Enhancing Lithium Extraction: Effect of Mechanical Activation on the Sulfuric Acid Leaching Behavior of Lepidolite
Abstract
1. Introduction
2. Materials and Methods
2.1. Materials
2.2. Methodology
2.2.1. Mechanical Activation Test
2.2.2. Leaching Test
2.2.3. Sample Characterization
3. Results and Discussion
3.1. The Morphological Changes in Lepidolite by Mechanical Activation
3.2. Leaching Result
3.2.1. The Effect of Mechanical Activation Time on Elemental Leaching Efficiency
3.2.2. The Effect of Leaching Time and Temperature on Li and Al Leaching Efficiency
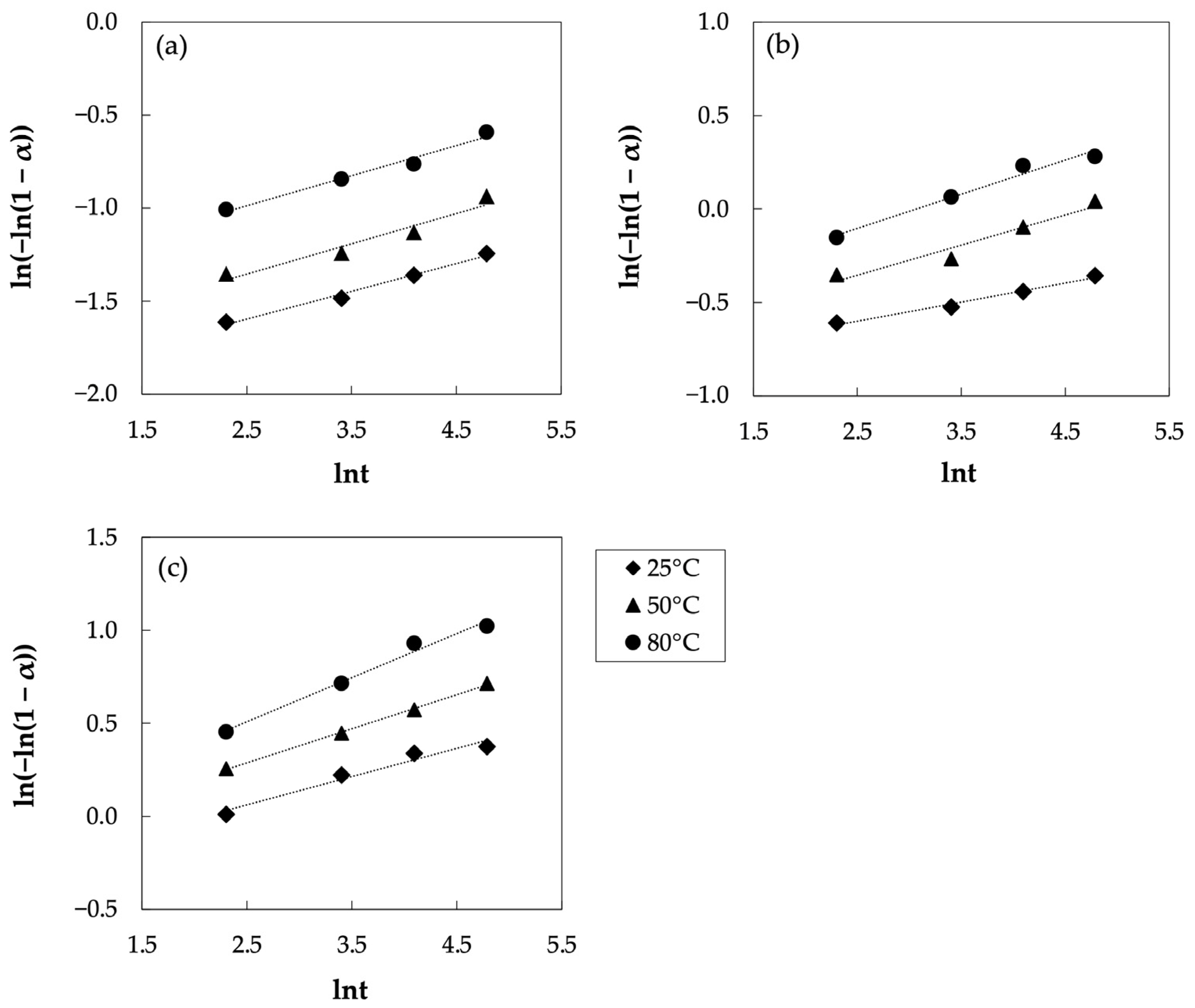
3.3. Kinetic Analysis of Li Leaching from Mechanically Activated Lepidolite
- ɑ is leaching result, k is the rate constant, t is reaction time, and n is Avrami exponent. The value of the Avrami exponent enables the identification of the rate-controlling mechanism, with 1 > n ≥ 0.5 indicating a mixed chemical reaction–diffusion control and n < 0.5 indicating diffusion-controlled [35].
