Acoustic Emission Parameter Characterization of Damage Process of the Limestone with Different Rockburst Tendencies
Abstract
1. Introduction
2. Materials and Methods
2.1. Specimen Preparation
2.2. Test Methods and Acoustic Emission Monitoring
3. Results and Discussion
3.1. Rockburst Tendency of the Limestone with Different Burial Depths
3.1.1. Rockburst Tendency Based on Elastic Energy Index Criterion
3.1.2. Rockburst Tendency of the Limestone Based on Brittleness Index Criterion
3.1.3. Rockburst Tendency of the Limestone Based on Linear Elastic Energy Criterion
3.1.4. Comprehensive Discrimination of Rockburst Tendency
3.2. AE Characteristics of Rocks at Different Stress Stages
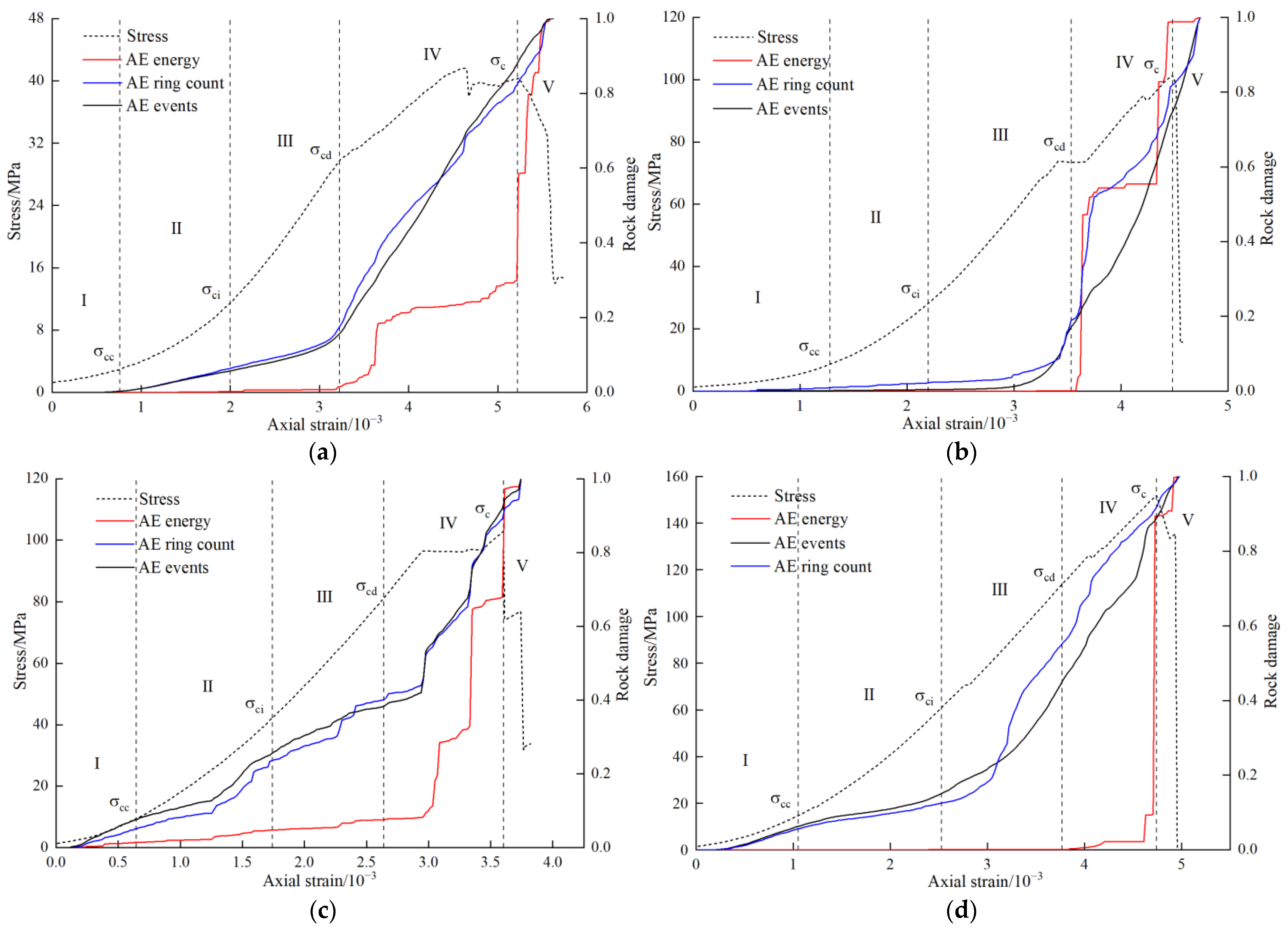
3.2.1. Division of Different Stress Stages
3.2.2. AE Characteristics of the Limestone with Different Rockburst Tendency
- (1)
- Stage I: the crack closure stage. The internal original pores and cracks of the limestone are gradually compacted, and this stage ends with the generation of the closure stress of the rock. The AE activities of the limestone with different rockburst tendencies at this stage remain basically calm. The AE event rate and ring count continue to appear in this stage, but the AE energy is in a quiet period without an obvious change. It indicates that the closure of the original fracture pores mainly occurs in the rock, and no obvious damage occurs.
