Cyclic Changes in Sea Level and Sequence Stratigraphy During the Latest Pliensbachian–Early Toarcian (Early Jurassic) in the Southern Qiangtang Basin (Eastern Tethys): Geochemical and Mineralogical Perspectives
Abstract
1. Introduction

2. Regional Geologic and Stratigraphic Evolution

3. Material and Methods
3.1. Whole-Rock Geochemistry
3.2. Total Organic Carbon (TOC) Analysis
3.3. Whole-Rock Mineralogy
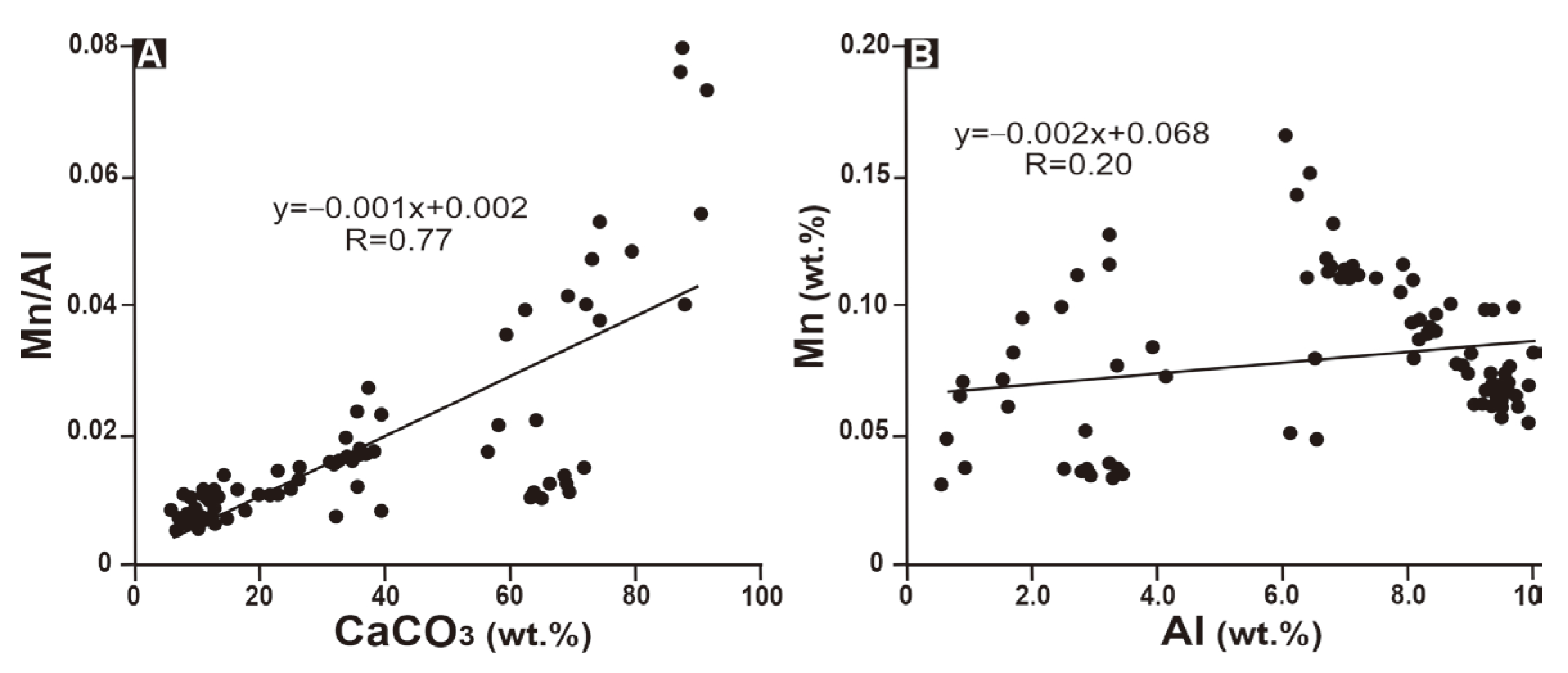
4. Results
5. Discussion
5.1. Sequence Stratigraphic Development and Model Used
5.2. Chemostratigraphic Expression of System Tracts and Bounding Surfaces
5.3. Sea Level Change and Sequence Stratigraphy of the Quse Formation
6. Conclusions
Author Contributions
Funding
Data Availability Statement
Conflicts of Interest
References
- Jenkyns, H.C. The early Toarcian (Jurassic) Anoxic event: Stratigraphic, sedimentary, and geochemical evidence. Am. J. Sci. 1988, 288, 101–151. [Google Scholar] [CrossRef]
- Pálfy, J.; Smith, P.L. Synchrony between Early Jurassic extinction, oceanic anoxic event, and the Karoo-Ferrar flood basalt volcanism. Geology 2000, 28, 747–750. [Google Scholar] [CrossRef]
- Svensen, H.H.; Planke, S.; Chevallier, L.; Malthe-Sørenssen, A.; Corfu, F.; Jamtveit, B. Hydrothermal venting of greenhouse gases triggering Early Jurassic global warming. Earth Planet. Sci. Lett. 2007, 256, 554–566. [Google Scholar] [CrossRef]
- Remírez, M.N.; Algeo, T.J. Carbon-cycle changes during the Toarcian (Early Jurassic) and implications for regional versus global drivers of the Toarcian oceanic anoxic event. Earth-Sci. Rev. 2020, 209, 103283. [Google Scholar] [CrossRef]
- Kemp, D.B.; Suan, G.; Fantasia, A.; Jin, S.; Chen, W. Global organic carbon burial during the Toarcian oceanic anoxic event: Pattern and controls. Earth-Sci. Rev. 2022, 231, 104086. [Google Scholar] [CrossRef]
- Xia, G.Q.; Mansour, A. Paleoenvironmental changes during the early Toarcian Oceanic Anoxic Event: Insights into organic carbon distribution and controlling mechanisms in the eastern Tethys. J. Asian. Earth Sci. 2022, 237, 105344. [Google Scholar] [CrossRef]
- Fu, X.; Wang, J.; Zeng, S.; Feng, X.; Wang, D.; Song, C. Continental weathering and palaeoclimatic changes through the onset of the Early Toarcian oceanic anoxic event in the Qiangtang Basin, eastern Tethys. Palaeogeogr. Palaeoclimatol. Palaeoecol. 2017, 487, 241–250. [Google Scholar] [CrossRef]
- Kemp, D.B.; Selby, D.; Izumi, K. Direct coupling between carbon release and weathering during the Toarcian oceanic anoxic event. Geology 2020, 48, 976–980. [Google Scholar] [CrossRef]
- Ruebsam, W.; Al-Husseini, M. Calibrating the Early Toarcian (Early Jurassic) with stratigraphic black holes (SBH). Gondwana Res. 2020, 82, 317–336. [Google Scholar] [CrossRef]
- Nie, Y.; Fu, X.G.; Liang, J.T.; Wei, H.Y.; Chen, Z.A.; Lin, F.; Zeng, S.Q.; Wu, Y.H.; Zou, Y.; Mansour, A. The Toarcian Oceanic Anoxic Event in a shelf environment (Eastern Tethys): Implications for weathering and redox conditions. Sediment. Geol. 2023, 455, 106476. [Google Scholar] [CrossRef]
- Mattioli, E.; Pittet, B.; Suan, G.; Mailliot, S. Calcareous nannoplankton changes across the early Toarcian oceanic anoxic event in the western Tethys. Paleoceanography 2008, 23, PA3208. [Google Scholar] [CrossRef]