- A is frequency factor, Ea is apparent activation energy (J·mol−1), R is the ideal gas constant (8.314 J·mol−1·K−1), and T is the absolute temperature, K.
4. Conclusions
Author Contributions
Funding
Data Availability Statement
Acknowledgments
Conflicts of Interest
References
- Choubey, P.K.; Kim, M.S.; Srivastava, R.R.; Lee, J.C.; Lee, J.Y. Advance review on the exploitation of the prominent energy-storage element: Lithium. Part I: From mineral and brine resources. Miner. Eng. 2016, 89, 119–137. [Google Scholar] [CrossRef]
- Necke, T.; Stein, J.; Kleebe, H.J.; Balke-Grünewald, B. Lithium extraction and zeolite synthesis via mechanochemical treatment of the silicate minerals lepidolite, spodumene, and petalite. Minerals 2023, 13, 1030. [Google Scholar] [CrossRef]
- Eom, Y.; Dyer, L.; Nikoloski, A.N.; Alorro, R.D. Mechanochemical treatment for the extraction of lithium from hard rock minerals: A comprehensive review. Metals 2024, 14, 1260. [Google Scholar] [CrossRef]
- Meshram, P.; Pandey, B.D.; Mankhand, T.R. Extraction of lithium from primary and secondary sources by pre-treatment, leaching and separation: A comprehensive review. Hydrometallurgy 2014, 150, 192–208. [Google Scholar] [CrossRef]
- Rosales, G.D.; Pinna, E.G.; Suarez, D.S.; Rodriguez, M.H. Recovery process of Li, Al and Si from lepidolite by leaching with HF. Minerals 2017, 7, 36. [Google Scholar] [CrossRef]
- Luong, V.T.; Kang, D.J.; An, J.W.; Kim, M.J.; Tran, T. Factors affecting the extraction of lithium from lepidolite. Hydrometallurgy 2013, 134–135, 54–61. [Google Scholar] [CrossRef]
- Vieceli, N.; Nogueira, C.A.; Pereira, M.F.; Dias, A.P.S.; Durão, F.O.; Guimarães, C.; Margarido, F. Effects of mechanical activation on lithium extraction from a lepidolite ore concentrate. Miner. Eng. 2017, 102, 1–14. [Google Scholar] [CrossRef]
- Guo, H.; Kuang, G.; Wan, H.; Yang, Y.; Yu, H.Z.; Wang, H.D. Enhanced acid treatment to extract lithium from lepidolite with a fluorine-based chemical method. Hydrometallurgy 2019, 183, 9–19. [Google Scholar] [CrossRef]
- Gao, L.; Wang, H.; Li, J.; Wang, M. Recovery of lithium from lepidolite by sulfuric acid and separation of Al/Li by nanofiltration. Minerals 2020, 10, 981. [Google Scholar] [CrossRef]
- Onalbaeva, Z.S.; Samoilov, V.I.; Kulenova, N.A.; Zhakupova, G.B.; Adylkanova, M.A.; Kokaeva, G.A.; Abdulina, S.A. Procedure for lepidolite concentrate processing. Russ. J. Appl. Chem. 2016, 89, 1728–1730. [Google Scholar] [CrossRef]
- Samoilov, V.I.; Onalbaeva, Z.S.; Adylkanova, M.A.; Kokaeva, G.A.; Abdulina, S.A. Complex loosening of lepidolite concentrate by sulfuric acid. Metallurgist 2018, 62, 29–33. [Google Scholar] [CrossRef]
