The Removal of Uranium and Thorium from Their Aqueous Solutions by 8-Hydroxyquinoline Immobilized Bentonite
Abstract
1. Introduction
2. Materials and Methods
2.1. Reagents
2.2. Adsorbent
2.3. Characterization
2.4. Batch Adsorption Experiments
2.5. Desorption Studies
3. Results and Discussion
3.1. Characterization
3.1.1. Chemical Composition of Na-Bentonite and HQ-Bentonite
3.1.2. X-ray Diffraction (XRD) Analysis
3.1.3. SEM Images and EDX Analysis
3.1.4. FT-IR Spectrograms
3.1.5. Effect of Contact Time
3.1.6. Effect of Initial pH
3.1.7. Effect of the Initial Concentration of Metal Ions
3.1.8. Effect of Sorbent Mass
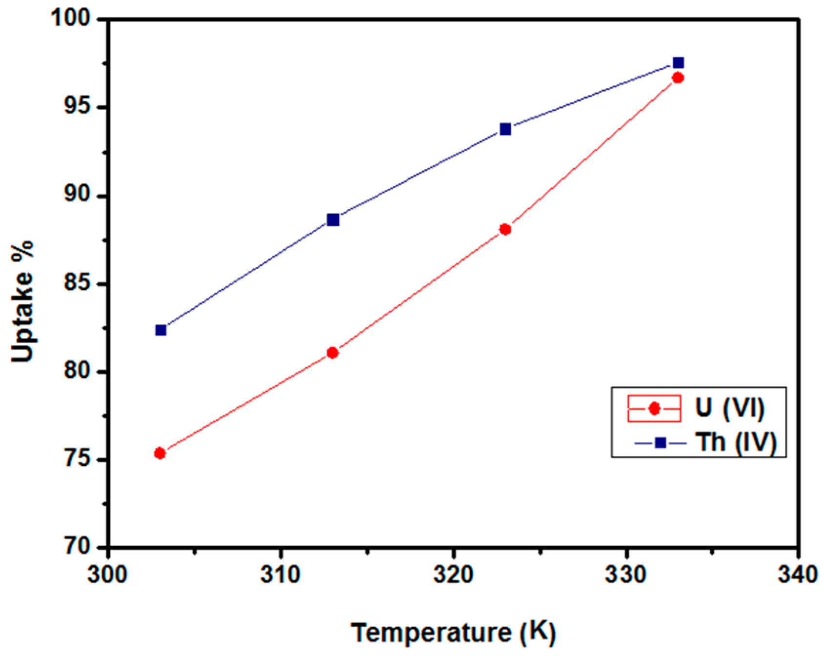
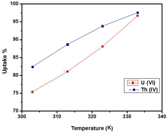
3.1.9. Effect of Temperature
3.1.10. Comparison of the Sorption Efficiency of HQ-Bentonite with Na-Bentonite
3.2. Sorption Isotherms
3.2.1. Freundlich Adsorption Isotherm
3.2.2. Langmuir Adsorption Isotherm
3.3. Sorption Kinetics
3.4. Thermodynamic Parameters
3.5. Desorption Studies
3.6. Comparison of U(VI) and Th(IV) Sorption Capacity of HQ-bentonite with Other Sorbents
4. Conclusions
Author Contributions
Funding
Conflicts of Interest
References
- Humelnicu, D.; Dinu, M.V.; Drǎgan, E.S. Adsorption characteristics of UO22+ and Th4+ ions from simulated radioactive solutions onto chitosan/clinoptilolite sorbents. J. Hazard. Mater. 2011, 185, 447–455. [Google Scholar] [CrossRef] [PubMed]
- Xiao, J.; Chen, Y.; Zhao, W.; Xu, J. Sorption behavior of U(VI) onto Chinese bentonite: Effect of pH, ionic strength, temperature and humic acid. J. Mol. Liq. 2013, 188, 178–185. [Google Scholar] [CrossRef]
- Salameh, S.I.Y.; Khalili, F.I.; Al-Dujaili, A.H. Removal of U(VI) and Th(IV) from aqueous solutions by organically modified diatomaceous earth: Evaluation of equilibrium, kinetic and thermodynamic data. Int. J. Miner. Process. 2017, 168, 9–18. [Google Scholar] [CrossRef]
- Houhoune, F.; Nibou, D.; Chegrouche, S.; Menacer, S. Behaviour of modified hexadecyltrimethylammonium bromide bentonite toward uranium species. J. Environ. Chem. Eng. 2016, 4, 3459–3467. [Google Scholar] [CrossRef]
- Mellah, A.; Chegrouche, S.; Barkat, M. The precipitation of ammonium uranyl carbonate (AUC): Thermodynamic and kinetic investigations. Hydrometallurgy 2007, 85, 163–171. [Google Scholar] [CrossRef]
- Tyrpekl, V.; Beliš, M.; Wangle, T.; Vleugels, J.; Verwerft, M. Alterations of thorium oxalate morphology by changing elementary precipitation conditions. J. Nucl. Mater. 2017, 493, 255–263. [Google Scholar] [CrossRef]
- Gasser, M.S.; Emam, S.S.; Rizk, S.E.; Salah, B.A.; Sayed, S.A.; Aly, H.F. Extraction and separation of uranium(IV) and certain light lanthanides from concentrated phosphoric acid solutions using octyl phenyl acid phosphate. J. Mol. Liq. 2018, 272, 1030–1040. [Google Scholar] [CrossRef]
