Next Article in Journal
A Novel Pulsation Reflux Classifier Used for Enhanced Preconcentration Efficiency of Antimony Oxide Ore
Previous Article in Journal
Tectonic Setting of the Neoproterozoic Gabbroic Intrusions in the Luanchuan Area, Southern Margin of the North China Craton: Constraints from Ilmenite and Biotite Mineralogy
 
 
Font Type:
Arial Georgia Verdana
Font Size:
Aa Aa Aa
Line Spacing:
Column Width:
Background:
Article

Prediction of Circulation Load of Side-Flanged High-Pressure Grinding Rolls Closed-Circuit Crushing

by
Nan Li
1,
Lixia Li
1,*,
Jiaqi Wang
1,
Zhe Liu
1,
Quan Feng
2,
Qiang Zhang
2,3,
Hui Liu
2,
Bern Klein
4 and
Bing Li
2,3
1
School of Resources and Civil Engineering, Northeastern University, Shenyang 110819, China
2
Shenyang Shengshi Wuhuan Science and Technology Co., Ltd., Shenyang 110027, China
3
Liaoning Provincial Engineering Research Center of Efficient Comminution and Separation, Shenyang 110027, China
4
Norman B. Keevil Institute of Mining Engineering, The University of British Columbia, Vancouver, BC V6T 1Z4, Canada
*
Author to whom correspondence should be addressed.
Minerals 2025, 15(6), 603; https://doi.org/10.3390/min15060603
Submission received: 21 April 2025 / Revised: 29 May 2025 / Accepted: 2 June 2025 / Published: 4 June 2025
(This article belongs to the Section Mineral Processing and Extractive Metallurgy)

Abstract

To enhance the performance of the combined high-pressure grinding roller (HPGR) and tower mill (TM) process for −1 mm particle size, this study addresses the key technical challenges of insufficient material quantity (<100 kg) and complex experimental procedures in HPGR closed-circuit crushing tests by proposing a novel circulating load prediction method based on the principle of mass balance and first-order crushing kinetics. Using a side-flanged HPGR WGM 6020 installation, systematic −1 mm HPGR closed-circuit crushing tests were conducted on seven different ore samples under three specific pressing forces, with detailed characterization of the dynamic variations in product size distribution, specific energy consumption, and circulating load during each cycle. The results demonstrate that within the specific pressing force range of 3.5 N/mm2 to 4.5 N/mm2 when the crushing process reaches equilibrium, the circulating load stabilizes between 100% and 200%, while the specific energy consumption is maintained within 1–2.5 kWh/t. Notably, at the specific pressing force of 4.5 N/mm2, both the circulating load and specific energy consumption rapidly achieve stable states, with ore characteristics showing no significant influence on the number of cycles. To validate the model accuracy, additional samples were tested for comparative analysis, revealing that the deviations between the model-predicted −1 mm product content and circulating load and the experimental results were less than ±5%, confirming the reliability of the proposed method.

1. Introduction

Crushing and grinding operations are material preparation processes in the field of mineral processing for downstream separation. However, the comminution equipment is energy-intensive, and it is estimated that typically less than 10% of the overall comminution energy input is used to reduce particle size, with the remaining energy lost as heat, noise, and other forms of waste [1,2]. Therefore, as mineral resource development progresses, improving the efficiency of comminution technologies and reducing energy consumption have become pressing issues that need to be addressed.
High-pressure grinding rolls (HPGRs), as high-efficiency crushing equipment, embody the concept of ‘more crushing, less grinding’ through its unique interparticle compression crushing mechanism. It has increasingly become a significant piece of equipment in the ore processing industry, particularly in the tertiary and quaternary crushing stages of metal ore beneficiation [3]. In comparison to conventional crushing equipment, the HPGR not only boasts a high energy utilization rate but also offers selective crushing (i.e., preferential breakage based on mineral hardness, grain boundaries, or particle size differences) and a higher proportion of fine-grained products, making it a pivotal device for energy conservation and consumption reduction [4,5].
With the increasing difficulty of mineral resource extraction, mining companies are facing the challenge of developing low-grade fine-grained mineral resources. To reduce energy consumption in crushing and grinding operations, optimize product particle size distribution, and achieve the goal of “more crushing and less grinding”, as well as to improve the energy efficiency of comminution circuits, the combined process of high-pressure grinding rolls and stirred mills (such as tower mills, TM) is increasingly becoming a research focus. This process has the potential to replace traditional high-energy-consuming ball mill operations for fine and ultrafine milling applications [6].
In the Xiaoling lead–zinc mine in Heilongjiang Province, China, a comminution flowsheet consisting of a WGM-8040 HPGR (manufactured by Shenyang Shengshi Wuhuan Science and Technology Co., Ltd., Shenyang, China) connected to a WTM-355 tower mill (manufactured by Shenyang Shengshi Wuhuan Science and Technology Co., Ltd., Shenyang, China) was installed, using a flip-flop screen for pre-screening to generate −1 mm feed material for the tower mill. This circuit configuration achieved a reduction in energy consumption by over 20% compared to the pebble crusher + semi-autogenous mill + ball mill (SABC) [7] circuit and improved mineral liberation effects [8]. The HPGR’s compressive crushing mechanism effectively promotes the formation of internal micro-cracks in the material, significantly improving the grindability of the material and providing a reliable basis for the direct connection of the tower mill. In the HPGR and tower mill direct connection process, the HPGR’s circulation load in the ultrafine crushing stage has a crucial impact on the overall process energy consumption, product particle size distribution, equipment efficiency, and wear. However, due to significant differences in the crushing characteristics of ore types, determining the appropriate circulation load presents a challenge.
Currently, the most accurate method for determining the circulation load is through HPGR closed-circuit tests at the pilot scale to obtain data. However, pilot-scale tests are time-consuming and require a large amount of material, making them generally difficult to implement [9,10,11]. As an alternative, the industry commonly employs laboratory-scale closed-circuit crushing tests. In cases where the test material is insufficient for closed-circuit testing, open-circuit crushing tests are often used to infer the results of closed-circuit tests [12]. Nevertheless, there are differences between open-circuit and closed-circuit tests, making it challenging to ensure the accuracy of the circulation load. Additionally, in the absence of ore samples, the question of how to proceed with the preliminary design of the process and the selection of equipment remains a practical issue for mining companies.
In recent years, HPGR modeling research has made notable progress, providing valuable references for industrial applications in multiple aspects. For instance, the industrial-scale model developed by Campos et al. has demonstrated good performance in predicting iron ore concentrate crushing behavior [13], while the scale-up model proposed by Daniel and Morrell offers useful theoretical support for equipment parameter optimization [9]. Additionally, the modular dynamic process model developed by Johansson et al. [14] and the simplified modeling approach based on piston press tests by Pamparana [15] provide feasible solutions for HPGR performance prediction and experimental method optimization from different perspectives. Altun et al.’s exploration of integrating HPGR and ball mill models [16] also offers valuable insights for the simulation of grinding circuits. These studies have advanced HPGR modeling technology in diverse dimensions, including crushing behavior prediction, equipment parameter optimization, dynamic system monitoring, and experimental-scale reduction. Despite these diversified achievements, several challenges remain for further investigation. On one hand, the inherent dynamic characteristics and material recirculation effects of closed-circuit systems introduce additional complexities in modeling. On the other hand, some models require extensive pilot-scale data or substantial computational resources, which may limit their applicability in the early stages of mineral exploration. Therefore, under conditions of insufficient preliminary process design data, achieving cost-saving and efficient performance prediction for closed-circuit systems remains a topic requiring further research.
Building upon our research team’s previous findings on the integrated high-pressure grinding roller and tower mill process [8], this study systematically conducted HPGR closed-circuit crushing tests targeting −1 mm particle size using seven distinct ore types. Through the innovative integration of experimental data, mass balance principles, and first-order crushing kinetics theory, we developed a novel numerical simulation methodology capable of accurately predicting both −1 mm material content and circulating load characteristics in HPGR closed-circuit crushing systems. This method enables the prediction of the circulating load for the −1 mm particle size fraction when the sample mass is extremely limited (such as when the quantity is less than 100 kg), making it insufficient for closed-circuit testing.