- Caruthers, A.H.; Smith, P.L.; Gröcke, D.R. The Pliensbachian–Toarcian (Early Jurassic) extinction, a global multi-phased event. Palaeogeogr. Palaeoclimatol. Palaeoecol. 2013, 386, 104–118. [Google Scholar] [CrossRef]
- Röhl, H.J.; Schmidt-Röhl, A.; Oschmann, W.; Frimmel, A.; Schwark, L. The Posidonia Shale (Lower Toarcian) of SW-Germany: An oxygen-depleted ecosystem controlled by sea level and palaeoclimate. Palaeogeogr. Palaeoclimatol. Palaeoecol. 2001, 165, 27–52. [Google Scholar] [CrossRef]
- Ruebsam, W.; Mayer, B.; Schwark, L. Cryosphere carbon dynamics control early Toarcian global warming and sea level evolution. Glob. Planet. Change 2019, 172, 440–453. [Google Scholar] [CrossRef]
- Mansour, A.; Xia, G.; Fu, X.; Wang, J. Sea level changes and sequence stratigraphy of the lower-middle Jurassic Quse and Sewa formations in the Qiangtang Basin, central Tibet: Geochemical and palynological perspectives. Intr. Geol. Rev. 2023, 65, 2879–2899. [Google Scholar] [CrossRef]
- Hesselbo, S.P.; Jenkyns, H.C.; Duarte, L.V.; Oliveira, L.C.V. Carbon-isotope record of the Early Jurassic (Toarcian) Oceanic Anoxic Event from fossil wood and marine carbonate (Lusitanian Basin, Portugal). Earth Planet. Sci. Lett. 2007, 253, 455–470. [Google Scholar] [CrossRef]
- Xu, W.; Ruhl, M.; Jenkyns, H.C.; Hesselbo, S.P.; Riding, J.B.; Selby, D.; Naafs, B.D.A.; Weijers, J.W.H.; Pancost, R.D.; Tegelaar, E.W.; et al. Carbon sequestration in an expanded lake system during the Toarcian oceanic anoxic event. Nat. Geosci. 2017, 10, 129–134. [Google Scholar] [CrossRef]
- Hay, W.W.; DeConto, R.M.; de Boer, P.L.; Flögel, S.; Song, Y.; Stepashko, A. Possible solutions to several enigmas of Cretaceous climate. Inter. J. Earth Sci. 2019, 108, 587–620. [Google Scholar] [CrossRef]
- Gurnis, M. Phanerozoic marine inundation of continents driven by dynamic topography above subducting slabs. Nature 1993, 364, 589–593. [Google Scholar] [CrossRef]
- Spasojevic, S.; Gurnis, M. Sea level and vertical motion of continents from dynamic Earth models since the Late Cretaceous. Am. Assoc. Pet. Geol. Bull. 2012, 9611, 2037–2064. [Google Scholar] [CrossRef]
- Sames, B.; Wagreich, M.; Wendler, J.E.; Haq, B.U.; Conrad, C.P.; Melinte-Dobrinescu, M.C.; Hu, X.; Wendler, I.; Wolfgring, E.; Yilmaz, I.Ö.; et al. Review: Short-term sea-level changes in a greenhouse world—A view from the Cretaceous. Palaeogeogr. Palaeoclimatol. Palaeoecol. 2016, 441, 393–411. [Google Scholar] [CrossRef]
- Li, L.; Keller, G.; Adatte, T.; Stinnesbeck, W. Late Cretaceous sea level changes in Tunisia: A multidisciplinary approach. J. Geol. Soc. Lond. 2000, 157, 447–458. [Google Scholar] [CrossRef]
- Jarvis, I.; Murphy, A.M.; Gale, A.S. Geochemistry of pelagic and hemipelagic carbonates: Criteria for identifying systems tracts and sea-level change. J. Geol. Soci. Lond. 2001, 158, 685–696. [Google Scholar] [CrossRef]
- Jarvis, I.; Mabrouk, A.; Moody, R.T.J.; Murphy, A.M.; Sandman, R.I. Applications of carbon isotope and elemental (Sr/Ca, Mn) chemostratigraphy to sequence analysis: Sea-level change and the global correlation of pelagic carbonates. In Geology of East Libya; Salem, M.J., El-Hawat, A.S., Eds.; Earth Science Society of Libya: Tripoli, Libya, 2008; pp. 369–396. [Google Scholar]