- Bayyari, M.A.; Nazal, M.K.; Khalili, F.A. The effect of ionic strength on the extraction of Thorium(IV) from nitrate solution by didodecylphosphoric acid (HDDPA). J. Saudi Chem. Soc. 2010, 14, 311–315. [Google Scholar] [CrossRef]
- Favre-Réguillon, A.; Lebuzit, G.; Murat, D.; Foos, J.; Mansour, C.; Draye, M. Selective removal of dissolved uranium in drinking water by nanofiltration. Water Res. 2008, 42, 1160–1166. [Google Scholar] [CrossRef]
- Sureshkumar, M.K.; Das, D.; Mallia, M.B.; Gupta, P.C. Adsorption of uranium from aqueous solution using chitosan-tripolyphosphate (CTPP) beads. J. Hazard. Mater. 2010, 184, 65–72. [Google Scholar] [CrossRef]
- Aytas, S.; Yurtlu, M.; Donat, R. Adsorption characteristic of U (VI) ion onto thermally activated bentonite. J. Hazard. Mater. 2009, 172, 667–674. [Google Scholar] [CrossRef] [PubMed]
- Özcan, A.S.; Gök, Ö.; Özcan, A. Adsorption of lead(II) ions onto 8-hydroxy quinoline-immobilized bentonite. J. Hazard. Mater. 2009, 161, 499–509. [Google Scholar] [CrossRef] [PubMed]
- Wang, Y.Q.; Zhang, Z.B.; Li, Q.; Liu, Y.H. Adsorption of uranium from aqueous solution using HDTMA+-pillared bentonite: Isotherm, kinetic and thermodynamic aspects. J. Radioanal. Nucl. Chem. 2012, 293, 231–239. [Google Scholar] [CrossRef]
- Kütahyali, C.; Eral, M. Selective adsorption of uranium from aqueous solutions using activated carbon prepared from charcoal by chemical activation. Sep. Purif. Technol. 2004, 40, 109–114. [Google Scholar] [CrossRef]
- Su, J.; Huang, H.G.; Jin, X.Y.; Lu, X.Q.; Chen, Z.L. Synthesis, characterization and kinetic of a surfactant-modified bentonite used to remove As(III) and As(V) from aqueous solution. J. Hazard. Mater. 2011, 185, 63–70. [Google Scholar] [CrossRef]
- Shah, L.A.; da Silva Valenzuela, M.D.G.; Farooq, M.; Khattak, S.A.; Valenzuela Díaz, F.R. Influence of preparation methods on textural properties of purified bentonite. Appl. Clay Sci. 2018, 162, 155–164. [Google Scholar] [CrossRef]
- Ma, J.; Qi, J.; Yao, C.; Cui, B.; Zhang, T.; Li, D. A novel bentonite-based adsorbent for anionic pollutant removal from water. Chem. Eng. J. 2012, 200–202, 97–103. [Google Scholar] [CrossRef]
- Pandey, S.; Ramontja, J. Recent Modifications of bentonite Clay for Adsorption Applications. Focus Sci. 2016, 2, 1–10. [Google Scholar] [CrossRef]
- Bentouami, A.; Ouali, M.S. Cadmium removal from aqueous solutions by hydroxy-8 quinoleine intercalated bentonite. J. Colloid Interface Sci. 2006, 293, 270–277. [Google Scholar] [CrossRef]
