Next Article in Journal
EDEEP—An Innovative Process for Improving the Safety of Mining Equipment
Next Article in Special Issue
Transmission X-ray Microscopy—A New Tool in Clay Mineral Floccules Characterization
Previous Article in Journal
Rhenium Nanochemistry for Catalyst Preparation
Previous Article in Special Issue
Characterizing Frothers through Critical Coalescence Concentration (CCC)95-Hydrophile-Lipophile Balance (HLB) Relationship
 
 
Font Type:
Arial Georgia Verdana
Font Size:
Aa Aa Aa
Line Spacing:
Column Width:
Background:
Article

An Overview of Optimizing Strategies for Flotation Banks

Department of Mining and Materials Engineering, McGill University, 3610 University Street, Montreal, Quebec, Canada, H3A2B2
*
Author to whom correspondence should be addressed.
Minerals 2012, 2(4), 258-271; https://doi.org/10.3390/min2040258
Submission received: 4 July 2012 / Revised: 23 August 2012 / Accepted: 12 September 2012 / Published: 10 October 2012
(This article belongs to the Special Issue Advances in Mineral Processing)

Abstract

:
A flotation bank is a serial arrangement of cells. How to optimally operate a bank remains a challenge. This article reviews three reported strategies: air profiling, mass-pull (froth velocity) profiling and Peak Air Recovery (PAR) profiling. These are all ways of manipulating the recovery profile down a bank, which may be the property being exploited. Mathematical analysis has shown that a flat cell-by-cell recovery profile maximizes the separation of two floatable minerals for a given target bank recovery when the relative floatability is constant down the bank. Available bank survey data are analyzed with respect to recovery profiling. Possible variations on recovery profile to minimize entrainment are discussed.

1. Introduction

Flotation is used to separate valuable minerals from each other and from gangue. To reach a target metallurgical performance, usually assessed in terms of concentrate grade and recovery, feed is passed through stages such as roughing, cleaning and scavenging. All these stages comprise serial arrangements of flotation cells known as banks, lines or rows.
Although a bank is the simplest interconnection of cells in a circuit, i.e., the tails of one cell is the feed to the next cell down the bank, how to operate each flotation cell in a way that the whole bank performance is optimized remains a challenge. Significant efforts have been made towards understanding the effect of operating variables on the flotation performance of an isolated cell [1,2,3]. However in the case of banks the variables that can be manipulated increase with the number of cells in the bank and the problem of how to manipulate them to achieve optimum performance is difficult even disregarding variation in ore characteristics [1]. In general, the more manipulated variables available the better for optimization purposes, however without clear guidance how to effectively use them it becomes an “embarrassment of riches”.
Due to their localized impact, gas rate and/or froth depth are usually used to modify the operating point of a cell in a bank. The problem then becomes to find the optimal profile (e.g., gas rate profile) that achieves the target bank metallurgical objective. This solution is not obvious and a brute force approach based on a trial-and-error search rapidly becomes intractable even for simulation. To exemplify this point, consider a bank of 9 cells and assume that only the froth depth in each cell can be manipulated, then for 10 discrete froth depth values in each cell the number of possible froth depth profiles rises to 109!
Attempts to solve this optimization problem have been proposed [4,5,6] but no industrial applications have been reported.
This paper reviews three operational strategies to improve bank performance that have been successfully implemented in several industrial operations: air rate profiling, mass-pull (froth velocity) profiling, and Peak Air Recovery (PAR) air profiling. Although different in concept they are all ways of manipulating the recovery profile down a bank, which may be the property being exploited. Mathematical analysis has shown that a flat cell-by-cell recovery profile maximizes the separation of two floatable minerals for a given target bank recovery when the relative floatability is constant down the bank [7]. It is suggested that understanding the role of recovery profiling may help to link these strategies.

