Abstract
Ceramic balls, as an emerging grinding medium, require a systematic method for optimizing their size distribution in wet ball mills. This study proposes an innovative approach that integrates Duan’s semi-theoretical ball diameter formula with breakage statistical mechanics to determine the optimal ceramic ball size distribution. The ideal ball diameters for grinding 2.36–3.0 mm, 1.18–2.36 mm, 0.60–1.18 mm, and 0.30–0.60 mm tungsten ore were identified as 55 mm, 50 mm, 35 mm, and 20 mm, respectively. Subsequently, the optimal ball size distribution was formulated as CB3: Ø55 mm:Ø50 mm:Ø35 mm:Ø20 mm = 30%:40%:20%:10%. Comparative sieve analysis and discrete element method (DEM) simulations confirmed that the CB3 distribution yields the highest proportion of qualified particles, the most favorable collision frequency, and the greatest kinetic energy among all tested configurations. The proposed method demonstrates both accuracy and practicality, providing a theoretical foundation for the industrial application of ceramic ball grinding systems.
1. Introduction
Grinding is an essential preparation operation in the mineral processing process; the grinding product’s size distribution directly determines the efficiency of downstream processes such as flotation and leaching, making grinding optimization a central concern in mineral processing plants aiming for both high recovery and low operating costs [1,2,3]. There are many factors affecting the grinding process, especially the influence of grinding media [4,5]. In recent years, steel balls have progressively been replaced with ceramic balls as the new grinding media [6,7,8]. Ceramic ball grinding products have stronger wear resistance, smaller specific gravity, and less iron ion pollution than other grinding products [9,10]. As a result, their particle size distribution is more uniform, which improves sorting operations. When ceramic balls are replaced by steel balls as the grinding medium, the particle size distribution of grinding products is significantly improved [11,12]. The shift towards ceramic media is also driven by broader industry trends toward sustainability and process intensification. The longer service life of ceramic balls reduces media consumption and waste, while the elimination of iron contamination minimizes downstream reagent use in flotation and lowers environmental impact [13,14]. In addition, when the hardness of the feed is high, the grinding efficiency of ceramic balls is improved after a certain amount of steel balls are added to the ceramic balls. Under the premise of low energy consumption in the concentrator, the combination of steel balls and ceramic balls can improve the grinding efficiency of coarse ore [15,16]. It is also important to note how these properties affect later flotation operations. Zhang Xiaolong [17] compared samples to pyrite obtained using a steel ball milling medium; pyrite obtained using a ceramic ball milling medium demonstrated superior flotation recovery. Iron hydroxyl complexes are created when iron ions are present, which prevent pyrite from floating [18]. Major mines are increasingly using ceramic balls as grinding media.
The transition from steel to ceramic grinding media is not merely a material substitution. The distinct physical properties of ceramic balls—such as their lower density, higher hardness, and different wear mechanisms—fundamentally alter the grinding dynamics within the mill [19]. Like steel ball milling, the ball diameter of ceramic ball medium directly affects the grinding effect and grinding efficiency of the mill [20,21,22]. However, the bulk of theoretical studies on ceramic balls used as grinding media in ball mills are fragmented and focus on the filling rate, grinding concentration, and other pertinent parameters [23,24]. Specifically, while existing research has extensively examined operational factors such as filling rate, slurry concentration, and rotational speed, there remains a lack of a fundamental model for determining the optimal size distribution of ceramic grinding media—a gap that limits the systematic design and efficiency maximization of ceramic ball milling processes. Finding the suitable diameter ratio of the ceramic ball is a significant challenge to make this new type of ceramic ball grinding medium more practical for production. The computation of the medium ratio for ceramic ball grinding in ball mills lacks a solid theoretical foundation as of yet; the method to calculate the spherical diameter ratio of ceramic balls is urgently needed.
The semi-theoretical spherical diameter formula of Duan [25], which is the most widely used method to calculate the diameter ratio of steel balls, accurately formulates the ball size distribution of steel balls according to the differences in mechanical properties of ores, which are based on the mechanical characteristics of the ore and ball charge motion by testing more than 50 ball mills in use [26]. The perfect spherical diameter ratio of steel balls can completely optimize the particle size distribution features of the grinding products according to the semi-theoretical spherical diameter formula [27]. This can significantly increase the grinding efficiency of grinding equipment and produce a more uniform particle size distribution in the products that are ground. It has been applied in major mines in China [28,29]. However, this calculation method is created based on steel ball milling and is not applicable to other grinding media [30]. The underlying assumptions of this theory regarding impact energy, media density, and breakage kinetics are intrinsically coupled with the inherent properties of steel. Consequently, extending this established theory to ceramic media necessitates a fundamental re-evaluation of the energy transfer and size-reduction mechanisms [31,32].
To address this critical gap, this study proposes a novel integrated methodology that systematically extends and adapts classical ball sizing theory to ceramic grinding media, thereby establishing a foundational framework for optimizing their size distribution. In this work, in order to obtain the appropriate spherical diameter ratio of ceramic balls, the optimal spherical diameter ratio of ceramic balls was obtained through a large number of theoretical calculations and innovative methods (combining the semi-theoretical spherical diameter formula of Duan and breakage statistical mechanics). Then, the diameter ratio of the ceramic ball obtained using this method is compared with the particle size characteristic distribution of other control groups under the same conditions (grinding concentration, filling rate and mill speed remain unchanged). Finally, the results were verified using the discrete element model [33,34,35]. The feasibility of this method is verified by grinding experiments, which provide a basis for the subsequent calculation of ceramic ball diameter and its popularization and development.
2. Theoretical Background
The grinding medium, which functions as a crushing mechanism, is critical for determining the quality of the ground materials [36]. This section first introduces how to calculate the grinding medium size of tungsten ore with different particle sizes by using Duan’s semi-theoretical ball diameter formula [4,5], and then introduces the breakage statistical mechanics method for the formulation of an accurate ball size distribution of ceramic balls [27]. Moreover, discrete element simulation is adopted to better understand the collision between the grinding medium and mineral particles in the grinding process.
