Provenance of Heavy Minerals: A Case Study from the WNW Portuguese Continental Margin
Abstract
1. Introduction
“Thus, we live in a universe primed for complexification: hydrogen atoms form stars, stars form the elements of the periodic table, those elements form planets, which in turn form minerals abundantly. Minerals catalyze the formation of biomolecules, which on Earth led to life. In this sweeping scenario, minerals represent but one inexorable step in the evolution of a cosmos that is learning to know itself.”[1] (p.58)
2. Geological Setting
3. Materials and Methods
4. Results
4.1. Sediment Texture (Mean and Sorting)
4.2. Heavy Minerals Analysis
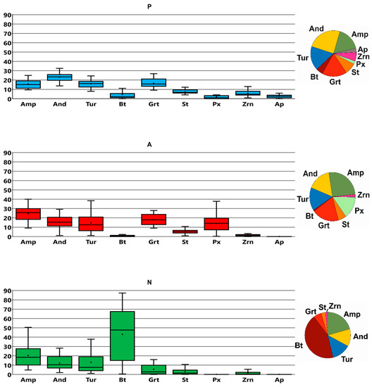
4.3. Main Heavy Minerals (Porto, Aveiro, and Nazaré Areas)
4.4. Principal Component Analysis
4.5. Microprobe Analysis (Garnet, Amphibole, Pyroxene, and Olivine Mineral Groups)
4.5.1. Garnet Group
4.5.2. Amphibole Group
4.5.3. Pyroxene Group
4.5.4. Olivine Group
4.6. Mineral Grain Surface Morphologies
5. Discussion
5.1. Heavy Mineral Sources
5.2. The Nazaré Canyon Area
5.3. The Meaning of the PCA Results
5.4. The Interpretation of the Heavy Mineral Grain Surface Morphologies
5.5. Heavy Mineral Source Synthesis
6. Conclusions
Supplementary Materials
Funding
Acknowledgments
Conflicts of Interest
References
- Hazen, R.M. Evolution of minerals. Sci. Am. 2010, 302, 58–65. [Google Scholar] [CrossRef] [PubMed]
- Morton, A.C.; Hallsworth, C.R. Processes controlling the composition of heavy minerals assemblages in sandstones. Sediment. Geol. 1999, 124, 3–29. [Google Scholar] [CrossRef]
- Mange-Rajetzky, M.A. Sediment dispersal from source to shelf on an active continental margin, S. Turkey. Mar. Geol. 1983, 52, 1–26. [Google Scholar] [CrossRef]
- Clemens, K.E.; Komar, P.D. Tracers of Sand Movement on the Oregon Coast. In Coastal Engineering; M.ASCE: Reston, VA, USA, 1998; pp. 1338–1351. [Google Scholar]
- Komar, P.D. The Entrainment, Transport and Sorting of Heavy Minerals by Waves and Currents. In Developments in Sedimentology, 1st ed.; Mange, M.A., Wright, D.T., Eds.; Elsevier: Amsterdam, The Netherlands, 2007; Volume 58, pp. 3–48. [Google Scholar]
- Garzanti, E.; Vermeesch, P.; Andò, S.; Lustrino, M.; Padoan, M.; Vezzoli, G. Ultra-long distance littoral transport of Orange sand and provenance of the Skeleton Coast Erg (Namibia). Mar. Geol. 2014, 357, 25–36. [Google Scholar] [CrossRef]
- Emery, K.O. Continental shelf sediments of southern California. Geol. Soc. Am. Bull. 1952, 63, 1105–1108. [Google Scholar] [CrossRef]
- Swift, D.J.; Stanley, D.J.; Curray, J.R. Relict sediments on continental shelves: A reconsideration. J. Geol. 1971, 79, 322–346. [Google Scholar] [CrossRef]
- Cascalho, J.P. Minerais Pesados: Aplicação ao Estudo da Dinâmica Sedimentar da Plataforma Continental Setentrional Portuguesa. Master’s Thesis, Lisbon University, Lisbon, Portugal, 1993; 140p. [Google Scholar]
- Cascalho, J. Mineralogia dos Sedimentos Arenosos da Margem Continental Setentrional Portuguesa. Ph.D. Thesis, Lisbon University, Lisbon, Portugal, 2000; 400p. [Google Scholar]
