interact. Mater. At. 1997, 133, 134–144. [Google Scholar] [CrossRef]
- Kristó, J.; Frost, R.L.; Felinger, A.; Mink, J. FTIR Spectroscopic Study of Intercalated Kaolinite. J. Mol. Struct. 1997, 410–411, 119–122. [Google Scholar] [CrossRef]
- Sadri, S.; Johnson, B.B.; Ruyter-Hooley, M.; Angove, M.J. The Adsorption of Nortriptyline on Montmorillonite, Kaolinite and Gibbsite. Appl. Clay Sci. 2018, 165, 64–70. [Google Scholar] [CrossRef]
- Drits, V.A.; Zviagina, B.B.; Sakharov, B.A.; Dorzhieva, O.V.; Savichev, A.T. New Insight into the Relationships between Structural and FTIR Spectroscopic Features of Kaolinites. Clays Clay Miner. 2021, 69, 366–388. [Google Scholar] [CrossRef]
- Shafiq, N.; Nuruddin, M.F.; Khan, S.U.; Ayub, T. Calcined Kaolin as Cement Replacing Material and Its Use in High Strength Concrete. Constr. Build. Mater. 2015, 81, 313–323. [Google Scholar] [CrossRef]
- Borst, A.M.; Smith, M.P.; Finch, A.A.; Estrade, G.; Villanova-de-Benavent, C.; Nason, P.; Marquis, E.; Horsburgh, N.J.; Goodenough, K.M.; Xu, C. Adsorption of Rare Earth Elements in Regolith-Hosted Clay Deposits. Nat. Commun. 2020, 11, 1–15. [Google Scholar] [CrossRef] [PubMed]
- Chen, G.; Zhao, H.; Li, X.; Xia, S. Theoretical Investigation of the Chloride Effect on Aqueous Hg (II) Adsorption on the Kaolinite (001) Surface. Appl. Clay Sci. 2021, 210, 106120. [Google Scholar] [CrossRef]
- Park, S.-M.; Lee, J.; Jeon, E.-K.; Kang, S.; Alam, M.S.; Tsang, D.C.; Alessi, D.S.; Baek, K. Adsorption Characteristics of Cesium on the Clay Minerals: Structural Change under Wetting and Drying Condition. Geoderma 2019, 340, 49–54. [Google Scholar] [CrossRef]








Publisher’s Note: MDPI stays neutral with regard to jurisdictional claims in published maps and institutional affiliations. |
© 2022 by the authors. Licensee MDPI, Basel, Switzerland. This article is an open access article distributed under the terms and conditions of the Creative Commons Attribution (CC BY) license (https://creativecommons.org/licenses/by/4.0/).
Share and Cite
Zeng, Q.; Xie, J.; Zhou, W.; Zhu, J.; Liu, L.; Yin, J.; Zhu, W. Study of the Crystallographic Distortion Mechanism during the Annealing of Kaolinite. Minerals 2022, 12, 994. https://doi.org/10.3390/min12080994
Zeng Q, Xie J, Zhou W, Zhu J, Liu L, Yin J, Zhu W. Study of the Crystallographic Distortion Mechanism during the Annealing of Kaolinite. Minerals. 2022; 12(8):994. https://doi.org/10.3390/min12080994
Chicago/Turabian StyleZeng, Qiuyu, Jun Xie, Wei Zhou, Jinbo Zhu, Liangliang Liu, Jianqiang Yin, and Wenliang Zhu. 2022. "Study of the Crystallographic Distortion Mechanism during the Annealing of Kaolinite" Minerals 12, no. 8: 994. https://doi.org/10.3390/min12080994
APA StyleZeng, Q., Xie, J., Zhou, W., Zhu, J., Liu, L., Yin, J., & Zhu, W. (2022). Study of the Crystallographic Distortion Mechanism during the Annealing of Kaolinite. Minerals, 12(8), 994. https://doi.org/10.3390/min12080994