2.1. Semi-Theoretical Spherical Diameter Calculation of Duan
The breakage of the ore was mainly achieved through the breakage force of the balls. When the breakage force of the ball is greater than the force of the ore itself, the ore breaks. Moreover, the breakage force of the ball is affected by the diameter and rotation speed of the mill. Using a number of mill parameters, we can first get the ceramic ball’s estimated diameter in the same scenario using the semi-theoretical ball diameter formula of Duan.
where is the calculated ball size in centimeters (mm); is a combined correction factor, which depends on the specific mechanical properties of the ceramic grinding media material relative to standard steel balls; is the ratio of the critical speed of the ball mill, expressed as a percentage (%); is the compressive strength in grams per square centimeter (g/cm3), which can be obtained from a point-load strength test; is the effective density of the ball in the slurry, measured in grams per cubic centimeter (g/cm3); is the ball diameter of the middle polycondensation layer in the mill, in centimeters (cm); and is the particle size of the ore, in centimeters (mm).
The calculated ball sizes of the ceramic balls are presented in Table 1. The selection of parameters in this table, including ball densities and mill dimensions, is based on standard industrial specifications for the modeled mill, material property data obtained from the ceramic ball supplier’s datasheet and standard material handbooks, and initial experimental calibration ranges. However, the combined correction factor for ceramic balls is unknown; therefore, when calculating the size of the ceramic ball, the correction coefficient () was considered in the subsequent experiment. Because there was no accurate method previously provided for determining the diameter of ceramic balls, the correction coefficient was taken into consideration in the following experiment. It should be noted that the parameters listed in Table 1 are preliminary theoretical values. They will be subsequently refined and adjusted through the ceramic ball correction factor Kc, which is determined based on experimental results in Section 4.1.
Table 1.
The calculated size of ceramic balls.
2.2. Statistical Mechanics Calculation of Breakage
A large number of studies have proven that the Divas-Aliavden grinding kinetics equation is the most general equation for describing the grinding process of solid particles in ball mills [37]. The relationship between grinding rate and grinding time can be expressed using the grinding dynamics equation [38].
For narrow-size feed particles, it has been found that the relationship between the cumulative percentage retained and the grinding time follows the first-order kinetics. The specific rate of breakage can be calculated as follows [28]:
where is the specific rate of breakage of feed size , and are the weight percentages of the narrow-size feed of size in the ground product at times t and zero, respectively.
The grinding energy carried by the grinding media is determined by the size of the grinding media. Therefore, the breakage of ore particles with a certain particle size is determined by the grinding media being larger than a certain diameter. In addition, the collision probability was determined by the number of grinding media. Therefore, the breakage of the ore is determined by the probabilities of breakage and collision.
For grinding with grinding media of a homogeneous diameter, the breakage events of ore can be obtained by the principle of breakage statistical mechanics, which can be presented as below [27]:
where represents the total number of breakage events that occur in one breakage cycle; is the total weight of grinding media charge in the mill, measured in tons (t). is the grinding density of grinding media, measured in tons per cubic meter (t/m3). is the maximum grinding medium diameter, measured in meters (m). is the content of solids at particle size which is calculated by multiplying the yield of particle size by the percentage of solids in the pulp by volume. is the specific rate of breakage for particle size .
For grinding with grinding media of mixed diameters, the breakage events of ore can be obtained by the principle of breakage statistical mechanics, presented as below [25]:
where is the total number of breakage events that occur under the action of one breakage; is the total weight of grinding media charge in the mill, expressed in tons (t). is the grinding density of grinding media, given in tons per cubic meter (t/m3). is the diameter of grinding corresponding to particle , stated in meters (m). is the ratio of the weight of grinding media with diameter to the total mass of grinding medium in the tumbling mill. is the content of solids at particle size , which is calculated by multiplying the yield of particle size by the percentage of solids in the pulp by volume. is the specific rate of breakage of particle size .
2.3. Discrete Element Method
Grinding is a complicated operation, and the interaction of the grinding medium, materials, and equipment results in a complex material level. Numerical simulations based on the discrete element method (DEM) [35] can readily predict the energy distribution based on proven contact mechanics, although this information is difficult to collect from tests [39]. Consequently, it is employed to model a variety of grinding apparatuses, including stirring, planetary, and tumbling mills, as well as a DEM-simulated rolling ball mill for batch grinding studies [33]. Li Y. et al. [40] expressly takes into account the mechanical characteristics of the balls and particles as well as the mechanism of particle breakage when he relates the grinding rate and power to the operating parameters.
The likelihood of a ball-and-ore particle interaction can be calculated using the DEM approach. The primary component that influences the grinding impact is the ball size distribution. Under varying ball size distributions, the number of particles in the mill is clearly varied, as is the collision between the particles during operation and the energy loss resulting from impact [41]. By investigating the change of collision frequency and kinetic energy between the material and the mill medium under different ball size distributions of ceramic ball mixture, the influence of different medium systems on the grinding process can be obtained [42,43].
3. Experiment
3.1. Materials
The tungsten ore used was collected from the feed of the first-stage grinding at Shizhuyuan Nonferrous Metal Co. located in Chenzhou, a city in Hunan Province, China. The chemical composition and mineralogical phase of tungsten ore have been described previously [29].
To evaluate the impact of grinding media with varying diameters on minerals of varying grain grades, the sample was first ground to a particle size of less than 3 mm using high-pressure grinding rolls (Chengdu Lijun Science & Technology Co., Ltd., Chengdu, China). This was followed by screening the material into four narrow size fractions: 0.30–0.60 mm, 0.60–1.18 mm, 1.18–2.36 mm, and 2.36–3.0 mm. Figure 1 shows the size distribution of the 3 mm feed. According to the regulations of the grinding and grading process in Shizhuyuan concentrator, Particles of +0.3 mm must be reground, because the particle size of the overflow products in the first stage of grinding was less than 0.3 mm. For the particle size less than 0.023 mm, it is defined as overworn particle size because of the difficulty of subsequent sorting. Particles were classified as qualifying particles (0.023–0.3 mm), over-wear particles (−0.023 mm) and over-coarse particles (+0.3 mm) in this paper. Among them, both over-grinding particles (−0.023 mm) and over-coarse particles (+0.3 mm) are not conducive to the subsequent separation of tungsten ore.