2. Materials and Methods

2.1. Equipment

Pilot-scale tests were performed using a side-flanged WGM-6020 HPGR with a 600 mm diameter and 200 mm width roll, as shown in Figure 1 (manufactured by Shenyang Shengshi Wuhuan Science and Technology Co., Ltd., Shenyang, China). The equipment incorporates an arched high-rigidity integral frame design, which effectively mitigates the edge effect caused by roller shaft misalignment under uneven loading conditions through its elastic deformation self-adaptive adjustment capability, ensuring constant a roll gap and uniform pressure distribution across the roll width. Additionally, the innovative side-flange baffle structure is rigidly fastened to the fixed roller, enclosing the edge material and forcing it to rotate synchronously with the roller surface. This design ensures that the edge material is subjected to compressive stress comparable to that in the central zone, fundamentally resolving the particle coarsening issue resulting from edge material escape in conventional configurations [17,18]. The high-pressure grinding roll mainly consists of a feeding device, a frame device, a moving roller device, a fixed roller device, a driving device, a torque balance device, a hydraulic system, a lubrication system, and a control system. The two roller shafts of the high-pressure grinding rolls are, respectively, driven by motors through universal couplings and planetary reducers. Crushing in a high-pressure grinding roll is caused by high interparticle stresses resulting from the compression of the solid bed as it moves downward in the gap between two pressurized rollers [19]. The hydraulic unit of the machine is capable of applying a specific pressing force of 0~5.9 N/mm2 (i.e., the ratio of the product of the bearing area of the hydraulic cylinder and the working pressure to the product of the roller width and the roller diameter). The HPGR is equipped with a data recording system, which can record the operating pressure, roller speed, current, voltage, and power in real-time.

2.2. Sample Preparation

As shown in Figure 2, the materials selected for this study were magnetite, vanadium titanium magnetite, hematite, and gold ore, all of which have been widely utilized in HPGR technology. The seven ore samples used in this study were sourced from different mining areas, and their origins and preparation processes were as follows: Zijin Gold ROM 1 (Sample 1) and Zijin Gold ROM 2 (Sample 4) were provided by Shanxi Zijin Mining (Xinzhou, China), each with a mass of approximately 3 tons; Nanfen magnetite (Sample 2) with a mass of about 5 tons and Nanfen Hematite (Sample 7) with a mass of about 3 tons were provided by Liaoning Nanfen Concentrator (Benxi, China); Shenjing Magnetite (Sample 3) with a mass of about 4 tons was provided by Liaoning Shenjing Mining Co., Ltd. (Chaoyang, China); Dida Vanadium Titanium Magnetite (Sample 5) with a mass of about 3 tons was provided by Sichuan Dida Mining (Panzhihua, China); and Anqian Hematite (Sample 6) with a mass of about 3 tons was provided by Anqian Mining Co., Ltd. (Anshan, China). Among these, the Dida vanadium titanium magnetite sample (Sample 5), a product of tertiary crushing with a maximum particle size of 30 mm, was directly processed through a 24 mm screen; the other six ROM samples (lump ore) were processed using a PEϕ150 × 250 jaw crusher produced by Jilin Province Prospecting Machinery Factory (Changchun, China) in a closed-circuit crushing system, and we used a 24 mm screen for screening. The oversized product was returned to the jaw crusher for re-crushing until all products passed through the 24 mm screen. For the seven preprocessed samples (including Sample 5 and six others), thorough homogenization and splitting were conducted, respectively. Representative samples weighing 200 kg were obtained through the quartering method for the particle size distribution analysis of the raw ores. The size analysis was performed using a set of sieves with apertures of 18, 14, 10, 8, 5, 3, 1, 0.6, 0.3, 0.15, and 0.074 mm through the dry sieving method. Triplicate parallel tests were conducted to ensure data reliability, where the average values of the three tests were adopted as the final results. Meanwhile, approximately 1800 kg of sufficient material was retained for each sample to serve as feed material for the closed-circuit cycle HPGR crushing tests.
Meanwhile, this study adopts the standard point load test method to determine the hardness of the ore [20]. The specific procedures are as follows:
The minimum dimension of an irregular lump ore is selected as the loading direction. The specimen is placed between the upper and lower loading platens, and the hydraulic pump is activated to ensure that the spherical–conical tips of the loading device are in tight contact with the center of the specimen. The distance from the loading point to the free end of the specimen should be half the spacing between the two loading points. The distances between the loading points and the minimum or average width of the specimen perpendicular to the loading direction are measured, with permissible deviations of ±2% for the former and ±5% for the latter.
During the test, the load should be applied continuously and uniformly to ensure that the specimen fails within 10–60 s. The failure load and the dimensions of the fracture surface are recorded. The point load strength index of the rock is then calculated according to Equations (1)–(3).
D e = ( 4 D W π ) 1 2
F = D e 50 0.42
I s 50 = F × I s
where
D e is the equivalent core diameter of the specimen (mm);
D is the spacing between the loading points (mm);
W is the minimum or average width perpendicular to the loading direction (mm);
F is the size correction factor;
I s 50 is the size-corrected point load strength index of the rock (MPa).
The uniaxial compressive strength of the lump ore was calculated from the point load strength index using Equation (4), and the Protodyakonov hardness (f-value) of the lump ore samples was subsequently determined through conversion.
σ = 15.8 + 12.7 × I s 50
where
σ is the uniaxial compressive strength of the ore (MPa).
The Protodyakonov hardness number (f) was derived from the uniaxial compressive strength using the standard empirical relationship f = σ / 10 .