- Ribeiro, M. Dinâmica Sedimentar da Cabeceira do Canhão Submarino da Nazaré; Scientific Report; Lisbon University: Lisbon, Portugal, 2008; 77p. [Google Scholar]
- Cascalho, J.; Fradique, C. The Sources and Hydraulic Sorting of Heavy Minerals on the Northern Portuguese Continental Margin. In Developments in Sedimentology, 1st ed.; Mange, M.A., Wright, D.T., Eds.; Elsevier: Amsterdam, The Netherlands, 2007; Volume 58, pp. 75–110. [Google Scholar]
- Rodrigues, A. Tectono-Estartigrafia da Plataforma Continental Setentrional Portuguesa. Ph.D. Thesis, Lisbon University, Lisbon, Portugal, 2001. [Google Scholar]
- Duarte, J.F. Distribuição Espacial dos Sedimentos do Canhão da Nazaré e Plataforma Adjacente. In Proceedings of the Assembleia Luso-Espanhola de Geodesia e Geofísica, Valência, Spain, 4–8 February 2002; Garcia, F.G., Valero, J.L.B., Eds.; Volume Tomo III, pp. 1162–1666. [Google Scholar]
- De Stigter, H.C.; Boer, W.; de Jesus Mendes, P.A.; Jesus, C.C.; Thomsen, L.; van den Bergh, G.D.; van Weering, T.C. Recent sediment transport and deposition in the Nazaré Canyon, Portuguese continental margin. Mar. Geol. 2007, 246, 144–164. [Google Scholar] [CrossRef]
- Oliveira, A.; Santos, A.I.; Rodrigues, A.; Vitorino, J. Sedimentary particle distribution and dynamics on the Nazaré canyon system and adjacent shelf (Portugal). Mar. Geol. 2007, 246, 105–122. [Google Scholar] [CrossRef]
- Guerreiro, C.; Oliveira, A.; Rodrigues, A. Shelf-break canyons versus “Gouf” canyons: A comparative study based on the silt-clay mineralogy of bottom sediments from Oporto, Aveiro and Nazaré submarine canyons (NW off Portugal). J. Coast. Res. 2009, SI 56, 722–726. [Google Scholar]
- Vanney, J.R.; Mougenot, D. La Plate-Forme Continentale du Portugal et les Provinces Adjacentes: Analyse Geomorphologique. Mem. Serv. Geo. Portugal. 1981, 28, 86. [Google Scholar]
- Magalhães, F. A Cobertura Sedimentar da Plataforma Continental Portuguesa. Distribuição Espacial. Contrastes Temporais. Potencialidades Económicas. Ph.D. Thesis, Lisbon University, Lisbon, Portugal, 1999. [Google Scholar]
- Pombo, J. Sedimentos Superficiais da Plataforma Continental Portuguesa Entre o Cabo Mondego e S. Martinho do Porto. Master’s Thesis, Coimbra University, Coimbra, Portugal, 2004. [Google Scholar]
- Rodríguez Fernández, L.R.; López Olmedo, F.; Oliveira, J.T.; Medialdea, T.; Terrinha, P.; Matas, J.; Martín-Serrano, A.; Martín Parra, L.M.; Rubio, F.; Marín, C.; et al. Mapa Geológico de la Península Ibérica, Baleares y Canarias a escala 1: 1.000. 000; IGME: Madrid, Spain, 2015. [Google Scholar]
- Carvalho, G. Les Minéraux Lourds et la Paléogéographie des Dépôts Pliocènes du Portugal (Région Entre Vouga et Mondego); Museu e Laboratório Mineralógico e Geológico Centro de Estudos Geológicos: Coimbra, Portugal, 1954; Volume 37, pp. 61–64. Available online: http://hdl.handle.net/10316.2/38022 (accessed on 28 May 2019).
- Teixeira, C. Notícia explicativa da folha 1-A (Valença) da Carta Geológica de Portugal na escala 1:50 000; Serviços Geológicos de Portugal: Lisboa, Portugal, 1956; 16p.
