Origin of the Shangfang Tungsten Deposit in the Fujian Province of Southeast China: Evidence from Scheelite Sm–Nd Geochronology, H–O Isotopes and Fluid Inclusions Studies
Abstract
:1. Introduction
2. Regional Geology
3. Geology of the Shangfang W Deposit
3.1. Local Geology
3.2. Mineralization
3.3. Alteration
4. Analytical Methods
4.1. Fluid Inclusion Measurement
4.2. Hydrogen and Oxygen Isotopic Analysis
4.3. Scheelite Sm-Nd Isotope Dating
5. Results
5.1. Fluid Inclusion
5.1.1. Petrography and Types of Fluid Inclusions
5.1.2. Microthermometry Results
5.2. Hydrogen and Oxygen Isotopic Compositions
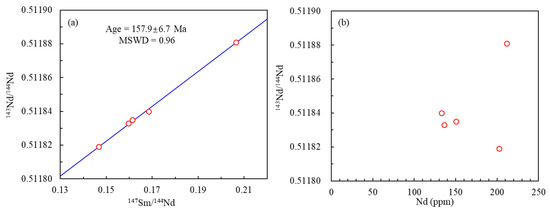
5.3. Sm-Nd Dating
6. Discussion
6.1. Evolution of Ore-Forming Fluids
6.2. Origin of Ore-Forming Fluids
6.3. Place of the Shanfang Deposit in the Cathaysia Metallogenic Frame
7. Conclusions
Author Contributions
Funding
Acknowledgments
Conflicts of Interest
References
- Schulz, K.J.; DeYoung, J.H.; Seal, R.R.; Bradley, D.C. Critical Mineral Resources of the United States: Economic and Environmental Geology and Prospects for Future Supply; U.S. Geological Survey: Reston, VA, USA, 2018.
- Mao, J.W.; Chen, M.H.; Yuan, S.D. Geological Characteristics of the Qinhang (or Shihang) Metallogenic Belt in South China and Spatial-Temporal Distribution Regularity of Mineral Deposits. Acta Geol. Sin. 2011, 85, 636–658. [Google Scholar]
- Mao, J.W.; Xie, G.Q.; Li, X.F.; Zhang, C.Q.; Wang, Y.T. Mesozoic Large-scale Mineralization and Multiple Lithospheric Extensions in South China. Acta Geol. Sin. 2006, 80, 420–431. [Google Scholar]
- Hua, R.M.; Chen, P.R.; Zhang, W.L.; Yao, J.M.; Lin, J.F.; Zhang, Z.S.; Gu, S.Y. Metallogeneses and Their Geodynamic Settings Related to Mesozoic Granitoids in the Nanling Range. Geol. J. China Univ. 2005, 11, 291–304. [Google Scholar]
- Peng, N.J.; Jiang, S.Y.; Xiong, S.F.; Pi, D.H. Fluid evolution and ore genesis of the Dalingshang deposit, Dahutang W-Cu ore field, northern Jiangxi Province, South China. Mineral. Depos. 2018, 53, 1079–1094. [Google Scholar] [CrossRef]
- Huang, L.C.; Jiang, S.Y. Highly fractionated S-type granites from the giant Dahutang tungsten deposit in Jiangnan Orogen, Southeast China: Geochronology, petrogenesis and their relationship with W-mineralization. Lithos 2014, 202, 207–226. [Google Scholar] [CrossRef]
- Liu, P.; Mao, J.W.; Santosh, M.; Xu, L.G.; Zhang, R.Q.; Jia, L.H. The Xiling Sn deposit, eastern Guangdong Province, Southeast China: A new genetic model from 40Ar/39Ar muscovite and U-Pb cassiterite and zircon geochronology. Econ. Geol. 2018, 113, 511–530. [Google Scholar] [CrossRef]
- Chen, R.S.; Li, J.W.; Cao, K.; Qu, C.Y.; Li, Y.J. Zircon U-Pb and Molybdenite Re-Os dating of the Shangfang Tungsten Deposit in Northern Fujian Province: Implication for Regional Mineralization. J. China Univ. Geosci. 2013, 38, 289–303. [Google Scholar]
- Charvet, J. The Neoproterozoic–Early Paleozoic tectonic evolution of the South China Block: An overview. J. Asian Earth Sci. 2013, 74, 198–209. [Google Scholar] [CrossRef]