- Ver Straeten, C.A.; Brett, C.E.; Sageman, B.B. Mudrock sequence stratigraphy: A multi-proxy (sedimentological, paleobiological and geochemical) approach, Devonian Appalachian Basin. Palaeogeogr. Palaeoclimatol. Palaeoecol. 2011, 304, 54–73. [Google Scholar] [CrossRef]
- Ratcliffe, K.T.; Wright, A.M.; Spain, D.R. Unconventional methods for unconventional plays: Using elemental data to understand shale resource plays. Pet. Explor. Soc. Aust. News Res. 2012, 117, 50–54. [Google Scholar]
- Sano, J.L.; Ratcliffe, K.T.; Spain, D.R. Chemostratigraphy of the Haynesville Shale. In Geology of the Hanyesville Gas Shale in East Texas and West Louisiana, U.S.A.; Hammes, U., Gales, J., Eds.; American Association of Petroleum Geologists Memoir: Tulsa, OK, USA, 2013; Volume 105, pp. 137–154. [Google Scholar]
- Le Callonnec, L.; Renard, M.; De Rafélis, M.; Minoletti, F.; Beltran, C.; Du Chene, R.J. Evolution of the trace element contents (Sr and Mn) of hemipelagic carbonates from the Zumaia Paleocene section (Gipuzkoa, Spain): Implications for the knowledge of seawater chemistry during the Selandian. Bull. Société Géologique France 2014, 185, 413–435. [Google Scholar] [CrossRef]
- Turner, B.W.; Tréanton, J.A.; Slatt, R.M. The use of chemostratigraphy to refine ambiguous sequence stratigraphic correlations in marine mudrocks. An example from the Woodford Shale, Oklahoma, USA. J. Geol. Soc. 2016, 173, 854–868. [Google Scholar] [CrossRef]
- Harris, N.B.; McMillan, J.M.; Knapp, L.J.; Mastalerz, M. Organic matter accumulation in the Upper Devonian Duvernay Formation, Western Canada Sedimentary Basin, from sequence stratigraphic analysis and geochemical proxies. Sediment. Geol. 2018, 376, 185–203. [Google Scholar] [CrossRef]
- Wagreich, M.; Koukal, V. The pelagic archive of short-term sea-level change in the Cretaceous: A review of proxies linked to orbital forcing. In Cretaceous Climate Events and Short-Term Sea-Level Changes; Geological Society, Special Publications: London, UK, 2019; p. 498. [Google Scholar] [CrossRef]
- Mansour, A.; Gentzis, T.; Wagreich, M.; Tahoun, S.S.; Elewa, A.M.T. Short-term sea level changes of the upper cretaceous carbonates: Calibration between palynomorphs composition, inorganic geochemistry and stable isotopes. Minerals 2020, 10, 1099. [Google Scholar] [CrossRef]
- Mansour, A.; Wagreich, M.; Ahmed, M.S.; Tahoun, S.S.; Gentzis, T. Short-term Sea-Level changes and sequence stratigraphy of the mid-cretaceous Kharita Formation reservoirs in Egypt: Insights from geochemical and palynological data. ACS Omega 2022, 7, 27573–27586. [Google Scholar] [CrossRef]
- LaGrange, M.T.; Konhauser, K.O.; Catuneanu, O.; Harris, B.S.; Playter, T.L.; Gingras, M.K. Sequence stratigraphy in organic-rich marine mudstone successions using chemostratigraphic datasets. Earth-Sci. Rev. 2020, 203, 103137. [Google Scholar] [CrossRef]
- Fu, X.; Wang, J.; Wen, H.; Song, C.; Wang, Z.; Zeng, S.; Feng, X.; Wei, H. A Toarcian Ocean Anoxic Event record from an open-ocean setting in the eastern Tethys: Implications for global climatic change and regional environmental perturbation. Sci. China Earth Sci. 2021, 64, 1860–1872. [Google Scholar] [CrossRef]
- Ma, A.; Hu, X.; Garzanti, E.; Boudagher-Fadel, M.; Xue, W.; Han, Z.; Wang, P. Paleogeographic and tectonic evolution of Mesozoic Qiangtang basins (Tibet). Tectonophysics 2023, 862, 229957. [Google Scholar] [CrossRef]
