Abstract
The structure evolution characteristics of high-organic-sulfur (HOS) coals with a wide range of ranks from typical Chinese areas were investigated using 13C-CP/MAS NMR. The results indicate that the structure parameters that are relevant to coal rank include CH3 carbon (fal*), quaternary carbon, CH/CH2 carbon + quaternary carbon (falH), aliphatic carbon (falC), protonated aromatic carbon (faH), protonated aromatic carbon + aromatic bridgehead carbon (faH+B), aromaticity (faCP), and aromatic carbon (farC). The coal structure changed dramatically in the first two coalification jumps, especially the first one. A large number of aromatic structures condensed, and aliphatic structures rapidly developed at the initial stage of bituminous coal accompanied by remarkable decarboxylation. Compared to ordinary coals, the structure evolution characteristics of HOS coals manifest in three ways: First, the aromatic CH3 carbon, alkylated aromatic carbon (faS), aromatic bridgehead carbon (faB), and phenolic ether (faP) are barely relevant to rank, and abundant organic sulfur has an impact on the normal evolution process of coal. Second, the average aromatic cluster sizes of some super-high-organic-sulfur (SHOS) coals are not large, and the extensive development of cross bonds and/or bridged bonds form closer connections among the aromatic fringes. Moreover, sulfur-containing functional groups are probably significant components in these linkages. Third, a considerable portion of “oxygen-containing functional groups” in SHOS coals determined by 13C-NMR are actually sulfur-containing groups, which results in the anomaly that the oxygen-containing structures increase with coal rank.
1. Introduction
Sulfur is one of the most hazardous elements in coal, and organic sulfur is more difficult to remove than other forms of sulfur in the conventional coal washing process. Thus, organic sulfur released during coal utilization could have severe adverse effect on the environment and human health. Generally, the coal with >1% organic sulfur is called high-organic-sulfur coal, and the organic sulfur content in super-high-organic-sulfur (SHOS) coal exceeds 4% [1,2]. The distribution of SHOS coals in the world is fairly limited. Croatia Raša coal is the representative with an incredible organic sulfur content of 11.4 wt % [3]. In addition, Spain Mequinenza lignite [4], New Zealand Charming Creek coal [5], India Tipong coal [6], and some coals from the Australia Gippsland Basin [7] are all SHOS coals. The SHOS coals in China are mainly part of the Late Permian coals in South China and primarily distributed in Guiding in Guizhou Province [8,9], Heshan in Guangxi Province [10,11], Chenxi in Hunan Province [12], Yanshan in Yunnan Province [13], Anxian in Sichuan Province [14], and Yishan in Guangxi Province [15]. Currently, it is controversial that the abundant “organic sulfur” in the SHOS coals is fully organically bound [16]. The existence of fine-grained pyrites would be expected to increase the organic sulfur content determined by subtraction method [12]. Nevertheless, in the present study, these difference values are tentatively regarded as the contents of organic sulfur in coal. With regard to the formation of high organic sulfur and/or pyrite in coal, although seawater has been considered one of the major sources [2,17,18,19], hydrothermal fluid and special evolution mechanism could play critical roles. The multi-stage hydrothermal activity is one of the reasons for enrichment not only of pyrite [20,21] but also of organic sulfur [22], and the repeating reduction-reoxidation-disproportionation enrichment model proposed by Li and Tang [23] is another explanation for the abnormal enrichment of organic sulfur in coal. In addition, most sulfur in some SHOS coals (e.g., the Yanshan coal [13]) was likely influenced by submarine exhalation, which was carried into the peat swamp and then evenly distributed in the organic matter [13,16]. The hydrothermal fluids that have caused highly elevated S in coal are generally of epithermal origin [20] or are closely related to volcanic activities both in the marine (e.g., submarine exhalation) and in the terrestrial environments [24]. On the other hand, the SHOS coals in some cases contain highly-elevated critical elements that have a great potential for industrial extraction and utilization (e.g., rare earth elements, Y, V, Se, Mo, U) [3,25,26].
The nondestructive solid-state 13C-NMR technique has been widely used during the last four decades [27,28,29,30,31,32,33,34,35,36,37,38,39] due to its potential for coal characterization. The wide application of 13C cross polarization magic angle spinning (CP/MAS) technique has significantly promoted our knowledge on coal chemical structures [40,41,42,43,44,45,46,47,48]. Spectral-editing and peak-fitting techniques have been well established to identify specific functional groups from the spectra [49,50,51,52], and the high-resolution NMR methods allow for the measurement of the relative abundance of aromatic, aliphatic, phenolic, and carboxylic carbons [53,54]. Moreover, the chemical structures of coal lithotypes and macerals were also investigated by 13C-NMR [55,56]. This technique has developed into an indispensable analytical method for coal macromolecular characterization [57,58,59,60].
There have been extensive studies on coal structure, organic sulfur structure in coal, and the structure evolution characteristics of ordinary coals. However, systematic studies on the structure of HOS coals are still limited, and the structure evolution characteristics of HOS coals are rarely reported. Besides, several S-containing coal structure models (Figure 1; [61,62,63,64]) have been proposed previously for a better understanding of coal structure, but the impact of abundant organic sulfur on coal structure remains unclear. The present study aims to investigate the compositional variations of aromatic carbons, aliphatic carbons, and oxygen-containing functional groups versus coal rank of HOS coals from typical Chinese areas; in addition, we explored the influence of abundant organic sulfur on the coal structure evolution. It could provide us new perspectives on the relationship between high organic sulfur and coal structure, and be potentially helpful for removing organic sulfur in the HOS coals.
Figure 1.
Typical S-containing coal structure models. (A) Fuchs’ model [61]; (B) Wiser’s model [62]; (C) Shinn’s model [63]; (D) Ye’s model; Syn-F, synchronous fluoresce spectroscopy; ESI-MS, electrospray ionization mass spectrometry; amu, atomic mass unit [64].
Coal structure is one of the major characteristics of the coal rank that is formed in different conditions including geological setting, type of peat-forming plants, paleoclimate, and paleo-hydrological regime [48]. Besides, pressure and temperature play significant roles in modifying the deposition environment and the chemical structure of deposited biopolymers, which leads to the formation of coals with various ranks [65,66,67,68]; whereas the length of the formation time is an additional factor determining coal quality [69]. Therefore, it is not surprising that structure differences exist between coals sharing the same rank, and the structure characteristics of certain coals do not correspond to the overall evolution trend.
2. Samples and Analytical Methods
Nine HOS bench samples across a wide range of coal ranks were collected from different locations in China (Figure 2 and Table 1). The span of their maximum vitrinite/huminite reflectances (from 0.293% to 3.934%; Table 1) covers four coalification jumps (i.e., Rmax around 0.6%, 1.3%, 2.5%, and 3.7%, respectively). The samples from southern China (JJP, CM, 6K, and GH) are all of a Late Permian age; while most of the samples from northern China (WHS, XY, SSP, and WTP) are Late Carboniferous coals, and the only lignite sample YX was collected from a Middle Jurassic coal seam. Each sample was stored in plastic bags to avoid from contamination and oxidation, and all samples were air dried before subsequent analyses.
Figure 2.
Sampling locations of high-organic-sulfur coals in the present study.
Table 1.
