Rheology of Fly Ash Mixed Tailings Slurries and Applicability of Prediction Models
Abstract
:1. Introduction
2. Background Theory
3. Materials and Methods
3.1. Materials
3.2. Specimen Preparation
3.3. Rheological Measurement
3.4. Data Analysis
4. Results and Discussion
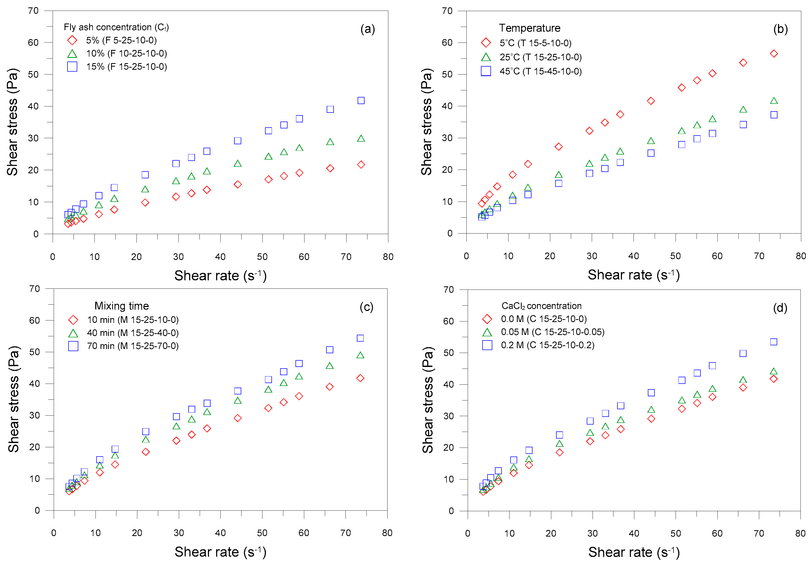
4.1. Effect of Fly Ash Concentration
4.2. Effect of Temperature
4.3. Effect of Mixing Time
4.4. Effect of CaCl2 Concentration
4.5. Determination of Rheological Properties
5. Conclusions
- (1)
 - All specimens of fly ash mixed with mine tailings slurry have a non-Newtonian shear-thinning behavior. The shear stress of specimen mixtures increases with increasing the addition of fly ash to tailings slurry. This may be due to the combined effects of the enhanced structural network bonded by hydration products and the dense particle packing.
 - (2)
 - The specimen mixtures at high temperatures have lower values of shear stress, attributable to the increase in ionic mobility and particle crowding breakdown. The higher CaCl2 concentrations result in higher levels of shear stress owing to the acceleration of fly ash hydration. The evolution of shear stress with time is observed to be linear during the mixing time of 70 min.
 - (3)
 - Generally, the performance of rheological models is improved for ash-tailings slurry mixtures with shorter mixing times, lower CaCl2 concentrations, and high temperatures. The conventional Bingham model leads to the worst fitting for the tested slurries. The Papanastasion, Herschel-Bulkley, Sisko, and Robertson-Stiff models are shown to yield better fitting of experimental data compared to the other models (Bingham, Modified Bingham, Casson, and De Kee models).
 
Acknowledgments
Author Contributions
Conflicts of Interest
References
- Lottermoser, B.G. Mine Wastes: Characterization, Treatment and Environmental Impacts; Springer: New York, NY, USA, 2010. [Google Scholar]
 - Dold, B. Evolution of acid mine drainage formation in sulphidic mine tailings. Minerals 2014, 4, 621–641. [Google Scholar] [CrossRef]
 - Yimaz, E.; Fall, M. Paste Tailings Management; Springer: Cham, Switzerland, 2017. [Google Scholar]
 - Sofra, F.; Boger, D.V. Environmental rheology for waste minimization in the mineral industry. Chem. Eng. J. 2002, 86, 319–330. [Google Scholar] [CrossRef]
 - Kwak, M.; James, D.F.; Klein, K.A. Flow behavior of tailings paste for surface disposal. Int. J. Miner. Process. 2005, 77, 139–153. [Google Scholar] [CrossRef]
 - Ding, Z.; Yin, Z.; Liu, L.; Chen, Q. Effect of grinding parameters on the rheology of pyrite-heptane slurry in a laboratory stirred media mill. Miner. Eng. 2007, 20, 701–709. [Google Scholar] [CrossRef]
 - Haiqiang, J.; Fall, M.; Cui, L. Yield stress of cemented paste backfill in sub-zero environments: Experimental results. Miner. Eng. 2016, 92, 141–150. [Google Scholar] [CrossRef]
 - Wang, H.L.; Shang, J.Q.; Kovac, V.; Ho, K.S. Utilization of Atikokan coal fly ash in acid rock drainage control from Musselwhite Mine tailings. Can. Geotech. J. 2006, 43, 229–243. [Google Scholar] [CrossRef]
 - Yeheyis, M.B.; Shang, J.Q.; Yanful, E.K. Long-term evaluation of coal fly ash and mine tailings co-placement: A site-specific study. J. Environ. Manag. 2009, 91, 237–244. [Google Scholar] [CrossRef] [PubMed]
 - Lee, J.K.; Shang, J.Q.; Wang, H.; Zhao, C. In-situ study of beneficial utilization of coal fly ash in reactive mine tailings. J. Environ. Manag. 2014, 135, 73–80. [Google Scholar] [CrossRef] [PubMed]
 - Papadakis, V.G. Effect of fly ash on Portland cement systems. Cem. Concr. Res. 1999, 29, 1727–1736. [Google Scholar] [CrossRef]