2.3. Closed-Circuit Cycle HPGR Crushing Tests

In this study, the WGM-6020 HPGR provided by Shenyang Shengshi Wuhuan Science and Technology Co., Ltd. was utilized. The initial roll gap was set at 7 mm, and the roll surface linear velocity was set at 0.26 m/s. With this setup, 1 mm closed-circuit crushing tests were conducted on seven different types of ores under specific pressing forces of 3.5, 4.0, and 4.5 N/mm2, respectively. The mass of the ore feed for each test was 100 kg. The material after crushing was dry-sieved using a set of sieves with sizes of 15, 10, 8, 5, 3, 1, 0.6, 0.3, 0.15, and 0.074 mm. After screening the HPGR products, the +1 mm fraction (oversized material) was weighed. The original ore was added to make up 100 kg, and the HPGR process was repeated until the weight of the oversized material stabilized. The crushing process is shown in Figure 3. At this point, the ratio of the quality of the oversized variant to the newly added mass (i.e., the quality of the undersized variant) is the cycle load for that size fraction, as shown in Equation (5). The test results are shown in Table 1, where the experimental results under open-circuit conditions are labeled with K, and the experimental results under closed-circuit conditions are labeled with B. For example, the specific energy consumption under open-circuit conditions is noted as KEcs, and that under closed-circuit conditions is noted as BEcs. Specific energy consumption (Ecs) is a key parameter characterizing the net energy required to process a unit mass of material. Its calculation is based on real-time monitoring data from the HPGR data recording and control system, with the specific expression: Ecs = (P_load − P_no-load)/Q. Here, P_load represents the average loaded power (kW) measured by the HPGR data recording and control system during material processing, P_no-load denotes the no-load power (kW) recorded by the same system, and Q represents the material throughput (t/h), determined by the ratio of the total mass of material processed during the test period to the operating time [5].
Circulating   load   CL = Screen   oversize   in   grams Screen   undersize   in   grams × 100

2.4. Model and Simulation Method

2.4.1. Theoretical Foundation of the Model

The dynamic modeling of mineral processing circuits represents a classical kinetics problem, particularly in characterizing the temporal evolution of key performance indicators such as grinding product size distribution and flotation recovery rates. These process dynamics are conventionally described by first-order kinetic equations d x d t = k x , as exemplified by established grinding and flotation kinetics models [21]. Building upon this theoretical framework, the present study develops a circulating load prediction model for HPGR closed-circuit crushing systems, integrating first-order crushing kinetics with fundamental mass balance principles. The proposed model quantitatively describes the dynamic transformation of coarse particles (+1 mm) to fine fractions (−1 mm), enabling the prediction of steady-state circulating load characteristics in closed-circuit HPGR operations.
The model formulation is based on the following fundamental assumptions:
(1) First-order kinetics hypothesis:
The crushing process of coarse particles obeys first-order kinetic laws.
(2) Steady-state convergence hypothesis:
The system achieves dynamic equilibrium when the number of cycles approaches infinity.
(3) Mass conservation constraint:
There exists a direct mass correlation between the fresh feed input and the crushed product from the previous cycle in the circulating process.

2.4.2. Derivation of Kinetic Model

For the i-th closed-circuit crushing cycle (i > 1), let F(i) denote the incremental −1 mm fine fraction content generated from the breakage of +1 mm coarse particles. The dynamic behavior is described by the following first-order kinetic formulation:
The primary Kinetic Equation is shown as Equation (6):
d F ( i ) d i = k [ 1 F i ]
where k denotes the first-order crushing rate constant, quantifying the conversion efficiency of coarse particles (+1 mm) into fine particles (−1 mm) per cycle. Its value is influenced by ore properties (e.g., hardness, mineral composition) and operational parameters (e.g., specific pressing force).
Steady-State Modification:
When i  ∞ with F(∞) < 1, the governing equation is revised to Equation (7):
d F ( i ) d i = k [ F ( ) F i ]
Analytical Solution:
Through integration and transformation, we derive the following Equation (8):
F ( i ) = F ( ) ( 1 e k i )
By defining F = a and k = b , the model simplifies to Equation (9):
F ( i ) = a ( 1 e b i )

2.4.3. Development of Circulating Load Prediction Model

(1) Initial Setup:
Establish the content of −1 mm material in the initial raw ore material as R0. The percentage content of the −1 mm material obtained from the open-circuit crushing test is denoted as R1.
(2) Cyclic Calculation Process:
In the closed-circuit crushing process, the content of newly produced −1 mm material is calculated using Equation (9).
Subsequent cycles:
R i = F i + r i ,   i > 1
r i = R i 1 × R 0 , i > 1
Figure 4 illustrates a closed-circuit cycle HPGR crushing test flowchart, where i represents the number of cycles; ri signifies the percentage content of −1 mm material in the fresh feed during the closed-circuit crushing process; Ri represents the percentage content of −1 mm material in the crushed product obtained during the closed-circuit crushing process.
Cycle termination: As the number of cycles increases, the value of Ri tends to stabilize, indicating that the content of −1 mm material in the comminuted product has reached a steady state.