Basic information about vitrinite/huminite reflectance, sampling location, and geological background of high-organic-sulfur coals.
The maximum reflectance determination was conducted using ASTM Standard D2798-05 [70], and the maceral classification applied in the present study was based on ICCP System 1994 [71,72]. Proximate and ultimate analyses were performed using ASTM Standards D3173-03, D3175-02, D3174-04, and D3176-15 [73,74,75,76]. The total sulfur and forms of sulfur were determined following ASTM Standards D3177-02 and D2492-02 [77,78], respectively.
13C-NMR analyses were performed using a Bruker AVANCE III-400 MHz spectrometer with the CP/TOSS (cross polarization/ total suppression of spinning sidebands) pulse program (5.8 μs) at the Peking University Analytical Instrumentation Center, Beijing, China. A 13C resonance frequency of 100 MHz and a static magnetic field of 9.37 T were used for the experiments. The samples were ground to pass through a 200-mesh sieve and packed into a cylindrical zirconia rotor that was 4 mm in diameter. Cross polarization (contact time 3000 μs) with magic angle spinning (MAS) was applied at 5 KHz. 5200 scans were required to obtain the 13C spectra using a double-resonance probe head, and the acquisition time and sweep width were 0.05 s and 300 ppm, respectively. Topspin 3.0 was used as the testing software.
The chemical shifts and assignment for the 13C-NMR spectra of coal and its precursor have been summarized in previous studies [57,58,59,60,79,80,81,82,83,84,85], and the reported chemical shifts are mostly identical with only minor differences. The 13C-NMR structure parameters and assignment used in the present study are given in Table 2 [84,86,87,88]. Prior to deconvolution, the 13C-NMR spectrum was adjusted using the Nuts Software. Then, the PFM module of the Origin Software was used to subtract the baseline, add peaks manually according to the spectrum shape and assignment of NMR structure parameters, and adjust the position, height, and full width at half maximum for every peak to make the fitted curve as close as possible to the test spectrum.
Table 2.
Structure parameters and assignment for the 13C-NMR spectra of coal [84,86,87,88].
3. Results
3.1. Basic Petrographic and Chemical Data
Basic data, including maceral composition, proximate analysis, ultimate analysis, and total sulfur and forms of sulfur of the HOS coals are shown in Table 3. The organic sulfur content of Sample WTP (0.95%, Table 3) is a bit below 1%, which is, as mentioned above, taken as the criterion of least organic sulfur content for HOS coals, but this sample is also included in the present study due to its high rank. All samples are dominated by vitrinite/huminite macerals (65.0–96.6%), and inertinite components (0.5–32.7%) come next. The liptinite macerals cannot be observed in most samples, except for Samples YX, WHS, and GH that contain 2.0–2.9% liptinites.
Table 3.
Maceral composition, proximate analysis, ultimate analysis, and total sulfur and forms of sulfur in high-organic-sulfur coals.
The volatile-matter yield, carbon content, hydrogen content, and H/C ratio display clear correlations with maximum reflectance of HOS coals (Figure 3A–D), suggesting that they could be regarded as indicating parameters for coal rank. As expected for lignite, Sample YX has much higher oxygen content than other samples, and the oxygen content generally shows a decreasing trend versus coal rank (Figure 3E). It seems that the nitrogen content has nothing to do with the coal rank due to its variable trend (Figure 3F).
Figure 3.
Relationships between selected proximate/ultimate parameters and maximum reflectance of vitrinite/huminite (Rmax) of high-organic-sulfur (HOS) coals. (A) volatile matter vs. Rmax; (B) carbon content vs. Rmax; (C) hydrogen content vs. Rmax; (D) hydrogen/carbon ratio vs. Rmax; (E) oxygen content vs. Rmax; (F) nitrogen content vs. Rmax.
Generally, sulfide mineral (e.g., pyrite that contains pyritic sulfur) is one of the causes for coal combustion residual; thus, there should be a positive correlation between pyritic sulfur and ash yield. Meanwhile, pyritic sulfur and organic sulfur are usually negatively correlated to each other, especially when sulfate sulfur is negligible. Therefore, a negative correlation should exist between ash yield and organic sulfur. However, in the present study, the variation of ash yield across HOS coals (except for Samples YX and SSP) is generally compatible to that of organic sulfur content (Figure 4A). A possible explanation to this observation is that the organic sulfur contents derived from subtraction method are not definitively accurate, because a portion of sulfur occurring in fine-grained S-containing minerals that are dispersed in organic matter as inclusions were mistaken as organically associated, especially for the SHOS coals, as suggested by Li et al. [12]. The negative correlations between oxygen/nitrogen and organic sulfur (Figure 4B,C) indicate a limited capacity of coal macromolecular structure for heteroatoms. Part of bonding sites that can be assigned to oxygen and nitrogen are taken up by organic sulfur in the HOS coals.
Figure 4.
Relationships between selected proximate/ultimate parameters and organic sulfur content (So,d) of HOS coals. (A) ash yield vs. So,d; (B) oxygen content vs. So,d; (C) nitrogen content vs. So,d.
3.2. 13C-NMR Spectra and Peak-Fitting Results of HOS Coals
The solid-state 13C-CP/MS NMR spectra of the HOS coals are shown in Figure 5. From the qualitative perspective, each spectrum exhibits two broad bands that represent aliphatic carbons (<90 ppm) and aromatic carbons (>90 ppm), respectively. With increasing coal rank, aliphatic carbons decrease gradually, and aromatic carbons increase along with the aromatic bands becoming more thin and sharp, indicating an increasing maturity of the coal. Besides, the spectrum of aromatic carbons becomes smoother as coal rank grows, suggesting an increasing homogeneity of chemical structure. The satisfactory peak-fitting effect (Figure 6) is the prerequisite for reliable deconvolution results. Based on the 13C-NMR structure assignment, each spectrum can be resolved into as many as twelve bands (Table 4).
Figure 5.
Solid-state 13C-NMR spectra of high organic sulfur coals with increasing rank from top to bottom.
Figure 6.
Peak-fitting effect for 13C-NMR spectra. The test spectra are solid black, and the curve-fitted lines are dotted red. (A) Sample YX; (B) Sample WTP.
Table 4.
13C-NMR peak-fitting results of high-organic-sulfur coals (%).
