REE Mineralogy and Geochemistry of the Lower Karstic Bauxite Strata (b1), in the Parnassos-Ghiona Unit, Greece
Abstract
1. Introduction
2. Geological Setting
3. Materials and Methods
4. Results
4.1. Macroscopical Lithological Features
4.2. Mineralogical Components
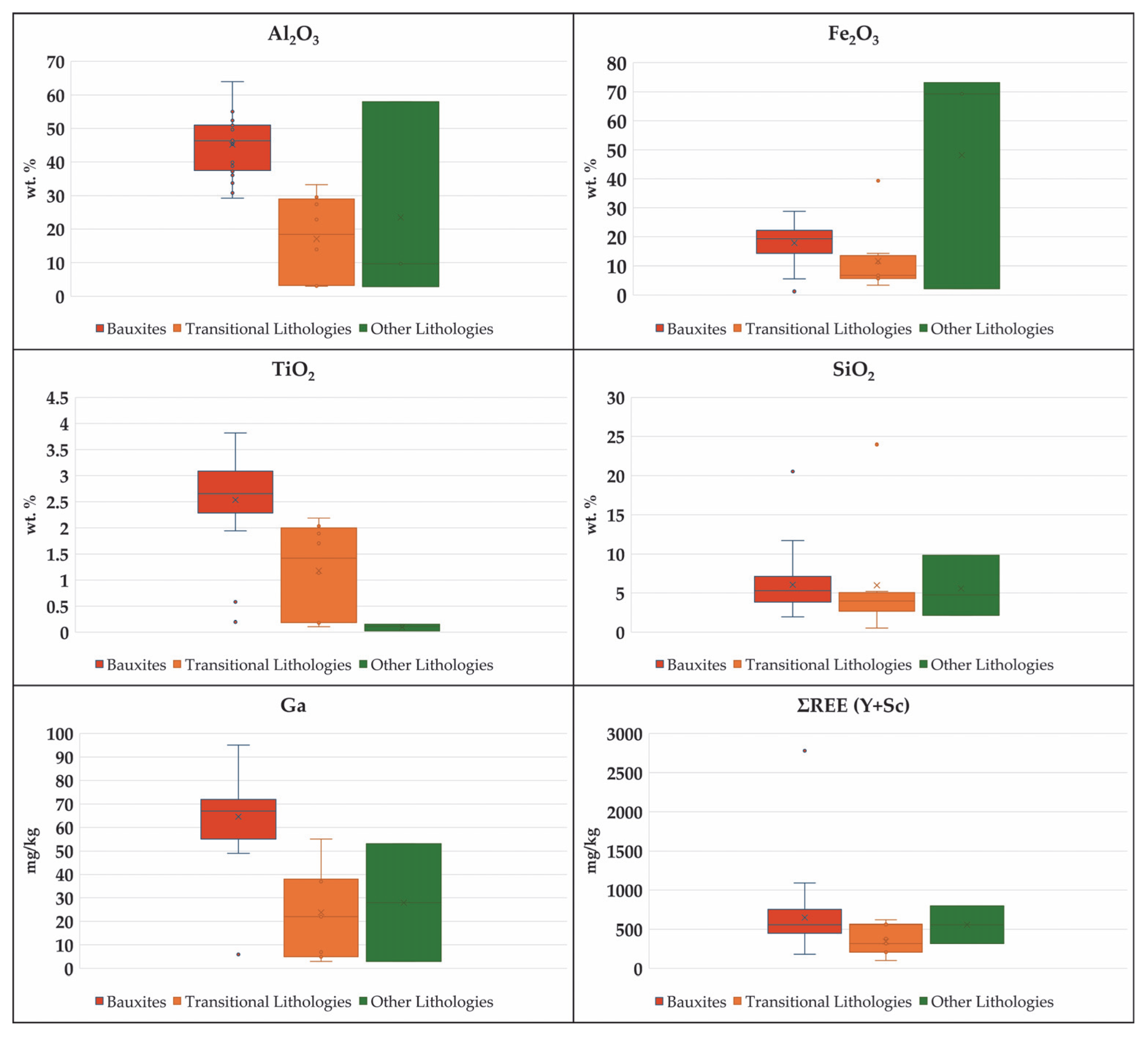
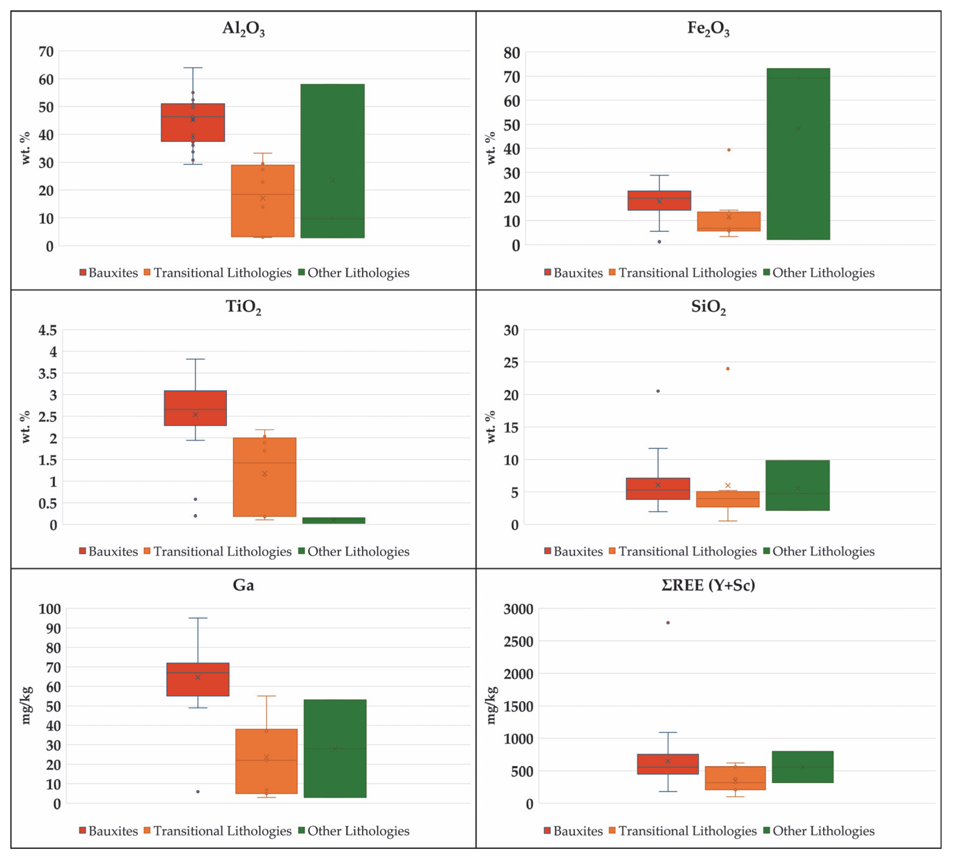
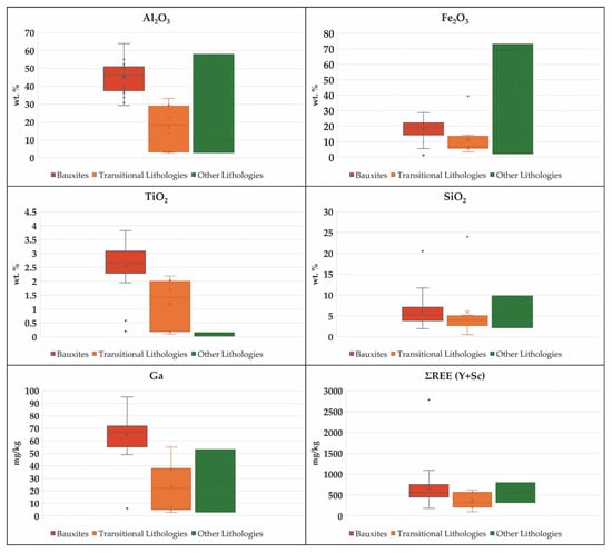
4.3. Geochemical Features
4.3.1. Bauxites
4.3.2. Transitional Lithologies
4.3.3. Other Lithologies
5. Discussion
5.1. Bauxite Lithological Attributes
5.2. Factor Analysis and REE Mode of Occurrence
5.3. Bauxite Geochemical Attributes and Provenance

6. Conclusions
Supplementary Materials
Author Contributions
Funding
Data Availability Statement
Acknowledgments
Conflicts of Interest
References
- Patterson, S.H. Bauxite Reserves and Potential of the World. In U.S. Geological Survey Bulletin 1693; Government Printing Office: Washington, DC, USA, 1967. [Google Scholar]
- Bárdossy, G. Karst Bauxites, Bauxite Deposits on Carbonate Rocks, Developments in Economic Geology; Elsevier: Amsterdam, The Netherlands, 1982; Volume 14, 441p. [Google Scholar]
- Dill, H.G. The ‘Chessboard’ Classification Scheme of Mineral Deposits: Mineralogy and Geology from Aluminum to Zirconium. Earth-Sci. Rev. 2010, 100, 1–420. [Google Scholar] [CrossRef]
- Deady, É.; Mouchos, E.; Goodenough, K.; Wall, F.; Williamson, B. Valorisation of waste material–rare earth elements in red muds: The potential of European resources. Appl. Earth Sci. IMM Trans. Sect. B 2015, 124, 20–59. [Google Scholar] [CrossRef]
- Bradley, D.C.; McCauley, A.D.; Stillings, L.L. Mineral Deposit Model for Lithium-Cesium-Tantalum Pegmatites; Scientific Investigations Report 2010-5070; United States Geological Survey: Reston, VA, USA, 2017; 58p.