3. Results and Discussion

We tested seven samples using the pilot-scale closed-circuit cycle HPGR crushing tests method, described in Section 2.3, to evaluate its universal applicability to different types of ores. As shown in Figure 5, this study systematically investigated the particle size distribution (PSD) characteristics of seven ore types. The gold ores (Samples 1 and 4) exhibit finer PSDs, with sub-1 mm particles reaching 14.47% and 16.65%, respectively. Their negative cumulative curves show the steepest slopes in the fine particle range (<5 mm), indicating more concentrated distributions in this range and lower proportions of coarse particles (>10 mm). In contrast, the magnetite (Samples 2 and 3) and hematite ores (Samples 6 and 7) demonstrate more uniform PSDs with higher proportions of both fine and coarse particles, suggesting more balanced breakage behavior. The field-collected Sample 5 displays a distinct PSD with only 2.22% sub-1 mm particles.
The mineral hardness of samples 1 to 7 is shown in Table 2, with fine particle (−1 mm) contents of 16.65%, 8.87%, 15.05%, 14.47%, 2.22%, 7.47%, and 7.86%, respectively.

3.1. Analysis of Circulating Load and Specific Energy Consumption

A pilot-scale closed-circuit cycle HPGR crushing test was conducted on 7 samples under different specific pressing forces until the specific energy consumption and cycle load reached a stable state. This was performed to evaluate the impact of specific pressing force and ore properties on the closed-circuit cycle HPGR crushing test. The specific energy consumption and circulating load obtained for each cycle and all tests are shown in Figure 6 and Figure 7. The specific energy consumption and circulating loads for the last three cycles reached their respective averages within a ±95% confidence interval [22]. Once these criteria are achieved, the cycles are considered stable.
Due to the WGM-type HPGR used in this paper, which invented a self-positioning locking function arch frame and a pressure roller end flange baffle structure, the “edge effect” of traditional HPGR was overcome [22]. Therefore, this paper does not consider the “edge effect”.
Figure 6 and Figure 7 illustrate that specific energy consumption and circulating load in the closed-circuit crushing process showed decreasing trends with the increase in the number of closed-circuit cycles. For the same type of ore sample, as the specific pressing force increases, the number of cycles required for the specific energy consumption and circulating load to reach a stable state decreases. With the increase in specific pressing force, the influence of ore characteristics on the number of cycles becomes increasingly insignificant. Specifically, at a specific pressing force of 4.5 N/mm2, nearly all types of ore samples achieve a stable state for both specific energy consumption and circulating load after only four cycles. This indicates that a higher specific pressing force enhances crushing efficiency, allowing particles to reach an equilibrium in particle size distribution in fewer cycles, and a high specific pressing force can overcome the inherent characteristics of the ore, leading to a more consistent crushing process.
The results presented in Table 1 indicate a significant correlation between circulating load, specific energy consumption, and fine particle content with specific pressing force. For the same type of mineral material in a closed-circuit equilibrium state, the circulating load shows a gradual decrease as the specific pressing force increases. However, the magnitude of this decrease diminishes with the rising specific pressing force. This reflects how increasing the specific pressing force can significantly enhance the crushing efficiency and reduce the circulating load. However, as the specific pressing force rises, the hydrostatic pressure generated within the particle bed may gradually offset this positive effect, hindering further particle breakage and causing the crushing efficiency to approach saturation [23]. Under these conditions, the particle size reduction benefit per unit energy input correspondingly weakens, ultimately manifesting as a deceleration in the rate of circulating load reduction. Concurrently, specific energy consumption gradually increases with higher specific pressing force. As described by Ozcan et al., an increased specific pressing force results in a higher content of fine particles, which leads to greater energy absorption but lower energy utilization efficiency [24].
Additionally, for the same type of mineral material under the same specific pressing forces, the specific energy consumption in a closed-circuit equilibrium state is lower than that in an open-circuit condition, and the P80 value in the closed-circuit equilibrium state is lower than the P80 value under open-circuit conditions. The content of fine particles below −1 mm also increases significantly. In the closed-circuit crushing process, the new feed for the HPGR consists of mineral ore and the oversized return material from the product. Due to the presence of a significant amount of fine and medium-sized particles in the oversized return material, the new feed to the HPGR becomes finer [15]. The further reduction of this fine and medium material during the closed-circuit crushing process results in a finer, more uniform particle size distribution, with the overall effect on the HPGR crushing process being higher throughput and potentially lower specific energy consumption [3,25].