2. Bank Optimizing Strategies

2.1. Air Rate Profiling

The air rate profiling strategy consists of distributing air to each cell to achieve a set pattern (profile) down the bank. Xstrata Brunswick Division pioneered this strategy on the final Zn cleaner bank of seven DR100 Denver cells [8]. The bank ‘as found’ had no obvious air rate profile. Three air profiles were imposed: decreasing, balanced and increasing. It was found that the increasing profile gave the smallest variation between best and worst performance and the highest Zn concentrate grade for the target Zn bank recovery, 75% (Figure 1). The increasing air rate profile was adopted on all four cleaner stages with total bank air adjusted to achieve target bank recovery; and it remains the practice.
Analysis concluded the following: that operating with reduced air rate in the first cells improved selectivity against entrainment by reducing water recovery and that this high starting grade aided increasing grade at target bank recovery. The need to increase air down the bank, it was argued, was to compensate for reduced floatability, but more directly it was necessary to provide the total bank air required to meet the target recovery. The analysis included recovery profiles and it was observed that the relative floatability of sphalerite to pyrite (S = ksp/kpy) was independent of the air profiling and fairly constant down the bank (S≈2). Other operations have subsequently implemented the increasing air profile with significant performance benefits [9,10].
Figure 1. ‘Down-the-bank’ Zn grade-recovery curve showing best and worst performances of the three air rate profiles: increasing, balance and decreasing.
Figure 1. ‘Down-the-bank’ Zn grade-recovery curve showing best and worst performances of the three air rate profiles: increasing, balance and decreasing.
Minerals 02 00258 g001

2.2. Peak Air Recovery (PAR) Profiling

Air recovery (α) was first proposed by Woodburn et al. [11] as a froth stability index. It is defined as the air entering the cell that overflows as unburst bubbles. It can be calculated using the following expression:
Minerals 02 00258 i001
where Qg is the total air flowrate into the cell, ξ the gas holdup in the froth zone (usually assumed to be 1), vf the overflowing froth velocity, h the froth height over the lip, and w the length of the lip where froth is overflowing. A camera monitors the surface of the froth to calculate the velocity at which froth overflows (vf) using image processing techniques.
Studies found there was a gas rate that produces the maximum air recovery and that operating at this gas rate flotation performance, particularly mineral recovery, can be improved [12]. Part of the explanation offered is that gas rates below PAR produce a highly loaded froth with low mobility and at gas rates beyond PAR the loading per bubble decreases producing unstable froth. The PAR air profiling strategy then consists of operating each cell of a bank at the gas rate that maximizes the air recovery [13,14]. Figure 2 illustrates PAR air profiling strategy for a bank of N cells where Jg is the superficial gas velocity.
Application of the PAR strategy in a platinum concentrator produced a significant increase in platinum recovery for a given concentrate grade when operating each cell of a bank of 4 cells at the PAR air rate [15,16].
Figure 2. PAR air profiling strategy applied to a bank of N cells.
Figure 2. PAR air profiling strategy applied to a bank of N cells.
Minerals 02 00258 g002

2.3. Mass-Pull Profiling

This method profiles the solid mass overflow (concentrate) rate. It is usually implemented by controlling the froth velocity. This strategy has been used in several operations having the attraction that measurement of froth velocity using image analysis (machine vision) is non-invasive [17].
Supomo et al. [18] describe machine vision based control for a 9-cell rougher bank at the PT-Freeport copper/gold operation in Indonesia. The froth velocity profile is adjusted by manipulating froth depth designed to maximize concentrate rate (maximize recovery) subject to a trade-off between incremental recovery and additional transport and concentrate treatment charges. An exponential decay froth velocity profile was proposed (Figure 3) based on the exponential characteristic of a typical flotation kinetic curve. A 1% copper recovery increase at an acceptable concentrate grade was reported after implementation.
Figure 3. Illustration of the froth velocity set-point profile targeted by PT Freeport [18].
Figure 3. Illustration of the froth velocity set-point profile targeted by PT Freeport [18].
Minerals 02 00258 g003
A similar study was conducted at Los Colorados concentrator at BHP Escondida [19]. The VisioFrothTM system was installed in the copper rougher circuit of 8 parallel banks of 10 cells. Based on tonnage and copper feed grade an expert control system continuously selects between three predetermined froth velocity profiles labeled as low-velocity, medium-velocity and high-velocity for each of the rougher banks (Figure 4). To achieve these profiles air rate and froth depth are adjusted in each cell. An increase of 0.5% Cu recovery was achieved.
Figure 4. Average froth velocity profiles implemented at Los Colorados concentrator, Escondida Mine [19].
Figure 4. Average froth velocity profiles implemented at Los Colorados concentrator, Escondida Mine [19].
Minerals 02 00258 g004