- (2)
- Stage II: the linear elastic deformation stage. The stress–strain curve of the rock tends to be linear. After the compaction of the limestone, the original pores and fissures do not expand any further. The deformation of the rock at this stage can be considered as an elastic deformation, and this stage ends with the generation of the rock crack initiation stress. Due to the large in situ stress on the deep rock, the stress level at this time is not sufficient to induce secondary cracks in the limestone, the AE activity remains relatively stable and the AE event rate and energy do not increase significantly.
- (3)
- Stage III: the stable crack growth stage. This stage ends with the generation of the rock damage stress. For rock samples with no or a weak rockburst tendency, the AE event rate and ring count increase in this stage, while the AE energy is still in a quiet period in this stage. It indicates that secondary cracks are gradually generated in the limestone under this stress stage, while macro damage does not occur in the sample. The AE event rate, ring count and energy of the limestone with a medium rockburst tendency remain relatively stable. The AE event rate and ring count of the limestone with a strong rockburst tendency increase slightly, which may be related to its internal grain, joints and other microstructures. The rock with a strong rockburst tendency has no obvious damage, and the AE energy remains calm.
- (4)
- Stage IV: the unstable crack propagation stage. After the unstable crack propagation stage, the secondary cracks in limestone with different rockburst tendencies are gradually penetrated, forming a macro fracture surface, and the high strain energy stored in the rock is released. Therefore, the high AE event rate and ring count occur frequently in this stage, and the AE energy also increases significantly.
- (5)
- Stage V: the post-peak stage. There are AE signals in limestone with different rockburst tendencies in this stage. According to the characteristics of the stress–strain curve, the limestone with no, medium and strong rockburst tendencies still has a certain residual strength after the peak strength failure, and the rock has a secondary failure under the stress, resulting in AE signals. The limestone with a weak rockburst tendency has a scattered high AE event rate, but the AE energy is almost 0. Therefore, the AE activity here is generated by the rock sliding along the macro fault surface.
3.3. Comparative Analysis of Damage Process Represented by Different AE Parameters
- (1)
- The characterization of the rock damage by the AE events and ring count. In the rock compaction stage (stage I), no damage can be observed in the limestone with no or with a weak rockburst tendency. After reaching the closure stress, the damage begins to accumulate at a certain rate, and the damage accumulation rate increases near the damage stress. However, the limestone with the medium and strong rockburst tendency has an obvious damage accumulation and maintains a relatively stable growth rate. The damage accumulation rate of the limestone with a medium rockburst tendency increases during the unstable crack propagation stage, and that of the limestone with a strong rockburst tendency increases soon after the stress reaches the crack initiation stress. The damage represented by the AE events and ring count of the limestone with no, a medium and a strong rockburst tendency is similar, and there is no obvious difference between them. The cumulative rate of the damage represented by the ring count of the limestone with the weak rockburst tendency increases before the damage stress point and decreases after the damage stress point, while the cumulative rate of the damage represented by the AE events increases before the damage stress point and becomes a fixed value.