- Wang, Y.S.; Zhang, S.Q.; Xie, Y.H.; Li, C.Z.; Yu, X.W.; Zheng, C.Z.; Feng, D.C.; Wang, Z.; Duan, J.X.; Sun, Z.G.; et al. 1:250000 Regional Geological Survey Report of the People’s Republic of China (Angdarco Sheet); Publishing House of China University of Geosciences: Beijing, China, 2012. [Google Scholar]
- Li, C. The Longmucuo-Shuanghu-Lancangjiang Plate suture and the north boundary of distribution of the Gondwana facies of the Permo-Carboniferous System in northern Xizang, China. J. Change Coll. Geol. 1987, 17, 155–166. [Google Scholar]
- Song, P.P.; Ding, L.; Li, Z.Y.; Lippert, P.C.; Yue, Y.H. An early bird from Gondwana: Paleomagnetism of Lower Permian lavas from northern Qiangtang (Tibet) and the geography of the Paleo-Tethys. Earth Planet. Sci. Lett. 2017, 475, 119–133. [Google Scholar] [CrossRef]
- Wang, J.; Fu, X.; Wei, H.; Zheng, B.; Wang, Z.; Shen, L.; Mansour, A. An overview of the Qiangtang Basin: Geology, hydrocarbon resources and the role of the Tethyan evolution. J. Asian Earth Sci. 2024, 266, 106128. [Google Scholar] [CrossRef]
- Fang, X.; Song, C.; Yan, M.; Zan, J.; Liu, C.; Sha, J.; Zhang, W.; Zeng, Y.; Wu, S.; Zhang, D. Mesozoic litho- and magneto-stratigraphic evidence from the central Tibetan Plateau for megamonsoon evolution and potential evaporites. Gondwana Res. 2016, 37, 110–129. [Google Scholar] [CrossRef]
- Wang, J.; Fu, X.G.; Wei, H.Y.; Shen, L.J.; Wang, Z.; Li, K.Z. Late Triassic basin inversion of the Qiangtang Basin in northern Tibet: Implications for the closure of the Paleo-Tethys and expansion of the Neo-Tethys. J. Asian Earth Sci. 2022, 227, 105–119. [Google Scholar] [CrossRef]
- Zhao, Z.Z.; Li, Y.T.; Ye, H.F.; Zhang, Y.W. Stratum in the Qianhai-Xizang Plateau; Science Press: Beijing, China, 2001; pp. 234–235, (In Chinese with English abstract). [Google Scholar]
- Ji, C.; Chen, Y.; Wu, Z.; Wang, Q.; Shen, H.; Chen, C.; Xia, G.; Ahmed, M.S.; Ruebsam, W.; Mansour, A. High-resolution record of Pliensbachian-Toarcian and early Toarcian carbon isotope events in the eastern Tethys. Palaeogeogr. Palaeoclimatol. Palaeoecol. 2025, 662, 112766. [Google Scholar] [CrossRef]
- Chandler, R.B.; Whicher, J.; Grulke, W.; Cowap, A. The Middle Jurassic stephanoceratid ammonite Kumatostephanus from Dorset and Somerset, UK, and its evolution. Geobios 2013, 46, 285–297. [Google Scholar] [CrossRef]
- Howarth, M.K. The Ammonite Family Hildoceratidae in the Lower Jurassic of Britain. Part 2. In Monograph of the Palaeontographical Society; Palaeontographical Society: London, UK, 1992; Volume 146, pp. 107–200. [Google Scholar]
- Jochum, K.P.; Willbold, M.; Raczek, I.; Stoll, B.; Herwig, K. Chemical characterization of the USGS reference glasses GSA-1G, GSC-1G, GSD-1G, GSE-1G, BCR-2G, BHVO-2G and BIR-1G using EPMA, ID-TIMS, ID-ICP-MS and LA-ICP-MS. Geostand. Geoanal. Res. 2005, 29, 285–302. [Google Scholar] [CrossRef]
- Catuneanu, O. Sequence stratigraphy in the context of the ‘modeling revolution’. Mar. Pet. Geol. 2020, 116, 104309. [Google Scholar] [CrossRef]
- Vail, P.R.; Mitchum, R.M., Jr.; Thompson, S., III. Seismic stratigraphy and global changes of sea-level, Part 3: Relative changes of sea-level from coastal onlap. In Seismic Stratigraphy—Applications to Hydrocarbon Exploration; Payton, C.E., Ed.; American Association of Petroleum Geologists Memoir: Tulsa, OK, USA, 1977; Volume 26, pp. 63–81. [Google Scholar]