3. A Recovery Profiling Approach

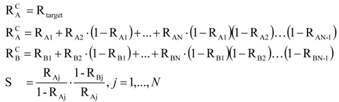
Although different in concept and roots the strategies described above are all ways of manipulating the recovery down the bank. In this section a strategy for optimizing banks based on cell-by-cell recovery profiling is argued. For the sake of simplicity two floatable minerals A and B are considered. Figure 5 depicts a mass-balance on each cell of a bank composed of N cells where Ri is the recovery of cell i.
Figure 5. Flotation bank composed of N cells.
Figure 5. Flotation bank composed of N cells.
Minerals 02 00258 g005
Making the common assumption of first-order flotation kinetics and fully mixed transport, recovery of mineral A and B in an isolated cell is given by:
Minerals 02 00258 i002
where kA and kB are the flotation rate constants for mineral A and B and τ is the average residence time. The relative floatability, S, is defined as the ratio of the flotation rate constants [20] and can be expressed as a function of the recovery of each mineral.
Minerals 02 00258 i003
The relative floatability provides an indication about how difficult the separation is: when S = 1 (RA = RB) no separation is possible. Notice that for a given relative floatability the recovery of mineral B is completely determined by the recovery of mineral A. The operational objective of a bank can be expressed as finding the recovery of A in each cell (recovery profile) such that for a target bank recovery of mineral A the bank recovery of mineral B is minimized. Taking as a measure of separation efficiency for two floatable minerals as E = RA− RB [21] the operational objective is equivalent to maximizing the separation efficiency for a given target bank recovery of mineral A. Relative floatability is assumed to be constant down the bank and independent of the operation as observed at Brunswick Mine [8]. The optimization problem can then be expressed mathematically as follows:
Minerals 02 00258 i004
subject to:
Minerals 02 00258 i005
where superscript C stands for cumulative.
The optimal strategy that solves this problem was found to be a flat cell-by-cell recovery profile, i.e., each cell having the same recovery based on the feed to that cell [7]. Figure 6 gives the general result that includes the solution for the bank recovery. This bank recovery expression is often quoted as ‘the simplified solution’ (all Rs equal) but it appears that there may be good reason to operate that way. To illustrate, Figure 7 shows the result for a bank comprising two cells: for two target bank recoveries, 75% and 90%, the maximum separation efficiency occurs when the two cell recoveries are equal, respectively 50% and 68.4%, a result independent of S. Figure 8 shows the result for a bank of 9 cells, the flat cell-by-cell recovery (recovery based on cell feed) and the corresponding recovery based on feed to the bank which shows a monotonic decrease reminiscent of the froth velocity profiles set to control mass pull (Figure 3 and Figure 4).
This is the result for separating two floatable minerals, which is our focus. In this case the optimum flat cell-by-cell recovery profile result is independent of changes in rate constant along the bank provided the relative rate constant is unchanged. If we allow for the moment that the rate constant is unchanged then an additional interesting property emerges relevant when recovery of a single floatable mineral is the concern (e.g., bitumen). The flat cell-by-cell recovery profile produces the maximum cumulative bank recovery for a given installed volume. This is illustrated in Figure 9 for a 2-cell bank where the total cell volume is fixed but the volume of each cell is altered, which is equivalent to changing cell recovery. Setting total bank recovery when cells are equal volume (V1/V2 = 1) at 75%, we note that all other volume combinations give less than 75%. Most banks are constructed with cells of the same size and Figure 9 demonstrates a fundamental case for doing so. Aris [22] made an equivalent observation for any chemical reactors in series, that they should all have the same residence time, or volume.
Figure 6. Optimal operation for two floatable minerals (flat recovery profile, i.e., each cell has same recovery R).
Figure 6. Optimal operation for two floatable minerals (flat recovery profile, i.e., each cell has same recovery R).
Minerals 02 00258 g006
Figure 7. Separation efficiency vs. recovery of mineral A in the first cell for a bank composed of 2 cells and three relative floatabilities. (a) Target cumulative recovery of mineral A 0.75; (b) Target cumulative recovery of mineral A 0.9.
Figure 7. Separation efficiency vs. recovery of mineral A in the first cell for a bank composed of 2 cells and three relative floatabilities. (a) Target cumulative recovery of mineral A 0.75; (b) Target cumulative recovery of mineral A 0.9.
Minerals 02 00258 g007
Figure 8. Optimal flat cell-by-cell recovery profile for a target bank recovery of 90% giving Ri = 22.57%; and recovery profile based on bank feed.
Figure 8. Optimal flat cell-by-cell recovery profile for a target bank recovery of 90% giving Ri = 22.57%; and recovery profile based on bank feed.
Minerals 02 00258 g008
Figure 9. Two-cell bank recovery relative to bank recovery when cells are equal volume (V1/V2 = 1).
Figure 9. Two-cell bank recovery relative to bank recovery when cells are equal volume (V1/V2 = 1).
Minerals 02 00258 g009

4. Case Studies

There are few studies in which grade-recovery down a bank has been reported under different operating conditions. This is not surprising given the effort that these surveys entail. We have found three that give sufficient data to compare with the ‘recovery profile’ theory.