- (2)
- The characterization of the rock damage by the energy. Before the loading stress reaches the damage stress, the damage represented by the energy of the limestone with different rockburst tendencies has not accumulated significantly, and it presents a stepped change after the damage stress. The damage of limestone with no and with a weak rockburst tendency increases abruptly near the damage stress point and then increases steadily for a period of time; with the occurrence of the rock failure, the damage increases rapidly to the peak. The damage of the limestone with a medium rockburst tendency begins to accumulate speedily in the middle of the unstable crack propagation stage, and the damage of the sample increases slowly from the initial loading stage. This may be related to its internal grain, joints and other microstructures. The damage of the limestone with a strong rockburst tendency goes through a long quiet period. It only accumulates slightly near the peak stress and accumulates speedily within a short time. The damage represented by the AE energy of the limestone has gone through a quiet period. After the accelerated accumulation of the damage, there is a transitional quiet period before the next accelerated accumulation. With the increasing rockburst tendency of the limestone, the more delayed the accelerated accumulation of the damage, the shorter the transitional quiet period, and the limestone with the strong rockburst tendency has no transitional quiet period.
3.4. AE Fractal Characteristics of the Limestone with Different Rockburst Tendencies
3.4.1. Calculation of Fractal Dimension
- (1)
- The AE signals of a single limestone rock correspond to a sequence set with a capacity of n [39]:
- (2)
- Construction of m-dimensional phase space
- (3)
- Correlation function of m-dimensional phase space points:
- (4)
- Correlation dimension expression calculation
3.4.2. Fractal Characteristics of Acoustic Emission Parameters
4. Conclusions
- The deeper the rock is buried, the smaller the porosity, the greater the density, the denser the rock is and the greater the uniaxial compressive strength is. Based on the elastic energy index criterion, the deformation brittleness index criterion and the linear elastic energy criterion, the rockburst tendency of the limestone with different burial depths is analyzed, and it is concluded that the rockburst tendency increases with the increase in the burial depth. Specifically, limestone with a burial depth of 600 m does not have a rockburst tendency, while the limestone with a burial depth of 700 and 800 m, 900 m and 1000 m have a weak, medium and strong rockburst tendency, respectively.
- Under the uniaxial stress state, the AE event rate and ring count have similar changing trends, and the energy shows a sharp growth after a quiet period. With the increase in the rockburst tendency, the change characteristics of the AE event rate and ring count tend to be consistent with the energy. The less lower the AE event rate is, the longer the quiet period of the energy is and the smaller the interval of the first and last growths of the AE energy is. For the limestone with a strong rockburst tendency, the AE energy increases suddenly only before the peak stress.
- The normalization of the AE characteristic parameters can be used to calculate the damage of the limestone. The damage process of the limestone represented by the AE events and ring count shows progressive evolution characteristics, and the damage represented by the energy shows stepped evolution characteristics. The damage represented by the energy can not only reflect the energy storage process of the rockburst incubation, but it also reflects the instantaneity and intensity of the rockburst damage.
- The fluctuation in the fractal dimension D of the AE energy is more gentle with the increase in the rockburst tendency, and the variation coefficient CV of the mathematical-statistical index is used for the verification. It reflects the energy storage characteristics of rock with a rockburst tendency in the loading process, which is consistent with the failure mechanism of the rockburst. Therefore, the AE energy is more reasonable in characterizing the damage process of rocks with a stronger rockburst tendency.
