Role of DTAB and SDS in Bubble-Particle Attachment: AFM Force Measurement, Attachment Behaviour Visualization, and Contact Angle Study
Abstract
1. Introduction
2. Materials and Methods
2.1. Materials
2.2. Methods
2.2.1. AFM Force Measurements
2.2.2. Attachment Behaviour Visualisation and Contact Angle Measurement
3. Results and Discussion
3.1. Bubble-Particle Interaction Force in the Absence of DTAB and SDS
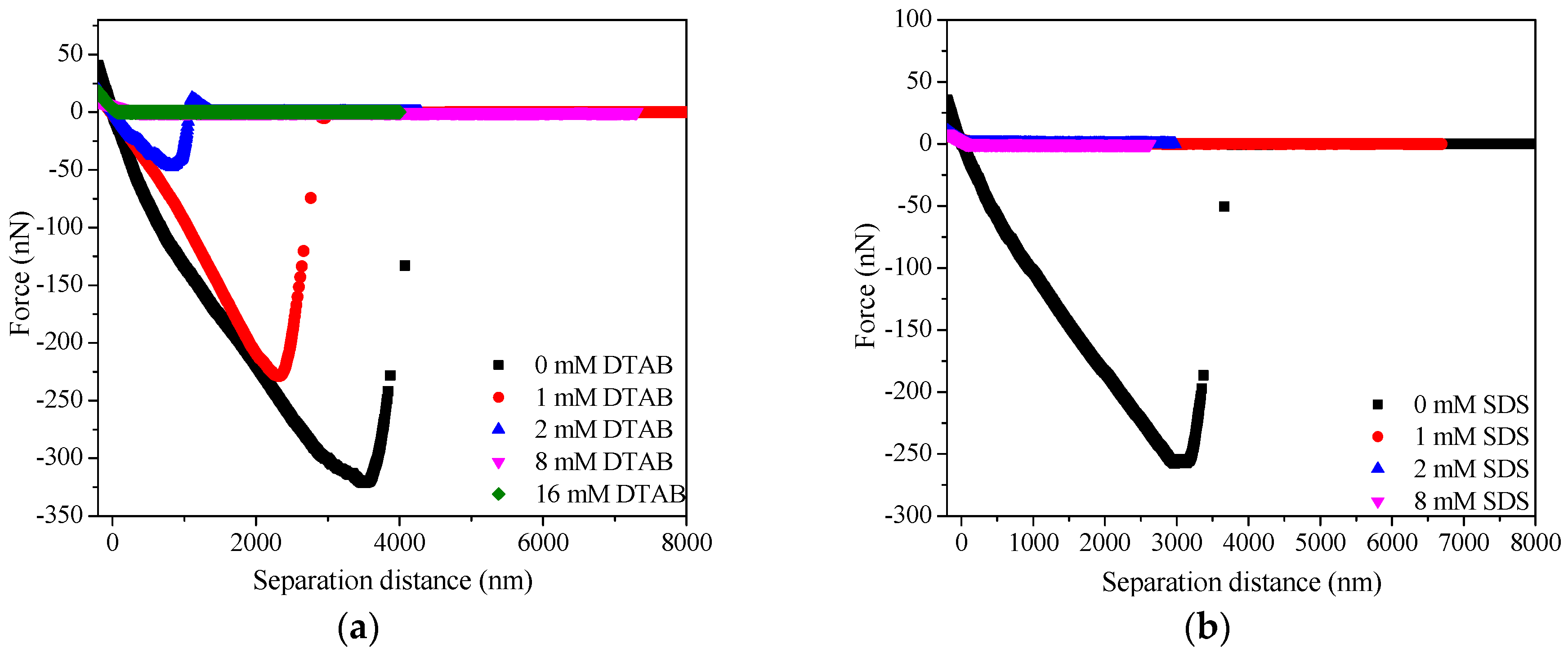
3.2. Bubble-Particle Interaction Force in the Presence of DTAB and SDS
3.3. Effect of DTAB and SDS on the Attachment Behaviour and Contact Angle
4. Conclusions
Author Contributions
Funding
Conflicts of Interest
References
- Xing, Y.; Gui, X.; Pan, L.; Pinchasik, B.; Cao, Y.; Liu, J.; Kappl, M.; Butt, H. Recent experimental advances for understanding bubble-particle attachment in flotation. Adv. Colloid Interface Sci. 2017, 246, 105–142. [Google Scholar] [CrossRef] [PubMed]
- Xing, Y.; Gui, X.; Cao, Y. The hydrophobic force for bubble-particle attachment in flotation-a brief review. Phys. Chem. Chem. Phys. 2017, 19, 24421–24435. [Google Scholar] [CrossRef] [PubMed]
- Xing, Y.W.; Gui, X.H.; Cao, Y.J. Effect of calcium ion on coal flotation in the presence of kaolinite clay. Energy Fuels 2016, 30, 1517–1523. [Google Scholar] [CrossRef]
- Xing, Y.W.; Gui, X.H.; Cao, Y.J.; Wang, D.P.; Zhang, H.J. Clean low-rank-coal purification technique combining cyclonic-static microbubble flotation column with collector emulsification. J. Clean. Prod. 2017, 153, 657–672. [Google Scholar] [CrossRef]
- Xing, Y.; Xu, M.; Gui, X.; Cao, Y.; Babel, B.; Rudolph, M.; Weber, S.; Kappl, M.; Butt, H. The application of atomic force microscopy in mineral flotation. Adv. Colloid Interface Sci. 2018, 256, 373–392. [Google Scholar] [CrossRef] [PubMed]
- Albijanic, B.; Ozdemir, O.; Nguyen, A.V.; Bradshaw, D. A review of induction and attachment times of wetting thin films between air bubbles and particles and its relevance in the separation of particles by flotation. Adv. Colloid Interface Sci. 2010, 159, 1–21. [Google Scholar] [CrossRef] [PubMed]
- Ralston, J.; Fornasiero, D.; Mishchuk, N. The hydrophobic force in flotation-a critique. Colloids Surf. A Physicochem. Eng. Asp. 2001, 192, 39–51. [Google Scholar] [CrossRef]
- Meyer, E.E.; Rosenberg, K.J.; Israelachvili, J. Recent progress in understanding hydrophobic interactions. Proc. Natl. Acad. Sci. USA 2006, 103, 15739–15746. [Google Scholar] [CrossRef] [PubMed]
- Pan, L.; Jung, S.; Yoon, R.H. Effect of hydrophobicity on the stability of the wetting films of water formed on gold surfaces. J. Colloid Interface Sci. 2011, 361, 321–330. [Google Scholar] [CrossRef] [PubMed]
- Xing, Y.; Gui, X.; Karakas, F.; Cao, Y. Role of Collectors and Depressants in Mineral Flotation: A Theoretical Analysis Based on Extended DLVO Theory. Minerals 2017, 7, 223. [Google Scholar] [CrossRef]
- Xing, Y.; Gui, X.; Cao, Y. Effect of bubble size on bubble-particle attachment and film drainage kinetics-A theoretical study. Powder Technol. 2017, 322, 140–146. [Google Scholar] [CrossRef]