4. Discussion
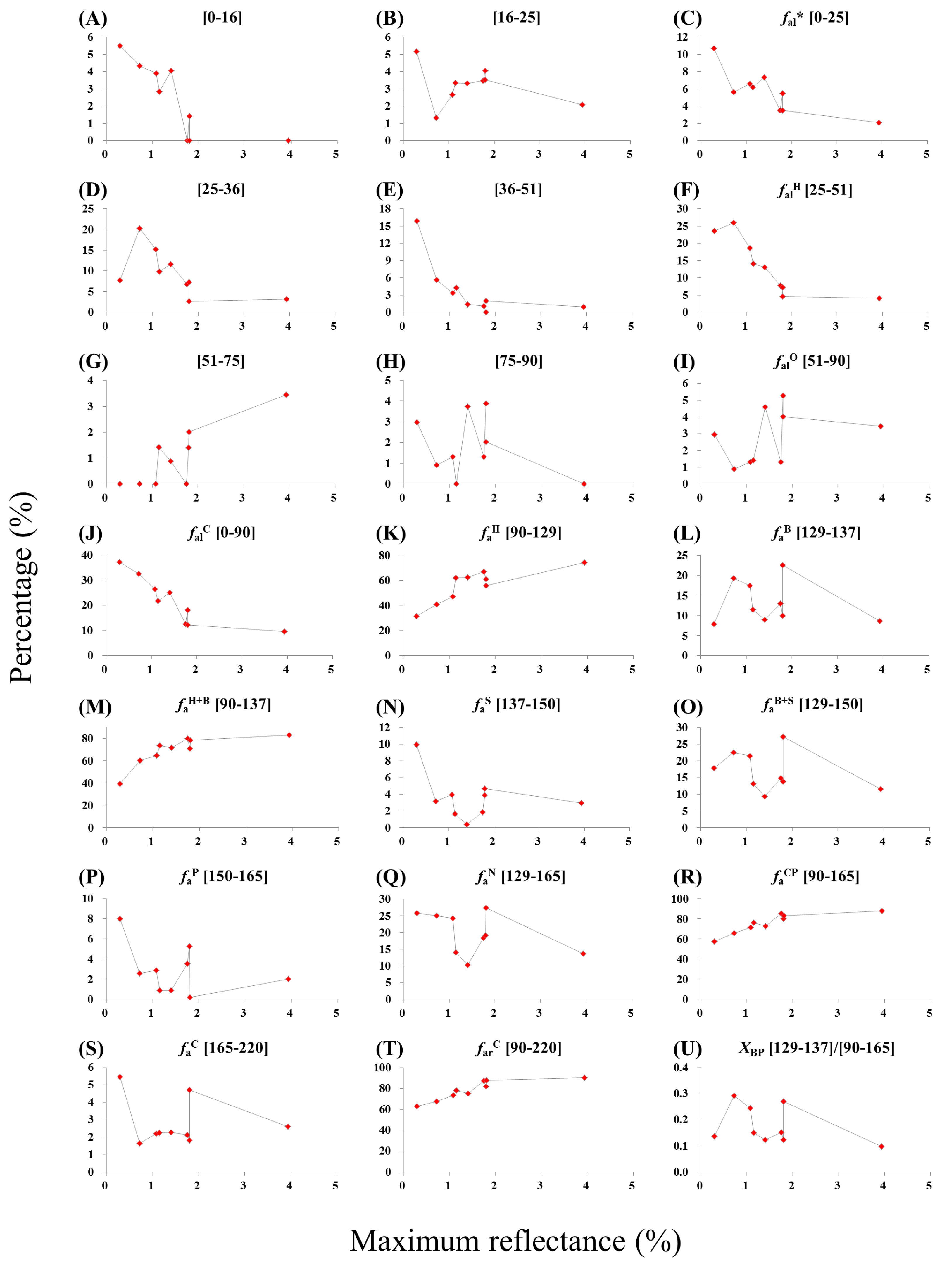
Carbon content and oxygen/carbon ratio were chosen as parameters of coal rank by Zhang [89] to explore the carbon structure evolution characteristics of low-to-medium rank coals using 13C-NMR. Zhang’s results demonstrated that there is a good correlation between aromatic carbon (farC), protonated aromatic carbon (faH), aromatic bridgehead carbon (faB), phenolic ethers (faP), alkylated aromatic carbon (faS), aliphatic carbon (falC), aromatic CH3 carbon, and aliphatic CH3 carbon vs. coal rank. In the present study, maximum reflectance of vitrinite/huminite (Rmax) was selected as the coal rank parameter, and the variations in the 13C-NMR structure parameters versus Rmax are shown in Figure 7. Aliphatic CH3 carbon, CH3 carbon (fal*), quaternary carbon, CH/CH2 carbon + quaternary carbon (falH), aliphatic carbon (falC), protonated aromatic carbon (faH), protonated aromatic carbon + aromatic bridgehead carbon (faH+B), aromaticity (faCP), and aromatic carbon (farC) exhibit clear relevance with coal rank. Thus, in comparison with ordinary coals, the structure evolution of the HOS coals does not display an apparent relationship between aromatic CH3 carbon, aromatic bridgehead carbon (faB), phenolic ethers (faP), and alkylated aromatic carbon (faS) vs. coal rank, suggesting that abundant organic sulfur has an impact on coal structure evolution.
Figure 7.
Variations of 13C-NMR structure parameters versus maximum vitrinite/huminite reflectance (Rmax, %). The unit for chemical shift is ppm. (A) aliphatic CH3 carbon [0–16] vs. Rmax; (B) aromatic CH3 carbon [16–25] vs. Rmax; (C) CH3 carbon (fal*) [0–25] vs. Rmax; (D) CH/CH2 carbon [25–36] vs. Rmax; (E) quaternary carbon [36–51] vs. Rmax; (F) CH/CH2 carbon + quaternary carbon (falH) [25–51] vs. Rmax; (G) methoxyl/aromatic methoxyl [51–75] vs. Rmax; (H) aliphatic carbon bonded to oxygen in cyclic hydrocarbon [75–90] vs. Rmax; (I) aliphatic carbon bonded to oxygen (falO) [51–90] vs. Rmax; (J) aliphatic carbon (falC) [0–90] vs. Rmax; (K) protonated aromatic carbon (faH) [90–129] vs. Rmax; (L) aromatic bridgehead carbon (faB) [129–137] vs. Rmax; (M) protonated aromatic carbon + aromatic bridgehead carbon (faH+B) [90–137] vs. Rmax; (N) alkylated aromatic carbon (faS) [137–150] vs. Rmax; (O) aromatic carbon bonded to carbon (faB+S) [129–150] vs. Rmax; (P) phenolic ethers (faP) [150–165] vs. Rmax; (Q) non-protonated aromatic carbon (faN) [129–165] vs. Rmax; (R) aromaticity (faCP) [90–165] vs. Rmax; (S) carbonyl/carboxyl carbon (faC) [165–220] vs. Rmax; (T) aromatic carbon (farC) [90–220] vs. Rmax; (U) ratio of aromatic bridgehead carbon to aromaticity (XBP) [129–137]/[90–165] vs. Rmax.
13C-NMR structure parameters can be divided into three categories as follows: aliphatic carbons, aromatic carbons, and oxygen-containing functional groups.
4.1. Aliphatic Carbon Evolution Characteristics of HOS Coals
4.1.1. Aliphatic Carbon (falC)
A negative correlation is shown between aliphatic carbon and coal rank (Figure 7J). The variation trend at low-to-medium rank is relatively steep, and it becomes a gentle slope as the rank increases. The maximum at approximately Rmax 1.404% (Sample CM) could be related to the second coalification jump, and another maximum exists around Rmax 1.801% (Sample 6K).
4.1.2. CH3 Carbon (fal*)
0–25 ppm is the combined effect scope of aliphatic CH3 carbons (0–16 ppm) and aromatic CH3 carbons (16–25 ppm). The aliphatic CH3 carbons decrease significantly from low to medium rank (Rmax 0.293–1.80%) and are completely detached at higher rank (Figure 7A). This indicates that the chain structures progressively break off during the coalification process.