- Costa, C.J.; Teixeira, C. Notícia explicativa da folha 5-A (Viana do Castelo) da Carta Geológica de Portugal na escala 1:50 000; Serviços Geológicos de Portugal: Lisboa, Portugal, 1957; 38p.
- Teixeira, C.; Assunção, C.T. Notícia explicativa da folha 1-C (Caminha) da Carta Geológica de Portugal na escala 1:50 000; Serviços Geológicos de Portugal: Lisboa, Portugal, 1961; 41p.
- Teixeira, C.; Medeiros, A.C.; Assunção, C.T. Notícia explicativa da folha 9-A (Póvoa de Varzim) da Carta Geológica de Portugal na escala 1:50 000; Serviços Geológicos de Portugal: Lisboa, Portugal, 1965; 50p.
- Teixeira, C.; Medeiros, A.C.; Alves, C.A.M.; Moreira, M.M. Notícia explicativa da folha 5-C (Barcelos) da Carta Geológica de Portugal na escala 1:50 000; Serviços Geológicos de Portugal: Lisboa, Portugal, 1969; 49p.
- Teixeira, C.; Medeiros, A.C.; Coelho, A.P. Notícia explicativa da folha 5-A (Viana do Castelo) da Carta Geológica de Portugal na escala 1:50 000; Serviços Geológicos de Portugal: Lisboa, Portugal, 1972; 43p.
- Ribeiro, A.; Antunes, M.T.; Ferreira, M.P.; Rocha, R.B.; Soares, A.F.; Zbyszewski, G.; Almeida, F.M.; Carvalho, D.; Monteiro, J.H. Introduction à la Géologie Générale du Portugal; Serviços Geológicos de Portugal: Lisboa, Portugal, 1979.
- Noronha, F.; Leterrier, J. Complexo Metamórfico da Foz do Douro. Geoquímica e Geocronologia. Resultados Preliminares. Mem. n. 4; Museu e Laboratório Mineralógico e Geológico da Faculdade de Ciências da Universidade do Porto: Porto, Portugal, 1995; pp. 769–774. [Google Scholar]
- Dinis, P.A.; Soares, A.F. Stable and ultrastable heavy minerals of alluvial to nearshore marine sediments from Central Portugal: Facies related trends. Sediment. Geol. 2007, 201, 1–20. [Google Scholar] [CrossRef]
- Fradique, C.; Cascalho, J. Sedimentary processes in Douro Estuary (Portugal). A heavy mineral study. Thalassas 2004, 20, 61–68. [Google Scholar]
- Fradique, C.; Cascalho, J.; Drago, T.; Rocha, F.; Silveira, T. The meaning of heavy minerals in the recent sedimentary record of the Douro estuary (Portugal). J. Coast. Res. 2006, SI 39, 165–169. [Google Scholar]
- Fradique, C.; Cascalho, J.; Drago, T. Translucent heavy minerals from the Minho Estuary sedimentary record. In Proceedings of the Costal Hope Conference, Lisbon, Portugal, 24–29 July 2005; Freitas, M.D., Drago, T., Eds.; Faculdade de Ciências da Universidade de Lisboa: Lisboa, Portugal, 2005; pp. 62–63. [Google Scholar]
- McManus, J. Grain size determination and interpretation. In Techniques in Sedimentology, 1st ed.; Tucker, M., Ed.; Blackell Science: Oxford, UK, 1988; Volume 3, pp. 63–85. ISBN 0-632-01361-3. [Google Scholar]
- Galehouse, J.S. Counting grain mounts; number percentage vs. number frequency. J. Sediment. Res. 1969, 39, 812–815. [Google Scholar] [CrossRef]
- Davis, J.C. Statistics and Data Analysis in Geology; John Wiley & Sons: New York, NY, USA, 1986; 646p. [Google Scholar]
- Morton, A.C. A new approach to provenance studies: Electron microprobe analysis of detrital garnets from Middle Jurassic sandstones of the northern North Sea. Sedimentology 1985, 32, 553–566. [Google Scholar] [CrossRef]