Figure 1.
Particle size distribution of −3 mm feed.
3.2. Grinding Media
In this experiment, ceramic balls were used as the grinding media. Figure 2 depicts a picture of the grinding medium, with its size varying from 55 mm, 50 mm, 40 mm, 35 mm, 30 mm, 25 mm, 20 mm, 15 mm. The grinding balls used in this study are high-alumina nano-ceramic balls (Al2O3 content > 92%) with a density of 3.7 g/cm3, which are toughened through ZrO2 phase transformation and feature optimized sphericity and structural integrity (Jingdezhen Baitwell Co., Ltd., Jingdezhen, China).
Figure 2.
Ceramic balls for testing.
3.3. Experimental Program
3.3.1. Grinding Test
The grinding test was carried out in an XMQ-Φ240 mm × 90 mm laboratory conical ball mill (Nanchang Xingyuan Mining Equipment Co., Ltd., Nanchang, China). The details of the grinding equipment have been discussed in the literature [26]. In the ball size grinding experiment, the mass of ceramic balls was 6.19 kg, resulting in a 45% charge-filling rate for the mill volume. A 500 g feed sample material and 250 mL tap water were used in the grinding experiments to obtain a solid concentration of 67 wt. %.
The ratio of the critical speed of mill Ø can be calculated with the following formula:
n is the rotation speed of the mill (rev/min), and is the critical rotation speed of the mill (rev/min) [44].
where d and D are the ball diameter and mill diameter, respectively, φ is the fractional ball filling (%), and βs is the material angle (29° for the balls).
The grinding time for each mono-size fraction and the full-size fraction of the 3 mm feed was 3 min. A mill speed of 96 rpm was maintained at 68% of its critical speed.
3.3.2. Discrete Element Simulation Test Method
The XMQ-Φ240 mm × 90 mm laboratory conical ball mill model was imported into EDEM software (EDEM 2022.0 Professional 8.0.0). In the preprocessing stage, particle contact parameters were configured, and various experimental conditions—including particle shape, size, generation rate, and spatial distribution—were input to investigate the actual motion of materials and grinding media during mill operation. By simulating the real milling process and incorporating actual operating conditions, the mill speed was set to 68% of the critical speed, i.e., 96 rev/min. To ensure stable particle generation, the creation time for both grinding media and mineral particles in the particle factory was set to 0.5 s. At the start of the simulation, all non-overlapping particles inside the mill were generated randomly. Under gravity, these particles began to fall and collide with others. After the packed bed was formed, the mill started rotating at the designated speed. Flow data were collected and analyzed once the particle flow reached a steady state. To allow sufficient time for the particles to reach stable operation, the grinding simulation duration was set to 5 s, with a total simulation time of 6 s. Based on raw ore characteristics, material particles were randomly generated within the size range of −3 mm to +0.3 mm. The ball mill simulation model used in the test is shown in Figure 3, and the physical properties related to the ceramic balls and the ore grinding simulation are listed in Table 2. The coefficients of static and rolling friction for the interactions between ore particles, ceramic balls, and the mill liner were critical to the DEM simulation [31]. To ensure the physical realism of the simulated charge motion, the values were further calibrated against experimental observations of the actual grinding charge behavior in a laboratory-scale mill.
Figure 3.
Conical ball mill simulation model.
Table 2.
Related physical parameters of ceramic ball grinding simulation process [24,45].
Simulation experiments were run for various ceramic mixing ball size distributions designed in Section 4.2. The mill filling rate was 45%, meaning that the mill speed was 96 revolutions per minute and the total weight of the ceramic ball medium is calculated by the filling rate. Calculations were performed for the grinding medium collision timings on the ore and the relative particle collision velocity for the same grinding time.
4. Results and Discussion
4.1. Influence of Ball Diameter on Breakage Probability
The process of grinding realizes ore breakage through the movement of the grinding medium. When the breakage force of the grinding media is greater than the force of the ore itself to resist breakage, the ore breaks. The breakage resistance energy of the ore can be calculated using Equation (7), and the breakage energy of the grinding media can be calculated using the following equation [28]:
where is the breakage resistance energy of ore (kg·cm).
where denotes the breakage energy of the grinding medium (kg·cm). α is the motion separation angle of the grinding medium.
The breakage resistance energy calculation results of the four narrow-grained ores are listed in Table 3 and those of the grinding media are listed in Table 4.
Table 3.
The breakage resistance energy of four narrow-grained ores.
Table 4.
The breakage energy of ceramic balls.
As is presented in Table 3 and Table 4, for the feed with a particle size of 2.36–3.0 mm, ceramic balls of 55 mm and 50 mm can be adopted to break the tungsten ore. For the feed with a particle size of 1.18–2.36 mm, the size of the ceramic balls is larger than 30 mm. For the feed with a particle size of 0.60–1.18 mm, the size of the ceramic balls is larger than 15 mm. For the feed with a particle size of 0.30–0.60 mm, the ceramic balls were larger than 10 mm for breakage.