Author Contributions
Funding
Data Availability Statement
Conflicts of Interest
References
- He, M.-C.; Xie, H.-P.; Peng, S.-P.; Jiang, Y.-D. Study on Rock Mechanics in Deep Mining Engineering. Chin. J. Rock Mech. Eng. 2005, 24, 2803–2813. [Google Scholar]
- Nierobisz, A. Investigation of mine roadway support load during seismic events. J. Min. Sci. 2012, 48, 298–307. [Google Scholar] [CrossRef]
- Wasilewski, S. Gas-Dynamic Phenomena Caused by Rock Mass Tremors and Rock Bursts. Int. J. Min. Sci. Technol. 2020, 30, 413–420. [Google Scholar] [CrossRef]
- Browning, J.; Meredith, P.G.; Stuart, C.E.; Healy, D.; Harland, S.; Mitchell, T.M. Acoustic Characterization of Crack Damage Evolution in Sandstone Deformed under Conventional and True Triaxial Loading. J. Geophys. Res. Solid Earth 2017, 122, 4395–4412. [Google Scholar] [CrossRef]
- Yang, J.; Zhao, K.; Song, Y.; Wang, Q.; Zhao, K.; Ji, Y. Damage Evolution Laws of Low-Strength Molybdenum Ore Under Uniaxial Compression. Nat. Resour. Res. 2022, 31, 1189–1202. [Google Scholar] [CrossRef]
- Fan, P.; Wang, M.; Li, W. Rockburst and the Storage, Dissipation and Transform of Energy in Rock. In Proceedings of the 2nd National Engineering Safety and protection Academic Conference, Beijing, China, 14 August 2010; Volume II, pp. 280–286. [Google Scholar]
- Shkuratnik, V.L.; Kravchenko, O.S.; Filimonov, Y.L. Acoustic Emission of Rock Salt at Different Uniaxial Strain Rates and Under Temperature. J. Appl. Mech. Tech. Phys. 2020, 61, 479–485. [Google Scholar] [CrossRef]
- Aker, E.; Kühn, D.; Vavryčuk, V.; Soldal, M.; Oye, V. Experimental Investigation of Acoustic Emissions and Their Moment Tensors in Rock during Failure. Int. J. Rock Mech. Min. Sci. 2014, 70, 286–295. [Google Scholar] [CrossRef]
- Liu, J.P.; Wang, R.; Lei, G.; Si, Y.T.; Li, Y.H. Studies of Stress and Displacement Distribution and the Evolution Law during Rock Failure Process Based on Acoustic Emission and Microseismic Monitoring. Int. J. Rock Mech. Min. Sci. 2020, 132, 104384. [Google Scholar] [CrossRef]
- Wang, J.; Zhang, C.; Fu, J.; Song, W.; Zhang, Y. The Energy Dissipation Mechanism and Damage Constitutive Model of Roof–CPB–Floor (RCF) Layered Composite Materials. Minerals 2022, 12, 419. [Google Scholar] [CrossRef]
- Hou, Z.; Xiao, F.; Liu, G.; Bashkov, O.V.; Lyu, L. Mechanical Properties and Acoustic Emission Characteristics of Unloading Instability of Sandstone under High Stress. Minerals 2022, 12, 722. [Google Scholar] [CrossRef]
- Zhao, K.; Wu, W.; Zeng, P.; Gong, C. Study on the Characteristics of Acoustic Emission Quiet Period in Rocks with Different Elastic Modulus. Minerals 2022, 12, 956. [Google Scholar] [CrossRef]
- Přikryl, R.; Lokajíček, T.; Li, C.; Rudajev, V. Acoustic Emission Characteristics and Failure of Uniaxially Stressed Granitic Rocks: The Effect of Rock Fabric. Rock Mech. Rock Eng. 2003, 36, 255–270. [Google Scholar] [CrossRef]
- Kim, J.S.; Lee, K.S.; Cho, W.J.; Choi, H.J.; Cho, G.C. A Comparative Evaluation of Stress–Strain and Acoustic Emission Methods for Quantitative Damage Assessments of Brittle Rock. Rock Mech. Rock Eng. 2015, 48, 495–508. [Google Scholar] [CrossRef]