- Karadağ, M.; Küpeli, Ş.; Arik, F.; Ayhan, A.; Zedef, V.; Döyen, A. Rare earth element (REE) geochemistry and genetic implications of the Mortaş bauxite deposit (Seydişehir/Konya–Southern Turkey). Chem. Der Erde-Geochem. 2009, 69, 143–159. [Google Scholar] [CrossRef]
- Wang, Q.; Deng, J.; Liu, X.; Zhang, Q.; Sun, S.; Jiang, C.; Zhou, F. Discovery of the REE minerals and its geological significance in the Quyang bauxite deposit, West Guangxi, China. J. Asian Earth Sci. 2010, 39, 701–712. [Google Scholar] [CrossRef]
- Herrington, R. Road map to mineral supply. Nat. Geosci. 2013, 6, 892–894. [Google Scholar] [CrossRef]
- Mongelli, G.; Boni, M.; Buccione, R.; Sinisi, R. Geochemistry of the Apulian karst bauxites (southern Italy): Chemical fractionation and parental affinities. Ore Geol. Rev. 2014, 63, 9–21. [Google Scholar] [CrossRef]
- Gamaletsos, P.; Godelitsas, A.; Kasama, T.; Church, N.; Douvalis, A.; Goettlicher, J.; Steininger, R.; Boubnov, A.; Pontikes, Y.; Tzamos, E.; et al. Nano-mineralogy and -geochemistry of high-grade diasporic karst-type bauxite from Parnassos-Ghiona mines, Greece. Ore Geol. Rev. 2017, 84, 228–244. [Google Scholar] [CrossRef]
- Abedini, A.; Khosravi, M.; Dill, H. Rare earth element geochemical characteristics of the late Permian Badamlu karst bauxite deposit, NW Iran. J. Afr. Earth Sci. 2020, 172, 103974. [Google Scholar] [CrossRef]
- Blengini, G.A.; Latunussa, C.E.L.; Eynard, U.; de Matos, C.T.; Wittmer, D.; Georgitzikis, K.; Pavel, C.; Carrara, S.; Mancini, L.; Unguru, M. Study on the EU’s List of Critical Raw Materials (2020)–Final Report; Publications Office of the European Union: Luxembourg, 2020; Available online: https://data.europa.eu/doi/10.2873/11619 (accessed on 3 May 2024).
- European Parliament and Council. Regulation (EU) 2024/1252 and of the European Parliament and of the Council of 11 April 2024 Establishing a Framework for Ensuring a Secure and Sustainable Supply of Critical Raw Materials and Amending Regulations (EU) No 168/2013, (EU) 2018/858, (EU) 2018/1724 and (EU) 2019/1020 (Text with EEA relevance). (OJ L, 2024/1252). Available online: http://data.europa.eu/eli/reg/2024/1252/oj (accessed on 3 May 2024).
- Ahmadnejad, F.; Mongelli, G. Geology, geochemistry, and genesis of REY minerals of the late Cretaceous karst bauxite deposits, Zagros Simply Folded Belt, SW Iran: Constraints on the ore-forming process. J. Geochem. Explor. 2022, 240, 107030. [Google Scholar] [CrossRef]
- Bárdossy, G.; Pantó, G. Trace mineral and element investigation on bauxites by electron probe. In Proceedings of the 3rd International Congress, ICSOBA, (International Committee for Study of Bauxite, Alumina & Aluminium), Nice, France, 17–21 September 1973; pp. 47–53. [Google Scholar]
- Maksimović, Z.; Pantó, G. Authigenic rare earth minerals in karst-bauxites and karstic nickel deposits. In Rare Earth Minerals, Chemistry, Origin and Ore Deposits, Mineralogical Society Series; Chapman & Hall: London, UK, 1996; pp. 199–220, Chapter 10. [Google Scholar]
- Laskou, M.; Andreou, G. Rare earth element distribution and REE minerals from the Parnassos-Ghiona bauxite deposits, Greece. In Mineral Exploration and Sustainable Development, Proceedings of the 7th Biennial SGA Meeting, Athens, Greece, 24–28 August 2003; Millpress: Rotterdam, The Netherlands, 2003; pp. 89–92. [Google Scholar]
- Gamaletsos, P.; Godelitsas, A.; Filippidis, A.; Pontikes, Y. The Rare Earth Elements Potential of Greek Bauxite Active Mines in the Light of a Sustainable REE Demand. J. Sustain. Metall. 2018, 5, 20–47. [Google Scholar] [CrossRef]
- Li, Z.H.; Din, J.; Xu, J.S.; Liao, C.G.; Yin, F.G.; Lu, T.; Cheng, L.; Li, J.M. Discovery of the REE minerals in the Wulong-Nanchuan bauxite deposits, Chongqing, China: Insights on conditions of formation and processes. J. Geochem. Explor. 2013, 133, 88–102. [Google Scholar] [CrossRef]