The proportion of aromatic CH3 carbons in lignite (Sample YX) is the largest, and it decreases in anthracite (Sample WTP). It is important to note that the aromatic CH3 carbons increase with coal rank in the whole bituminous stage (Figure 7B). This variation indicates that there is no shortage of aromatic structures in lignite, and they are highly dispersed. Sufficient aromatic bonding sites lead to high aromatic methyl content. The coal structure suffered immense alteration in the first coalification jump, and the aromatic structures condensed at the initial stage of bituminous coal resulting in a decrease in the quantity of bonding sites for aromatic methyl. The increasing content of aromatic methyl in the bituminous coal stage is due to the extension of aromatic structures. As for anthracite, the aromatic structures experienced severe polycondensation, which resulted in the decrease of aromatic CH3 carbons.
The combination of aliphatic CH3 carbons and aromatic CH3 carbons brought a generally negative correlation between CH3 carbons (fal*) and coal rank (Figure 7C). Specifically, the increase in aromatic CH3 carbons is more pronounced in the first half of the bituminous stage, and the decrease in aliphatic CH3 carbons is dominant in the second half of the bituminous stage.
4.1.3. CH2/CH Carbon + Quaternary Carbon (falH)
The content of methylene and methyne represents the development degree of the chain structures in coal, and the average length of the aliphatic chains (Table 5) can be calculated through the ratio of the sum of methylene and aliphatic methyl to aliphatic methyl [90]. Overall, the average length gradually shortens except for lignite (Sample YX). The large quantity of CH3 carbons (fal*) and low content of CH2/CH carbons in lignite (Figure 7C,D) suggest that the aliphatic chains in Sample YX are widespread, but they are generally short and undeveloped. The chain structures experienced a large expansion at the beginning of bituminous coal stage; afterwards, the chain structures gradually shortened. When Rmax reached 1.752% (Sample SSP), the aliphatic chains vanished due to the absence of aliphatic methyl. As an exception, the average length of aliphatic chains in Sample 6K is the longest among all studied samples and is not in line with the general variation trend (Table 5), which warrants further study.
Table 5.
Average length of aliphatic chains in high-organic-sulfur coals.
4.2. Aromatic Carbon Evolution Characteristics of HOS Coals
Three main parameters are widely used for coal aromaticity characterization as follows: aromatic carbon (farC), aromaticity (faCP), and the ratio of aromatic bridgehead carbon to aromaticity (XBP).
4.2.1. Aromatic Carbon (farC) and Aromaticity (faCP)
Aromatic carbons exhibit a positive correlation with Rmax (Figure 7T); thus, it can be regarded as an alternative parameter for coal rank determination. The aromatic carbon content is slightly lower than expected at Rmax 1.404% (Sample CM) due to its low inertinite content (6.0%; Table 3), which bears a higher degree of condensation relative to vitrinite/huminite. The aromaticity also displays a positive correlation versus Rmax (Figure 7R), and its steady variation suggests a gradual quantity growth of aromatic fringes during the coalification process.
4.2.2. Ratio of Aromatic Bridgehead Carbon to Aromaticity (XBP)
The parameter XBP refers to the percentage of aromatic bridgehead carbons in all aromatic carbons, which characterizes the average aromatic cluster size of the coal macromolecule; in general, the value of this parameter increases with coal rank. Aromatization predominates in the low-to-medium metamorphic stage of coal, in other words, the aliphatic chains break off to form aromatic rings; while, condensation is dominant in the medium-to-high metamorphic stage, which means that the simple aromatic rings are condensed into polynuclear structures.
In the present study, the significant variation trend of XBP is dependent on that of aromatic bridgehead carbon due to the gradual change of aromaticity across all samples (Figure 7L,R,U). The gradual variations in farC and faCP indicate that coals with similar ranks possess equivalent amounts of aromatic carbons and aromatic fringes; accordingly, they should have comparable average sizes for aromatic clusters. Therefore, in theory, XBP should also display a gradual variation trend, which is incompatible with the observation made in this study (Figure 7U). Since aromatic fringes are not the causes for this contradiction, it is likely due to the structures between aromatic fringes. The most reasonable explanation for this anomaly is that the high XBP values of Samples JJP, WHS, and GH are abnormal, and their aromatic clusters are not that large; however, the extensive development of cross bonds and/or bridged bonds results in closer connections between aromatic fringes. Besides, the Samples JJP and GH are typical SHOS coals, and sulfur-containing functional groups are likely to be significant components in these linkages.
In addition, both protonated aromatic carbon (faH) and aromatic bridgehead carbon (faB) show variable trends across all HOS coals (Figure 7K,L), but the sum of them (faH+B) exhibits a gradual trend and a positive correlation versus coal rank (Figure 7M). Non-protonated aromatic carbon (faN) and aromatic carbon bonded to carbon (faB+S) share similar variation trends (Figure 7O,Q).
4.3. Oxygen-Containing Functional Group Evolution Characteristics of HOS Coals
Carbonyl/carboxyl carbon (faC), phenolic ethers (faP), and aliphatic carbon bonded to oxygen (falO) are appropriate parameters for characterizing oxygen-containing functional groups in coal [91].
In the present study, the content variations of oxygen-containing functional groups vs. maximum reflectance of vitrinite/huminite are shown in Figure 8. As expected for lignite, Sample YX has the most oxygen-containing structures, which conforms to the characteristics of low-rank coals; specifically, phenolic ethers are the most abundant, and carbonyl/carboxyl carbon comes next and followed by aliphatic carbon bonded to oxygen. From lignite (Sample YX) to bituminous coal (Sample JJP), the significant drop of oxygen-containing structures demonstrates that they suffered from intense destruction during the first coalification jump. Coalification is typically a de-oxidation process; however, the variation of total oxygen-containing structures generally exhibits an increase with coal rank in the bituminous to anthracite stage. Among bituminous coals, the SHOS Samples CM, SSP, 6K, and GH are of abnormally high organic sulfur contents, and they have more oxygen-containing structures than other HOS coals (except Sample JJP). Considering the similar chemical properties and atomic structures of sulfur and oxygen, the most likely explanation for this observation is that a considerable portion of the “oxygen-containing functional groups” determined by 13C-NMR are actually sulfur-containing functional groups, which leads to the anomalous increase of oxygen-containing structures versus coal rank. This differs from the observations made in previous studies on the structure evolution characteristics of non-HOS coals. In addition, compared to other coals in the present study, the organic sulfur content of Sample WTP (anthracite) is relatively low, and its large proportion of oxygen-containing structures is possibly due to some functional groups being subjected to oxidation.
Figure 8.
Variations in oxygen-containing functional groups versus coal rank of high organic sulfur coals.
4.3.1. Phenolic Ethers (faP)
4.3.2. Carbonyl/Carboxyl Carbon (faC)
Generally, the content of carbonyl/carboxyl carbon decreases and decarboxylation persists in the whole coalification process. It reflects the characteristics of side chains falling off and aromaticity increasing. At first, the –OH groups fall off during decarboxylation, and then, the proportion of –C=O groups increases followed by the destruction of –C=O groups [89].
Due to the negligible contents of carbonyl carbon (0–0.05%), the variation trend of faC depends on that of the carboxyl carbon (Figure 7S and Table 4). Lignite has the highest content (5.42%) of carboxyl carbon, and the contents of all the bituminous coals are lower and comparable (1.65–2.29%) except Sample GH (4.70%) (Table 4), indicating the remarkable decarboxylation during the first coalification jump. The formation of thionocarboxylic groups is possibly responsible for the abnormally high carboxyl carbon content in Sample GH, which owns the most organic sulfur in the studied samples.