- Pan, L.; Yoon, R. Measurement of hydrophobic forces in thin liquid films of water between bubbles and xanthate-treated gold surfaces. Miner. Eng. 2016, 98, 240–250. [Google Scholar] [CrossRef]
- Butt, H. A technique for measuring the force between a colloidal particle in water and a bubble. J. Colloid Interface Sci. 1994, 166, 109–117. [Google Scholar] [CrossRef]
- Nguyen, A.; Nalaskowski, J.; Miller, J. A study of bubble-particle interaction using atomic force microscopy. Miner. Eng. 2003, 16, 1173–1181. [Google Scholar] [CrossRef]
- Nguyen, A.; Evans, G.; Nalaskowski, J.; Miller, J. Hydrodynamic interaction between an air bubble and a particle: Atomic force microscopy measurements. Exp. Therm. Fluid Sci. 2004, 28, 387–394. [Google Scholar] [CrossRef]
- Preuss, M.; Butt, H.-J. Direct measurement of particle-bubble interactions in aqueous electrolyte: Dependence on surfactant. Langmuir 1998, 14, 3164–3174. [Google Scholar] [CrossRef]
- Xu, M.D.; Xing, Y.W.; Cao, Y.J.; Gui, X.H. Effect of dodecane and oleic acid on the attachment between oxidized coal and bubbles. Minerals 2018, 8, 29. [Google Scholar] [CrossRef]
- Tabor, R.F.; Grieser, F.; Dagastine, R.R.; Chan, D.Y. Measurement and analysis of forces in bubble and droplet systems using AFM. J. Colloid Interface Sci. 2012, 371, 1–14. [Google Scholar] [CrossRef] [PubMed]
- Johnson, D.J.; Miles, N.J.; Hilal, N. Quantification of particle-bubble interactions using atomic force microscopy: A review. Adv. Colloid Interface Sci. 2006, 127, 67–81. [Google Scholar] [CrossRef] [PubMed]
- Assemi, S.; Nguyen, A.V.; Miller, J.D. Direct measurement of particle–bubble interaction forces using atomic force microscopy. Int. J. Miner. Proc. 2008, 89, 65–70. [Google Scholar] [CrossRef]
- Preuss, M.; Butt, H.J. Direct measurement of forces between particles and bubbles. Int. J. Miner. Proc. 1999, 56, 99–115. [Google Scholar] [CrossRef]











© 2018 by the authors. Licensee MDPI, Basel, Switzerland. This article is an open access article distributed under the terms and conditions of the Creative Commons Attribution (CC BY) license (http://creativecommons.org/licenses/by/4.0/).
Share and Cite
Xing, Y.; Xu, M.; Li, M.; Jin, W.; Cao, Y.; Gui, X. Role of DTAB and SDS in Bubble-Particle Attachment: AFM Force Measurement, Attachment Behaviour Visualization, and Contact Angle Study. Minerals 2018, 8, 349. https://doi.org/10.3390/min8080349
Xing Y, Xu M, Li M, Jin W, Cao Y, Gui X. Role of DTAB and SDS in Bubble-Particle Attachment: AFM Force Measurement, Attachment Behaviour Visualization, and Contact Angle Study. Minerals. 2018; 8(8):349. https://doi.org/10.3390/min8080349
Chicago/Turabian StyleXing, Yaowen, Mengdi Xu, Ming Li, Wei Jin, Yijun Cao, and Xiahui Gui. 2018. "Role of DTAB and SDS in Bubble-Particle Attachment: AFM Force Measurement, Attachment Behaviour Visualization, and Contact Angle Study" Minerals 8, no. 8: 349. https://doi.org/10.3390/min8080349
APA StyleXing, Y., Xu, M., Li, M., Jin, W., Cao, Y., & Gui, X. (2018). Role of DTAB and SDS in Bubble-Particle Attachment: AFM Force Measurement, Attachment Behaviour Visualization, and Contact Angle Study. Minerals, 8(8), 349. https://doi.org/10.3390/min8080349