- Liu, X.F.; Wang, Q.F.; Feng, Y.W.; Li, Z.; Cai, S.H. Genesis of the Guangou karstic bauxite deposit in western Henan, China. Ore Geol. Rev. 2013, 55, 162–175. [Google Scholar]
- Radusinović, S.; Jelenkovic, R.; Pačevski, A.; Simić, V.; Božović, D.; Holclajtner-Antunović, I.; Životić, D. Content and mode of occurrences of rare earth elements in the Zagrad karstic bauxite deposit (Nikšić area, Montenegro). Ore Geol. Rev. 2017, 80, 406–428. [Google Scholar] [CrossRef]
- Valeton, I.; Biermann, M.; Reche, R.; Rosenberg, F. Genesis of Ni-laterites and bauxites in Greece during the Jurassic and Cretaceous, and their relation to ultrabasic parent rocks. Ore Geol. Rev. 1987, 2, 359–404. [Google Scholar] [CrossRef]
- Deady, É.; Mouchos, E.; Goodenough, K.; Williamson, B.; Wall, F. A review of the potential for rare-earth element resources from European red muds: Examples from Seydişehir, Turkey and Parnassus-Giona, Greece. Mineral. Mag. 2016, 80, 43–61. [Google Scholar] [CrossRef]
- Gamaletsos, P.; Godelitsas, A.; Chatzitheodoridis, E.; Kostopoulos, D. Laser μ-Raman investigation of Greek bauxites from the Parnassos-Ghiona active mining area. In Proceedings of the 11th International Conference of the Geological Society of Greece: “Geoenvironment–Past–Present–Future”, Athens, Greece, 24–26 May 2007. [Google Scholar] [CrossRef]
- Maksimovic, Z.; Pantó, G. Contribution to the geochemistry of the rare earth elements in the karst-bauxite deposits of Yugoslavia and Greece. Geoderma 1991, 51, 93–109. [Google Scholar] [CrossRef]
- Mondillo, N.; Nuzzo, M.; Kalaitzidis, S.; Boni, M.; Santoro, L.; Balassone, G. Petrographic and geochemical features of the B3 bauxite strata (Cenomanian-Turonian) in the Parnassos-Ghiona area: A contribution towards the genesis of the Greek karst bauxites. Ore Geol. Rev. 2022, 143, 104759. [Google Scholar] [CrossRef]
- Papastamatiou, I.; Tataris, A.; Vetoulis, D.; Bornovas, I.; Christodoulou, G.; Katsikatsos, G. Sheet “Amphissas”, of Geological Map 1:50,000; Institute of Geological and Mining Research: Athens, Greece, 1960. [Google Scholar]
- Papastamatiou, I.; Tataris, A.; Vetoulis, D.; Katsikatsos, G. Sheet “Amphiklia” of Geological Map 1:50,000; Institute of Geological and Mining Research: Athens, Greece, 1962. [Google Scholar]
- Aronis, G.; Panagiotidis, G. Sheet “Delphi”, of the Geological Map 1:50,000; Institute of Geological and Mining Research: Athens, Greece, 1964. [Google Scholar]
- Maratos, G.; Rigopoulos, K.; Athanasiou, A. Sheet “Elateia”, Geological Map 1:50,000; Institute of Geological and Mining Research: Athens, Greece, 1967. [Google Scholar]
- Papastamatiou, I.; Tataris, A.A.; Maragoudakis, N.; Monopolis, D.; Kounis, G.; Albantakis, N.; Koukouzas, K. Sheet “Levadia”, Geological Map 1:50,000; Institute of Geological and Mining Research: Athens, Greece, 1971. [Google Scholar]
- Kalaitzidis, S.; Siavalas, G.; Skarpelis, N.; Araujo, C.V.; Christanis, K. Late Cretaceous coal overlying karstic bauxite deposits in the Parnassus-Ghiona Unit, Central Greece: Coal characteristics and depositional environment International. J. Coal Geol. 2010, 81, 211–226. [Google Scholar] [CrossRef]
- Laskou, M. Concentrations of rare earth elements in Greek Bauxites. Acta Geol. Hung. 1991, 34, 395–404. [Google Scholar]
- Laskou, M.; Economou-Eliopoulos, M. The role of microorganisms on the mineralogical and geochemical characteristics of the Parnassos-Ghiona bauxite deposits, Greece. J. Geochem. Explor. 2007, 93, 67–77. [Google Scholar] [CrossRef]
- Laskou, M.; Economou-Eliopoulos, M. Biomineralization and potential biogeochemical processes in bauxite deposits: Genetic and ore quality significance. Mineral. Petrol. 2013, 107, 471–486. [Google Scholar] [CrossRef]