4.3.3. Aliphatic Carbon Bonded to Oxygen (falO)
The proportion of methoxyl/aromatic methoxyl (51–75 ppm) increases generally with coal rank, with a dip at Sample SSP (Rmax 1.752%) (Figure 7G). By comparison, the variation in the aliphatic carbon bonded to oxygen in cyclic hydrocarbon (75–90 ppm) is much more complicated (Figure 7H). Thus, the variation of falO exhibits no correlation to coal rank (Figure 7I). In addition, Sample WTP (anthracite) has a low aliphatic/aromatic CH3 carbon content and relatively high falO content. In combination with the analysis of oxygen-containing structures above, the oxidized structures in Sample WTP can be inferred as methyls.
5. Conclusions
Each 13C-NMR spectrum of HOS coal can be resolved into as many as 12 peaks. The CH3 carbon (fal*), quaternary carbon, CH/CH2 carbon + quaternary carbon (falH), aliphatic carbon (falC), protonated aromatic carbon (faH), protonated aromatic carbon + aromatic bridgehead carbon (faH+B), aromaticity (faCP), and aromatic carbon (farC) exhibit clear correlations with coal rank. Compared to ordinary coals, the structure evolution of HOS coals exhibits no correlations between the aromatic CH3 carbon, aromatic bridgehead carbon (faB), phenolic ethers (faP), and alkylated aromatic carbon (faS) versus rank, which suggests that high organic sulfur has an impact on the regular evolution process of coal structure.
The maximum of aliphatic carbon (falC) at Rmax 1.404% is due to the second coalification jump. There was no shortage of aromatic structures in lignite but were dispersed. The coal structure varied significantly in the first coalification jump, and the aromatic structures condensed at the initial stage of bituminous coal and stretched gradually in the whole bituminous stage. The aliphatic chains in lignite were widespread but generally short. These chains expanded greatly at the beginning of bituminous coal and then became shortened and detached before vanishing at around Rmax 1.752%.
The aromatic fringes of HOS coals increase gradually in the coalification process, but the aromatic cluster size barely exhibits relevance to rank. It is inferred that the aromatic cluster sizes of some SHOS coals are not large, but the extensive development of cross bonds and/or bridged bonds form closer connections among aromatic fringes. In addition, sulfur-containing functional groups are likely to be significant components in these linkages.
For SHOS coals, a considerable portion of the “oxygen-containing functional groups” determined by 13C-NMR are actually sulfur-containing groups, which results in the anomaly that oxygen-containing structures increase versus coal rank. This indicates the substitution of oxygen by sulfur, which is also supported by the inverse correlation between oxygen and organic sulfur based on the ultimate analysis data. In addition, the decarboxylation is remarkable during the first coalification jump.
Acknowledgments
This research was supported by the National Key Basic Research Program of China (No. 2014CB238905) and the “111” Project (No. B17042). Hui Fu of the Analytical Instrumentation Center, Peking University is thanked for her help in performing the 13C-NMR analyses.
Author Contributions
Qiang Wei and Yuegang Tang conceived and designed the experiments and analyzed the data; Qiang Wei wrote the paper.
Conflicts of Interest
The authors declare no conflict of interest.
References
- Chou, C.-L. Geologic factors affecting the abundance, distribution, and speciation of sulfur in coals. In Geology of Fossil Fuels, Proceedings of the 30th International Geological Congress: Part B, Beijing, China, 4–14 August 1996; Yang, Q., Ed.; VSP: Utrecht, The Netherlands, 1997; Volume 18, pp. 47–57. [Google Scholar]
- Chou, C.-L. Sulfur in coals: A review of geochemistry and origins. Int. J. Coal Geol. 2012, 100, 1–13. [Google Scholar] [CrossRef]
- Sinninghe Damsté, J.S.; White, C.M.; Green, J.B.; de Leeuw, J.W. Organosulfur Compounds in Sulfur-Rich Raša Coal. Energy Fuels 1999, 13, 728–738. [Google Scholar] [CrossRef]
- White, C.M.; Collins, L.W.; Veloski, G.A.; Irdi, G.A.; Rothenberger, K.S.; Gray, R.J.; LaCount, R.B.; Kasrai, M.; Bancroft, G.M. A study of Mequinenza lignite. Energy Fuels 1994, 8, 155–171. [Google Scholar] [CrossRef]
- Torres-Ordonez, R.J.; Calkins, W.H.; Klein, M.T. Distribution of organic-sulfur-containing structures in high organic sulfur coals. In Geochemistry of Sulfur in Fossil Fuels; ACS Symposium Series; Orr, W.L., White, C.M., Eds.; American Chemical Society: Washington, DC, USA, 1990; pp. 287–295. ISBN 0841218048. [Google Scholar]
- Calkins, W.H. The chemical forms of sulfur in coal: A review. Fuel 1994, 73, 475–484. [Google Scholar] [CrossRef]
- Smith, J.W.; Batts, B.D. The distribution and isotopic composition of sulfur in coal. Geochim. Cosmochim. Acta 1974, 38, 121–133. [Google Scholar] [CrossRef]
- Lei, J. Sulfur occurring regulation of Late Permian coal in Guizhou Province and component, structure and formation of high organosulfur coal. Ph.D. Thesis, China University of Mining and Technology, Beijing, China, 1993. (In Chinese with English Abstract). [Google Scholar]
- Dai, S.; Seredin, V.V.; Ward, C.R.; Hower, J.C.; Xing, Y.; Zhang, W.; Song, W.; Wang, P. Enrichment of U–Se–Mo–Re–V in coals preserved within marine carbonate successions: Geochemical and mineralogical data from the Late Permian Guiding Coalfield, Guizhou, China. Miner. Deposita 2015, 50, 159–186. [Google Scholar] [CrossRef]
- Shao, L.; Jones, T.; Gayer, R.; Dai, S.; Li, S.; Jiang, Y.; Zhang, P. Petrology and geochemistry of the high-sulphur coals from the Upper Permian carbonate coal measures in the Heshan Coalfield, southern China. Int. J. Coal Geol. 2003, 55, 1–26. [Google Scholar] [CrossRef]
- Dai, S.; Zhang, W.; Seredin, V.V.; Ward, C.R.; Hower, J.C.; Song, W.; Wang, X.; Li, X.; Zhao, L.; Kang, H.; et al. Factors controlling geochemical and mineralogical compositions of coals preserved within marine carbonate successions: A case study from the Heshan Coalfield, southern China. Int. J. Coal Geol. 2013, 109–110, 77–100. [Google Scholar] [CrossRef]
- Li, W.; Tang, Y.; Deng, X.; Yu, X.; Jiang, S. Geochemistry of the trace elements in the high-organic-sulfur coals from Chenxi coalfield. J. China Coal Soc. 2013, 38, 1227–1233, (In Chinese with English Abstract). [Google Scholar]