- Lee, J.W.; Oh, T.M.; Kim, H.; Kim, M.; SONG, K. Analysis of acoustic emission parameters according to failure of rock specimens. J. Korean Tunn. Undergr. Space Assoc. 2019, 21, 657–673. [Google Scholar]
- Kim, J.S.; Kim, G.Y.; Baik, M.H.; Finsterle, S.; Cho, G.C. A new approach for quantitative damage assessment of in-situ rock mass by acoustic emission. Geomech. Eng. 2019, 18, 11–20. [Google Scholar]
- Ganne, P.; Vervoort, A.; Wevers, M. Quantification of pre-peak brittle damage: Correlation between acoustic emission and observed micro-fracturing. Int. J. Rock Mech. Min. Sci. 2007, 44, 720–729. [Google Scholar] [CrossRef]
- Rodríguez, P.; Arab, P.B.; Celestino, T.B. Characterization of Rock Cracking Patterns in Diametral Compression Tests by Acoustic Emission and Petrographic Analysis. Int. J. Rock Mech. Min. Sci. 2016, 83, 73–85. [Google Scholar] [CrossRef]
- Tian, Y.; Yu, R.; Zhang, Y.; Zhao, X. Research on Damage Evolution of Deep Formation Rock Based on Acoustic Emission Test. Int. J. Damage Mech. 2021, 30, 145–159. [Google Scholar] [CrossRef]
- Xue, J.; Wang, S.; Yang, Q.; Du, Y.; Hou, Z. Study on Damage Characteristics of Deep Coal Based on Loading Rate Effect. Minerals 2022, 12, 402. [Google Scholar] [CrossRef]
- Girard, L.; Beutel, J.; Gruber, S.; Hunziker, J.; Lim, R.; Weber, S. A custom acoustic emission monitoring system for harsh environments: Application to freezing-induced damage in alpine rock walls. Geosci. Instrum. Methods Data Syst. 2012, 1, 155–167. [Google Scholar] [CrossRef]
- Moradian, Z.A.; Ballivy, G.; Rivard, P. Correlating acoustic emission sources with damaged zones during direct shear test of rock joints. Can. Geotech. J. 2012, 49, 710–718. [Google Scholar] [CrossRef]
- Zhang, Z.; Li, S.; Wang, E.; Liu, X.; Zhang, Y. Research on the Damage Evolution Characteristics of Coal Based on Cluster Analysis of Temporal-Spatial Dimension of Acoustic Emission Events. Yanshilixue Yu Gongcheng Xuebao/Chin. J. Rock Mech. Eng. 2020, 39, 3338–3347. [Google Scholar]
- Miao, S.J. Analysis and Prevention Technology of Rock Burst Tendency in Deep Hard Rock Mining; Metallurgical Industry Press: BeiJing, China, 2016. [Google Scholar]
- Zeng, Q. Analysis of Acoustic Emission Parameters of Limestone with Different Rock Burst Tendencies and Research on Fracture Characteristics. Master’s Thesis, Jiangxi University of Science and Technology, Ganzhou, China, 2021. [Google Scholar]
- Wang, X.; Zhang, H.; Chen, Q.; Zeng, Q.; Liu, J. Acoustic Emission Characteristics and Damage Model of Limestone Loading with Different Rockburst Tendencies. Chin. J. Rock Mech. Eng. 2022, 41, 1373–1383. [Google Scholar]
- Martin, C.D. The progressive fracture of Lac du Bonnet granite. Int. J. Rock Mech. Min. Sci. Geomech. Abstr. 1994, 31, 643–659. [Google Scholar] [CrossRef]
- Ishida, T.; Kanagawa, T.; Kanaori, Y. Source Distribution of Acoustic Emissions during an In-Situ Direct Shear Test: Im-plications for an Analog Model of Seismogenic Faulting in an Inhomogeneous Rock Mass. Eng. Geol. 2010, 110, 66–76. [Google Scholar] [CrossRef]