- Ochsenkühn-Petropulu, M.; Lyberopulu, T.; Parissakis, G. Direct determination of landthanides, yttrium and scandium in bauxites and red mud from alumina production. Anal. Chim. Acta 1994, 296, 305–313. [Google Scholar] [CrossRef]
- Rivera, R.M.; Ounoughene, G.; Borra, C.R.; Binnemans, K.; Van Gerven, T. Neutralisation of bauxite residue by carbon dioxide prior to acidic leaching for metal recovery. Miner. Eng. 2017, 112, 92–102. [Google Scholar] [CrossRef]
- Agrawal, S.; Dhawan, N. Evaluation of red mud as a polymetallic source–A review. Miner. Eng. 2021, 171, 107084. [Google Scholar] [CrossRef]
- Papastamatiou, J. La géologie de la région montagneuse du Parnasse Kiona Oeta. Bull. La Société Géologique Fr. 1960, 11, 398–409. [Google Scholar] [CrossRef]
- Celet, P. Contribution à l’étude géologique du Parnasse-Kiona et d’une partie des régions méridionales de la Grèce continentale. Ann. Géologiques Pays Helléniques 1962, 13, 1–446. [Google Scholar]
- Kossmat, F. Geologie der zentralen Balkanhalbinsel. In Die Kriegsschauplätze 1914–1918 Geologisch Dargestellt; Borntraeger: Berlin, Germany, 1924; Volume 12, pp. 1–198. [Google Scholar]
- Dercourt, J.; Harris, J.; Melidonis, N. Grèce: Introduction à la Géologie Générale. Livret-Guide, Excurs. 160 C–162 C, 26*; Congrès Gêol. Int: Paris, France, 1980; 159p. [Google Scholar]
- D’ Argenio, B. Le piattaforme carbonatiche periadriatiche. Una rassegna di problemi nel quadro geodinamico mesozoico dell’area mediterranea. Hem. Soc. Geol. It. 1974, 13, 1–28. [Google Scholar]
- D’ Argenio, Β.; Horvath, F.; Channell, J. Paleotectonic evolution of Adria, the African promontory. In Geologie des Chaînes Alpines Issues de la Tethys; BRGM: Paris, France, 1980; Volume 115, pp. 331–351, ISBN-10: 2715950195. [Google Scholar]
- Valeton, I. Bauxites. Developments in Soil Sciences; Elsevier: Amsterdam, The Netherlands, 1972; Volume 1, 226p. [Google Scholar]
- McLennan, S.M.; Taylor, S.R. Sedimentary-Rocks and Crustal Evolution: Tectonic Setting and Secular Trends. J. Geol. 1991, 99, 1–21. [Google Scholar] [CrossRef]
- Mondillo, N.; Herrington, R.; Boyce, A.; Wilkinson, C.; Santoro, L.; Rumsey, M. Critical elements in non-sulphide Zn deposits: A reanalysis of the Kabwe Zn-Pb ores. Mineral. Mag. 2018, 82 (Suppl. S1), S89–S114. [Google Scholar] [CrossRef]
- Economou-Eliopoulos, M.; Kanellopoulos, C. Abundance and Genetic Significance of Lithium in Karst-Type Bauxite Deposits: A Comparative Review. Minerals 2023, 13, 962. [Google Scholar] [CrossRef]
- Aleva, G.J.J. Laterites: Concepts, Geology, Morphology and Chemistry; International Soil Reference and Information Center: Wageningen, The Netherlands, 1994. [Google Scholar]
- Kloprogge, J.T.; Ruan, H.D.; Frost, R.L. Thermal Decomposition of Bauxite Minerals: Infrared Emission Spectroscopy of Gibbsite, Boehmite and Diaspore. J. Mater. Sci. 2002, 37, 1121–1129. [Google Scholar] [CrossRef]
- Economou-Eliopoulos, M.; Kalatha, S. Potential pathways for lithium and Cr-isotopes during biogeochemical redox processes: Insights from karst-type laterites of Greece. Chem. Geol. 2025, 687, 122865. [Google Scholar] [CrossRef]
- Davis, J.C. Statistics and Data Analysis in Geology; Wiley & Sons: New York, NY, USA, 1986. [Google Scholar]
- Balomenos, E.; Giannopoulou, I.; Panias, D.; Paspaliaris, I.; Boufounos, D.; Perry, K. Efficient and complete exploitation of the bauxite residue (red mud) produced in the Bayer Process. In Proceedings of the European Metallurgical Conference (Emc 2011, 2011), Duesseldorf, Germany, 26–29 June 2011; pp. 745–758. [Google Scholar]
- Balomenos, E.; Davris, P.; Pontikes, Y.; Panias, D. Mud2Metal: Lessons Learned on the Path for Complete Utilization of Bauxite Residue Through Industrial Symbiosis. J. Sustain. Met. 2016, 3, 551–560. [Google Scholar] [CrossRef]