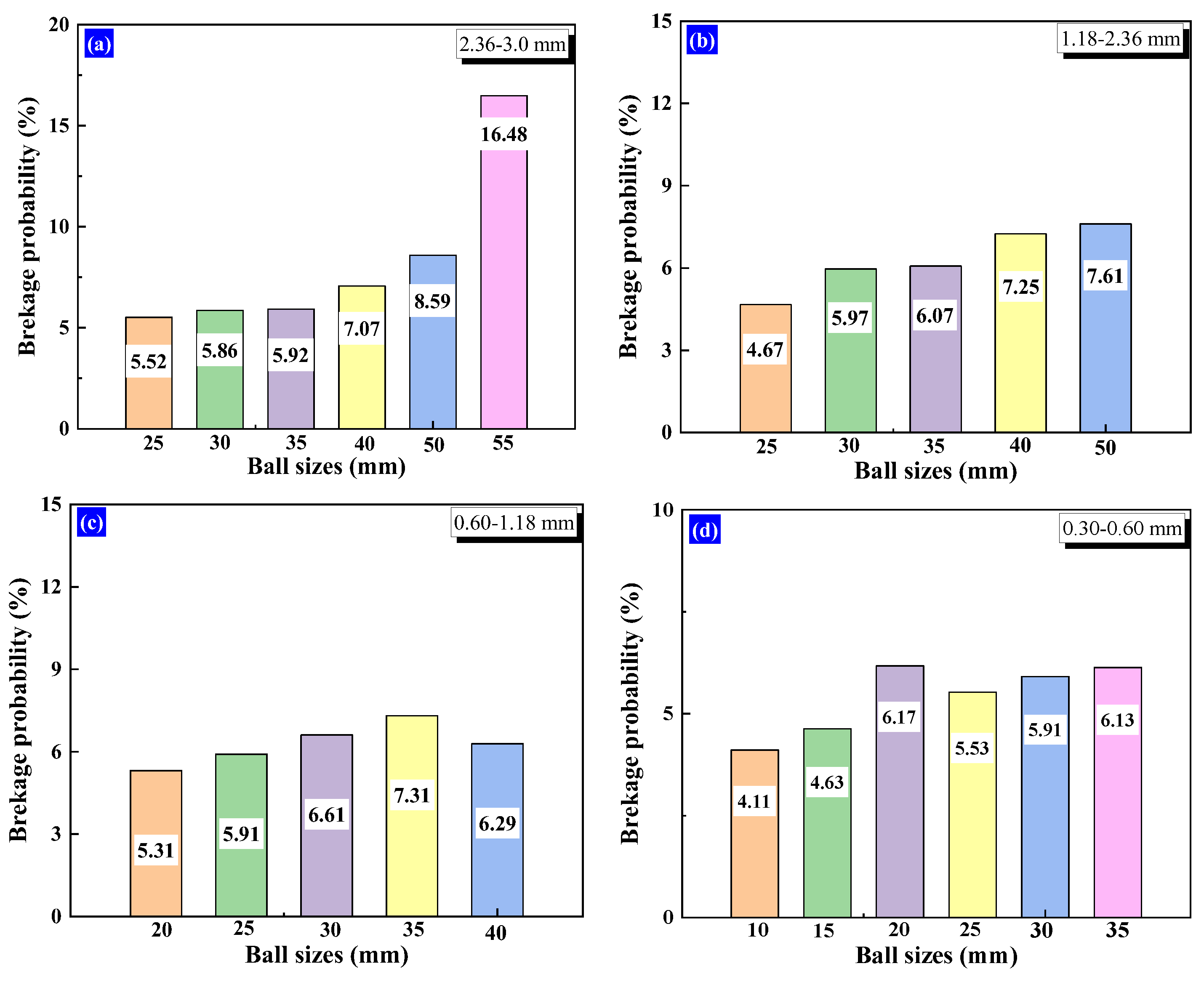
To determine the ball diameter of the narrow-size grinding more accurately, four batches of narrow-grained feed were ground with different sizes of the grinding medium. The grinding results were analyzed using the principle of breakage statistical mechanics, and the breakage probability of ore was adopted for analysis because the narrow-size feed grinding test mainly examines this factor. Therefore, in this paper, the correction factor Kc of the ceramic ball is 1.38, 2.00, 3.50, 4.00, respectively for 2.36–3.0 mm, 1.18–2.36 mm, 0.60–1.18 mm, 0.30–0.60 mm narrow size feed. The relationship between the breakage probability of four different narrow particle sizes and the diameter of the ceramic ball is shown in Figure 4.
Figure 4.
Relationship between the breakage probability and the ball diameter of the ceramic ball. (a) 2.36–3.0 mm; (b) 1.18–2.36 mm; (c) 0.60–1.18 mm; (d) 0.30–0.60 mm.
In Figure 4a, the breakage probability of the 2.36–3.0 mm feed increased when the ball diameter increased from 25 mm to 55 mm; therefore, 55 mm was used as the suitable ball diameter for 2.36–3.0 mm feed. In Figure 4b, the breakage probability of the 1.18–2.36 mm feed increased when the ball diameter increased from 25 mm to 50 mm, and thus, a suitable of 50 mm was used for the 1.18–2.36 mm feed. In Figure 4c, the breakage probability of the 0.60–1.18 mm feed increased when the ball diameter increased from 20 mm to 35 mm and then decreased when the ball diameter reached 40 mm. Therefore, an optimal ball diameter of 35 mm was used for the 0.60–1.18 mm feed. In Figure 4d, the breakage probability of the 0.30–0.60 mm feed increased when the media size increased from 10 mm to 20 mm and then decreased. Therefore, an optimal ball diameter of 20 mm was used for the 0.30–0.60 mm feed. It is evident that with the correction factor, the experimental results of the ceramic ball diameter also fit the calculation results of the ball diameter Formula (2). Therefore, in this study, the correction factors Kc of the ceramic ball are 1.38, 2.00, 3.50, and 4.00, respectively, for 2.36–3.0 mm, 1.18–2.36 mm, 0.60–1.18 mm, 0.30–0.60 mm narrow feed, respectively.
4.2. Selection of Ball Size Distribution
Therefore, according to the size distribution of feed in Figure 1 and the breakage statistical mechanics, the optimal ball size distribution for ceramic balls is 55 mm:50 mm:35 mm:20 mm = 30%:40%:20%:10% (CB3). In order to verify this calculation result, different ball size distributions for the grinding experiment are utilized, which are presented in Table 5. The particle size distributions of the ground product are shown in Figure 5.