- Gök, Ö.; Özcan, A.; Erdem, B.; Özcan, A.S. Prediction of the kinetics, equilibrium and thermodynamic parameters of adsorption of copper(II) ions onto 8-hydroxy quinoline immobilized bentonite. Colloids Surf. A Physicochem. Eng. Asp. 2008, 317, 174–185. [Google Scholar] [CrossRef]
- Kahr, G.; Madsen, F.T. Determination of the cation exchange capacity and the surface area of bentonite, illite and kaolinite by methylene blue adsorption. Appl. Clay Sci. 1995, 9, 327–336. [Google Scholar] [CrossRef]
- Marczenko, Z. Separation and Spectrophotometric Determination of Elements; John Wiley & Sons Australia: Hoboken, NJ, USA, 1986; pp. 424–446. [Google Scholar]
- Zuo, Q.; Gao, X.; Yang, J.; Zhang, P.; Chen, G.; Li, Y.; Shi, K.; Wu, W. Investigation on the thermal activation of montmorillonite and its application for the removal of U(VI) in aqueous solution. J. Taiwan Inst. Chem. Eng. 2017, 80, 754–760. [Google Scholar] [CrossRef]
- Anirudhan, T.S.; Jalajamony, S. Ethyl thiosemicarbazide intercalated organophilic calcined hydrotalcite as a potential sorbent for the removal of uranium(VI) and thorium(IV) ions from aqueous solutions. J. Environ. Sci. (China) 2013, 25, 717–725. [Google Scholar] [CrossRef]
- Liu, Y.; Li, Q.; Cao, X.; Wang, Y.; Jiang, X.; Li, M.; Hua, M.; Zhang, Z. Removal of uranium(VI) from aqueous solutions by CMK-3 and its polymer composite. Appl. Surf. Sci. 2013, 285, 258–266. [Google Scholar] [CrossRef]
- Zhang, X.; Jiao, C.; Wang, J.; Liu, Q.; Li, R.; Yang, P.; Zhang, M. Removal of uranium(VI) from aqueous solutions by magnetic Schiff base: Kinetic and thermodynamic investigation. Chem. Eng. J. 2012, 198–199, 412–419. [Google Scholar] [CrossRef]
- Cheng, L.; Zhai, L.; Liao, W.; Huang, X.; Niu, B.; Yu, S. An investigation on the behaviors of thorium(IV) adsorption onto chrysotile nanotubes. J. Environ. Chem. Eng. 2014, 2, 1236–1242. [Google Scholar] [CrossRef]
- Talip, Z.; Eral, M.; Hiçsönmez, Ü. Adsorption of thorium from aqueous solutions by perlite. J. Environ. Radioact. 2009, 100, 139–143. [Google Scholar] [CrossRef]
- Du, S.; Wang, L.; Xue, N.; Pei, M.; Sui, W.; Guo, W. Polyethyleneimine modified bentonite for the adsorption of amino black 10B. J. Solid State Chem. 2017, 252, 152–157. [Google Scholar] [CrossRef]
- Sheikhmohammadi, A.; Mohseni, S.M.; khodadadi, R.; Sardar, M.; Abtahi, M.; Mahdavi, S.; Keramati, H.; Dahaghin, Z.; Rezaei, S.; Almasian, M.; et al. Application of graphene oxide modified with 8-hydroxyquinoline for the adsorption of Cr(VI) from wastewater: Optimization, kinetic, thermodynamic and equilibrium studies. J. Mol. Liq. 2017, 233, 75–88. [Google Scholar] [CrossRef]
- El-Dais, F.M.S.E.; Sayed, A.E.O.; Salah, B.A.; Shalabi, M.E.H. Removal of nickel(II) from aqueous solution via carbonized date pits and carbonized rice husks. Eurasian Chem. J. 2011, 13, 267–277. [Google Scholar] [CrossRef]