- Dai, S.; Ren, D.; Zhou, Y.; Chou, C.-L.; Wang, X.; Zhao, L.; Zhu, X. Mineralogy and geochemistry of a super high-organic-sulfur coal, Yanshan Coalfield, Yunnan, China: Evidence for a volcanic ash component and influence by submarine exhalation. Chem. Geol. 2008, 255, 182–194. [Google Scholar] [CrossRef]
- Ren, D.; Tang, Y.; Lei, J. Study on regularities of sulfur occurrence and pyrite magnetism of Late Permian coals in southwest China. J. China Univ. Min. Technol. 1994, 4, 64–73. [Google Scholar]
- Dai, S.; Xie, P.; Ward, C.R.; Yan, X.; Guo, W.; French, D.; Graham, I.T. Anomalies of rare metals in Lopingian super-high-organic-sulfur coals from the Yishan Coalfield, Guangxi, China. Ore Geol. Rev. 2017, 88, 235–250. [Google Scholar] [CrossRef]
- Dai, S.; Ren, D.; Zhou, Y.; Chou, C.L.; Wang, X.; Zhao, L.; Zhu, X. Multi-origin of synsedimentary volcanic ash and submarine exhalation for the enrichment of trace elements and minerals in coal. Chin. Sci. Bull. 2008, 53, 3120–3126, (In Chinese with English Abstract). [Google Scholar]
- Lei, J.; Ren, D.; Tang, Y.; Chu, X.; Zhao, R. Sulfur-accumulating model of superhigh organosulfur coal from Guiding, China. Chin. Sci. Bull. 1994, 39, 1817–1821. [Google Scholar]
- Dai, S.; Ren, D.; Tang, Y.; Shao, L.; Li, S. Distribution, isotopic variation and origin of sulfur in coals in the Wuda coalfield, Inner Mongolia, China. Int. J. Coal Geol. 2002, 51, 237–250. [Google Scholar] [CrossRef]
- Dai, S.; Hou, X.; Ren, D.; Tang, Y. Surface analysis of pyrite in the No. 9 coal seam, Wuda Coalfield, Inner Mongolia, China, using high-resolution time-of-flight secondary ion mass-spectrometry. Int. J. Coal Geol. 2003, 55, 139–150. [Google Scholar] [CrossRef]
- Dai, S.; Wang, X.; Seredin, V.V.; Hower, J.C.; Ward, C.R.; O’Keefe, J.M.K.; Huang, W.; Li, T.; Li, X.; Liu, H.; et al. Petrology, mineralogy, and geochemistry of the Ge-rich coal from the Wulantuga Ge ore deposit, Inner Mongolia, China: New data and genetic implications. Int. J. Coal Geol. 2012, 90–91, 72–99. [Google Scholar] [CrossRef]
- Dai, S.; Yang, J.; Ward, C.R.; Hower, J.C.; Liu, H.; Garrison, T.M.; French, D.; O’Keefe, J.M.K. Geochemical and mineralogical evidence for a coal-hosted uranium deposit in the Yili Basin, Xinjiang, northwestern China. Ore Geol. Rev. 2015, 70, 1–30. [Google Scholar] [CrossRef]
- Dai, S.; Zhang, W.; Ward, C.R.; Seredin, V.V.; Hower, J.C.; Li, X.; Song, W.; Wang, X.; Kang, H.; Zheng, L.; et al. Mineralogical and geochemical anomalies of late Permian coals from the Fusui Coalfield, Guangxi Province, southern China: Influences of terrigenous materials and hydrothermal fluids. Int. J. Coal Geol. 2013, 105, 60–84. [Google Scholar] [CrossRef]
- Li, W.; Tang, Y. Sulfur isotopic composition of super high-organic-sulfur coals from the Chenxi coalfield, southern China. Int. J. Coal Geol. 2014, 127, 3–13. [Google Scholar] [CrossRef]
- Dai, S.; Ward, C.R.; Graham, I.T.; French, D.; Hower, J.C.; Zhao, L.; Wang, X. Altered volcanic ashes in coal and coal-bearing sequences: A review of their nature and significance. Earth-Sci. Rev. 2017, 175, 44–74. [Google Scholar] [CrossRef]
- Dai, S.; Yan, X.; Ward, C.R.; Hower, J.C.; Zhao, L.; Wang, X.; Zhao, L.; Ren, D.; Finkelman, R.B. Valuable elements in Chinese coals: A review. Int. Geol. Rev. 2016. [Google Scholar] [CrossRef]
- Dai, S.; Finkelman, R.B. Coal as a promising source of critical elements: Progress and future prospects. Int. J. Coal Geol. 2017, in press. [Google Scholar] [CrossRef]
- VanderHart, D.L.; Retcofsky, H.L. Estimation of coal aromaticities by proton decoupled carbon-13 magnetic resonance spectra of whole coals. Fuel 1976, 55, 202–204. [Google Scholar] [CrossRef]
- Zilm, K.W.; Pugmire, R.J.; Larter, S.R.; Allan, J.; Grant, D.M. Carbon-13 CP/MAS spectroscopy of coal macerals. Fuel 1981, 60, 717–722. [Google Scholar] [CrossRef]
- Wilson, M.A.; Pugmire, R.J.; Grant, D.M. Nuclear magnetic resonance spectroscopy of soils and related materials. Relaxation of 13C nuclei in cross polarization nuclear magnetic resonance experiments. Org. Geochem. 1983, 5, 121–129. [Google Scholar] [CrossRef]
- Newman, R.H.; Davenport, S.J. Comparison of Australasian tertiary coals based on resolution-enhanced solid-state 13C n.m.r. spectra. Fuel 1986, 65, 533–540. [Google Scholar] [CrossRef]
- Axelson, D.E. Solid state carbon-13 nuclear magnetic resonance study of Canadian coals. Fuel Process. Technol. 1987, 16, 257–278. [Google Scholar] [CrossRef]
- Hatcher, P.G. Dipolar-dephasing 13C-NMR studies of decomposed wood and coalified xylem tissue: Evidence for chemical structural changes associated with defunctionalization of lignin structural units during coalification. Energy Fuels 1988, 2, 48–58. [Google Scholar] [CrossRef]
- Hatcher, P.G.; Lerch, H.E.; Verheyen, T.V. Organic geochemical studies of the transformation of gymnospermous xylem during peatification and coalification to subbituminous coal. Int. J. Coal Geol. 1989, 13, 65–97. [Google Scholar] [CrossRef]
- Hatcher, P.G.; Wilson, M.A.; Vassallo, A.M.; Lerch, H.E. Studies of angiospermous wood in Australian brown coal by nuclear magnetic resonance and analytical pyrolysis: New insights into the early coalification process. Int. J. Coal Geol. 1989, 13, 99–126. [Google Scholar] [CrossRef]
- Love, G.D.; Law, R.V.; Snape, C.E. Determination of nonprotonated aromatic carbon concentrations in coals by single pulse excitation carbon-13 NMR. Energy Fuels 1993, 7, 639–644. [Google Scholar] [CrossRef]
- Maroto-Valer, M.M.; Taulbee, D.N.; Andresen, J.M.; Hower, J.C.; Snape, C.E. Quantitative 13C-NMR study of structural variations within the vitrinite and inertinite maceral groups for semifusinite-rich bituminous coal. Fuel 1998, 77, 805–813. [Google Scholar] [CrossRef]
- Freitas, J.C.C.; Bonagamba, T.J.; Emmerich, F.G. 13C high resolution solid-state NMR study of peat carbonization. Energy Fuels 1999, 13, 53–59. [Google Scholar] [CrossRef]
- Yoshida, T.; Sasaki, M.; Ikeda, K.; Mochizuki, M.; Nogami, Y.; Inokuchi, K. Prediction of coal liquefaction reactivity by solid state 13C-NMR spectral data. Fuel 2002, 81, 1533–1539. [Google Scholar] [CrossRef]
- Almendros, G.; Knicker, H.; Gonzalez-Vila, F.J. Rearrangement of carbon and nitrogen forms in peat after progressive thermal oxidation as determined by solid state 13C- and 15N-NMR spectroscopy. Org. Geochem. 2003, 34, 1559–1568. [Google Scholar] [CrossRef]