- Haughton, P.D.W.; Farrow, C.M. Compositional variation in Lower Old Red Sandstone detrital garnets from the Midland valley of Scotland and the Anglo-Welsh Basin. Geol. Mag. 1989, 126, 373–396. [Google Scholar] [CrossRef]
- Morton, A.; Hallsworth, C.; Chalton, B. Garnet compositions in Scottish and Norwegian basement terrains: A framework for interpretation of North Sea sandstone provenance. Mar. Pet. Geol. 2004, 21, 393–410. [Google Scholar] [CrossRef]
- Mange, M.A.; Morton, A.C. Geochemistry of heavy minerals. In Developments in Sedimentology, 1st ed.; Mange, M.A., Wright, D.T., Eds.; Elsevier: Amsterdam, The Netherlands, 2007; Volume 58, pp. 345–391. [Google Scholar]
- Suggate, S.M.; Hall, R. Using detrital garnet compositions to determine provenance: A new compositional database and procedure. Geol. Soc. Lond. Spec. Publ. 2014, 386, 373–393. [Google Scholar] [CrossRef]
- Locock, A.J. An Excel spreadsheet to recast analyses of garnet into end-member components, and a synopsis of the crystal chemistry of natural silicate garnets. Comput. Geosci. 2008, 34, 1769–1780. [Google Scholar] [CrossRef]
- Locock, A.J. An Excel spreadsheet to classify chemical analyses of amphiboles following the IMA 2012 recommendations. Comput. Geosci. 2014, 62, 1–11. [Google Scholar] [CrossRef]
- Hawthorne, F.C.; Oberti, R.; Harlow, G.E.; Maresch, W.V.; Martin, R.F.; Schumacher, J.C.; Welch, M.D. Nomenclature of the amphibole supergroup. Am. Mineral. 2012, 97, 2031–2048. [Google Scholar] [CrossRef]
- Leake, B.E.; Woolley, A.R.; Arps, C.E.; Birch, W.D.; Gilbert, M.C.; Grice, J.D.; Hawthorne, F.C.; Kato, A.; Kisch, H.J.; Krivovichev, V.G.; et al. Nomenclature of amphiboles; report of the Subcommittee on Amphiboles of the International Mineralogical Association Commission on new minerals and mineral names. Miner. Mag. 1997, 61, 295–310. [Google Scholar] [CrossRef]
- GabbroSoft. 2011. Available online: http://www.gabbrosoft.org/ (accessed on 29 May 2019).
- Morimoto, N. Nomenclature of pyroxenes. Mineral. Petrol. 1988, 39, 55–76. [Google Scholar] [CrossRef]
- Mange, M.A.; Maurer, H. Heavy Minerals in Colour, 1st ed.; Chapman: California, CA, USA, 1992; 147p. [Google Scholar]
- Andò, S.; Garzanti, E.; Padoan, M.; Limonta, M. Corrosion of heavy minerals during weathering and diagenesis: A catalog for optical analysis. Sediment. Geol. 2012, 280, 165–178. [Google Scholar] [CrossRef]
- Sousa, M.B. Skarns e rochas calco-silicatadas do Complexo xisto-grauváquico do Douro (NE de Portugal)—seu enquadramento litoestratigráfico. Com. Serv. Geol. Port. 1981, 67, 169–172. [Google Scholar]
- Coelho, J.M.D. Os” Skarns” Cálcicos, Pós-Magmáticos, Mineralizados em Scheelite do Distrito Mineiro de Covas, VN de Cerveira, (Norte de Portugal). Ph.D. Thesis, Porto University, Porto, Portugal, 1990; 345p. Available online: http://hdl.handle.net/10216/10227 (accessed on 20 May 2019).
- Gomes, G.L. Spatial simulation of the W-Sn ore Grades of São Pedro das Águias Skarn Mineral Deposit (Tabuaço, Northern Portugal). Ph.D. Thesis, Porto University, Porto, Portugal, 2016; 102p. Available online: https://run.unl.pt/handle/10362/18446 (accessed on 20 May 2019).