4.1. Brunswick Mine, Canada

Figure 10 shows the average (over all trials) cell-by-cell Zn recovery (which corrects the data given in the original paper) for an increasing, balanced and decreasing air rate profile [8]. The optimal theoretical flat cell-by-cell recovery profile to achieve a target Zn bank recovery of 72% (in this case) is shown as well.
Figure 10. Cell-by-cell Zn recovery profiles resulting from implementing an increasing, balance and decreasing air rate profiling, and optimal theoretical flat cell-by-cell recovery for a Zn bank recovery of 72%.
Figure 10. Cell-by-cell Zn recovery profiles resulting from implementing an increasing, balance and decreasing air rate profiling, and optimal theoretical flat cell-by-cell recovery for a Zn bank recovery of 72%.
Minerals 02 00258 g010
The increasing profile represents slowing down flotation in the first cells and re-distributing recovery (mass) down the bank. The corresponding cell-by-cell recovery is not the flat profile from theory but rather trends upwards along the bank. (The profiles probably reveal that cell 5 is over-pulling.) The high initial recoveries seen with the decreasing and balanced air profiles proved detrimental while the low recovery in the first cells of the bank with the increasing profile produced the increase in grade that was maintained down the bank. Recovery profiling was not the initial ambition but it does provide a new way to consider what was achieved. There is no way of knowing if the increasing air profile used gives the true optimum. An argument for reducing recovery in the first cells below the balanced value may be that it benefits entrainment rejection. The original analysis emphasized rejection of entrained particles in the first cells as the mechanism of grade enhancement [8].

4.2. Los Pelambres, Chile

Figure 11 shows the results of two campaigns on a 9-cell rougher flotation line at Los Pelambres Mine, Chile [4]. The line comprises 5 banks in a 1-2-2-2-2 configuration (i.e., 1 single cell followed by 4 pairs of 2 cells). Figure 11a shows Cu cumulative grade down the line and Figure 11b shows the corresponding bank-by-bank Cu recovery profiles. The final (i.e., line) Cu cumulative recovery for both campaigns is essentially the same (93.58 vs. 93.48%) but kinetics was slower for campaign 2. Figure 11a shows that the grade in Campaign 2 starts significantly higher, and this is maintained down the line, the total line grade being higher. Figure 11b shows the corresponding bank recovery profiles (respecting the 1-2-2-2-2 arrangement). Of the two, campaign 2 tends towards a flat recovery profile, at least up to the third pair of cells. (Note that because of the arrangement a flat cell-by-cell recovery profile produces a step-shaped bank-by-bank recovery profile as shown in solid black line in Figure 11b).This more equitable distribution of recovery in campaign 2 lends support to the theoretical analysis.
Figure 11. (a) Flotation cumulative Cu concentrate grade profiles for two sampling campaigns; (b) Corresponding bank-by-bank recovery profiles and optimal bank recovery profile.
Figure 11. (a) Flotation cumulative Cu concentrate grade profiles for two sampling campaigns; (b) Corresponding bank-by-bank recovery profiles and optimal bank recovery profile.
Minerals 02 00258 g011

4.3. Northparkes, Australia

Hadler et al. [23] reported grade-recovery curves and air recoveries for a 4-cell bank at three total bank air rates all with an increasing air rate profile. Figure 12a shows that the lowest total air gave the best result and also gave highest cell-by-cell air recoveries down the bank, supporting the PAR strategy. Figure 12b opens another possibility: the result at highest total air rate also gave the flattest cell-by-cell recovery profile.
Figure 12. (a) Grade-recovery curves for three increasing air rate profiles at three total air rates [23]; (b) Corresponding cell-by-cell Cu recovery profiles.
Figure 12. (a) Grade-recovery curves for three increasing air rate profiles at three total air rates [23]; (b) Corresponding cell-by-cell Cu recovery profiles.
Minerals 02 00258 g012