- Jiang, Z.; Li, Q.; Hu, Q.; Liang, Y.; Xu, Y.; Liu, L.; Wu, X.; Li, X.; Wang, X.; Hu, L.; et al. Acoustic Emission Characteristics in Hydraulic Fracturing of Stratified Rocks: A Laboratory Study. Powder Technol. 2020, 371, 267–276. [Google Scholar] [CrossRef]
- Oh, T.M.; Kim, M.K.; Lee, J.W.; Kim, H.; Kim, M.J. Experimental Investigation on Effective Distances of Acoustic Emission in Concrete Structures. Appl. Sci. 2020, 10, 6051. [Google Scholar] [CrossRef]
- Munoz-Ibanez, A.; Delgado-Martin, J.; Grande-Garcia, E. Acoustic emission processes occurring during high-pressure sand compaction. Geophys. Prospect. 2019, 67, 761–783. [Google Scholar] [CrossRef]
- Ospitia, N.; Hardy, A.; Si Larbi, A.; Aggelis, D.G.; Tsangouri, E. Size Effect on the Acoustic Emission Behavior of Textile-Reinforced Cement Composites. Appl. Sci. 2021, 11, 5425. [Google Scholar] [CrossRef]
- Yang, J.; Mu, Z.L.; Yang, S.Q. Experimental Study of Acoustic Emission Multi-Parameter Information Characterizing Rock Crack Development. Eng. Fract. Mech. 2020, 232, 107045. [Google Scholar] [CrossRef]
- Wu, Y.; Peng, K.; Zou, Q.; Long, K.; Wang, Y. Tensile Properties and Damage Evolution Laws of Granite After High- and Low-Temperature Cycles. Nat. Resour. Res. 2022, 31, 1289–1306. [Google Scholar] [CrossRef]
- Tang, C.; Xu, X. Evolution and propagation of material defects and kaiser effect function. J. Seismol. Res. 1990, 13, 203–213. [Google Scholar]
- Maystrel, D.; Rossi, J.P. Implementation of a Rigorous Vector Theory of Speckle for Two-Dimensional Microrough Surfaces. J. Opt. Soc. Am. A 1986, 3, 1276–1282. [Google Scholar] [CrossRef]
- Sun, H.; Liu, X.L.; Zhu, J.B. Correlational fractal characterisation of stress and acoustic emission during coal and rock failure under multilevel dynamic loading. Int. J. Rock Mech. Min. Sci. 2019, 117, 1–10. [Google Scholar] [CrossRef]
- Grassberger, P.; Procaccia, I. Characterization of Strange Attractors. Phys. Rev. Lett. 1983, 50, 346–349. [Google Scholar] [CrossRef]
- Ji, H. Research and Application of Acoustic Emission Performance of Concrete Materials; China Coal Industry Publishing House: Beijing, China, 2004. [Google Scholar]
- Du, X.; Xue, J.; Ma, Q.; Chen, Z.; Zhan, K. Energy Evolution Characteristics of Coal–Rock Composite Bodies Based on Unidirectional Load. Nat. Resour. Res. 2022, 31, 1647–1663. [Google Scholar] [CrossRef]
- Zhang, W.Q.; Mu, C.M.; Xu, D.K.; Li, Z.Q. Energy Action Mechanism of Coal and Gas Outburst Induced by Rockburst. Shock Vib. 2021, 2021, 5553914. [Google Scholar] [CrossRef]
- Gong, F.Q.; Ni, Y.X.; Ren, L. Effects of Loading Rate on Rockburst Proneness of Granite from Energy Storage and Surplus Perspectives. Rock Mech. Rock Eng. 2022, 55, 6495–6516. [Google Scholar] [CrossRef]















| Depth/m | Elastic Modulus/GPa | Uniaxial Compressive Strength/MPa | Porosity/% |
|---|---|---|---|
| 600 | 24.09 | 70.80 | 1.148 |
| 700 | 40.52 | 104.18 | 1.096 |
| 800 | 40.68 | 116.03 | 1.111 |
| 900 | 40.83 | 116.95 | 0.940 |
| 1000 | 45.39 | 130.93 | 0.919 |
| Depth/m | ΦE/MJ | ΦV/MJ | WET | Rockburst Tendency |
|---|---|---|---|---|
| 600 | 84.364 | 62.212 | 1.356 | None |
| 600 | 55.912 | 50.441 | 1.108 | None |