- Zhao, J.H.; Zhou, M.F.; Yan, D.P.; Zheng, J.P.; Li, J.W. Reappraisal of the ages of Neoproterozoic strata in South China: No connection with the Grenvillian orogeny. Geology 2011, 39, 299–302. [Google Scholar] [CrossRef]
- Li, X.H.; Li, W.X.; Li, Z.X.; Lo, C.H.; Wang, J.; Ye, M.F.; Yang, Y.H. Amalgamation between the Yangtze and Cathaysia Blocks in South China: Constraints from SHRIMP U–Pb zircon ages, geochemistry and Nd–Hf isotopes of the Shuangxiwu volcanic rocks. Precambrian Res. 2009, 174, 117–128. [Google Scholar] [CrossRef]
- Ling, W.L.; Gao, S.; Zhang, B.R.; Li, H.M.; Liu, Y.; Cheng, J.P. Neoproterozoic tectonic evolution of the northwestern Yangtze craton, South China: Implications for amalgamation and break-up of the Rodinia Supercontinent. Precambrian Res. 2003, 122, 111–140. [Google Scholar] [CrossRef]
- Yu, J.H.; O’Reilly, S.Y.; Zhou, M.F.; Griffin, W.L.; Wang, L.J. U–Pb geochronology and Hf–Nd isotopic geochemistry of the Badu Complex, Southeastern China: Implications for the Precambrian crustal evolution and paleogeography of the Cathaysia Block. Precambrian Res. 2012, 222, 424–449. [Google Scholar] [CrossRef]
- Chen, J.F.; Foland, K.A.; Xing, F.M.; Xu, X.A.; Zhou, T.X. Magmatism Along The Southeast Margin Of The Yangtze Block—Precambrian Collision Of The Yangtze And Cathysia Blocks Of China. Geology 1991, 19, 815–818. [Google Scholar]
- Yu, J.H.; Zhou, X.M.; O’Reilly, Y.S.; Zhao, L.; Griffin, W.L.; Wang, R.C.; Wang, L.J.; Chen, X.M. Formation history and protolith characteristics of granulite facies metamorphic rock in Central Cathaysia deduced from U-Pb and Lu-Hf isotopic studies of single zircon grains. Chin. Sci. Bull. 2005, 50, 2080–2089. [Google Scholar] [CrossRef]
- Wang, L.J.; Yu, J.H.; O’Reilly, S.Y.; Griffin, W.L.; Sun, T.; Wei, Z.Y.; Jiang, S.Y.; Shu, L.S. Grenvillian orogeny in the Southern Cathaysia Block: Constraints from U-Pb ages and Lu-Hf isotopes in zircon from metamorphic basement. Chin. Sci. Bull. 2008, 53, 3037–3050. [Google Scholar] [CrossRef]
- Li, Y.J.; Wei, J.H.; Chen, H.Y.; Tan, J.; Fu, L.B.; Wu, G. Origin of the Maoduan Pb–Zn–Mo deposit, eastern Cathaysia Block, China: Geological, geochronological, geochemical, and Sr–Nd–Pb–S isotopic constraints. Mineral. Depos. 2012, 47, 763–780. [Google Scholar] [CrossRef]
- Cai, Y.P.; Guo, X.P.; Xia, C.J.; Lü, S.B.; Yu, Y.C.; Wang, S.X. Element abundance of crust in Fujian Province. Geol. Fujian 1997, 16, 163–175. [Google Scholar]
- Mao, Z.H.; Cheng, Y.B.; Liu, J.J.; Yuan, S.D.; Wu, S.H.; Xiang, X.K.; Luo, X.H. Geology and molybdenite Re–Os age of the Dahutang granite-related veinlets-disseminated tungsten ore field in the Jiangxin Province, China. Ore Geol. Rev. 2013, 53, 422–433. [Google Scholar] [CrossRef]
- Zhao, W.W.; Zhou, M.F.; Li, Y.H.M.; Zhao, Z.; Gao, J.F. Genetic types, mineralization styles, and geodynamic settings of Mesozoic tungsten deposits in South China. J. Asian Earth Sci. 2017, 137, 109–140. [Google Scholar] [CrossRef]