- Mellah, A.; Chegrouche, S.; Barkat, M. The removal of uranium(VI) from aqueous solutions onto activated carbon: Kinetic and thermodynamic investigations. J. Colloid Interface Sci. 2006, 296, 434–441. [Google Scholar] [CrossRef] [PubMed]
- Wang, Y.Q.; Zhang, Z.B.; Li, Q.; Liu, Y.H. Adsorption of thorium from aqueous solution by HDTMA+-pillared bentonite. J. Radioanal. Nucl. Chem. 2012, 293, 519–528. [Google Scholar] [CrossRef]
- Khalili, F.; Al-Banna, G. Adsorption of uranium(VI) and thorium(IV) by insolubilized humic acid from Ajloun soil—Jordan. J. Environ. Radioact. 2015, 146, 16–26. [Google Scholar] [CrossRef] [PubMed]
- Gao, Y.; Shao, Z.; Xiao, Z. U(VI) sorption on illite: Effect of pH, ionic strength, humic acid and temperature. J. Radioanal. Nucl. Chem. 2015, 303, 867–876. [Google Scholar] [CrossRef]
- Zhang, H.; Wang, X.; Liang, H.; Tan, T.; Wu, W. Adsorption behavior of Th(IV) onto illite: Effect of contact time, pH value, ionic strength, humic acid and temperature. Appl. Clay Sci. 2016, 127–128, 35–43. [Google Scholar]
- Wm, Y. Uranium Adsorption from Aqueous Solution Using Sodium Bentonite Activated Clay. J. Chem. Eng. Process Technol. 2017, 8, 1–8. [Google Scholar] [CrossRef]
- Yin, Z.; Pan, D.; Liu, P.; Wu, H.; Li, Z.; Wu, W. Sorption behavior of thorium(IV) onto activated bentonite. J. Radioanal. Nucl. Chem. 2018, 316, 301–312. [Google Scholar] [CrossRef]
- Zareh, M.M.; Aldaher, A.; Hussein, A.E.M.; Mahfouz, M.G.; Soliman, M. Uranium adsorption from a liquid waste using thermally and chemically modified bentonite. J. Radioanal. Nucl. Chem. 2013, 295, 1153–1159. [Google Scholar] [CrossRef]
- Pan, D.Q.; Fan, Q.H.; Li, P.; Liu, S.P.; Wu, W.S. Sorption of Th(IV) on Na-bentonite: Effects of pH, ionic strength, humic substances and temperature. Chem. Eng. J. 2011, 172, 898–905. [Google Scholar] [CrossRef]
- Wang, J.; Chen, Z.; Shao, D.; Li, Y.; Xu, Z.; Cheng, C.; Asiri, A.M.; Marwani, H.M.; Hu, S. Adsorption of U(VI) on bentonite in simulation environmental conditions. J. Mol. Liq. 2017, 242, 678–684. [Google Scholar] [CrossRef]

















| Constituents | Mass% | |
|---|---|---|
| Na-Bentonite | HQ-Bentonite | |
| Na2O | 4.616 | 0.504 |
| SiO2 | 46.75 | 44.57 |
| Al2O3 | 19.86 | 17.86 |
| Fe2O3total | 12.23 | 11.74 |
| MgO | 1.947 | 1.515 |
| CaO | 1.019 | 0.311 |
| TiO2 | 2.152 | 2.017 |
| P2O5 | 0.123 | 0.089 |
| K2O | 1.055 | 0.934 |
| SO3 | 0.289 | 0.033 |
| Loss of ignition (Loi) | 8.700 | 19.70 |
| Metal Ion | Freundlich Isotherm | Langmuir Isotherm | ||||
|---|---|---|---|---|---|---|
| n | Log K | R2 | Qe (mg/g) | b (L/mg) | R2 | |
| U(VI) | 3 | 1.235 | 0.9517 | 63.90 | 0.168 | 0.9881 |