- Crelling, J.C.; Schrader, R.H.; Benedict, L.G. Effects of weathered coal on coking properties and coke quality. Fuel 1979, 58, 542–546. [Google Scholar] [CrossRef]
- Snape, C.E.; Axelson, D.E.; Botto, R.E.; Delpuech, J.J.; Tekely, P.; Gerstein, B.C.; Pruski, M.; Maciel, G.E.; Wilson, M.A. Quantitative reliability of aromaticity and related measurements on coals by 13C n.m.r. A debate. Fuel 1989, 68, 547–560. [Google Scholar] [CrossRef]
- Hatcher, P.G.; Faulon, J.L.; Wenzel, K.A.; Cody, G.D. A structural model for lignin-derived vitrinite from high-volatile bituminous coal (coalified wood). Energy Fuels 1992, 6, 813–820. [Google Scholar] [CrossRef]
- Mukhopadhyay, P.K.; Hatcher, P.G. Composition of coal. In Hydrocarbons from Coal; Law, B.E., Rice, D.D., Eds.; AAPG: Tulsa, OK, USA, 1993; pp. 79–118. ISBN 0891810463. [Google Scholar]
- Wilson, M.A.; Hanna, J.V.; Anderson, K.B.; Botto, R.E. 1H CRAMPS NMR derived hydrogen distributions in various coal macerals. Org. Geochem. 1993, 20, 985–999. [Google Scholar] [CrossRef]
- Botto, R.E. Fossil fuels. In Encyclopedia of Nuclear Magnetic Resonance; Grant, D.M., Harris, R.K., Eds.; John Wiley & Sons: New York, NY, USA, 1996; pp. 2101–2118. ISBN 978-0-471-95839-0. [Google Scholar]
- Pugmire, R.J. Coal structure from solid state NMR. In Encyclopedia of Nuclear Magnetic Resonance; Grant, D.M., Harris, R.K., Eds.; Wiley: Chichester, UK, 1996; pp. 1355–1365. ISBN 0471958395. [Google Scholar]
- Nanny, M.A.; Minear, R.A.; Leenheer, J.A. Nuclear Magnetic Resonance in Environmental Chemistry; Oxford University Press: New York, NY, USA, 1997; ISBN 0195097513. [Google Scholar]
- Suggate, R.P.; Dickinson, W.W. Carbon NMR of coals: The effects of coal type and rank. Int. J. Coal Geol. 2004, 57, 1–22. [Google Scholar] [CrossRef]
- Mao, J.; Cory, R.M.; McKnight, D.M.; Schmidt-Rohr, K. Characterization of a nitrogen-rich fulvic acid and its precursor algae from solid state NMR. Org. Geochem. 2007, 38, 1277–1292. [Google Scholar] [CrossRef]
- Mao, J.; Tremblay, L.; Gagne, J.P.; Kohl, S.; Rice, J.; Schmidt-Rohr, K. Humic acids from particulate organic matter in the Saguenay Fjord and the St. Lawrence Estuary investigated by advanced solid-state NMR. Geochim. Cosmochim. Acta 2007, 71, 5483–5499. [Google Scholar] [CrossRef]
- Mao, J.; Fang, X.; Lan, Y.; Schimmelmann, A.; Mastalerz, M.; Xu, L.; Schmidt-Rohr, K. Chemical and nanometer-scale structure of kerogen and its change during thermal maturation investigated by advanced solid-state 13C-NMR spectroscopy. Geochim. Cosmochim. Acta 2010, 74, 2110–2127. [Google Scholar] [CrossRef]
- Mao, J.; Palazzo, A.J.; Olk, D.C.; Clapp, C.E.; Senesi, N.; Bashore, T.L.; Cao, X. Chemical structure of soil organic matter in slickspots as investigated by advanced solid-state NMR. Soil Sci. 2010, 175, 329–338. [Google Scholar] [CrossRef]
- Newman, R.H.; Sim, M.N.; Johnston, J.H.; Collen, J.D. Comparison of aromaticity and phenolic content as parameters for characterization of coal by 13C n.m.r. spectroscopy. Fuel 1988, 67, 420–425. [Google Scholar] [CrossRef]
- Dickinson, W.W.; Newman, R.H.; Price, L.C.; Sykes, R. 13C-NMR Spectra and Selected Maturation Parameters from 15 Wells in Southern Taranaki Basin, New Zealand; Geology Board of Studies Publication No. 19; Research School of Earth Sciences, Victoria University of Wellington: Wellington, New Zealand, 1996; p. 31. [Google Scholar]
- Liu, D.; Peng, P. Possible chemical structures and biological precursors of different vitrinites in coal measure in Northwest China. Int. J. Coal Geol. 2008, 75, 204–212. [Google Scholar] [CrossRef]
- Cao, X.; Mastalerz, M.; Chappell, M.A.; Miller, L.F.; Li, Y.; Mao, J. Chemical structures of coal lithotypes before and after CO2 adsorption as investigated by advanced solid-state 13C nuclear magnetic resonance spectroscopy. Int. J. Coal Geol. 2011, 88, 67–74. [Google Scholar] [CrossRef]
- Van Niekerk, D.; Pugmire, R.J.; Solum, M.S. Structural characterization of vitrinite-rich and inertinite-rich Permian-aged South African bituminous coals. Int. J. Coal Geol. 2008, 76, 290–300. [Google Scholar] [CrossRef]
- Van Niekerk, D.; Mathews, J.P. Molecular representations of Permian-aged vitrinite-rich and inertinite-rich South African coals. Fuel 2010, 89, 73–82. [Google Scholar] [CrossRef]
- Xiang, J.; Zeng, F.; Liang, H.; Sun, B.; Zhang, L.; Li, M.; Jia, J. Model construction of the macromolecular structure of Yanzhou Coal and its molecular simulation. J. Fuel Chem. Technol. 2011, 39, 481–488. [Google Scholar] [CrossRef]
- Xiang, J.; Zeng, F.; Li, B.; Zhang, L.; Li, M.; Liang, H. Construction of macromolecular structural model of anthracite from Chengzhuang coal mine and its molecular simulation. J. Fuel Chem. Technol. 2013, 41, 391–399, (In Chinese with English Abstract). [Google Scholar] [CrossRef]
- Fuchs, W.; Sandhoff, A.G. Theory of coal pyrolysis. Ind. Eng. Chem. 1942, 34, 567–571. [Google Scholar] [CrossRef]
- Wiser, W.H. ACS Preprint, Division of Fuel Chemistry; American Chemical Society: Washington, DC, USA, 1975; p. 733. [Google Scholar]
- Shinn, J.H. From coal to single stage and two-stage products: A reactive model of coal structure. Fuel 1984, 63, 1187–1196. [Google Scholar] [CrossRef]
- Ye, C. Characterization and modeling of coal high molecular weight components. Ph.D. Thesis, Taiyuan University of Technology, Taiyuan, China, 2008. (In Chinese with English Abstract). [Google Scholar]
- Wilson, M.A.; Verheyen, T.V.; Vassalo, A.M.; Hill, R.S.; Perry, G.J. Selective loss of carbohydrates from plant remains during coalification. Org. Geochem. 1987, 11, 265–271. [Google Scholar] [CrossRef]
- Bates, A.L.; Hatcher, P.G. Solid-state 13C-NMR studies of a large fossil gymnosperm from the Yallourn Open Cut, Latrobe Valley, Australia. Org. Geochem. 1989, 14, 609–617. [Google Scholar] [CrossRef]
- Hatcher, P.G.; Clifford, D.J. The organic geochemistry of coal: From plant materials to coal. Org. Geochem. 1997, 27, 251–274. [Google Scholar] [CrossRef]
- Crowell, D.L. Coal, an Educational Leaflet No. 8; Ohio Division of Natural Resources (ODNR). 2008; (revised). Available online: http://geosurvey.ohiodnr.gov/portals/geosurvey/PDFs/Education/el08.pdf (access on 31 January 2018).