- Song, S.W.; Mao, J.W.; Zhu, Y.F.; Yao, Z.Y.; Chen, G.H.; Rao, J.F.; Ouyang, Y.P. Partial-melting of fertile metasedimentary rocks controlling the ore formation in the Jiangnan porphyry-skarn tungsten belt, south China: A case study at the giant Zhuxi W-Cu skarn deposit. Lithos 2018, 304-307, 180–199. [Google Scholar] [CrossRef]
- Zhou, X.M.; Sun, T.; Shen, W.Z.; Shu, L.S.; Niu, Y.L. Petrogenesis of Mesozoic granitoids and volcanic rocks in South China: A response to tectonic evolution. Episodes 2006, 29, 26–33. [Google Scholar] [CrossRef]
- Lei, L.; Xu, X.S.; Yan, X. Asynchronizing paleo-Pacific slab rollback beneath SE China: Insights from the episodic Late Mesozoic volcanism. Gondwana Res. 2015, 37, 397–407. [Google Scholar]
- Xia, Y.; Xu, X.; Zou, H.; Liu, L. Early Paleozoic crust–mantle interaction and lithosphere delamination in South China Block: Evidence from geochronology, geochemistry, and Sr–Nd–Hf isotopes of granites. Lithos 2014, 184–187, 416–435. [Google Scholar] [CrossRef]
- Zhou, X.M.; Li, W.X. Origin of Late Mesozoic igneous rocks in Southeastern China: Implications for lithosphere subduction and underplating of mafic magmas. Tectonophysics 2000, 326, 269–287. [Google Scholar] [CrossRef]
- Sun, T.; Zhou, X.M.; Chen, P.R.; Li, H.M.; Zhou, H.Y.; Wang, Z.C.; Shen, W.Z. Strongly peraluminous granites of Mesozoic in Eastern Nanling Range, southern China: Petrogenesis and implications for tectonics. Sci. China Ser. D 2005, 48, 165–174. [Google Scholar] [CrossRef]
- Li, Z.X.; Li, X.H. Formation of the 1300-km-wide intracontinental orogen and postorogenic magmatic province in Mesozoic South China: A flat-slab subduction model. Geology 2007, 35, 179–182. [Google Scholar] [CrossRef]
- Wang, Y.J.; Fan, W.M.; Min, S.; Liang, X.Q.; Zhang, Y.H.; Peng, T.P. Geochronological, geochemical and geothermal constraints on petrogenesis of the Indosinian peraluminous granites in the South China Block: A case study in the Hunan Province. Lithos 2007, 96, 475–502. [Google Scholar] [CrossRef]
- Hua, R.M.; Chen, P.R.; Zhang, W.L.; Lu, J.J. Three major metallogenic events in Mesozoic in South China. Miner. Depos. 2005, 24, 99–107. [Google Scholar]
- Li, X.H.; Li, W.X.; Wang, X.C.; Li, Q.L.; Liu, Y.; Tang, G.Q. Role of mantle-derived magma in genesis of early Yanshanian granites in the Nanling Range, South China: In situ zircon Hf-O isotopic constraints. Sci. China Ser. D 2009, 52, 1262–1278. [Google Scholar] [CrossRef]
- Li, Z.; Qiu, J.S.; Yang, X.M. A review of the geochronology and geochemistry of Late Yanshanian (Cretaceous) plutons along the Fujian coastal area of southeastern China: Implications for magma evolution related to slab break-off and rollback in the Cretaceous. Earth Sci. Rev. 2014, 128, 232–248. [Google Scholar] [CrossRef]