5. Discussion

There appears to be no agreed method of operating a bank of cells to achieve optimal performance, however defined. Three strategies to search for the optimum have been described in recent literature: air rate profiling, air recovery profiling, and mass-pull profiling. We introduce the notion that the feature common to these strategies is the way recovery is distributed down the bank, the cell-by-cell recovery profile. Defining optimal as maximizing separation efficiency at a target bank recovery, what has emerged is the potential benefit of a flat cell-by-cell recovery profile. While plant data are limited, the three cases examined lend some support to this conclusion.
The mathematical analysis assumed constant relative floatability, S. The Brunswick Mine data supported this assumption and it is a more defendable than assuming a constant floatability (rate constant) [1]. What a constant S means is that changes in physical (as opposed to chemical) variables tend to change the rate constant of different floatable minerals proportionally. Lynch et al. [1] noted this in the case of air rate: “Change in the flotation rate of the Mount Isa chalcopyrite by change in aeration will change the flotation rates of all other components proportionally.” Although not stated as directly they made similar remarks regarding froth depth [1] and we might now add bubble size as controlled by frother addition to the list of physical variables. While the validity of constant S may be debated the lesson of a flat cell-by-cell recovery profile drawn from the commonly applied kinetic model seems worth taking on board in designing strategies for bank operation. It offers to reduce the search effort by using the flat profile as a starting point.
The optimal flat cell-by-cell recovery profile is independent of how the total volume is allocated in the bank; for instance, if one cell in a bank is of different volume (size), the flat cell-by-cell recovery profile is still optimal. This is due to the fact that separation of two minerals is not related to cell volume. As noted, having equal-sized cells gives the highest ratio of bank recovery to bank cell volume. From these points, plants seeking to increase bank volume would be advised to add cells of the same volume, not larger as might be the temptation.
Air profiling is a low cost approach to improve performance of flotation banks which is encouraging its growing application. For cells provided with gas flowrate sensors it can be implemented without capital investment. In their absence, as was the case at Brunswick Mine, use was made of a gas velocity sensor [24]. For self-aspirated cells air rate can still be controlled this time by manipulating froth depth. Although the evidence is that an increasing air rate profile will be better than other profiles it does not specify the best shape of the increasing profile nor the total bank air to be distributed. Brunswick Mine set an essentially arbitrary increasing profile shape and used total bank air as another degree of freedom to achieve target recovery.
PAR air profiling translates the problem of optimizing a bank of cells to a local problem of optimizing each cell. The total bank air flowrate in this case is completely determined and corresponds to the sum of the gas rate that produces PAR in each cell (JgT = Jg1 + Jg2 + … + JgN, see Figure 2). Although analysis of the data from [23] suggested the best result also corresponded to a flat cell-by-cell recovery profile the link between PAR air profiling and recovery profiling is not clear.
A limitation in implementing the PAR strategy is the extensive measurement effort and instrumentation required on each cell to calculate air recovery. It may be possible to find a surrogate for air recovery such as equilibrium froth height which is another measure of froth stability.
A component in the calculation of air recovery is froth velocity and that may be used independently as in the third strategy, mass-pull control. This now requires a search for the froth velocity profile to achieve the target bank performance. An exponentially decreasing froth velocity profile is usually selected [18,19]. The form of the decay function appears to be based on mimicking how the banks are currently operated, which is not necessarily optimal, as the air profiling and PAR studies have shown. Taking the flat cell-by-cell recovery solution, the decay function can be derived (see Figure 8) and would be, we contend, a practical starting point. A problem that remains is that mass-pull rate and froth velocity may not be uniquely related.
The analysis considers only separation between floatable minerals, not entrainment. The evidence at Brunswick Mine is that probably both are affected by air profiling and by extension recovery profiling. The increasing air rate profile reduces air and mass-pull rate in the first cells both of which benefit entrainment rejection [25,26]. The evidence points to either a flat or increasing cell-by-cell recovery profile for both minimizing entrainment and maximizing selectivity between floatable minerals.