3.2. Particle Size Distributions

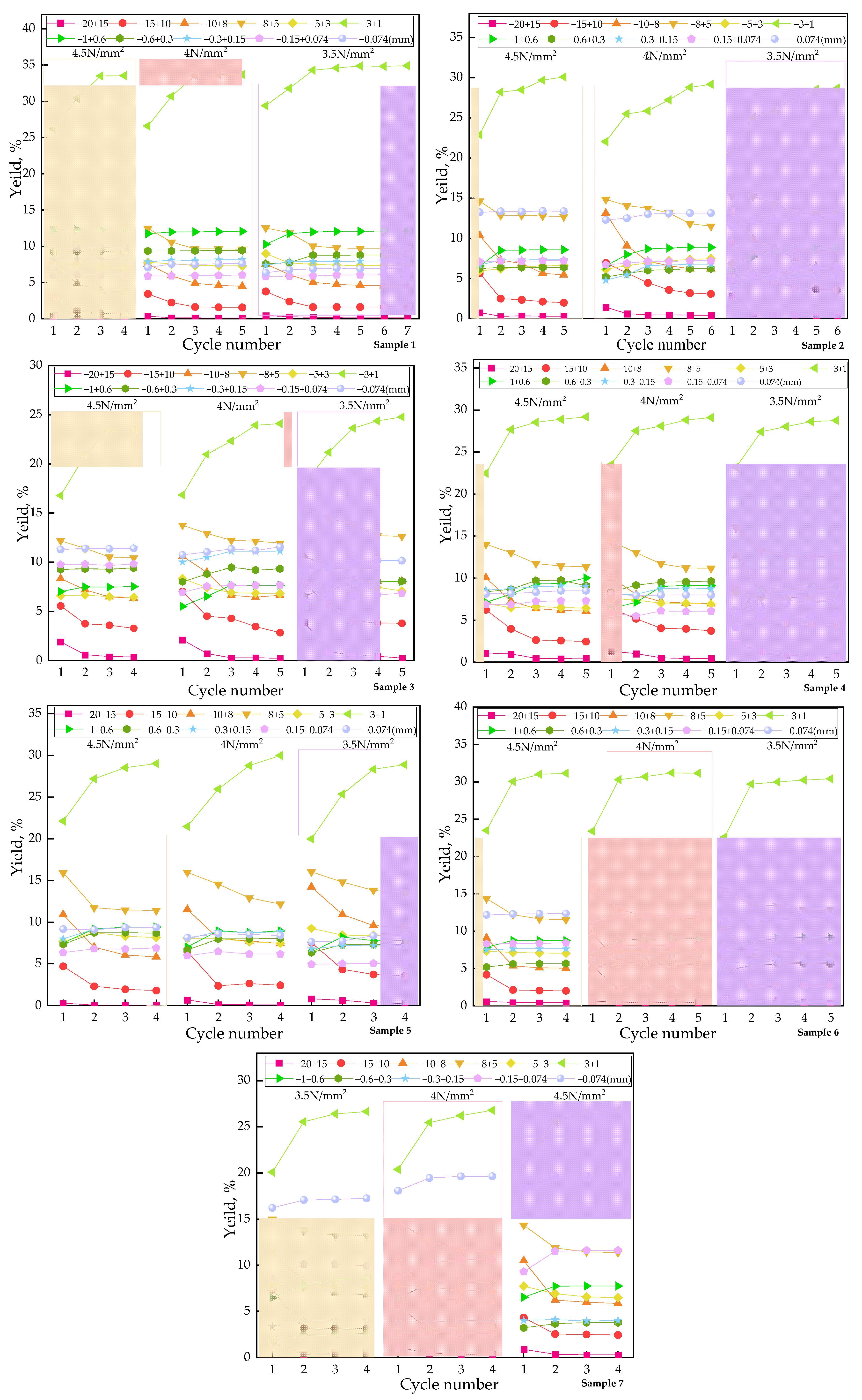
Figure 8 shows the variation trend of the particle size distribution of seven ore products with the number of cycles in the −1 mm closed-circuit cycle HPGR crushing test under different specific pressing forces.
In the closed-circuit crushing process of an HPGR, as depicted in Figure 8, the dynamic process of particle size reduction is primarily characterized by a gradual decrease in the content of coarse particles larger than 3 mm with increasing numbers of crushing cycles, with the rate of decrease trending towards stability. This phenomenon reflects the progressive refinement of particles by the HPGR in the closed-circuit crushing process. In the initial stage, larger particles are more easily fractured under high pressure, leading to a rapid decline in the content of coarse particles. However, as the number of cycles increases, the hardness of the remaining coarse particles increases and their size decreases, making further crushing more difficult and resulting in a gradual reduction in the rate of decrease.
Concurrently, the content of fine particles smaller than 3 mm exhibits an opposite trend, gradually increasing with the number of crushing cycles, but the rate of increase also slows down until the system reaches an equilibrium state in particle size distribution. At this point, the number of particles that can be further refined decreases, and consequently, the rate of increase in fine particles also diminishes. As detailed in the analysis of the crushing of coarse and fine mixtures within a closed granular bed [25], fine particles exert control over the fracture of coarse particles. Moreover, the introduction or accumulation of fine particles during the crushing process can impede the breakage kinetics of coarse particles.

3.3. Mathematical Modeling of Closed-Circuit Crushing

As shown in Figure 9, this study systematically investigated the evolution of newly generated −1 mm particle content with cycle number (i) through closed-circuit cycle HPGR crushing tests of seven different minerals under specific pressing forces ranging from 3.5 to 4.5 N/mm2. The fitting analysis based on the first-order kinetic model (Equation (9)) demonstrates (Table 3) that the goodness-of-fit R2 values generally exceed 0.90, confirming the applicability of this kinetic model under the conditions investigated. The results reveal the following: (1) Parameter a (steady-state limit of fine particle content) exhibits a monotonically increasing trend with a rising specific pressing force, which is primarily attributed to enhanced particle breakage probability under high-pressure conditions, while significant variations in parameter values among different minerals indicate its predominant dependence on ore properties such as mineral hardness and cleavage characteristics. (2) Parameter b (crushing rate constant) displays distinct response patterns to pressure variations—most samples show a monotonically increasing trend, suggesting improved crushing efficiency under high pressure, while some samples exhibit decreasing trends or peak-and-decline behaviors, potentially related to critical effects in crushing energy efficiency. These findings demonstrate that crushing kinetic parameters are simultaneously influenced by both mineral characteristics and process conditions. Based on these results, this study recommends establishing a multidimensional parameter database for precise model calibration according to specific operational conditions (e.g., pressure selection, feed particle size distribution) to enhance the applicability of Equation (9) in engineering applications.