- Li, Z.X.; Li, X.; Wartho, J.A.; Clark, C.; Li, W.; Zhang, C.L.; Bao, C.M. Magmatic and metamorphic events during the Early Paleozoic Wuyi-Yunkai orogeny, southeastern South China; New age constraints and pressure-temperature conditions. Geol. Soc. Am. Bull. 2010, 122, 772–793. [Google Scholar] [CrossRef]
- Wan, Y.; Liu, D.; Xu, M.; Zhuang, J.; Song, B.; Shi, Y.; Du, L. SHRIMP U–Pb zircon geochronology and geochemistry of metavolcanic and metasedimentary rocks in Northwestern Fujian, Cathaysia block, China: Tectonic implications and the need to redefine lithostratigraphic units. Gondwana Res. 2007, 12, 166–183. [Google Scholar] [CrossRef]
- Zhao, L.; Zhou, X.; Zhai, M.; Santosh, M.; Geng, Y. Zircon U–Th–Pb–Hf isotopes of the basement rocks in northeastern Cathaysia block, South China: Implications for Phanerozoic multiple metamorphic reworking of a Paleoproterozoic terrane. Gondwana Res. 2015, 28, 246–261. [Google Scholar] [CrossRef]
- Mei, H.L.; Zhuang, J.M.; Yang, C.X. P-T–t paths and geodynamic implication of Precambrian metamorphic rocks in northern Fujian. Geol. Fujian 1993, 12, 182–194. [Google Scholar]
- Zhao, G.C.; Cawood, P.A. Tectonothermal evolution of the Mayuan assemblage in the Cathaysia Block: Implications for neoproterozoic collision-related assembly of the South China craton. Am. J. Sci. 1999, 299, 309–339. [Google Scholar] [CrossRef]
- Clayton, R.N.; Mayeda, T.K. The use of bromine pentafluoride in the extraction of oxygen from oxides and silicates for isotopic analysis. Geochim. Cosmochim. Acta 1963, 27, 43–52. [Google Scholar] [CrossRef]
- Chu, Z.Y.; Guo, J.H.; Yang, Y.H.; Qi, L.; Chen, L.; Li, X.C.; Gao, J.F. Evaluation of sample dissolution method for Sm-Nd isotopic analysis of scheelite. J. Anal. At. Spectrom. 2012, 27, 509–515. [Google Scholar] [CrossRef]
- Ludwig, K.R. User’s manual for isoplot 3.00, a geochronlogical toolkit for microsoft excel. Berkeley Geochronl. Cent. Spec. Publ. 2003, 4, 25–32. [Google Scholar]
- Roedder, E. Fluid inclusions. Rev. Miner. 1984, 12, 1–644. [Google Scholar]
- Kreuzer, O.P. Intrusion-hosted mineralization in the Charters Towers Goldfield, North Queensland: New isotopic and fluid inclusion constraints on the timing and origin of the auriferous veins. Econ. Geol. 2005, 100, 1583–1603. [Google Scholar] [CrossRef]
- Xiong, S.; He, M.; Yao, S.; Cui, Y.; Shi, G.; Ding, Z.; Hu, X. Fluid evolution of the Chalukou giant Mo deposit in the northern Great Xing’an Range, NE China. Geol. J. 2015, 50, 720–738. [Google Scholar] [CrossRef]
- Zhang, L.G. The Application of the Stable Isotope to Geology; Shanxi Science and Technology Publishing House Xi’an: Shanxi, China, 1985; pp. 54–250. [Google Scholar]
- Zhou, T.F.; Yue, S.C. Isotope geochemistry of copper mineralization in Yueshan, Anhui Province. Miner. Depos. 1996, 4, 341–350. [Google Scholar]
- Xu, Y.M.; Jiang, S.Y.; Zhu, Z.Y.; Zhou, W. Mineral chemistry and H–O–S–Pb isotopic compositions of skarn type copper deposits in the Jiurui district of the Middle-Lower Yangtze River metallogenic belt, Eastern China. Ore Geol. Rev. 2015, 69, 88–103. [Google Scholar] [CrossRef]