- Posamentier, H.W.; Vail, P.R. Eustatic controls on clastic deposition. II. Sequence and systems tract models. In Sea Level Changes: An Integrated Approach; Wilgus, C.K., Hastings, B.S., Kendall, C.G.S.C., Posamentier, H.W., Ross, C.A., VanWagoner, J.C., Eds.; The Society for Sedimentary Geology (SEPM), Special Publication: Tulsa, OK, USA, 1988; Volume 42, pp. 125–154. [Google Scholar]
- Posamentier, H.W.; Allen, G.P. Siliciclastic sequence stratigraphy: Concepts and applications. SEPM Con. Sedimentol. Paleontol. 1999, 7, 210. [Google Scholar]
- Haq, B.U. Jurassic Sea-Level Variations: A Reappraisal. Geol. Soc. Amer. Today 2018, 28, 4–10. [Google Scholar] [CrossRef]
- Catuneanu, O.; Zecchin, M. High-resolution sequence stratigraphy of clastic shelves II: Controls on sequence development. Mar. Petrol. Geol. 2013, 39, 26–38. [Google Scholar] [CrossRef]
- Csato, I.; Catuneanu, O.; Granjeon, D. Millennial-scale sequence stratigraphy: Numerical simulation with Dionisos. J. Sediment. Res. 2014, 84, 394–406. [Google Scholar] [CrossRef]
- Catuneanu, O. Sequence stratigraphy of clastic systems: Concepts, merits, and pitfalls. J. Afr. Earth Sci. 2002, 351, 1–43. [Google Scholar] [CrossRef]
- Catuneanu, O.; Galloway, W.E.; Kendall, C.G.S.C.; Miall, A.D.; Posamentier, H.W.; Strasser, A.; Tucker, M.E. Sequence stratigraphy: Methodology and nomenclature. Newsl. Stratigr. 2011, 44, 173–245. [Google Scholar] [CrossRef]
- Johnson, J.G.; Murphy, M.A. Time-rock model for Siluro-Devonian continental shelf, western United States. Geol. Soc. Am. Bull. 1984, 95, 13492. [Google Scholar] [CrossRef]
- Embry, A.F.; Johannessen, E.P. T-R sequence stratigraphy, facies analysis and reservoir distribution in the uppermost Triassic-Lower Jurassic succession, western Sverdrup Basin, Arctic Canada. In Arctic Geology and Petroleum Potential; Vorren, T.O., Bergsager, E., Dahl-Stamnes, O.A., Holter, E., Johansen, B., Lie, E., Lund, T.B., Eds.; Elsevier: Amsterdam, The Netherlands, 1992; Volume 2, pp. 121–146. [Google Scholar]
- Galloway, W.E. Accommodation and the sequence stratigraphic paradigm: Reservoir. Can. Soc. Pet. Geol. 2004, 315, 9–10. [Google Scholar]
- Wang, J.; Tan, F.W.; Wang, X.L.; Du, B.W.; Chen, M. The sedimentary and tectonic characteristics of Qiangtang Basin in the Early Jurassic in northern Xizang (Tibet). Acta Sedimentol. Sin. 2004, 22, 198–205, (In Chinese with English abstract). [Google Scholar]
- Van der Weijden, C.H. Pitfalls of normalization of marine geochemical data using a common divisor. Mar. Geol. 2002, 184, 167–187. [Google Scholar] [CrossRef]
- Reinhard, C.T.; Planavsky, N.J.; Robbins, L.J.; Partin, C.A.; Gill, B.C.; Lalonde, S.V.; Bekker, A.; Konhauser, K.O.; Lyons, T.W. Proterozoic ocean redox and biogeochemical stasis. Proc. Natl. Acad. Sci. USA 2013, 110, 5357–5362. [Google Scholar] [CrossRef] [PubMed]
- Schlanger, S.O. Strontium storage and release during deposition and diagenesis of marine carbonates release to sea-level variations. In Physical and Chemical Weathering in Geochemical Cycles; Lerman, A., Meybeck, M., Eds.; Kluwer Academic: Dordrecht, The Netherlands, 1988; pp. 323–339. [Google Scholar]