6. Conclusions

Three strategies for optimizing flotation bank performance have been reviewed: air profiling, peak air recovery profiling, and mass-pull (froth velocity) profiling. PAR profiling translates the problem of optimizing a bank of cells to a local problem of finding the gas rate (and froth depth) that maximizes air recovery in each cell. Consequently the optimal total air rate is completely determined. A downside of this strategy is the extensive instrumentation required to calculate air recovery which is prone to error propagation. Mass pull profiling strategy uses a vision system to calculate the froth velocity in each cell and then change gas rate and/or froth depth to achieve a target froth velocity. A monotonically decreasing froth velocity profile has been successfully implemented in industrial operations. However it is not clear how to select the froth velocity set point to achieve a target metallurgical performance. Gas rate profiling is the simplest optimizing strategy requiring no capital investment for cells equipped with air flow meters. An increasing air rate profile has been reported to improve metallurgical bank performance. The total air rate is not directly determined as opposed to the PAR profiling but must be manipulated to provide a target bank recovery.
The possibility that the property underlining these strategies is the way recovery is distributed down the bank (recovery profiling) is discussed. It is shown that a flat cell-by-cell recovery profile maximizes separation efficiency for a target bank recovery and for any relative floatability larger than one as long as it is invariant down the bank. A feature of a flat recovery profile is that it is independent of how the total volume is allocated in the bank, i.e., a flat cell-by-cell recovery is still optimal for a bank of cells with different sizes. Moreover, it was proven through a simple example that for a single floatable component with a fixed flotation rate constant the volume allocation that maximizes the bank recovery is when cells are equal volume and consequently give equal recovery.
Although the flat cell-by-cell recovery profile is mathematically proven for true floating minerals and changes to this profile may be necessary to compensate for entrainment, it offers a starting point towards bank optimization. The three case studies lend support to this strategy.

Acknowledgements

Funding of this work is under the Chair in Mineral Processing co-sponsored by Vale, Teck, Xstrata Process Support, Agnico-Eagle, Shell Canada, Barrick Gold, SGS Lakefield Research, COREM and Flottec under the CRD (Collaborative Research and Development Program) of NSERC (Natural Sciences and Engineering Research Council of Canada) and through the AMIRA P9O project also under an NSERC-CRD. M. Maldonado would also like to acknowledge the Chilean Council of Science and Technology (CONICYT) for financial support. This article was originally presented at the Canadian Mineral Processor (CMP) conference, Ottawa, Canada, January 2012 and it has been accepted for presentation at the International Mineral Processing Conference (IMPC) that will take place in New Delhi, India, September 2012.