- Ussiri, D.A.N.; Jacinthe, P.; Lal, R. Methods for determination of coal carbon in reclaimed minesoils: A review. Geoderma 2014, 214–215, 155–167. [Google Scholar] [CrossRef]
- ASTM International. Test Method for Microscopical Determination of the Vitrinite Reflectance of Coal; ASTM Standard, D2798-05; Gaseous Fuels, Coal and Coke; ASTM International: West Conshohocken, PA, USA, 2005. [Google Scholar]
- International Committee for Coal and Organic Petrology (ICCP). The new vitrinite classification (ICCP System 1994). Fuel 1998, 77, 349–358. [Google Scholar]
- International Committee for Coal and Organic Petrology (ICCP). The new inertinite classification (ICCP System 1994). Fuel 2001, 80, 459–471. [Google Scholar]
- ASTM International. Test Method for Moisture in the Analysis Sample of Coal and Coke; ASTM Standard, D3173-03; Gaseous Fuels, Coal and Coke; ASTM International: West Conshohocken, PA, USA, 2005. [Google Scholar]
- ASTM International. Test Method for Volatile Matter in the Analysis Sample of Coal and Coke; ASTM Standard, D3175-02; Gaseous Fuels, Coal and Coke; ASTM International: West Conshohocken, PA, USA, 2005. [Google Scholar]
- ASTM International. Test Method for Ash in the Analysis Sample of Coal and Coke from Coal; ASTM Standard, D3174-04; Gaseous Fuels, Coal and Coke; ASTM International: West Conshohocken, PA, USA, 2005. [Google Scholar]
- ASTM International. Standard Practice for Ultimate Analysis of Coal and Coke; ASTM Standard, D3176-15; Gaseous Fuels, Coal and Coke; ASTM International: West Conshohocken, PA, USA, 2015. [Google Scholar]
- ASTM International. Test Methods for Total Sulfur in the Analysis Sample of Coal and Coke; ASTM Standard D3177-02; Gaseous Fuels, Coal and Coke; ASTM International: West Conshohocken, PA, USA, 2005. [Google Scholar]
- ASTM International. Standard Test Method for Forms of Sulfur in Coal; ASTM Standard, D2492-02; Gaseous Fuels, Coal and Coke; ASTM International: West Conshohocken, PA, USA, 2005. [Google Scholar]
- Yoshida, T.; Mackawa, Y. Characterization of coal structure by CP/MAS carbon-13 NMR spectrometry. Fuel Process. Technol. 1987, 15, 385–395. [Google Scholar] [CrossRef]
- Xu, X.; Zhang, P. The study of carbon structure by solid-13C-NMR and XPS. Coal Convers. 1995, 18, 57–62, (In Chinese with English Abstract). [Google Scholar]
- Kawashima, H.; Yamashita, Y.; Saito, I. Studies on structural changes of coal density-separated components during pyrolysis by means of solid-state 13C-NMR spectra. J. Anal. Appl. Pyrolysis 2000, 53, 35–50. [Google Scholar] [CrossRef]
- Takanohashi, T.; Shishido, T.; Kawashima, H.; Saito, I. Characterisation of Hyper Coals from coals of various ranks. Fuel 2008, 87, 592–598. [Google Scholar] [CrossRef]
- Wang, S.; Tang, Y.; Schobert, H.H.; Guo, Q.; Wang, F. Liquefaction reactivity and 13C-NMR of coals rich in barkinite and semifusinite. J. Fuel Chem. Technol. 2010, 38, 129–133, (In Chinese with English abstract). [Google Scholar] [CrossRef]
- Li, Y.; Cao, X.; Zhu, D.; Chappell, M.A.; Miller, L.F.; Mao, J. Characterization of coals and their laboratory-prepared black carbon using advanced solid-state 13C nuclear magnetic resonance spectroscopy. Fuel Process. Technol. 2012, 96, 56–64. [Google Scholar] [CrossRef]
- Wang, P.; Jin, L.; Liu, J.; Zhu, S.; Hu, H. Analysis of coal tar derived from pyrolysis at different atmospheres. Fuel 2013, 104, 14–21. [Google Scholar] [CrossRef]
- Mei, Y.; Zhao, X.; Sun, W.; Tang, J.; Qiao, A. Spectral Analysis of Coal Tar from Xiaohuangshan Region. Chin. J. Magn. Reson. 2011, 28, 339–348, (In Chinese with English Abstract). [Google Scholar]
- Mei, Y. Study on spectroscopy and performance potential of hydrocarbons in Xinjiang coal. Master’s Thesis, Xinjiang University, Urumqi, China, 2011. (In Chinese with English Abstract). [Google Scholar]
- Castro-Marcano, F.; Lobodin, V.V.; Rodgers, R.P.; McKenna, A.M.; Marshall, A.G.; Mathews, J.P. A molecular model for Illinois No. 6 Argonne Premium coal: Moving toward capturing the continuum structure. Fuel 2012, 95, 35–49. [Google Scholar] [CrossRef]
- Zhang, Y. 13C-NMR research of coalification mechanism for low-medium rank coal. Master’s Thesis, Taiyuan University of Technology, Taiyuan, China, 2006. (In Chinese with English Abstract). [Google Scholar]
- Chen, D.; Hu, J.; Ye, C. The high resolution 13C-NMR study on Chinese coals. Sci. China Ser. D 1996, 26, 525–530, (In Chinese with English Abstract). [Google Scholar]
- Luo, Y.; Li, W.; Chen, Y. 13C-NMR analysis on different macerals of several low-to-medium rank coals. J. Fuel Chem. Technol. 2005, 33, 540–543, (In Chinese with English Abstract). [Google Scholar]
© 2018 by the authors. Licensee MDPI, Basel, Switzerland. This article is an open access article distributed under the terms and conditions of the Creative Commons Attribution (CC BY) license (http://creativecommons.org/licenses/by/4.0/).