- Liu, J.L.; Yin, Z.L.; Li, X.H.; Hu, Q.Y.; Liu, W. Recovery of valuable metals from lepidolite by atmosphere leaching and kinetics on dissolution of lithium. Trans. Nonferrous. Met. Soc. China 2019, 29, 641–649. [Google Scholar] [CrossRef]
- Wang, H.D.; Zhou, A.A.; Guo, H.; Lü, M.H.; Yu, H.Z. Kinetics of leaching lithium from lepidolite using mixture of hydrofluoric and sulfuric acid. J. Cent. South. Univ. 2020, 27, 27–36. [Google Scholar] [CrossRef]
- Guo, H.; Kuang, G.; Li, H.; Pei, W.T.; Wang, H.D. Enhanced lithium leaching from lepidolite in continuous tubular reactor using H2SO4+H2SiF6 as lixiviant. Trans. Nonferrous Met. Soc. China 2021, 31, 2165–2173. [Google Scholar] [CrossRef]
- Zhao, X.; Zhang, Y.; Xue, N.; Hu, P.; Zheng, Q.; Hu, Y. Effect of mechano-chemical activation with NaF on improved acid leaching of vanadium-bearing shale. Hydrometallurgy 2023, 221, 106126. [Google Scholar] [CrossRef]
- Baláž, P. Mechanical activation in hydrometallurgy. Int. J. Miner. Process. 2003, 72, 341–354. [Google Scholar] [CrossRef]
- Vieceli, N.; Nogueira, C.A.; Pereira, M.F.C.; Durão, F.O.; Guimarães, C.; Margarido, F. Optimization of an innovative approach involving mechanical activation and acid digestion for the extraction of lithium from lepidolite. Int. J. Miner. Metall. Mater. 2018, 25, 11–19. [Google Scholar] [CrossRef]
- Vieceli, N.; Nogueira, C.A.; Pereira, M.F.; Durão, F.O.; Guimarães, C.; Margarido, F. Recovery of lithium carbonate by acid digestion and hydrometallurgical processing from mechanically activated lepidolite. Hydrometallurgy 2018, 175, 1–10. [Google Scholar] [CrossRef]
- Wei, L.; Hu, H.; Chen, Q.; Tan, J. Effects of mechanical activation on the HCl leaching behavior of plagioclase, ilmenite and their mixtures. Hydrometallurgy 2009, 99, 39–44. [Google Scholar] [CrossRef]
- Wang, Y.; Jia, X.; Liu, H. Effect of mechanical activation on acid leaching of molybdenum from low-grade refractory ore. Min. Metall. Explor. 2025, 42, 1877–1888. [Google Scholar] [CrossRef]
- Segura-Bailón, B.; Rouquette, L.; Vieceli, N.; Bogusz, K.; Moreau, C.; Petranikova, M. Recycling of Li-ion batteries: The effects of mechanical activation on valuable metals leachability from the black mass of NMC 111. Min. Metall. Explor. 2025, 42, 3237–3247. [Google Scholar] [CrossRef]
- Baláž, P.; Takacs, L.; Luxová, M.; Godočíková, E.; Ficeriová, J. Mechanochemical processing of sulphidic minerals. Int. J. Miner. Process. 2004, 74, S365–S371. [Google Scholar] [CrossRef]
- Zhang, Y.; Zheng, S.L.; Du, H.; Xu, H.B.; Zhang, Y. Effect of mechanical activation on alkali leaching of chromite ore. Trans. Nonferrous Met. Soc. China 2010, 20, 888–891. [Google Scholar] [CrossRef]