- Taylor, H.P. The application of oxygen and hydrogen isotope studies to problems of hydrothermal alteration and ore deposition. Econ. Geol. 1974, 69, 843–883. [Google Scholar] [CrossRef]
- Hedenquist, J.W.; Lowenstern, J.B. The role of magmas in the formation of hydrothermal ore deposits. Nature 1994, 370, 519. [Google Scholar] [CrossRef]
- Hoefs, J.; Hattori, K. Stable Isotope Geochemistry. Sediment. Geol. 1997, 114, 321. [Google Scholar]
- Hu, R.Z.; Zhou, M.F. Multiple Mesozoic mineralization events in South China-an introduction to the thematic issue. Miner. Depos. 2012, 47, 579–588. [Google Scholar] [CrossRef]
- Ma, Y.; Jiang, S.Y.; Chen, R.S.; Li, X.X.; Zhu, L.Y.; Xiong, S.F. Hydrothermal evolution and ore genesis of the Zhaiping Ag-Pb-Zn deposit in Fujian Province of Southeast China: Evidence from stable isotopes (H, O, C, S) and fluid inclusions. Ore Geol. Rev. 2019, 104, 246–265. [Google Scholar] [CrossRef]
- Feng, C.Y.; Zhao, Z.; Qu, W.J.; Zeng, Z.L. Temporal consistency between granite evolution and tungsten mineralization in Huamei’ao, southern Jiangxi Province, China: Evidence from precise zircon U–Pb, molybdenite Re–Os, and muscovite 40Ar–39Ar isotope geochronology. Ore Geol. Rev. 2015, 65, 1005–1020. [Google Scholar] [CrossRef]
- Hu, R.Z.; Wei, W.F.; Bi, X.W.; Peng, J.T.; Qi, Y.Q.; Wu, L.Y.; Chen, Y.W. Molybdenite Re–Os and muscovite 40Ar/39Ar dating of the Xihuashan tungsten deposit, central Nanling district, South China. Lithos 2012, 150, 111–118. [Google Scholar] [CrossRef]
- Chen, Z.H.; Wang, D.H.; Qu, W.J.; Chen, Y.C.; Wang, P.A.; Xu, J.X.; Zhang, J.J. Geological characteristics and mineralization age of the Taoxikeng tungsten deposit in Chongyi County, southern Jiangxi Province, China. Geol. Bull. China 2006, 25, 496–501. [Google Scholar]
- Liu, P.; Mao, J.W.; Pirajno, F.; Jia, L.H.; Zhang, F.; Li, Y. Ore genesis and geodynamic setting of the Lianhuashan porphyry tungsten deposit, eastern Guangdong Province, SE China: Constraints from muscovite 40Ar−39Ar and zircon U–Pb dating and Hf isotopes. Miner. Depos. 2018, 53, 797–814. [Google Scholar] [CrossRef]
- Liu, P.; Mao, J.W.; Cheng, Y.B.; Yao, W.; Wang, X.Y.; Hao, D. An Early Cretaceous W-Sn deposit and its implications in southeast coastal metallogenic belt: Constraints from U-Pb, Re-Os, Ar-Ar geochronology at the Feie’shan W-Sn deposit, SE China. Ore Geol. Rev. 2017, 81, 112–122. [Google Scholar] [CrossRef]
- Pan, X.F.; Hou, Z.Q.; Li, Y.; Chen, G.H.; Zhao, M.; Zhang, T.F.; Zhang, C.; Wei, J.; Kang, C. Dating the giant Zhuxi W–Cu deposit (Taqian–Fuchun Ore Belt) in South China using molybdenite Re–Os and muscovite Ar–Ar system. Ore Geol. Rev. 2017, 86, 719–733. [Google Scholar] [CrossRef]
- Zhang, J.J.; Chen, Z.H.; Wang, D.H.; Chen, Z.Y.; Liu, S.B.; Wang, C.H. Geological characteristics and metallogenic epoch of the Xingluokeng tungsten deposit, Fujian Province. Geotecton. Metallog. 2008, 32, 92–97. [Google Scholar]
