Analysis of Silica Pulp Viscoelasticity in Saline Media: The Effect of Cation Size
Abstract
:1. Introduction
2. Materials and Methods
2.1. Materials
2.2. Rheology
2.3. Size Distribution
2.4. Zeta Potential
2.5. Ion Adsorption Determination
3. Results
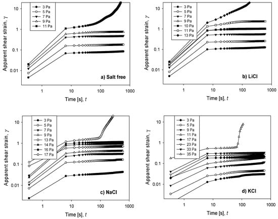
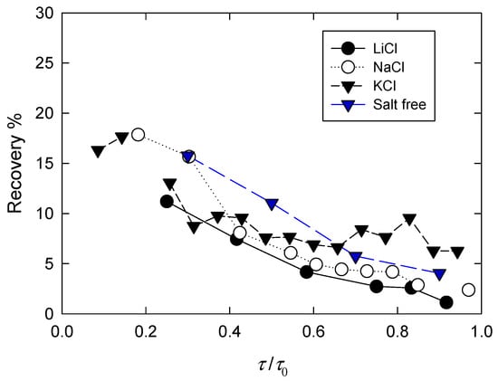
3.1. Creep-Recovery Tests
3.2. Dynamic Oscillatory Tests
3.3. Size Distribution
3.4. Zeta Potential and Cation Adsorption
4. Discussion
5. Conclusions
Author Contributions
Funding
Acknowledgments
Conflicts of Interest
References
- Parsons, D.F.; Boström, M.; Nostro, P.L.; Ninham, B.W. Hofmeister effects: Interplay of hydration, nonelectrostatic potentials, and ion size. Phys. Chem. Chem. Phys. 2011, 13, 12352. [Google Scholar] [CrossRef] [PubMed]
- Lyklema, J. Simple Hofmeister series. Chem. Phys. Lett. 2009, 467, 217–222. [Google Scholar] [CrossRef]
- Yilmaz, H.; Sato, K.; Watari, K. Ion-specific interaction of alumina surfaces. J. Am. Ceram. Soc. 2009, 92, 318–322. [Google Scholar] [CrossRef]
- Azam, M.S.; Weeraman, C.N.; Gibbs-Davis, J.M. Specific cation effects on the bimodal acid-base behavior of the silica/water interface. J. Phys. Chem. Lett. 2012, 3, 1269–1274. [Google Scholar] [CrossRef] [PubMed]
- Oncsik, T.; Trefalt, G.; Borkovec, M.; Szilagyi, I. Specific ion effects on particle aggregation induced by monovalent salts within the Hofmeister series. Langmuir 2015, 31, 3799–3807. [Google Scholar] [CrossRef] [PubMed]
- van der Linden, M.; Conchúir, B.O.; Spigone, E.; Niranjan, A.; Zaccone, A.; Cicuta, P. Microscopic origin of the Hofmeister effect in gelation kinetics of colloidal silica. J. Phys. Chem. Lett. 2015, 6, 2881–2887. [Google Scholar] [CrossRef] [PubMed]
- dos Santos, A.P.; Levin, Y. Ion specificity and the theory of stability of colloidal suspensions. Phys. Rev. Lett. 2011, 106, 167801. [Google Scholar] [CrossRef]
- Hofmeister, F. Zur Lehre von der Wirkung der Salze. Arch. Exp. Pathol. Pharmakol. 1888, 24, 247–260. [Google Scholar] [CrossRef]
- Franks, G.V. Zeta potentials and yield stresses of silica suspensions in concentrated monovalent electrolytes: Isoelectric point shift and additional attraction. J. Colloid Interface Sci. 2002, 249, 44–51. [Google Scholar] [CrossRef]
- Dumont, F.; Verbeiren, P.; Buess-Herman, C. Adsorption sequence of the alkali cations at the tungsten trioxide–water interface. Colloids Surf. A Physicochem. Eng. Asp. 1999, 154, 149–156. [Google Scholar] [CrossRef]
- Dumont, F.; Warlus, J.; Watillon, A. Influence of the point of zero charge of titanium dioxide hydrosols on the ionic adsorption sequences. J. Colloid Interface Sci. 1990, 138, 543–554. [Google Scholar] [CrossRef]
- Sprycha, R. Electrical double layer at alumina/electrolyte interface. J. Colloid Interface Sci. 1989, 127, 12–25. [Google Scholar] [CrossRef]
- Penners, N.H.G.; Koopal, L.K.; Lyklema, J. Interfacial electrochemistry of haematite (α-Fe2O3): Homodisperse and heterodisperse sols. Colloids Surf. 1986, 21, 457–468. [Google Scholar] [CrossRef]
- Zhou, Z.; Franks, G.V. Flocculation mechanism induced by cationic polymers investigated by light scattering. Langmuir 2006, 22, 6775–6786. [Google Scholar] [CrossRef]
- Arinaitwe, E.; Pawlik, M. A role of flocculant chain flexibility in flocculation of fine quartz. Part I. Intrinsic viscosities of polyacrylamide-based flocculants. Int. J. Miner. Process. 2013, 124, 50–57. [Google Scholar] [CrossRef]