Table 5.
Ball size distribution for the wet grinding experiment.
Figure 5.
Particle size distributions of ground product for different ball size distribution.
Figure 5 shows that according to the ball size distribution of ceramic balls (CB3), the content of qualified particles in grinding products is the highest (52.35%) and the content of over-coarse particles (+0.3 mm) is the lowest (34.37%). Compared with the ball size distribution of CB1, that of CB3, which included the size of 20 mm diameter, and the content of qualified particles increased due to small ball breakage and small particle sizes. Compared with CB2, CB4, CB7, and CB8, which are of different ball size distributions, the generation of qualified particle size using CB3 did not increase when the grinding medium was too large or too small. If it is too large, it will cause insufficient grinding fineness, and if too small, there will be more over-grinding content and over-coarse particle size content. Compared with CB5 and CB6, CB3 yielded the best grinding effect when its ball size distribution was consistent with the particle size composition of the feed to be ground. CB3 has the highest qualified grain yield and the best grinding uniformity.
4.3. Effect of Ball Filling Rate on Production of Optional Particle Size Range
The ball charge filling ratio significantly influences grinding productivity. Higher ratios increase both productivity and grinding power, but should not exceed 50%. In steel ball grinding, the ball charge filling ratio generally ranges from 30 to 50% [46]. Limited literature exists on the charge filling ratio of ceramic balls when used as coarse grinding media in the tumbling ball mill. So, it is very important to study the ceramic ball charge filling ratio in the tumbling ball mill. Figure 6 illustrates the relationship between size fraction yield and ceramic ball charge filling ratio. It can be seen that the content of qualified particles (−0.023 + 0.30 mm) and over-grinding (−0.023 mm) products initially increase and then decrease as the ceramic ball charge filling ratio increases from 35% to 55%. The content of qualified particles (−0.023 + 0.30 mm) peaked at the ball charge filling ratio of 45%. Thus, the appropriate ball charge filling ratio for ceramic balls was 45%. The ceramic ball size distribution is 55 mm:50 mm:35 mm:20 mm = 30%:40%:20%:10% (CB3).
Figure 6.
Effect of ball charge filling ratio for ceramic balls on size fraction yield.
In Section 4.3, the ball charge filling ratio grinding experiment, the solid concentration, mill speed, and grinding time were in line with the ball size grinding tests. The ball-charge filling rates of the ceramic balls were 35%, 40%, 42.5%, 45%, 50%, and 55%.
4.4. Simulation Verification via the Discrete Element Method
4.4.1. Mixed Ball Diameter Ceramic Ball Simulation Comparison
The particle movement pattern of the ball mill during the stable grinding phase is depicted in Figure 7. The velocity of the simulated particles, including both the ceramic grinding balls and the ore charge, is color-coded, where low energy collisions are represented by dark blue, medium energy collisions by green, and high-intensity collisions by yellow, orange, and red. The image illustrates how ceramic balls, despite their lighter weight compared to steel balls, achieve a higher filling rate. Additionally, the lower density of ceramic balls compared to steel balls results in a greater number of balls per unit mass of grinding media under the same filling volume. This increased population of grinding bodies directly leads to a higher frequency of ball–mineral contacts per unit time and per unit mass, thereby enhancing the probability of breakage events. Furthermore, the inherent surface characteristics and wear patterns of ceramic materials may promote a more favorable particle-bed compression and shearing environment within the mill, contributing to overall grinding efficiency beyond mere contact frequency [45]. In contrast, the CB3 test scheme enhances active material movement in the mill, resulting in noticeable speed variations and better adaptability of the ceramic balls to the ore particles. This scheme also facilitates increased contact surface area between the ore and the grinding media during mill rotation, promoting more uniform material mixing.
Figure 7.
Particle movement pattern in a ball mill.
In order to further study the motion of different proportioned ceramic balls in the ball mill, the discrete element simulation results were calculated. The most efficient type of collision in the mill is that which occurs between the grinding medium and the minerals. Other types of collisions include those that occur between ore and ball, ore and ore, and ore and ball. All average values (velocity and collision frequency) were calculated as time-averaged metrics over the stable grinding phase from 0 to 5 s of simulation time. Figure 8a illustrates the collision frequency for ten different ball size distributions. Initially, particles enter the mill cylinder and rotation begins at t = 0 s. By t = 0.5 s, the particles start to lift along with the cylinder’s rotation, leading to a progressive increase in collisions. It is evident that the particle collision tends to be stable when the cylinder rotation approaches equilibrium at t = 1 s. In the ceramic ball ratio, CB3 has the longest effective collision timings.
Figure 8.
Simulation results of different spherical diameter ratios of ceramic balls. (a) Number of collisions; (b) Average number of collisions; (c) Relative velocity; (d) Average relative velocity.
The relative velocity data in Figure 8c depict the movement pattern inside the mill. At t = 0 s, particles enter the mill barrel, which starts rotating. As the barrel rotates from t = 0.5 s, particle collisions increase steadily, stabilizing as rotation nears equilibrium by t = 1 s. The average velocity in Figure 8d indicates that there is a higher kinetic energy of particle movement, together with a larger relative velocity of CB3 in the ceramic ball ratio. The findings demonstrate the validity and efficiency of the exact spherical diameter ratio determined by the section semi-theoretical spherical diameter formula and breakage statistical mechanics.
Because the discrete element approach and the statistical mechanics of breakage compute the breakage probability differently, direct comparison of breakage probability values obtained from these approaches is not feasible. However, both methods collectively demonstrate optimal collision probability and the breakage probability in the CB3 ceramic ball grinding process with ball-diameter ratios.