- Calvert, S.; Bustin, R.; Ingall, E. Influence of water column anoxia and sediment supply on the burial and preservation of organic carbon in marine shales. Geochim. Cosmochim. Acta 1996, 60, 1577–1593. [Google Scholar] [CrossRef]
- Renard, M.; Rafélis, M.D.; Emmanuel, L.; Beltran, C.; Moullade, M.; Tronchetti, G. Fluctuations of sea-water chemistry during Gargasian (Middle Aptian) time. Data from trace element content (Mg, Sr, Mn, Fe) in hemipelagic carbonates from La Marcouline Quarry (Cassis, SE France). Carnets Géol. 2007, 3, 1–28. [Google Scholar] [CrossRef]
- Ratcliffe, K.T.; Wright, A.M.; Hallsworth, C.; Morton, A.; Zaitlin, B.A.; Potocki, D.; Wray, D. An example of alternative correlation techniques in a low-accommodation setting, nonmarine hydrocarbon system: The (Lower Cretaceous) Mannville Basal Quartz succession of southern Alberta. Am. Assoc. Pet. Geol. Bull. 2004, 88, 1419–1432. [Google Scholar] [CrossRef]
- Calvert, S.E.; Pedersen, T.F. Elemental proxies for palaeoclimatic and palaeoceanographic variability in marine sediments: Interpretation and application. In Proxies in Late Cenozoic Paleoceanography, Developments in Marine Geology; Hillaire, C., de Vernal, A., Eds.; Elsevier: Amsterdam, The Netherlands, 2007; pp. 568–637. [Google Scholar]
- Taylor, S.R.; McLennan, S.M. The Continental Crust: Its Composition and Evolution; Blackwell Scientific Publications: Oxford, UK, 1985; pp. 1–311. [Google Scholar]
- Perry, C.; Taylor, K. Environmental Sedimentology; Blackwell: Oxford, UK, 2007; p. 441. [Google Scholar]
- Thomson, J.; Higgs, N.C.; Jarvis, I.; Hydes, D.J.; Colley, S.; Wilson, T.R.S. The behaviour of manganese in Atlantic carbonate sediments. Geochim. Cosmochim. Acta 1986, 50, 1807–1818. [Google Scholar] [CrossRef]
- Hu, X.; Ma, A.; Xue, W.; Garzanti, E.; Cao, Y.; Li, S.-M.; Sun, G.; Lai, W. Exploring a lost ocean in the Tibetan Plateau: Birth, growth, and demise of the Bangong-Nujiang Ocean. Earth-Sci. Rev. 2022, 229, 104031. [Google Scholar] [CrossRef]
- Guynn, J.; Kapp, P.; Pullen, A.; Heizler, M.; Gehrels, G.; Ding, L. Tibetan basement rocks near Amdo reveal “missing” Mesozoic tectonism along the Bangong suture, central Tibet. Geology 2006, 34, 505–508. [Google Scholar] [CrossRef]
- Zhang, X.R.; Shi, R.D.; Huang, Q.S.; Liu, D.L.; Gong, X.H.; Chen, S.S.; Wu, K.; Yi, G.D.; Sun, Y.L.; Ding, L. Early Jurassic high-pressure metamorphism of the Amdo terrane, Tibet: Constraints from zircon U–Pb geochronology of mafic granulites. Gondwana Res. 2014, 26, 975–985. [Google Scholar] [CrossRef]
- Wang, B.-D.; Wang, L.-Q.; Chung, S.-L.; Chen, J.-L.; Yin, F.-G.; Liu, H.; Li, X.-B.; Chen, L.-K. Evolution of the Bangong–Nujiang Tethyan ocean: Insights from the geochronology and geochemistry of mafic rocks within ophiolites. Lithos 2016, 245, 18–33. [Google Scholar] [CrossRef]







| Samples | TOC | SiO2 | Al2O3 | CaCO3 | Ti | Ti/Al | Zr | Zr/Al | U | Sr/Ca | Mn | Mn/Al |
|---|---|---|---|---|---|---|---|---|---|---|---|---|
| wt.% | wt.% | wt.% | wt.% | wt.% | ppm | ppm | wt.% | |||||
| QX199 | 0.16 | 24.08 | 6.14 | 59.13 | 0.16 | 0.048 | 48.00 | 14.77 | 0.99 | 44.21 | 0.115 | 0.035 |
| QX197 | 0.19 | 24.07 | 7.39 | 57.83 | 0.17 | 0.044 | 54.55 | 13.95 | 1.10 | 39.38 | 0.084 | 0.021 |
| QX194 | 0.22 | 32.86 | 11.55 | 39.35 | 0.25 | 0.041 | 79.98 | 13.09 | 1.49 | 38.90 | 0.050 | 0.008 |