References

  1. Lynch, A.J.; Johnson, N.W.; Manlapig, E.V.; Thorne, C.G. Mineral and coal flotation circuits: Their simulation and control. In Developments in Mineral Processing; Fuerstenau, D.W., Ed.; Elsevier Scientific Publishing Company: Amsterdam, The Netherlands, 1981. [Google Scholar]
  2. Finch, J.A.; Dobby, G.S. Column Flotation; Pergamon Press: Oxford, UK, 1990. [Google Scholar]
  3. Gorain, B. The Effect of Bubble Surface Area Flux on the Kinetics of Flotation and Its Relevance to Scale-up. Ph.D. Thesis, University of Queensland, Brisbane, Australia, 1998. [Google Scholar]
  4. Maldonado, M.; Sbarbaro, D.; Lizama, E. Optimal control of a rougher flotation process based on dynamic programming. Miner. Eng. 2007, 20, 221–232. [Google Scholar] [CrossRef]
  5. Sbarbaro, D.; Maldonado, M.; Cipriano, A. A two level hierarchical control structure for optimizing a rougher flotation circuit. In Proceedings of the 17th IFAC World Congress, Seoul, Korea, 6–11 July 2008.
  6. Rojas, D.; Cipriano, A. Model based predictive control of a rougher flotation circuit considering grade estimation in intermediate cells. DYNA 2011, 166, 37–47. [Google Scholar]
  7. Maldonado, M.; Araya, R.; Finch, J. Optimizing flotation bank performance by recovery profiling. Miner. Eng. 2011, 24, 939–943. [Google Scholar] [CrossRef]
  8. Cooper, M.; Scott, D.; Dahlke, R.; Finch, J.A.; Gomez, C.O. Impact of air distribution profile on banks in a Zn cleaning circuit. CIM Bull. 2004, 97, 1–6. [Google Scholar]
  9. Aslan, A.; Boz, H. Effect of air distribution profile on selectivity at zinc cleaner circuit. Miner. Eng. 2010, 23, 885–887. [Google Scholar] [CrossRef]
  10. Hernandez-Aguilar, J.R.; Reddick, S. Gas dispersion management in a copper/molybdenum separation circuit. In Proceedings ofthe Sixth International Copper-Cobre Conference, Toronto, Canada, 25–30 August 2007.
  11. Woodburn, E.T.; Austin, L.G.; Stockton, J.B. A froth based flotation kinetic model. Chem. Eng. Res. Des. 1994, 72, 211–226. [Google Scholar]
  12. Hadler, K.; Smith, C.D.; Cilliers, J.J. Recovery vs. mass pull: The link to air recovery. Miner. Eng. 2010, 23, 994–1002. [Google Scholar] [CrossRef]
  13. Hadler, K.; Cilliers, J.J. The relationship between the peak in air recovery and flotation bank performance. Miner. Eng. 2009, 22, 451–455. [Google Scholar] [CrossRef]
  14. Hadler, K.; Smith, C.; Cilliers, J. Flotation performance improvement by air recovery optimization on roughers and scavengers. In Proceedings of the XXV International Mineral Processing Congress (IMPC), Brisbane, QLD, Australia, 6–10 September, 2010.
  15. Smith, C.D.; Hadler, K.; Cilliers, J.J. The total air addition and air profile for a flotation bank. Can. Metall. Quart. 2010, 49, 331–336. [Google Scholar]
  16. Smith, C.D.; Hadler, K.; Cilliers, J.J. Flotation bank air addition and distribution for optimal performance. Miner. Eng. 2010, 23, 1023–1029. [Google Scholar] [CrossRef]
  17. Aldrich, C.; Marais, C.; Shean, B.J.; Cilliers, J.J. On-line monitoring and control of froth flotation system systems with machine vision: A review. Int. J. Miner. Process. 2010, 96, 1–13. [Google Scholar] [CrossRef]
  18. Supomo, A.; Yap, E.; Zheng, X.; Banini, G.; Mosher, J.; Partanen, A. PT Freeport Indonesia’s mass-pull control strategy for rougher flotation. Miner. Eng. 2008, 21, 808–816. [Google Scholar]
  19. Figueroa, L.; Peragallo, E.; Gomez, A.; Orrante, F. Determination of rougher froth velocity profiles and their implementation through expert systems. In Proceedings of the VI International Mineral Processing Seminar (Procemin), Santiago, Chile, 2–4 December 2009.
  20. Gaudin, A.M. Flotation; McGraw Hill: New York, NY, USA, 1957. [Google Scholar]
  21. Agar, G.E.; Stratton-Crawley, R.; Bruce, J. Optimizing the design of flotation circuits. Can. Min. Metall. Bull. 1980, 73, 173–181. [Google Scholar]
  22. Aris, R. Discrete Dynamic Programming: An Introduction to the Optimization of Staged Processes; Blaisdell Publishing Company: New York, NY, USA, 1964. [Google Scholar]
  23. Hadler, K.; Barbian, N.; Cilliers, J.J. The relationship between froth stability and flotation performance down a bank of cells. In Proceedings of XXIII International Mineral Processing Congress, Istanbul, Turkey, 3–8 September, 2006.
  24. Gomez, C.O.; Finch, J.A. Gas dispersion measurements in flotation cells. Int. J. Miner. Process. 2007, 84, 51–58. [Google Scholar]
  25. Neethling, S.J.; Cilliers, J.J. Modelling flotation froths. Int. J. Miner. Process. 2003, 72, 267–287. [Google Scholar] [CrossRef]
  26. Zheng, X.; Franzidis, J.P.; Johnson, N.W. An evaluation of different models of water recovery in flotation. Miner. Eng. 2006, 19, 871–882. [Google Scholar] [CrossRef]

Share and Cite

MDPI and ACS Style

Maldonado, M.; Araya, R.; Finch, J. An Overview of Optimizing Strategies for Flotation Banks. Minerals 2012, 2, 258-271. https://doi.org/10.3390/min2040258

AMA Style

Maldonado M, Araya R, Finch J. An Overview of Optimizing Strategies for Flotation Banks. Minerals. 2012; 2(4):258-271. https://doi.org/10.3390/min2040258

Chicago/Turabian Style

Maldonado, Miguel, Rodrigo Araya, and James Finch. 2012. "An Overview of Optimizing Strategies for Flotation Banks" Minerals 2, no. 4: 258-271. https://doi.org/10.3390/min2040258

APA Style

Maldonado, M., Araya, R., & Finch, J. (2012). An Overview of Optimizing Strategies for Flotation Banks. Minerals, 2(4), 258-271. https://doi.org/10.3390/min2040258

Article Metrics

Back to TopTop