4.4.2. Simulation and Comparison of Different Filling Rates
Figure 9 displays the results of six sets of simulation tests that were run for various ceramic ball filling rates (35%, 40%, 42.5%, 45%, 50%, and 55%), focusing on the impact timings with mineral particles. Figure 9a illustrates the consistent trend in the number of particle collisions across varying filling rates. Initially, particles enter the mill cylinder at t = 0 s, as the cylinder starts to rotate. At t = 0.5 s, the particles start to lift in tandem with the cylinder’s rotation, leading to a gradual increase in collision frequency. A higher ceramic ball filling rate should be chosen within an acceptable range because an increased filling rate results in more collisions between ceramic balls and mineral particles as the cylinder rotation reaches equilibrium at t = 1 s. This increased interaction enhances the grinding efficiency due to the larger number of ceramic balls impacting the material particles.

Figure 9.
Simulation results of filling rates of different ceramic balls. (a) Number of collisions; (b) Average number of collisions; (c) Relative velocity; (d) Average relative velocity.
The relative velocities of the medium particles under different conditions are shown in Figure 9c. The pattern is increasing at first, followed by a sharp decline, and eventually reach stabilization. As can be seen in Figure 9d, the results show that the average relative velocity of the medium motion increases as the filling rate increases. However, this climb is not linear. As the filling rate increases, the slope of the velocity increase begins to drop. This suggests that while a higher filling rate promotes particle movement, this impact becomes less pronounced as the filling rate gets closer to a certain threshold. The selection of the optimal filling degree was not based solely on the average relative velocity. Instead, it was determined by maximizing the product of collision frequency and average collision energy (proportional to velocity squared), which serves as a comprehensive proxy for the effective grinding power within the mill. Consequently, based on the criterion of maximizing the product of collision frequency and energy, the ideal filling rate within a reasonable operational range is determined to be 45%. This finding aligns with and provides a mechanistic explanation for the optimal results identified in Section 4.3. The accuracy of the calculation method of the spherical diameter ratio of a ceramic ball is further established, which provides an explanation for the subsequent popularization and application of this method.
5. Conclusions
This study effectively extends classical ball sizing theory to ceramic grinding media by integrating Duan’s semi-theoretical formula with breakage statistical mechanics, followed by experimental and DEM validation. It provides a novel theoretical framework and a practical workflow for determining media size distribution.
- (1)
- The semi-theoretical spherical diameter formula of Duan can be used to determine the ceramic ball’s diameter. Optimal ceramic ball sizes are 55 mm, 50 mm, 35 mm, and 20 mm when the feed is 2.36~3.0 mm, 1.18~2.36 mm, 0.60~1.18 mm, and 0.3~0.6 mm, respectively.
- (2)
- The precise ratio of CB3: Ø55 mm:Ø50 mm:Ø35 mm:Ø20 mm = 30%:40%:20%:10% was obtained by combining the results of Duan’s semi-theoretical formula with breakage statistical mechanics. By comparing the sieving analysis results of grinding products, it can be seen that CB3 grinding products have the best distribution of particle size characteristics.
- (3)
- It is feasible to ascertain that CB3 has a higher collision probability and kinetic energy than other systems by using DEM simulation. These can be obtained by using the segment semi-theoretical spherical diameter formula and the breakage statistical mechanics principle. The ceramic ball achieves optimal grinding efficiency at a 45% filling rate. The discrete element method (DEM) is used to verify the method from the perspective of ore-medium collisions.
The promising proposed approach is currently validated only with the specific Shizhuyuan tungsten ore from Chenzhou, Hunan Province. Further research is therefore needed to validate its applicability and robustness across a wider range of ores with varying properties, such as hardness, brittleness, and mineral composition.
Author Contributions
Y.L.: Investigation, Data curation, Writing—original draft, Paper test. N.L.: Investigation, Data curation, Methodology, Project management. C.W.: Data management, Funding acquisition, Writing—review and editing. J.Y.: Editing. Y.C. (Yue Cheng): Supervision. R.T.: Project administration. Y.N.: Conceptualization. Y.C. (Yiwei Cheng): Writing—review. All authors have read and agreed to the published version of the manuscript.
Funding
The authors acknowledge the financial support from the National Key R&D Program of China (2022YFC2905103) and site support from Jiangxi Provincial Key Laboratory of Low-Carbon Processing and Utilization of Strategic Metal Mineral Resources (2023SSY01041).
Data Availability Statement
The data that has been used is confidential.
Conflicts of Interest
The authors declare no conflicts of interest.