- Clauer, N.; O’Neil, J.R.; Bonnot-Courtois, C. K–Ar and Rb–Sr dating of nanometer-sized smectite-rich mixed-layers from bentonite beds of the Campos Basin, Rio de Janeiro State, Brazil. Clays Clay Miner. 1997, 45, 1–14. [Google Scholar] [CrossRef]
- Houben, G.J.; Kaufhold, S. Retention of lithium by clay minerals: Experiments and modelling. Geosciences 2015, 5, 127–140. [Google Scholar] [CrossRef]
- Brigatti, M.F.; Galán, E.; Theng, B.K.G. Structure and mineralogy of clay minerals. In Handbook of Clay Science; Bergaya, F., Theng, B.K.G., Lagaly, G., Eds.; Elsevier: Amsterdam, The Netherlands, 2013; Volume 5, pp. 21–81. [Google Scholar] [CrossRef]
- Beukes, J.P.; Giesekke, E.W.; Elliott, W. Nickel retention by goethite and hematite. Miner. Eng. 2000, 13, 1573–1585. [Google Scholar] [CrossRef]
- Singh, Y.; Bagora, S.; Viswanathan, R.; Ramesh Babu, P.V.; Parihar, P.S. A new occurrence of thorianite from syenitic pegmatite near Bhaluchuan, Odisha. J. Geol. Soc. India 2014, 83, 252–258. [Google Scholar] [CrossRef]
- Santoro, L.; Putzolu, F.; Mondillo, N.; Herrington, R.J. Trace element geochemistry of iron-(oxy)-hydroxides in Ni(Co)-laterites: Review, new data and implications for ore forming processes. Ore Geol. Rev. 2021, 138, 104322. [Google Scholar] [CrossRef]
- Banner, J.L. Application of the trace element and isotope geochemistry of strontium to studies of carbonate diagenesis. Sedimentology 1995, 42, 805–824. [Google Scholar] [CrossRef]
- Mason, B.; Moore, C. Principles of Geochemistry; Wiley: New York, NY, USA, 1982. [Google Scholar]
- Luo, Y.R.; Byrne, R. H. Carbonate Complexation of Yttrium and the Rare Earth Elements in Natural Waters. Geochim. Cosmochim. Acta 2004, 68, S0016–S7037. [Google Scholar] [CrossRef]
- Ohta, A.; Kawabe, I. Rare earth element partitioning between Fe oxyhydroxide precipitates and aqueous NaCl solutions doped with NaHCO3: Determinations of rare earth element complexation constants with carbonate ions. Geochem. J. 2000, 34, 439–454. [Google Scholar] [CrossRef]
- Taylor, S.R.; McLennan, S.M. The Continental Crust: Its Composition and Evolution; Blackwell Scientific Publication: Carlton, Australia, 1985; p. 312. [Google Scholar]
- Zarasvandi, A.; Carranza, E.J.; Salamab Ellahi, S. Geological, geochemical, and mineralogical characteristics of the Mandan and Deh-now bauxite deposits, Zagros Fold Belt, Iran. Ore Geol. Rev. 2012, 48, 125–138. [Google Scholar] [CrossRef]
- Crnicki, J.; Jurkovic, I. Rare earth elements in Triassic bauxites of Croatia Yugoslavia. Travaux 1990, 19, 239–248. [Google Scholar]
- Ohta, A.; Kawabe, I. REE(III) adsorption into Mn dioxide (a-MnO2) and Fe oxyhyroxide: Ce (III) oxidation by a-MnO2. Geochim. Cosmochim. Acta 2001, 65, 695–703. [Google Scholar] [CrossRef]
- Sanematsu, K.; Kon, Y.; Imai, A.; Watanabe, K.; Watanabe, Y. Geochemical and mineralogical characteristics of ion-adsorption type REE mineralization in Phuket, Thailand. Mineral. Depos. 2013, 48, 437–451. [Google Scholar] [CrossRef]
- Liu, X.; Wang, Q.; Zhang, Q.; Zhang, Y.; Li, Y. Genesis of REE minerals in the karstic bauxite in western Guangxi, China, and its constraints on the deposit formation conditions. Ore Geol. Rev. 2016, 75, 100–115. [Google Scholar] [CrossRef]
- Schroll, E.; Sauer, D. Beitrag zur geochemie von titan, chrom, nickel, cobalt, vanadium und molybdin in bauxitischen Gesteinen und das problem der stofflichen herkunft des aluminiums. Trav. Du ICSOBA 1968, 5, 83–96. [Google Scholar]
- Mongelli, G.; Buccione, R.; Gueguen, E.; Langone, A.; Sinisi, R. Geochemistry of the Apulian allochthonous karst bauxite, Southern Italy: Distribution of critical elements and constraints on Late Cretaceous Peri-Tethyan palaeogeography. Ore Geol. Rev. 2016, 77, 249–256. [Google Scholar] [CrossRef]