- Zaara, K.; Optasanu, V.; Le Gallet, S.; Escoda, L.; Saurina, J.; Bernard, F.; Khitouni, M.; Suñol, J.J.; Chemingui, M. Study of structural, compression, and soft magnetic properties of Fe65Ni28Mn7 alloy prepared by arc melting, mechanical alloying, and spark plasma sintering. Materials 2023, 16, 7244. [Google Scholar] [CrossRef]
- Soliz, A.; Guzmán, D.; Cáceres, L.; Madrid, F.M.G. Electrochemical kinetic analysis of carbon steel powders produced by high-energy ball milling. Metals 2022, 12, 665. [Google Scholar] [CrossRef]
- Mañosa, J.; Alvarez-Coscojuela, A.; Maldonado-Alameda, A.; Chimenos, J.M. A lab-scale evaluation of parameters influencing the mechanical activation of kaolin using the design of experiments. Materials 2024, 17, 4651. [Google Scholar] [CrossRef]
- Guzzo, P.L.; de Barros, F.B.M.; Soares, B.R.; Santos, J.B. Evaluation of particle size reduction and agglomeration in dry grinding of natural quartz in a planetary ball mill. Powder Technol. 2020, 368, 149–159. [Google Scholar] [CrossRef]
- Baki, V.A.; Ke, X.; Heath, A.; Calabria-Holley, J.; Terzi, C.; Sirin, M. The impact of mechanochemical activation on the physicochemical properties and pozzolanic reactivity of kaolinite, muscovite and montmorillonite. Cem. Concr. Res. 2022, 162, 106962. [Google Scholar] [CrossRef]
- Gaines, G.L., Jr.; Rutkowski, C.P. The extraction of aluminum and silicon from muscovite mica by aqueous solutions. J. Phys. Chem. 1957, 61, 1439–1441. [Google Scholar] [CrossRef]
- Osman, M.A.; Caseri, W.R.; Suter, U.W. H+/Li+ and H+/K+ exchange on delaminated muscovite mica. J. Colloid Interface Sci. 1998, 198, 157–163. [Google Scholar] [CrossRef]
- Kurganskaya, I.; Arvidson, R.S.; Fischer, C.; Luttge, A. Does the stepwave model predict mica dissolution kinetics? Geochim. Cosmochim. Acta 2012, 97, 120–130. [Google Scholar] [CrossRef]
- Terzić, A.; Pezo, L.; Andrić, L. Chemometric analysis of the influence of mechanical activation on the mica quality parameters. Ceram. Int. 2015, 41, 8894–8903. [Google Scholar] [CrossRef]
- Olaoluwa, D.T.; Baba, A.A.; Oyewole, A.L. Beneficiation of a Nigerian lepidolite ore by sulfuric acid leaching. Miner. Process. Extr. Metall. 2023, 132, 134–140. [Google Scholar] [CrossRef]
- Li, C.; Liang, B.; Guo, L.H.; Wu, Z.B. Effect of mechanical activation on the dissolution of Panzhihua ilmenite. Miner. Eng. 2006, 19, 1430–1438. [Google Scholar] [CrossRef]
- Ma, F.; Zeng, Y.; Yu, X.; Chen, K.; Ren, S. The leaching behavior of potassium extraction from polyhalite ore in water. ACS Omega 2023, 8, 37162–37175. [Google Scholar] [CrossRef]
- Zhang, Y.; Li, X.; Pan, L.; Wei, Y.; Liang, X. Effect of mechanical activation on the kinetics of extracting indium from indium-bearing zinc ferrite. Hydrometallurgy 2010, 102, 95–100. [Google Scholar] [CrossRef]