| QX191 | 0.27 | 32.59 | 12.40 | 31.88 | 0.29 | 0.044 | 93.19 | 14.20 | 1.81 | 33.90 | 0.048 | 0.007 |
| QX188 | 0.14 | 16.25 | 2.87 | 72.96 | 0.07 | 0.045 | 21.42 | 14.08 | 0.57 | 49.00 | 0.071 | 0.047 |
| QX185 | 0.18 | 55.46 | 18.90 | 5.33 | 0.43 | 0.043 | 144.73 | 14.47 | 2.44 | 82.51 | 0.081 | 0.008 |
| QX183 | 0.25 | 37.13 | 12.13 | 35.19 | 0.27 | 0.042 | 88.13 | 13.72 | 1.64 | 43.84 | 0.151 | 0.024 |
| QX181 | 0.24 | 53.78 | 17.47 | 7.46 | 0.44 | 0.048 | 145.54 | 15.74 | 2.47 | 65.63 | 0.098 | 0.011 |
| QX179 | 0.29 | 37.66 | 11.44 | 36.85 | 0.27 | 0.044 | 85.13 | 14.07 | 1.68 | 46.50 | 0.165 | 0.027 |
| QX177 | 0.19 | 52.95 | 18.01 | 9.92 | 0.42 | 0.044 | 137.57 | 14.43 | 2.29 | 57.30 | 0.073 | 0.008 |
| QX175 | 0.38 | 54.37 | 15.92 | 10.44 | 0.40 | 0.048 | 134.25 | 15.94 | 2.30 | 54.63 | 0.096 | 0.011 |
| QX173 | 0.19 | 55.05 | 15.38 | 12.34 | 0.36 | 0.044 | 123.18 | 15.13 | 1.98 | 53.95 | 0.094 | 0.012 |
| QX171 | 0.28 | 54.05 | 18.27 | 8.67 | 0.43 | 0.045 | 145.73 | 15.07 | 2.39 | 54.26 | 0.099 | 0.010 |
| QX169 | 0.17 | 55.20 | 17.64 | 8.22 | 0.43 | 0.046 | 148.56 | 15.92 | 2.36 | 57.87 | 0.073 | 0.008 |
| QX167 | 0.23 | 56.18 | 15.48 | 10.59 | 0.34 | 0.042 | 119.46 | 14.58 | 1.97 | 57.23 | 0.087 | 0.011 |
| QX166 | 0.22 | 55.24 | 16.54 | 9.39 | 0.39 | 0.045 | 133.34 | 15.24 | 2.20 | 59.16 | 0.077 | 0.009 |
| QX164 | 0.19 | 53.43 | 17.95 | 9.27 | 0.41 | 0.044 | 144.25 | 15.18 | 2.45 | 57.41 | 0.069 | 0.007 |
| QX162 | 0.22 | 54.45 | 18.12 | 8.53 | 0.42 | 0.044 | 140.57 | 14.66 | 2.33 | 59.67 | 0.068 | 0.007 |
| QX160 | 0.13 | 53.42 | 17.73 | 10.10 | 0.40 | 0.043 | 135.24 | 14.41 | 2.31 | 58.72 | 0.069 | 0.007 |
| QX158 | 0.13 | 45.36 | 15.78 | 21.46 | 0.37 | 0.044 | 121.36 | 14.53 | 2.08 | 49.79 | 0.091 | 0.011 |
| QX156 | 0.12 | 36.41 | 12.10 | 37.99 | 0.28 | 0.044 | 89.25 | 13.93 | 1.57 | 47.44 | 0.110 | 0.017 |
| QX154 | 0.17 | 48.90 | 17.48 | 14.56 | 0.39 | 0.042 | 130.50 | 14.11 | 2.29 | 51.12 | 0.067 | 0.007 |
| QX152 | 0.18 | 52.71 | 17.94 | 9.97 | 0.39 | 0.042 | 138.09 | 14.54 | 2.29 | 58.14 | 0.057 | 0.006 |
| QX149 | 0.20 | 51.24 | 17.59 | 11.81 | 0.39 | 0.042 | 132.81 | 14.27 | 2.21 | 52.92 | 0.068 | 0.007 |
| QX147 | 0.24 | 54.14 | 17.60 | 9.18 | 0.41 | 0.044 | 136.89 | 14.70 | 2.22 | 52.65 | 0.060 | 0.006 |
| QX145 | 0.27 | 50.04 | 16.37 | 16.06 | 0.38 | 0.044 | 124.57 | 14.38 | 2.00 | 49.66 | 0.100 | 0.012 |
| QX143 | 0.10 | 35.69 | 11.75 | 39.31 | 0.26 | 0.043 | 83.06 | 13.36 | 1.44 | 47.43 | 0.143 | 0.023 |
| QX141 | 0.11 | 38.58 | 12.89 | 33.82 | 0.30 | 0.044 | 94.12 | 13.79 | 1.63 | 47.54 | 0.131 | 0.019 |
| QX139 | 0.09 | 43.60 | 14.14 | 25.92 | 0.33 | 0.044 | 105.05 | 14.04 | 1.79 | 49.66 | 0.111 | 0.015 |
| QX137 | 0.14 | 44.65 | 14.94 | 22.74 | 0.35 | 0.044 | 112.62 | 14.25 | 1.88 | 48.45 | 0.115 | 0.015 |
| QX135 | 0.16 | 47.74 | 15.83 | 19.55 | 0.37 | 0.044 | 120.10 | 14.34 | 1.94 | 50.82 | 0.090 | 0.011 |
| QX133 | 0.27 | 50.67 | 17.58 | 13.01 | 0.41 | 0.044 | 132.93 | 14.29 | 2.14 | 59.56 | 0.098 | 0.010 |
| QX131 | 0.33 | 55.97 | 15.25 | 11.69 | 0.35 | 0.043 | 119.36 | 14.79 | 1.94 | 71.61 | 0.080 | 0.010 |
| QX129 | 0.29 | 51.97 | 17.90 | 10.33 | 0.39 | 0.042 | 134.22 | 14.17 | 2.28 | 55.18 | 0.064 | 0.007 |
| QX127 | 0.25 | 51.61 | 17.74 | 10.93 | 0.40 | 0.043 | 138.20 | 14.72 | 2.38 | 65.98 | 0.065 | 0.007 |