- Zhou, M.F.; Gao, J.F.; Zhao, Z.; Zhao, W.W. Introduction to the special issue of Mesozoic W-Sn deposits in South China. Ore Geol. Rev. 2018, 101, 432–436. [Google Scholar] [CrossRef]
- Liu, P.; Cheng, Y.B.; Wang, X.Y.; Zhang, X.; Gao, F.Y.; Liao, Z.G. Zircon U-Pb geochronology and characteristics of Hf isotope from the Taoziwo Sn deposit in eastern Guangdong Province and their significance. Acta Petrol. Miner. 2015, 34, 620–636. [Google Scholar]
- Zhao, J.H.; Zhou, M.F.; Zheng, J.P. Constraints from zircon U–Pb ages, O and Hf isotopic compositions on the origin of Neoproterozoic peraluminous granitoids from the Jiangnan Fold Belt, South China. Contrib. Miner. Petrol. 2013, 166, 1505–1519. [Google Scholar] [CrossRef]
- Zeng, Z.L.; Zhang, Y.Z.; Chen, Z.H.; Chen, Y.C.; Zhu, X.P.; Tong, Q.Q.; Zheng, B.H.; Zhou, Y. Geological characteristics and metallogenic epoch of Pangushan W-Bi (Te) ore deposit in Yudu County, Jiangxi province. Miner. Depos. 2011, 30, 949–958. [Google Scholar]
- Feng, C.Y.; Fan, H.; Zeng, Z.L.; Qu, W.J. Isotopic Chronology of Jiulongnao Granite and Hongshuizhai Greisens-Type Tungsten Deposit in South Jiangxi Province. J. Jilin Univ. 2011, 41, 111–121. [Google Scholar]
- Feng, C.Y.; Zhang, D.Q. Chronology of the Tungsten Deposits in Southern Jiangxi Province, and Episodes and Zonation of the Regional W-Sn Mineralization-Evidence from High-precision Zircon U-Pb, Molybdenite Re-Os and Muscovite Ar-Ar Ages. Acta Geol. Sin. 2012, 86, 555–567. [Google Scholar]
- Feng, C.Y.; Zeng, Z.L.; Wang, S.; Liang, J.S.; Ding, M. SHRIMP zircon U-Pb and Molybdenite Re-Os dating of the Skarn-type tungsten deposits in Southern Jiangxi province, China, and geological implications: Examplified by the Jiaoli and Baoshan tungsten polymetallic deposits. Geotecton. Metallog. 2012, 36, 337–349. [Google Scholar]
- Li, H.Y.; Mao, J.W.; Sun, Y.L.; Zou, X.Q.; He, H.L.; Du, A.D. Re-Os isotopic chronology of molybdenites in the Shizhuyuan polymetallic tungsten deposit, southern Hunan. Geol. Rev. 1996, 42, 261–267. [Google Scholar]
- Yuan, S.D.; Peng, J.T.; Hu, R.Z.; Li, H.M.; Shen, N.P.; Zhang, D.L. A precise U–Pb age on cassiterite from the Xianghualing tin-polymetallic deposit (Hunan, South China). Miner. Depos. 2008, 43, 375–382. [Google Scholar] [CrossRef]
- Feng, C.Y.; Zhang, D.Q.; Xiang, X.K.; Li, D.X.; Qu, H.Y.; Liu, J.N.; Xiao, Y. Re-Os isotopic dating of molybdenite from the Dahutang tungsten deposit in northwestern Jiangxi Province and its geological implication. Acta Petrol. Sin. 2012, 28, 3858–3868. [Google Scholar]
- Zhang, J.J.; Mei, Y.P.; Wang, D.H.; Li, H.Q. Isochronology study on the Xianglushan Scheelite Deposit in North Jiangxi Province and its geological significance. Acta Geol. Sin. 2008, 82, 927–931. [Google Scholar]











| Orebody | Size (m) | Average Grade | Spatial | ||
|---|---|---|---|---|---|
| Number | Length | Width | Thickness | WO3 (%) | Attitude |