References
- Zhang, X.; Wei, H.; Han, Y.; Zhou, Z.; Li, W. Effect of different mills on the fine grinding characteristics and leaching behaviour of gold ore. Miner. Eng. 2024, 215, 108800. [Google Scholar] [CrossRef]
- Yu, Y.; Cui, L.; Zhang, L.; Wang, Y. Improvement of mechanochemical leaching of zinc oxide ore—Optimization of grinding parameters for basket grinder. J. Clean. Prod. 2024, 469, 143132. [Google Scholar] [CrossRef]
- Tian, X.; Wang, C.; Asrah, H.; Han, L.C.; Zheng, Y. Investigating the grinding characteristics of vanadium-titanium iron ore tailings for sustainable utilization in cementitious material preparation. Alex. Eng. J. 2024, 101, 78–89. [Google Scholar] [CrossRef]
- Pereira, L.; Kupka, N.; Hoang, D.H.; Michaux, B.; Saquran, S.; Ebert, D.; Rudolph, M. On the impact of grinding conditions in the flotation of semi-soluble salt-type mineral-containing ores driven by surface or particle geometry effects? Int. J. Min. Sci. Technol. 2023, 33, 855–872. [Google Scholar] [CrossRef]
- Göktaş, I.; Altun, O.; Toprak, N.A.; Altun, D. Element based ball mill and hydrocyclone modelling for a copper ore grinding circuit. Miner. Eng. 2023, 198, 108090. [Google Scholar] [CrossRef]
- Boughazif, N.; Gerschwitz, F.; Bourret, J.; Lecomte-Nana, G.; Lecomte, A.; Lejeune, M.; Rat, V.; Bienia, M. Ultrafine grinding of mica in organic medium for ink-jet printing process. Powder Technol. 2024, 442, 119868. [Google Scholar] [CrossRef]
- Dai, C.; Chen, P.; Yang, Y.; Sun, W. Effect of grinding media on surface property and flotation performance of ilmenite. Powder Technol. 2024, 447, 120232. [Google Scholar] [CrossRef]
- Ma, Z.; Tian, J.; Xu, L.; Li, C.; Wang, D.; Xue, K. Comparison of surface physicochemical properties of spodumene and feldspar using different grinding media: Implications for flotation separation. Miner. Eng. 2024, 216, 108878. [Google Scholar] [CrossRef]
- Ma, Z.; Tian, J.; Xu, L.; Li, C.; Wang, D.; Xue, K. Ceramic ball wear prediction in tumbling mills as a grinding media selection tool. Powder Technol. 2014, 268, 373–376. [Google Scholar] [CrossRef]
- Fang, X.; Wu, C.; Liao, N.; Yuan, C.; Zhong, J.; Zhu, S.; Liu, A.; Xiao, K. Understanding the Energy-Saving mechanism of ceramic balls in tumbling mills. Miner. Eng. 2024, 218, 108982. [Google Scholar] [CrossRef]
- Yu, J.; Jin, S.-H.; Raju, K.; Lee, Y.; Lee, H.-K. Analysis of individual and interaction effects of processing parameters on wet grinding performance in ball milling of alumina ceramics using statistical methods. Ceram. Int. 2021, 47, 31202–31213. [Google Scholar] [CrossRef]
- Yu, J.; Sun, H.; An, Y.; Gao, P.; Zhang, X.; Han, Y. Energy conservation and consumption reduction in grinding operations through ceramic media stirring mill: An industrial validation test. Powder Technol. 2023, 429, 118943. [Google Scholar] [CrossRef]
- Li, Q.; Wu, Y.; Lv, B.; Ouyang, C.; Wu, L.; Wang, Y.; Gu, G.; Yang, Y. Fine-grinding media control chalcocite flotation through surface electrochemistry. Miner. Eng. 2026, 236, 109960. [Google Scholar] [CrossRef]
- Tong, J.; Wu, C.; Zhou, J.; Xing, Y.; Yuan, C.; Zeng, G.; Zhou, Z.; Cheng, S. Impact of grinding media on chalcopyrite flotation: Surface morphology and particle-bubble interaction analysis. Colloids Surf. A Physicochem. Eng. Asp. 2025, 726, 137903. [Google Scholar] [CrossRef]
- Fang, X.; Wu, C.; Yuan, C.; Liao, N.; Chen, Z.; Li, Y.; Lai, J.; Zhang, Z. Can ceramic balls and steel balls be combined in an industrial tumbling mill? Powder Technol. 2022, 412, 118020. [Google Scholar] [CrossRef]
- Fang, X.; Wu, C.; Liao, N.; Yuan, C.; Xie, B.; Tong, J. The first attempt of applying ceramic balls in industrial tumbling mill: A case study. Miner. Eng. 2022, 180, 107504. [Google Scholar] [CrossRef]
- Zhang, X.; Han, Y.; Gao, P.; Li, Y. Effects of grinding media on grinding products and flotation performance of chalcopyrite. Miner. Eng. 2020, 145, 106070. [Google Scholar] [CrossRef]
- Li, Q.; Wu, Y.; Wu, L.; Yang, Y.; Wang, Y.; Gu, G. The electrochemical mechanism of the influence of grinding product properties on pyrite flotation. Surf. Interfaces 2025, 72, 107314. [Google Scholar] [CrossRef]
- Yu, J.; Wei, H.; Li, P.; Han, Y.; Gao, P. An optimization method for accurate ball loading in ball mills based on grinding kinetics. Miner. Eng. 2025, 227, 109279. [Google Scholar] [CrossRef]
- Song, Z.; Corin, K.; Wiese, J.; O’COnnor, C. Effect of different grinding media composition on the flotation of a PGM ore. Miner. Eng. 2018, 124, 74–76. [Google Scholar] [CrossRef]
- Patel, C.M.; Chakraborty, M.; Murthy, Z. Enhancement of stirred media mill performance by a new mixed media grinding strategy. J. Ind. Eng. Chem. 2014, 20, 2111–2118. [Google Scholar] [CrossRef]
- Yu, J.; Qin, Y.; Gao, P.; Han, Y.; Li, Y. An innovative approach for determining the grinding media system of ball mill based on grinding kinetics and linear superposition principle. Powder Technol. 2021, 378, 172–181. [Google Scholar] [CrossRef]
- Li, Y.; Liao, N.; Wu, C.; Lin, Z.; Luo, C.; Wu, H.; Zhou, J.; Huang, J. Effect of different size ceramic balls on quartz grinding dynamics in batch ball mill. Particuology 2025, 102, 141–151. [Google Scholar] [CrossRef]
- Liu, S.; Lu, J.; Xu, H.; Yuan, C.; Xu, J.; Dianyu, E.; Liu, S.; Zhou, Z. Performance analysis of mixtures of ceramic and steel grinding balls in an industrial scale semi-autogenous mill. Powder Technol. 2025, 466, 121428. [Google Scholar] [CrossRef]