 - Wang, A.; Zhang, C.; Sun, W. Fly ash effects. Cem. Concr. Res. 2004, 34, 2057–2060. [Google Scholar] [CrossRef]
 - Ortega, J.M.; Sánchez, I.; Antón, C.; De Vera, G.; Climent, M.A. Influence of environment on durability of fly ash cement mortars. ACI Mater. J. 2012, 109, 647–656. [Google Scholar]
 - Ortega, J.M.; Esteban, M.D.; Rodríguez, R.R.; Pastor, J.L.; Ibanco, F.J.; Sánchez, I.; Climent, M.Á. Long-term behaviour of fly ash and slag cement grouts for micropiles exposed to a sulphate aggressive medium. Materials 2017, 10, 598. [Google Scholar] [CrossRef] [PubMed]
 - Stanmore, B.R.; Page, D.W. Yield stresses and sedimentation in dense flyash slurries. Powder Technol. 1992, 72, 167–175. [Google Scholar] [CrossRef]
 - Mahlaba, J.S.; Kearsley, E.P.; Kruger, R.A.; Pretorius, P.C. Evaluation of workability and strength development of fly ash pastes prepared with industrial brines rich in SO42− and Cl− to expand brine utilization. Miner. Eng. 2011, 24, 1077–1081. [Google Scholar] [CrossRef]
 - Simon, D.; Grabinsky, M. Apparent yield stress measurement in cemented paste backfill. Int. J. Min. Reclam. Environ. 2013, 27, 231–256. [Google Scholar] [CrossRef]
 - Huynh, L.; Beattie, D.A.; Fornasiero, D.; Ralton, J. Effect of polyphosphate and naphthalene sulfonate formaldehyde condensate on the rheological properties of dewatered tailings and cemented slurry backfill. Miner. Eng. 2006, 19, 28–36. [Google Scholar] [CrossRef]
 - Celik, F.; Canakci, H. An investigation of rheological properties of cement-based grout mixed with rice husk ash (RHA). Constr. Build. Mater. 2015, 91, 187–194. [Google Scholar] [CrossRef]
 - Gullu, H. Comparison of rheological models for jet grout cement mixtures with various stabilizers. Constr. Build. Mater. 2016, 127, 220–236. [Google Scholar] [CrossRef]
 - Yahia, A.; Khayat, K.H. Analytical models for estimating yield stress of high-performance pseudoplastic grout. Cem. Concr. Res. 2001, 31, 731–738. [Google Scholar] [CrossRef]
 - Lawrence, R.W.; Wang, Y. Determination of Neutralization Potential in the Prediction of Acid Rock Drainage. Proceeding of the Fourth International Conference on Acid Rock Drainage, Vancouver, BC, Canada, 31 May–6 June 1997; pp. 451–464. [Google Scholar]
 - American Society for Testing and Materials (ASTM). Standard Specification for Coal Fly Ash and Raw for Calcined Natural Pozzolan for Use in Concrete, C618-15; American Society for Testing and Materials: West Conshohocken, PA, USA, 2015. [Google Scholar]
 - American Society for Testing and Materials (ASTM). Standard Test Method for pH of Soils, D4972-13; American Society for Testing and Materials: West Conshohocken, PA, USA, 2013. [Google Scholar]
 - American Society for Testing and Materials (ASTM). Standard Test Methods for Characterizing Fly Ash for Use in Soil Stabilization, D 5239-12; American Society for Testing and Materials: West Conshohocken, PA, USA, 2012. [Google Scholar]
 - Mitschka, P. Simple conversion of Brookfield R.V.T. readings into viscosity functions. Rheol. Acta 1982, 21, 207–209. [Google Scholar]
 - Collyer, A.A. Time independent fluids. Phys. Educ. 1973, 8, 333–338. [Google Scholar] [CrossRef]
 - Deng, X.J.; Klein, B.; Zhang, J.X.; Hallbom, D.; de Wit, B. Time-dependent rheological behavior of cemented backfill mixture. Int. J. Min. Reclam. Environ. 2016, 1–18. [Google Scholar] [CrossRef]
 - Sosio, R.; Crosta, G.B. Rheology of concentrated granular suspensions and possible implications for debris flow modeling. Water Resour. Res. 2009, 45, 119–127. [Google Scholar] [CrossRef]