| Th(IV) | 8.7 | 1.603 | 0.8320 | 65.44 | 0.640 | 0.9988 |
| Metal Ion | Temperature | Pseudo-First-Order | Pseudo-Second-Order | ||||||
|---|---|---|---|---|---|---|---|---|---|
| (k) | K1 (min−1) | qe | R2 | Ea1 (kJ/mol) | K2 × 10−3 (g/mg·min) | qe | R2 | Ea2 (kJ/mol) | |
| U(VI) | 303 | 0.217 | 29.3 | 0.9977 | 10.9 | 60.7 | 1 | ||
| 313 | 0.229 | 27.5 | 0.9922 | 12.8 | 64.5 | 0.9999 | |||
| 323 | 0.226 | 25.7 | 0.9964 | 0.8 | 14.9 | 68.9 | 0.9999 | 13.7 | |
| 333 | 0.225 | 23.4 | 0.9929 | 17.8 | 74.6 | 0.9997 | |||
| Th(IV) | 303 | 0.133 | 45 | 0.9596 | 16.2 | 56.9 | 0.998 | ||
| 313 | 0.128 | 43 | 0.9573 | 19.7 | 59.5 | 0.998 | |||
| 323 | 0.135 | 39.8 | 0.9006 | 4.4 | 23.6 | 65.1 | 0.999 | 17 | |
| 333 | 0.155 | 33.3 | 0.8630 | 30.1 | 71.6 | 0.999 | |||
| Metal Ion | ∆H° (kJ/mol) | ∆S° (kJ/mol K) | ∆G° (kJ/mol) | |||
|---|---|---|---|---|---|---|
| 303 K | 313 K | 323 K | 333 K | |||
| U(VI) | 61.3 | 0.20 | −0.70 | −1.30 | −3.30 | −5.30 |
| Th(IV) | 56.3 | 0.19 | −1.26 | −3.16 | −5.06 | −6.96 |
| Sorbent | Qmax (mg/g) | References | |
|---|---|---|---|
| U(VI) | Th(IV) | ||
| Diatomite (DT) Diatomite-hexadecyltrimethylammonium (DT-HDTMA) | 26.04 | 30.30 | [3] |
| 38.47 | 46.01 | [3] | |
| Insolubilized humic acid | 16.95 | 20.00 | [34] |
| Illite | 5.266 | 7.169 | [35,36] |
| Acid activated Na-bentonite | 11.80 | 14.30 | [37,38] |
| Thermally and chemically modified Na-bentonite | 29.60 | - | [39] |
| Na-Bentonite | 9.124 | 11.40 | [40,41] |
| HQ-bentonite | 63.90 | 65.44 | This work |
© 2019 by the authors. Licensee MDPI, Basel, Switzerland. This article is an open access article distributed under the terms and conditions of the Creative Commons Attribution (CC BY) license (http://creativecommons.org/licenses/by/4.0/).
Share and Cite
A. Salah, B.; S. Gaber, M.; T. Kandil, A.h. The Removal of Uranium and Thorium from Their Aqueous Solutions by 8-Hydroxyquinoline Immobilized Bentonite. Minerals 2019, 9, 626. https://doi.org/10.3390/min9100626
A. Salah B, S. Gaber M, T. Kandil Ah. The Removal of Uranium and Thorium from Their Aqueous Solutions by 8-Hydroxyquinoline Immobilized Bentonite. Minerals. 2019; 9(10):626. https://doi.org/10.3390/min9100626
Chicago/Turabian StyleA. Salah, Bahaa, Mohamed S. Gaber, and Abdel hakim T. Kandil. 2019. "The Removal of Uranium and Thorium from Their Aqueous Solutions by 8-Hydroxyquinoline Immobilized Bentonite" Minerals 9, no. 10: 626. https://doi.org/10.3390/min9100626
APA StyleA. Salah, B., S. Gaber, M., & T. Kandil, A. h. (2019). The Removal of Uranium and Thorium from Their Aqueous Solutions by 8-Hydroxyquinoline Immobilized Bentonite. Minerals, 9(10), 626. https://doi.org/10.3390/min9100626