- Duan, X. A study on the revision of the formula of spherical diameter half theory. Sci. China Ser. E Tech. Sci. 1997, 6, 510–515. (In Chinese) [Google Scholar]
- Wu, C.; Liao, N.; Shi, G.; Zhu, L. Breakage characterization of grinding media based on energy consumption and particle size distribution: Hexagons versus cylpebs. Minerals 2018, 8, 527. [Google Scholar] [CrossRef]
- Wu, C. Application Study About Crushing Statistic Mechanics Principle and Transition Probability on Load-Addition Ball System. Ph.D. Thesis, Kunming University of Science and Technology, Kunming, China, 2002. (In Chinese). [Google Scholar]
- Duan, X.; Xiao, Q. Crushing and Grinding; Metallurgical Industry Press: Beijing, China, 2012. (In Chinese) [Google Scholar]
- Liao, N.; Wu, C.; Li, J.; Fang, X.; Li, Y.; Zhang, Z.; Yin, W. A Comparison of the Fine-Grinding Performance between Cylpebs and Ceramic Balls in the Wet Tumbling Mill. Minerals 2022, 12, 1007. [Google Scholar] [CrossRef]
- Lai, J.; Wu, C.; Liao, N.; Shen, H.; Fang, X.; Wu, J.; Xu, J.; Li, L.; Long, B.; Wei, D. Correlation between fractal dimension and particle size distribution: Insight into energy-particle size distribution characterization analysis and prediction. Miner. Eng. 2025, 229, 109399. [Google Scholar] [CrossRef]
- Rajodiya, P.; Harichandan, B.; Dave, S.; Sharma, K.; Banerjee, G.; Chattopadhyay, S. Investigating the impact of grinding media shape on load behaviour and mill power in an industrial-scale tumbling mill using DEM simulation. Miner. Eng. 2025, 234, 109717. [Google Scholar] [CrossRef]
- Fang, X.; Wu, C.; Liao, N.; Ling, L.; Wu, J.; Liu, R.; Lu, D.; Wang, H.; Li, B. Research on mixed steel and ceramic balls in tumbling mills: Motion behavior and energy evolution. Powder Technol. 2025, 452, 120576. [Google Scholar] [CrossRef]
- Jiang, S.; Ye, Y.; Tan, Y.; Liu, S.; Liu, J.; Zhang, H.; Yang, D. Discrete element simulation of particle motion in ball mills based on similarity. Powder Technol. 2018, 335, 91–102. [Google Scholar] [CrossRef]
- Akçay, S.B.; Çuvalcı, O.; Varol, T.; Çuvalcı, H.; Kocaman, M.; Alver, Ü.; Beder, M.; Güler, O.; Aksa, H.C.; Gasha, S.B.; et al. Effect of mechanical milling parameters on the properties of electrolytic pure copper powders and hot pressed billets fabricated from recycled copper wastes. Mater. Chem. Phys. 2025, 346, 131367. [Google Scholar] [CrossRef]
- Bian, X.; Wang, G.; Wang, H.; Wang, S.; Lv, W. Effect of lifters and mill speed on particle behaviour, torque, and power consumption of a tumbling ball mill: Experimental study and DEM simulation. Miner. Eng. 2017, 105, 22–35. [Google Scholar] [CrossRef]
- Zhang, X.; Zheng, Y.; Li, J.; Zhu, G.; Li, G.; Cao, Y. Effects of grinding media on the surface roughness and flotation kinetics of lepidolite. Results Surf. Interfaces 2025, 18, 100375. [Google Scholar] [CrossRef]
- Liu, S.; Li, Q.; Song, J. Study on the grinding kinetics of copper tailing powder. Powder Technol. 2018, 330, 105–113. [Google Scholar] [CrossRef]
- Gu, X.; Liu, B.; Li, Z.; Wang, H.; Liu, J.; Nehdi, M.L.; Zhang, Y. Mechanical grinding kinetics and particle packing novel characterization of iron ore tailings as inert filler for cement mortar. J. Build. Eng. 2023, 78, 107558. [Google Scholar] [CrossRef]
- Rodriguez, V.A.; de Carvalho, R.M.; Tavares, L.M. Insights into advanced ball mill modelling through discrete element simulations. Miner. Eng. 2018, 127, 48–60. [Google Scholar] [CrossRef]
- Li, Y.; You, Y.; Gou, D.; Yu, A.; Yang, R. A DEM based scale-up model for tumbling ball mills. Powder Technol. 2022, 409, 117854. [Google Scholar] [CrossRef]
- Haeri, S.; Wang, Y.; Ghita, O.; Sun, J. Discrete element simulation and experimental study of powder spreading process in additive manufacturing. Powder Technol. 2017, 306, 45–54. [Google Scholar] [CrossRef]
- Jargalsaikhan, B.; Uranchimeg, K.; Bor, A.; Kim, K.S.; Choi, H. Particle morphology control for spherical powder fabrication using the ball milling process with DEM simulation. Particuology 2024, 90, 41–50. [Google Scholar] [CrossRef]
- Uranchimeg, K.; Jargalsaikhan, B.; Eui, L.S.; Choi, H. DEM simulation and characterization of copper and iron powders fabricated by ball milling. Particuology 2024, 94, 96–108. [Google Scholar] [CrossRef]
- Juarez, G.; Chen, P.; Lueptow, R.M. Transition to centrifuging granular flow in rotating tumblers: A modified Froude number. New J. Phys. 2011, 13, 53–55. [Google Scholar] [CrossRef]
- Fang, X.; Wu, C.; Liao, N.; Zhong, J.; Liu, R.; Wu, J.; Ling, L.; Duan, X. Discrete element analysis of the influence of grinding media shape on the grinding process. Miner. Eng. 2025, 225, 109222. [Google Scholar] [CrossRef]
- Hilden, M.M.; Powell, M.S.; Yahyaei, M. An improved method for grinding mill filling measurement and the estimation of load volume and mass. Miner. Eng. 2021, 16, 106638. [Google Scholar] [CrossRef]
Disclaimer/Publisher’s Note: The statements, opinions and data contained in all publications are solely those of the individual author(s) and contributor(s) and not of MDPI and/or the editor(s). MDPI and/or the editor(s) disclaim responsibility for any injury to people or property resulting from any ideas, methods, instructions or products referred to in the content. |
© 2025 by the authors. Licensee MDPI, Basel, Switzerland. This article is an open access article distributed under the terms and conditions of the Creative Commons Attribution (CC BY) license.