| No.1 | 800 | 300 | 4.3 | 0.271 | Paralleled distribution |
| No.2 | 600 | 200 | 4.27 | 0.123 | |
| No.3 | 400 | 250 | 7.23 | 0.187 | |
| No.4 | 400 | 200 | 7.88 | 0.245 | |
| No.5 | 400 | 250 | 1.63 | 0.152 | |
| No.6 | 800 | 200 | 9.65 | 0.311 | |
| No.7 | 400 | 120 | 1.64 | 0.392 | |
| No.8 | 400 | 120 | 6.98 | 0.203 | |
| No.9 | 400 | 120 | 3.92 | 0.154 | |
| Stage | Mineral | Th (°C) | Tm-ice (°C) | Salinity (wt % NaCl equiv.) |
|---|---|---|---|---|
| Range | Range | Range | ||
| Syn-ore | Scheelite | 220 to 297 | −4.2 to −1.8 | 3.06 to 6.74 |
| Quartz | 175 to 290 | −5.4 to −0.6 | 1.05 to 8.41 | |
| Post-ore | Calcite | 145 to 218 | −2.2 to 0.7 | 1.23 to 3.71 |
| Sample Number | δDV-SMOW | δ18OV-SMOW | δ18O H2O(‰) | ||
|---|---|---|---|---|---|
| T = 400 °C | T = 350 °C | T = 300 °C | |||
| SFI01 | −67 | 12.1 | 7.54 | 6.30 | 4.71 |
| SFI02 | −57.1 | 12.3 | 7.74 | 6.50 | 4.91 |
| SFI03 | −63 | 11.3 | 6.74 | 5.50 | 3.91 |
| SFI04 | −64 | 11.7 | 7.14 | 5.90 | 4.31 |
| SFI05 | −76.3 | 11.7 | 7.14 | 5.90 | 4.31 |
| SFI06 | −61.4 | 11.9 | 7.34 | 6.10 | 4.51 |
| Sample | Sm (ppm) | Nd (ppm) | 147Sm/144Nd | 143Nd/144Nd | 2σ | 143Nd/144Nd(t) | εNd(t) |
|---|---|---|---|---|---|---|---|
| ZK001-4 | 49.14 | 202.6 | 0.1467 | 0.511819 | ±2 | 0.511669 | −14.6 |
| ZK204-1 | 36.99 | 132.9 | 0.1684 | 0.511840 | ±2 | 0.511668 | −14.7 |
| ZK204-2 | 35.91 | 136.1 | 0.1596 | 0.511833 | ±2 | 0.511670 | −14.6 |
| ZK803-1 | 40.15 | 150.6 | 0.1613 | 0.511836 | ±3 | 0.511670 | −14.6 |
| ZK1003-2 | 72.26 | 211.7 | 0.2065 | 0.511881 | ±2 | 0.511670 | −14.6 |
© 2019 by the authors. Licensee MDPI, Basel, Switzerland. This article is an open access article distributed under the terms and conditions of the Creative Commons Attribution (CC BY) license (http://creativecommons.org/licenses/by/4.0/).
Share and Cite
Zhu, L.-Y.; Jiang, S.-Y.; Chen, R.-S.; Ma, Y. Origin of the Shangfang Tungsten Deposit in the Fujian Province of Southeast China: Evidence from Scheelite Sm–Nd Geochronology, H–O Isotopes and Fluid Inclusions Studies. Minerals 2019, 9, 713. https://doi.org/10.3390/min9110713
Zhu L-Y, Jiang S-Y, Chen R-S, Ma Y. Origin of the Shangfang Tungsten Deposit in the Fujian Province of Southeast China: Evidence from Scheelite Sm–Nd Geochronology, H–O Isotopes and Fluid Inclusions Studies. Minerals. 2019; 9(11):713. https://doi.org/10.3390/min9110713
Chicago/Turabian StyleZhu, Lü-Yun, Shao-Yong Jiang, Run-Sheng Chen, and Ying Ma. 2019. "Origin of the Shangfang Tungsten Deposit in the Fujian Province of Southeast China: Evidence from Scheelite Sm–Nd Geochronology, H–O Isotopes and Fluid Inclusions Studies" Minerals 9, no. 11: 713. https://doi.org/10.3390/min9110713
APA StyleZhu, L.-Y., Jiang, S.-Y., Chen, R.-S., & Ma, Y. (2019). Origin of the Shangfang Tungsten Deposit in the Fujian Province of Southeast China: Evidence from Scheelite Sm–Nd Geochronology, H–O Isotopes and Fluid Inclusions Studies. Minerals, 9(11), 713. https://doi.org/10.3390/min9110713