- Quezada, G.; Jeldres, R.I.; Goñi, C.; Toledo, P.G.; Stickland, A.D.; Scales, P.J. Viscoelastic behaviour of flocculated silica sediments in concentrated monovalent chloride salt solutions. Miner. Eng. 2017, 110, 131–138. [Google Scholar] [CrossRef]
- Colic, M.; Franks, G.V.; Fisher, M.L.; Lange, F.F. Effect of counterion size on short range repulsive forces at high ionic strengths. Langmuir 1997, 13, 3129–3135. [Google Scholar] [CrossRef]
- Johnson, S.B.; Scales, P.J.; Healy, T.W. The binding of monovalent electrolyte ions on α-alumina. I. Electroacoustic studies at high electrolyte concentrations. Langmuir 1999, 15, 2836–2843. [Google Scholar] [CrossRef]
- Parsons, D.F.; Boström, M.; Maceina, T.J.; Salis, A.; Ninham, B.W. Why direct or reversed Hofmeister series? Interplay of hydration, non-electrostatic potentials, and ion size. Langmuir 2010, 26, 3323–3328. [Google Scholar] [CrossRef]
- Das, M.R.; Borah, J.M.; Kunz, W.; Ninham, B.W.; Mahiuddin, S. Ion specificity of the zeta potential of α-alumina, and of the adsorption of p-hydroxybenzoate at the α-alumina–water interface. J. Colloid Interface Sci. 2010, 344, 482–491. [Google Scholar] [CrossRef]
- Peula-García, J.M.; Ortega-Vinuesa, J.L.; Bastos-González, D. Inversion of Hofmeister series by changing the surface of colloidal particles from hydrophobic to hydrophilic. J. Phys. Chem. C 2010, 114, 11133–11139. [Google Scholar] [CrossRef]
- Quezada, G.R.; Rozas, R.E.; Toledo, P.G. Molecular dynamics simulations of quartz (101)–water and corundum (001)–water interfaces: Effect of surface charge and ions on cation adsorption, water orientation, and surface charge reversal. J. Phys. Chem. C 2017, 121, 25271–25282. [Google Scholar] [CrossRef]
- Morag, J.; Dishon, M.; Sivan, U. The governing role of surface hydration in ion specific adsorption to silica: An AFM-based account of the hofmeister universality and its reversal. Langmuir 2013, 29, 6317–6322. [Google Scholar] [CrossRef]
- Dishon, M.; Zohar, O.; Sivan, U. From repulsion to attraction and back to repulsion: The effect of NaCl, KCl, and CsCl on the force between silica surfaces in aqueous solution. Langmuir 2009, 25, 2831–2836. [Google Scholar] [CrossRef] [PubMed]
- Zhou, Y.; Gan, Y.; Wanless, E.J.; Jameson, G.J.; Franks, G.V. Interaction forces between silica surfaces in aqueous solutions of cationic polymeric flocculants: Effect of polymer charge. Langmuir 2008, 24, 10920–10928. [Google Scholar] [CrossRef] [PubMed]
- Goñi, C.; Jeldres, R.I.; Toledo, P.G.; Stickland, A.D.; Scales, P.J. A non-linear viscoelastic model for sediments flocculated in the presence of seawater salts. Colloids Surf. A Physicochem. Eng. Asp. 2015, 482, 500–506. [Google Scholar] [CrossRef]
- Jeldres, R.I.; Piceros, E.C.; Leiva, W.H.; Toledo, P.G.; Herrera, N. Viscoelasticity and yielding properties of flocculated kaolinite sediments in saline water. Colloids Surf. A Physicochem. Eng. Asp. 2017, 529, 1009–1015. [Google Scholar] [CrossRef]
- Torres, C.M.; Taboada, M.E.; Graber, T.A.; Herreros, O.O.; Ghorbani, Y.; Watling, H.R. The effect of seawater based media on copper dissolution from low-grade copper ore. Miner. Eng. 2015, 71, 139–145. [Google Scholar] [CrossRef]
- Jeldres, R.I.; Arancibia-Bravo, M.P.; Reyes, A.; Aguirre, C.E.; Cortes, L.; Cisternas, L.A. The impact of seawater with calcium and magnesium removal for the flotation of copper-molybdenum sulphide ores. Miner. Eng. 2017, 109, 10–13. [Google Scholar] [CrossRef]
- Jeldres, R.I.; Toledo, P.G.; Concha, F.; Stickland, A.D.; Usher, S.P.; Scales, P.J. Impact of seawater salts on the viscoelastic behavior of flocculated mineral suspensions. Colloids Surf. A Physicochem. Eng. Asp. 2014, 461, 295–302. [Google Scholar] [CrossRef]