3.4. Model Validation and Comparative Analysis

To test the predictive ability of the mathematical model for closed-circuit crushing, this study referenced data from a previous experimental study [26]. The experiment aimed to determine the appropriate transition particle sizes for high-pressure grinding rolls and tower mills. It was conducted using the WGM-3156 HPGR to perform closed-circuit cycle HPGR crushing tests on Nanfen magnetite ore with a maximum feed size of 12 mm (−1 mm content of 14.66%) at a specific pressing force of 4.5 N/mm2. A feed quantity of 30 kg was used for each test and an artificial dry screening method was employed, where the oversized material was returned as sand, and raw ore material equal to the undersized material mass was weighed and combined to form the new feed for the subsequent cycle. The test data indicated that the closed-circuit crushing process reached a stable equilibrium after approximately six cycles. In particular, the content of −1 mm material in the product was 42.93% after a single closed-circuit cycle (i.e., open-circuit conditions), while at equilibrium, the content was elevated to 45.09% with a cyclic loading of 121.78%. Since the ore properties of the Nanfen magnetite in this study are similar to those of the mineral materials used in the above-mentioned research, the a, b values of Nanfen magnetite at 4.5 N/mm2 were chosen to estimate the results of its −1 mm closed-circuit crushing. The estimation results show that after reaching equilibrium, the content of −1 mm material in the product is expected to be 46.15% with a cyclic loading of 116.71%. Comparing the experimental data, the error rate of the calculation results of −1 mm material content in the equilibrium condition and the test results is 2.34%, and the cyclic loading has a negative deviation of about 4.17%, which may be related to the influence of the ore fineness and equipment parameters. Overall, the calculation results of the model are still more satisfactory. Although there is a certain deviation in the prediction under close-circuit conditions, this deviation is still within acceptable limits considering the influence of ore fineness and equipment parameters. Therefore, the model provides useful theoretical support for the design and optimization of the closed-circuit crushing process. Future research directions can focus on how to reduce the prediction deviation and thus improve the prediction accuracy of the model.

4. Conclusions

This study systematically analyzes the −1 mm closed-circuit crushing process of seven ore samples using a side-flange HPGR under three different pressure conditions. The results show that as the number of crushing cycles increases, the content of coarse particles in the product gradually decreases and stabilizes, while the content of fine particles correspondingly increases. Additionally, both the cycle load and specific energy consumption show a decreasing trend. The study further reveals that when the crushing process reaches a steady state, the cycle load stabilizes between 100% and 200%, and the specific energy consumption remains between 1 and 2.5 kWh/t. Notably, the specific energy consumption in the closed-circuit crushing steady state is significantly lower than that in the open-circuit crushing process.
Based on experimental data and the principle of mass balance, this study innovatively developed a numerical simulation method by integrating first-order crushing kinetics, aiming to predict both the −1 mm material content and circulating load in the HPGR closed-circuit crushing process. The method uses the formula F ( i ) = a 1 e b i to describe the generation of −1 mm material content at different cycle stages, where the parameters a and b are closely related to ore properties and operating conditions. Through iterative calculations, the method effectively predicts the cycle load. Additional sample validation results show that the predicted −1 mm particle content at the steady state in the closed-circuit crushing process deviates by less than ±5% from the actual HPGR test result. The deviations may be attributed to differences in feed particle size and equipment models used in the HPGR validation tests.
Although the current predictive method is primarily applicable to scenarios akin to experimental settings, it has furnished significant theoretical support and practical guidance for reducing the workload of closed-circuit cycle HPGR crushing tests and optimizing the combined high-pressure grinding roll and tower mill process. Future research will aim to expand the model’s applicability by incorporating a broader spectrum of ore types, particle size distributions, and operational parameters, thereby enhancing the model’s versatility and the potential for optimization in comminution processes.

Author Contributions

Conceptualization, methodology, experiments, and drafting manuscript, N.L.; funding acquiring, conceptualization, and supervision, L.L.; data curation, J.W.; validation, Z.L.; conceptualization and ore samples collection, Q.F., Q.Z. and H.L.; methodology and results discussion, B.K.; experiments, B.L. All authors have read and agreed to the published version of the manuscript.

Funding

This work was financially supported by the National Natural Science Foundation of China (52174243), Key Research and Development Program of Liaoning Province (2024JH2/102400026).

Data Availability Statement

Data will be made available on request.

Acknowledgments

The authors acknowledge Shenyang Shengshi Wuhuan Science and Technology Co., Ltd. for providing pilot-scale HPGR equipment and technical support.

Conflicts of Interest

Authors Quan Feng, Qiang Zhang, Hui Liu and Bing Li were employed by the company Shenyang Shengshi Wuhuan Science and Technology Co., Ltd. The remaining authors declare that the research was conducted in the absence of any commercial or financial relationships that could be construed as a potential conflict of interest.