- Mondillo, N.; Chelle-Michou, C.; Putzolu, F.; Balassone, G.; Mormone, A.; Santoro, L.; Cretella, S.; Scognamiglio, G.; Tarallo, M.; Tavani, S. The mid-Cretaceous bauxites of SE France: Geochemistry, U-Pb zircon dating and their implications for the paleogeography at the junction between Alpine Tethys and Pyrenean Rift. Gondwana Res. 2024, 137, 145–170. [Google Scholar] [CrossRef]
- Reinhardt, N.; Proenza, A.J.; Villanova-de-Benavent, C.; Aiglsperger, T.; Bover-Arnal, T.; Torró, L.; Salas, R.; Dziggel, A. Geochemistry and Mineralogy of Rare Earth Elements (REE) in Bauxitic Ores of the Catalan Coastal Range, NE Spain. Minerals 2018, 8, 562. [Google Scholar] [CrossRef]
- Mameli, P.; Mongelli, G.; Sinisi, R.; Oggiano, G. Weathering Products of a Dismantled Variscan Basement. Minero-Chemical Proxies to Insight on Cretaceous Palaeogeography and Late Neogene Palaeoclimate of Sardinia (Italy). Front. Earth Sci. 2020, 8, 290. [Google Scholar] [CrossRef]
- Boni, M.; Rollinson, G.; Mondillo, N.; Balassone, G.; Santoro, L. Quantitative mineralogical characterization of karst bauxite deposits in the Southern Apennines. Italy Econ. Geol. 2013, 108, 813–833. [Google Scholar] [CrossRef]
- Mouchos, E.; Wall, F.; Williamson, B. High-Ce REE minerals in the Parnassus-Giona bauxite deposits, Greece. Appl. Earth Sci. IMM Trans. Sect. B 2017, 126, 82–83. [Google Scholar] [CrossRef]
- Braun, J.J.; Pagel, M.; Muller, J.P.; Bilong, P.; Michard, A.; Guillet, B. Cerium anomalies in lateritic profiles. Geochim. Cosmochim. Acta 1990, 54, 781–795. [Google Scholar] [CrossRef]
- Mongelli, G. Ce-anomalies in the textura components of Upper cretaceous karst bauxites from the Apulian carbonate platform (southern Italy). Chem. Geol. 1997, 14, 69–79. [Google Scholar] [CrossRef]
- Pan, Y.; Stauffer, M.R. Cerium anomaly and Th/U fractionation in the 1.85 Ga Flin Flon Paleosol: Clues from REE- and U-rich accessory minerals and implications for paleoatmospheric reconstruction. Am. Mineral. 2000, 85, 898–911. [Google Scholar] [CrossRef]
- Vind, J.; Malfliet, A.; Blanpain, B.; Tsakiridis, P.E.; Tkaczyk, A.H.; Vassiliadou, V.; Panias, D. Rare Earth Element Phases in Bauxite Residue. Minerals 2018, 8, 77. [Google Scholar] [CrossRef]
- Borra, C.R.; Blanpain, B.; Pontikes, Y. Recovery of Rare Earths and Other Valuable Metals From Bauxite Residue (Red Mud): A Review. J. Sustain. Metall. 2016, 2, 365–386. [Google Scholar] [CrossRef]
- Ujaczki, É.; Zimmermann, Y.S.; Gasser, C.A.; Molnár, M.; Feigl, V.; Lenz, M. Red mud as secondary source for critical raw materials—Extraction study. J. Chem. Technol. Biotechnol. 2017, 92, 2835–2844. [Google Scholar] [CrossRef]











| Bauxite | Trans. Lithologies | Other Lithologies | |||||||
|---|---|---|---|---|---|---|---|---|---|
| wt % | Min | Max | Avg. | Min | Max | Avg. | Min | Max | Avg. |
| SiO2 | 1.95 | 20.55 | 6.06 | 0.54 | 23.98 | 5.99 | 2.15 | 9.84 | 5.58 |
| TiO2 | 0.20 | 3.82 | 2.54 | 0.11 | 2.18 | 1.18 | 0.03 | 0.15 | 0.10 |
| Al2O3 | 29.25 | 63.90 | 45.21 | 2.95 | 33.20 | 17.08 | 2.83 | 57.99 | 23.49 |
| Fe2O3 | 1.19 | 28.77 | 17.94 | 3.29 | 39.32 | 11.62 | 2.06 | 73.09 | 48.16 |
| MnO | <0.01 | 0.17 | 0.03 | 0.01 | 0.40 | 0.10 | 0.01 | 0.42 | 0.16 |
| MgO | 0.03 | 1.12 | 0.34 | 0.17 | 0.51 | 0.33 | 0.17 | 0.20 | 0.19 |
| CaO | 0.14 | 16.69 | 1.89 | 8.17 | 56.55 | 32.42 | 0.28 | 1.21 | 0.71 |
| Na2O | 0.03 | 0.12 | 0.06 | 0.04 | 0.40 | 0.15 | 0.05 | 0.05 | 0.05 |
| K2O | <0.01 | 1.10 | 0.15 | 0.03 | 1.22 | 0.36 | 0.01 | 0.21 | 0.14 |
| P2O5 | 0.01 | 0.94 | 0.11 | 0.03 | 0.27 | 0.09 | 0.01 | 0.22 | 0.12 |
| mg/kg | |||||||||
| Ba | 10 | 135 | 30 | 12 | 71 | 24 | 87 | 87 | 87 |
| Be | 5 | 9 | 7 | 5 | 5 | 5 | 7 | 8 | 8 |
| Cr | 12 | 446 | 356 | 29 | 376 | 182 | 17 | 330 | 174 |