| 700 | 54.042 | 24.112 | 2.241 | Weak |
| 700 | 88.145 | 43.141 | 2.043 | Weak |
| 800 | 85.678 | 37.124 | 2.308 | Weak |
| 800 | 95.854 | 35.240 | 2.436 | Weak |
| 900 | 96.488 | 25.483 | 3.786 | Medium |
| 900 | 162.314 | 41.258 | 3.910 | Medium |
| 1000 | 161.224 | 31.356 | 5.193 | Strong |
| 1000 | 324.216 | 63.910 | 5.35 | Strong |
| Depth/m | Total Deformation/10−3 | Permanent Deformation/10−3 | Deformation Brittleness Index/Kε | Rockburst Tendency |
|---|---|---|---|---|
| 600 | 7.82 | 4.32 | 1.81 | None |
| 4.65 | 1.85 | 2.43 | Weak | |
| 700 | 3.35 | 0.90 | 3.72 | Weak |
| 6.45 | 2.45 | 2.63 | Weak | |
| 800 | 5.08 | 1.64 | 3.10 | Weak |
| 6.00 | 1.48 | 4.05 | Weak | |
| 900 | 5.07 | 1.02 | 4.97 | Weak |
| 6.44 | 1.01 | 6.38 | Medium | |
| 1000 | 4.08 | 0.42 | 9.71 | Strong |
| 5.13 | 0.81 | 6.33 | Medium |
| Depth/m | Average Unloading Tangent Modulus/GPa | Linear Elastic Property/kJ/m3 | Rockburst Tendency |
|---|---|---|---|
| 600 | 48.054 | 69.963 | Weak |
| 700 | 46.831 | 115.471 | Medium |
| 800 | 45.899 | 141.202 | Medium |
| 900 | 38.584 | 175.879 | Medium |
| 1000 | 38.223 | 222.774 | Strong |
| Depth/m | Rockburst Tendency Criterion | |||
|---|---|---|---|---|
| Elastic Energy Index | Deformation Brittleness Index | Linear Elastic Property | Comprehensive Rockburst Tendency | |
| 600 | None | None | Weak | None |
| 700 | Weak | Weak | Weak | Weak |
| 800 | Weak | Weak | Medium | Weak |
| 900 | Medium | Medium | Medium | Medium |
| 1000 | Strong | Strong | Strong | Strong |
| Variation Coefficients | Limestone with Different Rockburst Tendencies | |||
|---|---|---|---|---|
| None | Weak | Medium | Strong | |
| CV(s) | 0.263 | 0.372 | 0.483 | 0.296 |
| CV(z) | 0.303 | 0.550 | 0.597 | 0.349 |
| CV(n) | 0.911 | 0.521 | 0.294 | 0.263 |
Publisher’s Note: MDPI stays neutral with regard to jurisdictional claims in published maps and institutional affiliations. |
© 2022 by the authors. Licensee MDPI, Basel, Switzerland. This article is an open access article distributed under the terms and conditions of the Creative Commons Attribution (CC BY) license (https://creativecommons.org/licenses/by/4.0/).
Share and Cite
Zhang, H.; Chen, Q.; Wang, X.; Zhao, K.; Zeng, Q. Acoustic Emission Parameter Characterization of Damage Process of the Limestone with Different Rockburst Tendencies. Minerals 2022, 12, 1423. https://doi.org/10.3390/min12111423
Zhang H, Chen Q, Wang X, Zhao K, Zeng Q. Acoustic Emission Parameter Characterization of Damage Process of the Limestone with Different Rockburst Tendencies. Minerals. 2022; 12(11):1423. https://doi.org/10.3390/min12111423
Chicago/Turabian StyleZhang, He, Qinglin Chen, Xiaojun Wang, Kui Zhao, and Qiang Zeng. 2022. "Acoustic Emission Parameter Characterization of Damage Process of the Limestone with Different Rockburst Tendencies" Minerals 12, no. 11: 1423. https://doi.org/10.3390/min12111423
APA StyleZhang, H., Chen, Q., Wang, X., Zhao, K., & Zeng, Q. (2022). Acoustic Emission Parameter Characterization of Damage Process of the Limestone with Different Rockburst Tendencies. Minerals, 12(11), 1423. https://doi.org/10.3390/min12111423