References

  1. Legendre, D.; Zevenhoven, R. Assessing the energy efficiency of a jaw crusher. Energy 2014, 74, 119–130. [Google Scholar] [CrossRef]
  2. Saramak, D.; Leśniak, K. Impact of HPGR operational pressing force and material moisture on energy consumption and crushing product fineness in high-pressure grinding processes. Energy 2024, 302, 131908. [Google Scholar] [CrossRef]
  3. van der Meer, F.P.; Gruendken, A. Flowsheet considerations for optimal use of high pressure grinding rolls. Miner. Eng. 2010, 23, 663–669. [Google Scholar] [CrossRef]
  4. Maxton, D.; Morley, C.; Bearman, R. A quantification of the benefits of high pressure rolls crushing in an operating environment. Miner. Eng. 2003, 16, 827–838. [Google Scholar] [CrossRef]
  5. Jankovic, A.; Suthers, S.; Wills, T.; Valery, W. Evaluation of dry grinding using HPGR in closed circuit with an air classifier. Miner. Eng. 2015, 71, 133–138. [Google Scholar] [CrossRef]
  6. Dundar, H.; Benzer, H.; Aydogan, N. Application of population balance model to HPGR crushing. Miner. Eng. 2013, 50–51, 114–120. [Google Scholar] [CrossRef]
  7. Wang, C.; Nadolski, S.; Mejia, O.; Drozdiak, J.; Klein, B. Energy and cost comparisons of HPGR based circuits with the SABC circuit installed at the Huckleberry mine. In Proceedings of the 45th Annual Meeting of the Canadian Mineral Processors 2013, Ottawa, ON, Canada, 22–24 January 2013. [Google Scholar]
  8. Li, L.; Wei, B.; Zhang, Q.; Zhang, J.; Zhang, X.; Wang, C.; Li, N.; Liu, Z. Evaluating the performance of an industrial-scale high pressure grinding rolls (HPGR)-tower mill comminution circuit. Miner. Eng. 2023, 191, 107973. [Google Scholar] [CrossRef]
  9. Daniel, M.J.; Morrell, S. HPGR model verification and scale-up. Miner. Eng. 2004, 17, 1149–1161. [Google Scholar] [CrossRef]
  10. Morrell, S. Predicting the overall specific energy requirement of crushing, high pressure grinding roll and tumbling mill circuits. Miner. Eng. 2009, 22, 544–549. [Google Scholar] [CrossRef]
  11. Torres, M.; Casali, A. A novel approach for the modelling of high-pressure grinding rolls. Miner. Eng. 2009, 22, 1137–1146. [Google Scholar] [CrossRef]
  12. Tohry, A.; Yazdani, S.; Hadavandi, E.; Mahmudzadeh, E.; Chelgani, S.C. Advanced modeling of HPGR power consumption based on operational parameters by BNN: A “Conscious-Lab” development. Powder Technol. 2021, 381, 280–284. [Google Scholar] [CrossRef]
  13. Campos, T.M.; Bueno, G.; Tavares, L.M. Modeling comminution of iron ore concentrates in industrial-scale HPGR. Powder Technol. 2021, 383, 244–255. [Google Scholar] [CrossRef]
  14. Johansson, M.; Evertsson, M. A time dynamic model of a high pressure grinding rolls crusher. Miner. Eng. 2019, 132, 27–38. [Google Scholar] [CrossRef]
  15. Pamparana, G.; Klein, B.; Bergerman, M.G. Methodology and Model to Predict HPGR Throughput Based on Piston Press Testing. Minerals 2022, 12, 1377. [Google Scholar] [CrossRef]
  16. Altun, O.; Benzer, H.; Dundar, H.; Aydogan, N.A. Comparison of open and closed circuit HPGR application on dry grinding circuit performance. Miner. Eng. 2011, 24, 267–275. [Google Scholar] [CrossRef]
  17. Zhang, C.; Zou, Y.; Cheng, G.; Liu, D.; Yang, R.; Yu, A. Quantify the edge effect of HPGR mills with DEM modelling. Particuology 2025, 99, 60–68. [Google Scholar] [CrossRef]
  18. Rodriguez, V.A.; Campos, T.M.; Barrious, G.K.P.; Tavares, L.M. Review of Recent Advances in HPGR Designs. Miner. Process. Extr. Metall. Rev. 2024, 1–18. [Google Scholar] [CrossRef]
  19. Liu, L.; Tan, Q.; Liu, L.; Cao, J. Comparison of different comminution flowsheets in terms of minerals liberation and separation properties. Miner. Eng. 2018, 125, 26–33. [Google Scholar] [CrossRef]
  20. Meng, L.; Cai, G.; Fu, X.; Ren, Y. Rock Mass Mechanics Testing; Science Press: Beijing, China, 2020; pp. 88–94. [Google Scholar]
  21. Han, Y. The Principle of Grinding, 2nd ed.; Metallurgical Industry Press: Beijing, China, 2022; pp. 120–121. [Google Scholar]
  22. Kumar, A.; Wang, C.; Gong, D.; Saud, C.; Pamparana, G.; Klein, B. Development of Locked-cycle piston press test procedure to simulate closed circuit HPGR comminution. Miner. Eng. 2023, 201, 108160. [Google Scholar] [CrossRef]
  23. Schönert, K. A first survey of grinding with high-compression roller mills. Int. J. Miner. Process. 1988, 22, 401–412. [Google Scholar] [CrossRef]
  24. Ozcan, O.; Aydogan, N.A.; Benzer, H. Effect of operational parameters and recycling load on the high pressure grinding rolls (HPGR) performance. Int. J. Miner. Process. 2015, 136, 20–25. [Google Scholar] [CrossRef]
  25. Gutsche, O.; Fuerstenau, D.W. Fracture kinetics of particle bed comminution–ramifications for fines production and mill optimization. Powder Technol. 1999, 105, 113–118. [Google Scholar] [CrossRef]
  26. Pan, Z.; Li, L.; Li, Z.; Li, N.; Wang, J.; Wang, M.; Wei, B. Experimental study on suitable transition particle size of high pressure grinding rolls and tower mill. Met. Mine 2025, 3, 73–77. [Google Scholar]
Figure 1. WGM-6020 HPGR device: (1) motor; (2) universal coupling; (3) feed bin; (4) planetary reducer; (5) rollers; (6) main framework; (7) hydraulic cylinder; (8) accumulator; (9) oil thinning station; (10) data recording and control system.
Figure 1. WGM-6020 HPGR device: (1) motor; (2) universal coupling; (3) feed bin; (4) planetary reducer; (5) rollers; (6) main framework; (7) hydraulic cylinder; (8) accumulator; (9) oil thinning station; (10) data recording and control system.
Minerals 15 00603 g001
Figure 2. Test samples.
Figure 2. Test samples.
Minerals 15 00603 g002
Figure 3. Closed-circuit cycle HPGR crushing testing procedure.
Figure 3. Closed-circuit cycle HPGR crushing testing procedure.
Minerals 15 00603 g003
Figure 4. Closed-circuit cycle HPGR crushing test flowchart.
Figure 4. Closed-circuit cycle HPGR crushing test flowchart.
Minerals 15 00603 g004
Figure 5. Particle size distribution of feed in HPGR test.
Figure 5. Particle size distribution of feed in HPGR test.
Minerals 15 00603 g005
Figure 6. Trend of specific energy consumption for each cycle of pilot-scale closed-circuit cycle HPGR crushing tests under different specific pressing forces.
Figure 6. Trend of specific energy consumption for each cycle of pilot-scale closed-circuit cycle HPGR crushing tests under different specific pressing forces.
Minerals 15 00603 g006
Figure 7. Trend of circulating load for each cycle of pilot-scale closed-circuit cycle HPGR crushing tests under different specific pressing forces.
Figure 7. Trend of circulating load for each cycle of pilot-scale closed-circuit cycle HPGR crushing tests under different specific pressing forces.
Minerals 15 00603 g007
Figure 8. The trend of yield changes of each particle size in the closed-circuit cycle HPGR crushing tests under different specific pressing forces.
Figure 8. The trend of yield changes of each particle size in the closed-circuit cycle HPGR crushing tests under different specific pressing forces.
Minerals 15 00603 g008
Figure 9. Content of newly generated −1 mm material versus number of closed-circuit crushing cycles.
Figure 9. Content of newly generated −1 mm material versus number of closed-circuit crushing cycles.
Minerals 15 00603 g009
Table 1. Results of pilot-scale closed-circuit cycle HPGR crushing tests on different samples.
Table 1. Results of pilot-scale closed-circuit cycle HPGR crushing tests on different samples.
Sample IDSpecific Pressing Force, N/mm2Cycle NumberP80, mm% Passing 1 mmCirculating Load, %Specific Energy Consumption, kWh/t
KP80BP80K1B1KEcsBEcs
Sample 13.576.023.9137.3741.79139.301.931.58
4.055.903.8941.8743.08132.122.191.77
4.545.773.5143.0245.65119.072.332.19
Sample 23.568.865.9131.4439.14155.481.231.12
4.068.225.5335.5242.04137.851.621.24
4.557.335.2939.7642.80133.671.681.40
Sample 33.558.446.2635.7443.02132.461.221.03
4.057.955.6241.2847.17111.991.281.17
4.546.985.4048.6149.40102.421.451.32
Sample 43.558.666.2728.3838.93156.851.801.46
4.057.555.7436.6741.53140.781.851.60
4.557.445.1939.1343.87127.941.971.76
Sample 53.548.366.7632.1635.69180.231.521.38
4.047.765.7835.7840.52146.821.661.44
4.547.234.9838.3743.45130.171.811.61
Sample 63.557.525.4936.3440.32148.051.431.27
4.057.174.9937.4041.81139.171.701.38
4.546.714.8440.9942.73134.021.721.59
Sample 73.548.125.9436.2642.01138.061.321.07
4.047.495.2639.5745.44120.101.461.28
4.547.095.0841.4446.75113.921.601.46
Table 2. Description of tested samples.
Table 2. Description of tested samples.
Sample IDTypeHardness (MPa)% Passing 1 mm (−24 mm)
Sample 1Zijin Gold ROM 24.5216.65
Sample 2Nanfen Magnetite10.978.87
Sample 3Shenjing Magnetite8.9115.05
Sample 4Zijin Gold ROM 18.8014.47
Sample 5Dida Vanadium Titanium Magnetite8.932.22
Sample 6Anqian Hematite10.587.47
Sample 7Nanfen Hematite10.027.86
Table 3. Values of closed-circuit crushing mathematical model parameters a, b.
Table 3. Values of closed-circuit crushing mathematical model parameters a, b.
Specific Pressing Force
(N/mm2)
ParametersSample 1Sample 2Sample 3Sample 4Sample 5Sample 6Sample 7
3.5a35.5036.0838.2836.1035.1937.6239.93
b1.031.040.920.731.921.481.31
R20.900.990.890.760.990.990.93
4a36.7038.6641.1536.6739.9239.1243.01
b1.261.191.100.991.891.491.39
R20.910.990.940.960.910.970.95
4.5a39.4039.4442.6138.5042.9239.9143.94
b1.221.591.601.081.861.861.51
R20.850.940.940.970.990.970.92
Disclaimer/Publisher’s Note: The statements, opinions and data contained in all publications are solely those of the individual author(s) and contributor(s) and not of MDPI and/or the editor(s). MDPI and/or the editor(s) disclaim responsibility for any injury to people or property resulting from any ideas, methods, instructions or products referred to in the content.