 - Heikal, M.; Morsy, M.S.; Aiad, I. Effect of treatment temperature on the early hydration characteristics of superplasticized silica fume blended cement pastes. Cem. Concr. Res. 2005, 35, 680–687. [Google Scholar] [CrossRef]
 - Petit, J.Y.; Khayat, K.; Wirquin, E. Coupled effect of time and temperature on variations of yield value of highly flowable mortar. Cem. Concr. Res. 2006, 36, 832–841. [Google Scholar] [CrossRef]
 - Legay, G.; Dekany, I. Colloid clay science. In Handbook of Clay Science, 2nd ed.; Bergaya, F., Theng, B.K.G., Legaly, G., Eds.; Elsevier Science: Amsterdam, The Netherlands, 2013; pp. 141–245. [Google Scholar]
 




| Label | Ct (%) | Cf (%) | Cs (%) | Temperature (°C) | Mixing Time (min) | CaCl2 Concentration (M) | 
|---|---|---|---|---|---|---|
| Effect of fly ash concentration | ||||||
| F 5-25-10-0 | 20 | 5 | 24 | 25 | 10 | 0 | 
| F 10-25-10-0 | 20 | 10 | 28 | 25 | 10 | 0 | 
| F 15-25-10-0 | 20 | 15 | 32 | 25 | 10 | 0 | 
| Effect of temperature | ||||||
| T 15-5-10-0 | 20 | 15 | 32 | 5 | 10 | 0 | 
| T 15-25-10-0 | 20 | 15 | 32 | 25 | 10 | 0 | 
| T 15-45-10-0 | 20 | 15 | 32 | 45 | 10 | 0 | 
| Effect of mixing time | ||||||
| M 15-25-10-0 | 20 | 15 | 32 | 25 | 10 | 0 | 
| M 15-25-40-0 | 20 | 15 | 32 | 25 | 40 | 0 | 
| M 15-25-70-0 | 20 | 15 | 32 | 25 | 70 | 0 | 
| Effect of CaCl2 concentration | ||||||
| C 15-25-10-0 | 20 | 15 | 32 | 25 | 10 | 0 | 
| C 15-25-10-0.05 | 20 | 15 | 32 | 25 | 10 | 0.05 | 
| C 15-25-10-0.2 | 20 | 15 | 32 | 25 | 10 | 0.2 | 
| Sample ID | B | MB | C | D | P | HB | S | RS | 
|---|---|---|---|---|---|---|---|---|
| Cf = 5% | 0.620 | 0.181 | 0.300 | 0.166 | 0.236 | 0.120 | 0.124 | 0.120 | 
| Cf = 10% | 0.987 | 0.276 | 0.524 | 0.267 | 0.439 | 0.259 | 0.266 | 0.258 | 
| Cf = 15% | 1.031 | 0.419 | 0.417 | 0.393 | 0.269 | 0.205 | 0.170 | 0.220 | 
| Temp = 5 °C | 1.947 | 0.621 | 0.980 | 0.559 | 0.612 | 0.294 | 0.290 | 0.298 | 
| Temp = 25 °C | 1.031 | 0.419 | 0.417 | 0.393 | 0.269 | 0.205 | 0.170 | 0.220 | 
| Temp = 45 °C | 0.704 | 0.396 | 0.256 | 0.383 | 0.145 | 0.256 | 0.201 | 0.274 | 
| Time = 10 min | 1.031 | 0.419 | 0.417 | 0.393 | 0.269 | 0.205 | 0.170 | 0.220 | 
| Time = 40 min | 1.507 | 0.571 | 0.746 | 0.513 | 0.311 | 0.197 | 0.182 | 0.202 | 
| Time = 70 min | 1.652 | 0.892 | 0.872 | 0.836 | 0.293 | 0.501 | 0.470 | 0.508 | 
| CaCl2 0 M | 1.031 | 0.419 | 0.417 | 0.393 | 0.269 | 0.205 | 0.170 | 0.220 | 
| CaCl2 0.05 M | 1.573 | 0.582 | 0.841 | 0.512 | 0.314 | 0.187 | 0.191 | 0.185 | 
| CaCl2 0.2 M | 1.392 | 0.688 | 0.602 | 0.652 | 0.231 | 0.380 | 0.312 | 0.404 | 
© 2017 by the authors. Licensee MDPI, Basel, Switzerland. This article is an open access article distributed under the terms and conditions of the Creative Commons Attribution (CC BY) license (http://creativecommons.org/licenses/by/4.0/).
Share and Cite
Lee, J.K.; Ko, J.; Kim, Y.S. Rheology of Fly Ash Mixed Tailings Slurries and Applicability of Prediction Models. Minerals 2017, 7, 165. https://doi.org/10.3390/min7090165
Lee JK, Ko J, Kim YS. Rheology of Fly Ash Mixed Tailings Slurries and Applicability of Prediction Models. Minerals. 2017; 7(9):165. https://doi.org/10.3390/min7090165
Chicago/Turabian StyleLee, Joon Kyu, Junyoung Ko, and Young Sang Kim. 2017. "Rheology of Fly Ash Mixed Tailings Slurries and Applicability of Prediction Models" Minerals 7, no. 9: 165. https://doi.org/10.3390/min7090165
APA StyleLee, J. K., Ko, J., & Kim, Y. S. (2017). Rheology of Fly Ash Mixed Tailings Slurries and Applicability of Prediction Models. Minerals, 7(9), 165. https://doi.org/10.3390/min7090165
        