- Sheibani, S.; Ataie, A.; Heshmati-Manesh, S. Kinetics analysis of mechano-chemically and thermally synthesized Cu by Johnson–Mehl–Avrami model. J. Alloys Compd. 2008, 455, 447–453. [Google Scholar] [CrossRef]
- Liu, C.L.; Chen, Z.F.; Zhu, Y.; Yu, J.G. Fundamental study of leaching kinetics and mechanism of spodumene assisted by mechanical activation. Miner. Eng. 2024, 218, 108936. [Google Scholar] [CrossRef]












| Component | Li2O | Al2O3 | SiO2 | Fe2O3 | K2O | Rb2O | MnO |
|---|---|---|---|---|---|---|---|
| wt. % | 3.81 | 29.00 | 51.17 | 0.06 | 9.40 | 3.03 | 0.84 |
| Sample Description | D10 | D50 | D90 |
|---|---|---|---|
| Unactivated | 28.7 | 149.5 | 451.2 |
| 10 min activated | 5.1 | 69.3 | 274.4 |
| 30 min activated | 4.3 | 25.8 | 153.5 |
| 60 min activated | 0.1 | 14.5 | 91.2 |
| Temperature K | 10 min Activated | 30 min Activated | 60 min Activated | ||||||
|---|---|---|---|---|---|---|---|---|---|
| n | lnk | R2 | n | lnk | R2 | n | lnk | R2 | |
| 298.15 | 0.1490 | −1.3914 | 0.9780 | 0.1019 | −0.8545 | 0.9868 | 0.1518 | −0.3173 | 0.9846 |
| 323.15 | 0.1627 | −1.7613 | 0.9405 | 0.1610 | −0.7566 | 0.9451 | 0.1831 | −0.1697 | 0.9989 |
| 353.15 | 0.1616 | −1.9686 | 0.9892 | 0.1825 | −0.5599 | 0.9727 | 0.2367 | −0.0828 | 0.9846 |
Disclaimer/Publisher’s Note: The statements, opinions and data contained in all publications are solely those of the individual author(s) and contributor(s) and not of MDPI and/or the editor(s). MDPI and/or the editor(s) disclaim responsibility for any injury to people or property resulting from any ideas, methods, instructions or products referred to in the content. |
© 2026 by the authors. Licensee MDPI, Basel, Switzerland. This article is an open access article distributed under the terms and conditions of the Creative Commons Attribution (CC BY) license.
Share and Cite
Eom, Y.; Dyer, L.; Nikoloski, A.N.; Alorro, R.D. Enhancing Lithium Extraction: Effect of Mechanical Activation on the Sulfuric Acid Leaching Behavior of Lepidolite. Minerals 2026, 16, 87. https://doi.org/10.3390/min16010087
Eom Y, Dyer L, Nikoloski AN, Alorro RD. Enhancing Lithium Extraction: Effect of Mechanical Activation on the Sulfuric Acid Leaching Behavior of Lepidolite. Minerals. 2026; 16(1):87. https://doi.org/10.3390/min16010087
Chicago/Turabian StyleEom, Yuik, Laurence Dyer, Aleksandar N. Nikoloski, and Richard Diaz Alorro. 2026. "Enhancing Lithium Extraction: Effect of Mechanical Activation on the Sulfuric Acid Leaching Behavior of Lepidolite" Minerals 16, no. 1: 87. https://doi.org/10.3390/min16010087
APA StyleEom, Y., Dyer, L., Nikoloski, A. N., & Alorro, R. D. (2026). Enhancing Lithium Extraction: Effect of Mechanical Activation on the Sulfuric Acid Leaching Behavior of Lepidolite. Minerals, 16(1), 87. https://doi.org/10.3390/min16010087