Share and Cite

MDPI and ACS Style

Li, N.; Li, L.; Wang, J.; Liu, Z.; Feng, Q.; Zhang, Q.; Liu, H.; Klein, B.; Li, B. Prediction of Circulation Load of Side-Flanged High-Pressure Grinding Rolls Closed-Circuit Crushing. Minerals 2025, 15, 603. https://doi.org/10.3390/min15060603

AMA Style

Li N, Li L, Wang J, Liu Z, Feng Q, Zhang Q, Liu H, Klein B, Li B. Prediction of Circulation Load of Side-Flanged High-Pressure Grinding Rolls Closed-Circuit Crushing. Minerals. 2025; 15(6):603. https://doi.org/10.3390/min15060603

Chicago/Turabian Style

Li, Nan, Lixia Li, Jiaqi Wang, Zhe Liu, Quan Feng, Qiang Zhang, Hui Liu, Bern Klein, and Bing Li. 2025. "Prediction of Circulation Load of Side-Flanged High-Pressure Grinding Rolls Closed-Circuit Crushing" Minerals 15, no. 6: 603. https://doi.org/10.3390/min15060603

APA Style

Li, N., Li, L., Wang, J., Liu, Z., Feng, Q., Zhang, Q., Liu, H., Klein, B., & Li, B. (2025). Prediction of Circulation Load of Side-Flanged High-Pressure Grinding Rolls Closed-Circuit Crushing. Minerals, 15(6), 603. https://doi.org/10.3390/min15060603

Note that from the first issue of 2016, this journal uses article numbers instead of page numbers. See further details here.

Article Metrics

Back to TopTop