- Niida, K. Kaersutite, Ti-pargasite, and pargasite from gabbroic rock of the Horoman ultramafic massif, Japan. J. Jpn. Assoc. Mineral. Petrol. Econ. Geol. 1977, 72, 152–161. [Google Scholar] [CrossRef]
- Deer, W.A.; Howie, R.A.; Zussman, J. An Introduction to the Rock-Forming Minerals, 2nd ed.; Prentice Hall: Harlow, UK, 1992; 558p. [Google Scholar]
- Cascalho, J.; Carvalho, A.M.G. Proveniência dos minerais pesados da plataforma continental portuguesa a norte do paralelo de Espinho. Gaia 1993, 6, 10–25. [Google Scholar]
- Rodrigues, A.; Cascalho, J.; Ribeiro, A.; Dias, J.M.A. Evidências de actividade vulcânica nas cabeceiras do canhão submarino do Porto. Memórias n. 4; Museu e Laboratório Mineralógico e Geológico da Faculdade de Ciências da Universidade do Porto: Porto, Portugal, 1995; pp. 305–309. [Google Scholar]
- Meinert, L.D. Skarns and skarn deposits. Geol. Can. 1992, 19, 145–162. [Google Scholar]
- Mazurov, M.P.; Grishina, S.N.; Istomin, V.E.; Titov, A.T. Metasomatism and ore formation at contacts of dolerite with saliferous rocks in the sedimentary cover of the southern Siberian platform. Geol. Ore Dep. 2007, 49, 271–284. [Google Scholar] [CrossRef]
- Mazurov, M.P.; Grishina, S.N.; Titov, A.T.; Shikhova, A.V. Evolution of Ore-Forming Metasomatic Processes at Large Skarn Iron Deposits Related to the Traps of the Siberian Platform. Petrology 2018, 26, 265–279. [Google Scholar] [CrossRef]
- Gallien, F.; Abart, R.; Wyhlidal, S. Contact metamorphism and selective metasomatism of the layered Bellerophon Formation in the eastern Monzoni contact aureole, northern Italy. Mineral. Petrol. 2007, 91, 25–53. [Google Scholar] [CrossRef]
- Garzanti, E.; Andò, S.; Vezzoli, G. Settling equivalence of detrital minerals and grain-size dependence of sediment composition. Earth Plane. Sci. Lett. 2008, 273, 138–151. [Google Scholar] [CrossRef]
- Dias, J.M.A.; Nittrouer, C.A. Continental shelf sediments of northern Portugal. Cont. Shelf Res. 1984, 3, 147–165. [Google Scholar] [CrossRef]
- Quaresma, L.S.; Vitorino, J.; Oliveira, A.; da Silva, J. Evidence of sediment resuspension by nonlinear internal waves on the western Portuguese mid-shelf. Mar. Geol. 2007, 246, 123–143. [Google Scholar] [CrossRef]
- Neiheisel, J. Source and distribution of sediments at Brunswick Harbour and vicinity, Georgia. U.S. Army Coastal Engineering. Cent. Tech. Memo. 1965, 12, 21. [Google Scholar]
- Pomerancblum, M. The distribution of heavy minerals and their hydraulic equivalence in sediments of the Mediterranean continental slope of Israel. J. Sediment. Res. 1966, 36, 162–174. [Google Scholar] [CrossRef]
- Doyle, L.J.; Clearly, W.J.; Pilkey, O.H. Mica: Its use in determining shelf depositional regimes. Mar. Geol. 1968, 6, 381–389. [Google Scholar] [CrossRef]
- Doyle, L.J.; Carder, K.L.; Steward, R.G. The hydraulic equivalence of mica. J. Sediment. Res. 1983, 53, 643–648. [Google Scholar] [CrossRef]