- Stickland, A.D.; Kumar, A.; Kusuma, T.E.; Scales, P.J.; Tindley, A.; Biggs, S.; Buscall, R. The effect of premature wall yield on creep testing of strongly flocculated suspensions. Rheol. Acta 2015, 54, 337–352. [Google Scholar] [CrossRef]
- Lin, Y.; Phan-Thien, N.; Lee, J.B.P.; Khoo, B.C. Concentration dependence of yield stress and dynamic moduli of kaolinite suspensions. Langmuir 2015, 31, 4791–4797. [Google Scholar] [CrossRef]
- Lim, H.M.; Misni, M. Colloidal and rheological properties of natural rubber latex concentrate. Appl. Rheol. 2016, 26, 15659–15669. [Google Scholar] [CrossRef]
- Michot, L.J.; Baravian, C.; Bihannic, I.; Maddi, S.; Moyne, C.; Duval, J.F.L.; Levitz, P.; Davidson, P. Sol−gel and isotropic/nematic transitions in aqueous suspensions of natural nontronite clay. Influence of particle anisotropy. 2. Gel structure and mechanical properties. Langmuir 2009, 25, 127–139. [Google Scholar] [CrossRef]
- Paineau, E.; Michot, L.J.; Bihannic, I.; Baravian, C. Aqueous suspensions of natural swelling clay minerals. 2. Rheological characterization. Langmuir 2011, 27, 7806–7819. [Google Scholar] [CrossRef]
- Dimitriou, J.C.; Ewoldt, R.H.; McKinley, G.H. Describing and prescribing the constitutive response of yield stress fluids using large amplitude oscillatory shear stress (LAOStress). J. Rheol. 2013, 57, 27–70. [Google Scholar] [CrossRef]
- Kroutil, O.; Chval, Z.; Skelton, A.A.; Predota, M. Computer simulation of quartz(101)-water interface over a range of pH values. J. Phys. Chem. C 2015, 119, 9274–9286. [Google Scholar] [CrossRef]
- Goloub, T.P.; Koopal, L.K.; Bijsterbosch, B.H.; Sidorova, M.P. Adsorption of cationic surfactants on silica. Surface charge effects. Langmuir 1996, 12, 3188–3194. [Google Scholar] [CrossRef]
- Scales, P.J.; Johnson, S.B.; Healy, T.W.; Kapur, P.C. Shear yield stress of partially flocculated colloidal suspensions. AIChE J. 1998, 44, 538–544. [Google Scholar] [CrossRef]
- Israelachvili, J. Intermolecular and Surface Forces, 3rd ed.; Elsevier: Santa Barbara, CA, USA, 2011; ISBN 9780123919274. [Google Scholar]













© 2019 by the authors. Licensee MDPI, Basel, Switzerland. This article is an open access article distributed under the terms and conditions of the Creative Commons Attribution (CC BY) license (http://creativecommons.org/licenses/by/4.0/).
Share and Cite
Jeldres, R.I.; Piceros, E.C.; Leiva, W.H.; Toledo, P.G.; Quezada, G.R.; Robles, P.A.; Valenzuela, J. Analysis of Silica Pulp Viscoelasticity in Saline Media: The Effect of Cation Size. Minerals 2019, 9, 216. https://doi.org/10.3390/min9040216
Jeldres RI, Piceros EC, Leiva WH, Toledo PG, Quezada GR, Robles PA, Valenzuela J. Analysis of Silica Pulp Viscoelasticity in Saline Media: The Effect of Cation Size. Minerals. 2019; 9(4):216. https://doi.org/10.3390/min9040216
Chicago/Turabian StyleJeldres, Ricardo I., Eder C. Piceros, Williams H. Leiva, Pedro G. Toledo, Gonzalo R. Quezada, Pedro A. Robles, and Julio Valenzuela. 2019. "Analysis of Silica Pulp Viscoelasticity in Saline Media: The Effect of Cation Size" Minerals 9, no. 4: 216. https://doi.org/10.3390/min9040216
APA StyleJeldres, R. I., Piceros, E. C., Leiva, W. H., Toledo, P. G., Quezada, G. R., Robles, P. A., & Valenzuela, J. (2019). Analysis of Silica Pulp Viscoelasticity in Saline Media: The Effect of Cation Size. Minerals, 9(4), 216. https://doi.org/10.3390/min9040216