| Cu | 10 | 144 | 62 | 24 | 251 | 82 | 73 | 130 | 102 |
| Li | 10 | 678 | 97 | 10 | 412 | 75 | 60 | 103 | 82 |
| Mn | 17 | 1127 | 259 | 86 | 2829 | 904 | 393 | 2639 | 1516 |
| Ni | 29 | 800 | 217 | 76 | 861 | 299 | 172 | 907 | 540 |
| Sr | 16 | 74 | 53 | 13 | 68 | 46 | 44 | 44 | 44 |
| V | 60 | 430 | 324 | 21 | 473 | 216 | 44 | 286 | 165 |
| Zn | 44 | 1117 | 367 | 110 | 4196 | 889 | 260 | 631 | 446 |
| Ag | 1 | 1 | 1 | 1 | 1 | 1 | 1 | 1 | 1 |
| As | 6 | 194 | 44 | 14 | 271 | 89 | 13 | 14 | 14 |
| Bi | <1 | 5 | 3 | <1 | 4 | 2 | <1 | 3 | 1 |
| Cd | <1 | 5 | 1 | <1 | 4 | 2 | <1 | 3 | 2 |
| Co | 1 | 326 | 36 | 11 | 179 | 51 | 12 | 512 | 262 |
| Cs | <1 | 3 | 1 | <1 | 5 | 1 | <1 | 1 | 1 |
| Ga | 6 | 95 | 65 | 3 | 63 | 29 | 3 | 53 | 28 |
| Ge | 1 | 7 | 2 | 1 | 2 | 2 | 1 | 1 | 1 |
| Hf | 1 | 16 | 13 | 4 | 11 | 8 | 13 | 13 | 13 |
| In | <1 | 1 | <1 | <1 | 1 | <1 | 1 | 1 | 1 |
| Mo | 2 | 72 | 10 | 4 | 20 | 10 | 13 | 13 | 13 |
| Nb | 2 | 56 | 45 | 2 | 40 | 18 | 44 | 44 | 44 |
| Pb | 19 | 589 | 102 | 13 | 156 | 71 | 60 | 65 | 63 |
| Rb | <1 | 10 | 3 | 1 | 20 | 7 | 2 | 5 | 3 |
| Sb | 1 | 21 | 5 | 1 | 21 | 8 | 1 | 2 | 1 |
| Sn | 1 | 14 | 11 | 3 | 13 | 7 | 10 | 10 | 10 |
| Ta | 3 | 4 | 3 | 1 | 3 | 2 | 3 | 3 | 3 |
| Th | 3 | 59 | 44 | 2 | 39 | 20 | 13 | 49 | 31 |
| Tl | 1 | 1 | 1 | 1 | 1 | 1 | 2 | 2 | 2 |
| U | 5 | 21 | 9 | 1 | 11 | 5 | 6 | 13 | 9 |
| W | 5 | 180 | 28 | 2 | 47 | 21 | 7 | 41 | 24 |
| Zr | 32 | 605 | 469 | 24 | 376 | 192 | 27 | 428 | 228 |
| La | 25 | 943 | 131 | 24 | 172 | 72 | 27 | 76 | 52 |
| Ce | 42 | 652 | 230 | 23 | 280 | 136 | 170 | 583 | 377 |
| Pr | 4 | 154 | 24 | 3 | 36 | 17 | 13 | 13 | 13 |
| Nd | 11 | 557 | 80 | 13 | 123 | 59 | 42 | 51 | 46 |
| Sm | 2 | 88 | 15 | 2 | 22 | 11 | 8 | 14 | 11 |
| Eu | 1 | 16 | 3 | <1 | 5 | 2 | 2 | 3 | 2 |
| Gd | 3 | 75 | 13 | 3 | 28 | 12 | 8 | 13 | 10 |
| Tb | 1 | 8 | 2 | <1 | 3 | 2 | 1 | 2 | 2 |
| Dy | 6 | 36 | 13 | 2 | 17 | 9 | 11 | 11 | 11 |
| Er | 4 | 14 | 9 | 1 | 10 | 5 | 5 | 7 | 6 |
| Ho | 2 | 6 | 3 | <1 | 4 | 2 | 2 | 2 | 2 |
| Tm | 1 | 2 | 1 | <1 | 1 | 1 | 1 | 1 | 1 |
| Yb | 3 | 11 | 9 | 1 | 8 | 4 | 4 | 8 | 6 |
| Lu | 1 | 2 | 1 | <1 | 1 | 1 | <1 | 1 | 1 |
| Y | 22 | 161 | 68 | 25 | 97 | 51 | 34 | 61 | 47 |
| Sc | 17 | 60 | 45 | 5 | 46 | 22 | 37 | 39 | 38 |
Disclaimer/Publisher’s Note: The statements, opinions and data contained in all publications are solely those of the individual author(s) and contributor(s) and not of MDPI and/or the editor(s). MDPI and/or the editor(s) disclaim responsibility for any injury to people or property resulting from any ideas, methods, instructions or products referred to in the content. |
© 2025 by the authors. Licensee MDPI, Basel, Switzerland. This article is an open access article distributed under the terms and conditions of the Creative Commons Attribution (CC BY) license (https://creativecommons.org/licenses/by/4.0/).
Share and Cite
Sofis, N.; Ntouros, E.P.; Kalaitzidis, S. REE Mineralogy and Geochemistry of the Lower Karstic Bauxite Strata (b1), in the Parnassos-Ghiona Unit, Greece. Minerals 2025, 15, 804. https://doi.org/10.3390/min15080804
Sofis N, Ntouros EP, Kalaitzidis S. REE Mineralogy and Geochemistry of the Lower Karstic Bauxite Strata (b1), in the Parnassos-Ghiona Unit, Greece. Minerals. 2025; 15(8):804. https://doi.org/10.3390/min15080804
Chicago/Turabian StyleSofis, Nikolaos, Efthymios Panagiotis Ntouros, and Stavros Kalaitzidis. 2025. "REE Mineralogy and Geochemistry of the Lower Karstic Bauxite Strata (b1), in the Parnassos-Ghiona Unit, Greece" Minerals 15, no. 8: 804. https://doi.org/10.3390/min15080804
APA StyleSofis, N., Ntouros, E. P., & Kalaitzidis, S. (2025). REE Mineralogy and Geochemistry of the Lower Karstic Bauxite Strata (b1), in the Parnassos-Ghiona Unit, Greece. Minerals, 15(8), 804. https://doi.org/10.3390/min15080804