- Adegoke, O.S.; Stanley, D.J. Mica and shell as indicators of energy level and depositional regime on the Nigerian shelf. Mar. Geol. 1972, 13, M61–M66. [Google Scholar] [CrossRef]
- Kuenen, P.H. Experimental abrasion: 6. surf action. Sedimentology 1964, 3, 29–43. [Google Scholar] [CrossRef]
- Rodrigues, A.; Magalhães, F.; Dias, J.A. Evolution of the North Portuguese coast in the last 18,000 years. Quat. Int. 1991, 9, 67–74. [Google Scholar] [CrossRef]
- Dias, J.M.A.; Boski, T.; Rodrigues, A.; Magalhães, F. Coast line evolution in Portugal since the Last Glacial Maximum until present—A synthesis. Mar. Geol. 2000, 170, 177–186. [Google Scholar] [CrossRef]























| Source Rocks | Location (River Basin) | Heavy Minerals |
|---|---|---|
| Granites | Outcropping in the six Portuguese northern river basins (from Minho to Mondego). Main outcrops are present in Minho, Lima, Ave and Cávado river basins. | Biotite, tourmaline, apatite, zircon, rutile, amphibole and iron, titanium oxides, and occasionally garnet. |
| Micaschists, gneisses and migmatites | Outcropping in the SW limit of Douro basin (Douro River mouth) and near the coastal zone south of the Douro river. | Biotite, garnet, sillimanite, apatite, and zircon. |
| Amphibolites and amphibolitic schists | Outcropping in the SW limit of Douro basin (Douro River mouth) and near the coastal zone south of the Douro river. | Amphibole (abundant), Apatite (accessory). |
| Porphyroblastic schists | Outcropping in the SW limit of Douro basin and in the littoral south of the Douro river. | Garnet, staurolite and biotite (abundant), zircon, tourmaline, apatite, sillimanite and magnetite (accessories). |
| Schist-greywacke complex | Outcropping mainly in the Douro and Mondego River basins. | Andalusite, garnet and staurolite (abundant in some schists and greywackes. Kyanite occasionally present. |
| Schists, greywacke, quartzites, hornfels and meatasediments | Outcropping mainly north of the Douro river, and present in all river basins. There are several important outcrops which are crossed by the Minho, Lima, and Mondego rivers | Biotite, andalusite in hornfels. Garnet and andalusite in schists. Apatite, tourmaline, silimanite, amphibole, pyrite, ilmenite and zircon are also present. |
| West Iberian Meso-Cenozoic borderland | Outcropping mainly on the Mondego, Vouga, Lis, Alcoa, and Tornada river basins. | Tourmaline, zircon and andalusite in Cretaceous formations. Andalusite, tourmaline, biotite, staurolite and zircon in Pliocene/Pleistocene deposits. |
| Canyon | # | Mean (Average) | Mean (Maximum) | Mean (Minimum) | Sorting (Average) | Sorting (Maximum) | Sorting (Minimum) |
|---|---|---|---|---|---|---|---|
| Porto | 30 | 2.26 | 5.24 | 1.12 | 2.01 | 3.24 | 0.82 |
| Aveiro | 26 | 2.08 | 3.65 | 0.70 | 1.88 | 2.76 | 0.81 |
| Nazaré | 22 | 3.96 | 6.28 | −0.25 | 1.58 | 3.03 | 0.43 |
| Porto | Aveiro | Nazaré | |||||||
|---|---|---|---|---|---|---|---|---|---|
| HM | Mean | Max. | Min. | Mean | Max. | Min. | Mean | Max. | Min. |
| Amp | 15.8 | 24.9 | 9.5 | 24.6 | 40.1 | 9.1 | 20.3 | 50.5 | 4.8 |
| And | 23.1 | 46.7 | 13.7 | 15.5 | 29.2 | 1.0 | 12.2 | 28.2 | 1.9 |
| Tur | 16.0 | 24.4 | 7.9 | 14.5 | 38.5 | 1.0 | 13.1 | 42.3 | 1.1 |
| Bt | 4.6 | 31.3 | 0.0 | 0.8 | 5.2 | 0.0 | 43.0 | 87.3 | 0.5 |
| Grt | 16.6 | 26.9 | 1.1 | 18.1 | 27.9 | 9.0 | 5.6 | 27.4 | 0.0 |
| St | 7.5 | 12.4 | 4.1 | 5.3 | 10.7 | 0.9 | 3.0 | 10.7 | 0.0 |
| Px | 2.1 | 10.3 | 0.0 | 14.0 | 37.8 | 0.2 | 0.0 | 0.0 | 0.0 |
| Zrn | 5.9 | 13.0 | 0.9 | 1.7 | 5.6 | 0.0 | 1.5 | 10.0 | 0.0 |
| Ap | 2.7 | 8.8 | 0.0 | 0.0 | 0.3 | 0.0 | 0.1 | 1.1 | 0.0 |
| Rt | 1.4 | 4.1 | 0.0 | 0.7 | 2.3 | 0.0 | 0.2 | 1.7 | 0.0 |
| Ky | 1.1 | 2.4 | 0.0 | 0.5 | 2.4 | 0.0 | 0.3 | 0.9 | 0.0 |
| Ol | 0.4 | 3.0 | 0.0 | 1.2 | 3.8 | 0.0 | 0.0 | 0.5 | 0.0 |
| Mnz | 0.9 | 3.8 | 0.0 | 0.5 | 1.9 | 0.0 | 0.2 | 0.9 | 0.0 |
| Ep | 0.5 | 1.5 | 0.0 | 0.7 | 3.5 | 0.0 | 0.1 | 0.9 | 0.0 |
| Ttn | 0.7 | 2.5 | 0.0 | 0.2 | 1.0 | 0.0 | 0.2 | 1.1 | 0.0 |
| Ant | 0.3 | 1.8 | 0.0 | 0.7 | 2.7 | 0.0 | 0.1 | 0.8 | 0.0 |
| Sil | 0.3 | 1.9 | 0.0 | 0.3 | 1.4 | 0.0 | 0.2 | 1.1 | 0.0 |
| Brk | 0.1 | 0.8 | 0.0 | 0.5 | 1.7 | 0.0 | 0.0 | 0.5 | 0.0 |
| HMwt | 0.7 | 6.7 | 0.0 | 0.1 | 0.3 | 0.0 | 0.5 | 2.8 | 0.0 |
| Component | Eigenvalue | Variance (%) |
|---|---|---|
| 1 | 3.98 | 44.25 |
| 2 | 1.84 | 20.39 |
| 3 | 0.97 | 10.74 |
| 4 | 0.76 | 8.46 |
| 5 | 0.49 | 5.40 |
| 6 | 0.38 | 4.24 |
| 7 | 0.28 | 3.14 |
| 8 | 0.19 | 2.09 |
| 9 | 0.12 | 1.29 |
| Amphibole | Typical Primary Sources | Sample Set |
|---|---|---|
| Mhb | amphibolite, schist | 1st; 2nd |
| Act | metamorphized carbonate rocks | 1st; 2nd |
| Ts | amphibolite | 1st; 2nd |
| Fts | amphibolite, schist, gneiss | 2nd |
| Fhb | amphibolite, schist | 1st; 2nd |
| Ed | amphibolite | 1st; 2nd |
| Prg | gabbro; amphibolite, schist, calc-silicate skarns | 1st; 2nd |
| Mhst | alkali basalts | 1st |
| Hst | amphibolite, schist, granite, gneiss | 1st |
© 2019 by the author. Licensee MDPI, Basel, Switzerland. This article is an open access article distributed under the terms and conditions of the Creative Commons Attribution (CC BY) license (http://creativecommons.org/licenses/by/4.0/).
Share and Cite
Cascalho, J. Provenance of Heavy Minerals: A Case Study from the WNW Portuguese Continental Margin. Minerals 2019, 9, 355. https://doi.org/10.3390/min9060355
Cascalho J. Provenance of Heavy Minerals: A Case Study from the WNW Portuguese Continental Margin. Minerals. 2019; 9(6):355. https://doi.org/10.3390/min9060355
Chicago/Turabian StyleCascalho, João. 2019. "Provenance of Heavy Minerals: A Case Study from the WNW Portuguese Continental Margin" Minerals 9, no. 6: 355. https://doi.org/10.3390/min9060355
APA StyleCascalho, J. (2019). Provenance of Heavy Minerals: A Case Study from the WNW Portuguese Continental Margin. Minerals, 9(6), 355. https://doi.org/10.3390/min9060355