| QX125 | 0.28 | 51.63 | 17.14 | 11.96 | 0.38 | 0.042 | 131.80 | 14.53 | 2.26 | 61.90 | 0.062 | 0.007 |
| QX123 | 0.23 | 50.61 | 17.37 | 12.52 | 0.40 | 0.043 | 132.95 | 14.47 | 2.30 | 58.47 | 0.062 | 0.007 |
| QX121 | 0.29 | 46.41 | 16.87 | 17.54 | 0.38 | 0.042 | 124.74 | 13.97 | 2.18 | 48.28 | 0.074 | 0.008 |
| QX119 | 0.22 | 43.89 | 15.67 | 22.62 | 0.34 | 0.041 | 112.59 | 13.58 | 2.02 | 48.42 | 0.088 | 0.011 |
| QX117 | 0.31 | 42.68 | 15.21 | 24.80 | 0.34 | 0.042 | 110.81 | 13.77 | 2.13 | 46.00 | 0.093 | 0.012 |
| QX115 | 0.16 | 36.77 | 12.78 | 35.79 | 0.29 | 0.043 | 95.65 | 14.14 | 1.77 | 43.76 | 0.113 | 0.017 |
| QX113 | 0.10 | 37.76 | 13.19 | 33.56 | 0.31 | 0.044 | 98.79 | 14.16 | 1.71 | 46.21 | 0.114 | 0.016 |
| QX111 | 0.14 | 36.47 | 12.75 | 36.31 | 0.29 | 0.043 | 95.32 | 14.12 | 1.76 | 45.55 | 0.115 | 0.017 |
| QX109 | 0.10 | 36.93 | 13.10 | 34.54 | 0.30 | 0.044 | 97.65 | 14.09 | 1.77 | 47.15 | 0.111 | 0.016 |
| QX107 | 0.21 | 39.37 | 13.60 | 31.60 | 0.31 | 0.042 | 98.63 | 13.70 | 1.74 | 45.42 | 0.112 | 0.015 |
| QX105 | 0.23 | 36.79 | 12.65 | 35.79 | 0.30 | 0.044 | 93.40 | 13.95 | 1.70 | 44.35 | 0.118 | 0.018 |
| QX103 | 0.24 | 38.90 | 13.45 | 32.46 | 0.30 | 0.042 | 97.34 | 13.68 | 1.67 | 44.42 | 0.115 | 0.016 |
| QX101 | 0.24 | 52.66 | 16.78 | 12.27 | 0.38 | 0.043 | 130.99 | 14.75 | 2.26 | 53.13 | 0.077 | 0.009 |
| QX099 | 0.26 | 54.02 | 18.36 | 7.98 | 0.43 | 0.044 | 144.29 | 14.85 | 2.51 | 62.26 | 0.065 | 0.007 |
| QX097 | 0.36 | 52.71 | 18.09 | 9.45 | 0.42 | 0.044 | 140.57 | 14.68 | 2.39 | 56.90 | 0.070 | 0.007 |
| QX095 | 0.45 | 53.84 | 18.16 | 8.26 | 0.43 | 0.044 | 146.36 | 15.22 | 2.47 | 57.63 | 0.076 | 0.008 |
| QX093 | 0.41 | 54.37 | 18.73 | 6.88 | 0.44 | 0.045 | 147.79 | 14.91 | 2.55 | 71.61 | 0.069 | 0.007 |
| QX089 | 0.33 | 53.56 | 15.29 | 14.02 | 0.36 | 0.044 | 122.56 | 15.14 | 2.11 | 60.88 | 0.109 | 0.013 |
| QX085 | 0.35 | 54.80 | 17.98 | 8.03 | 0.40 | 0.042 | 139.20 | 14.63 | 2.38 | 62.89 | 0.061 | 0.006 |
| QX083 | 0.24 | 54.99 | 18.74 | 6.48 | 0.42 | 0.042 | 143.07 | 14.42 | 2.49 | 62.29 | 0.054 | 0.005 |
| QX080 | 0.22 | 53.21 | 18.41 | 9.48 | 0.42 | 0.043 | 139.42 | 14.31 | 2.46 | 54.75 | 0.061 | 0.006 |
| QX078 | 0.37 | 51.80 | 18.08 | 10.63 | 0.42 | 0.043 | 138.87 | 14.51 | 2.45 | 52.17 | 0.066 | 0.007 |
| QX076 | 0.21 | 51.50 | 16.99 | 12.12 | 0.42 | 0.046 | 137.98 | 15.35 | 2.40 | 54.09 | 0.081 | 0.009 |
| QX074 | 0.28 | 41.62 | 14.87 | 25.91 | 0.33 | 0.041 | 109.94 | 13.97 | 2.01 | 45.16 | 0.105 | 0.013 |
| QX072 | 0.21 | 38.04 | 13.33 | 31.04 | 0.29 | 0.042 | 99.93 | 14.17 | 1.84 | 43.75 | 0.110 | 0.016 |
| QX070 | 0.16 | 18.47 | 6.38 | 63.85 | 0.14 | 0.041 | 45.13 | 13.36 | 1.03 | 42.13 | 0.076 | 0.022 |
| QX069 | 0.20 | 23.60 | 7.82 | 56.25 | 0.17 | 0.041 | 55.16 | 13.33 | 1.15 | 40.29 | 0.072 | 0.017 |
| QX066 | 0.18 | 20.56 | 6.15 | 62.30 | 0.13 | 0.041 | 43.71 | 13.43 | 0.99 | 46.73 | 0.127 | 0.039 |
| QX063 | 0.29 | 36.72 | 12.28 | 35.28 | 0.27 | 0.041 | 86.47 | 13.30 | 1.54 | 37.65 | 0.079 | 0.012 |
| QX060 | 0.13 | 17.32 | 5.11 | 69.03 | 0.12 | 0.044 | 38.68 | 14.30 | 0.81 | 45.33 | 0.112 | 0.041 |
| QX057 | 0.20 | 15.36 | 3.42 | 73.87 | 0.08 | 0.043 | 24.04 | 13.28 | 0.46 | 53.08 | 0.095 | 0.053 |
| QX054 | 0.19 | 15.51 | 4.72 | 71.37 | 0.12 | 0.046 | 36.53 | 14.62 | 0.70 | 42.70 | 0.037 | 0.015 |
| QX051 | 0.25 | 16.50 | 5.32 | 68.42 | 0.13 | 0.045 | 40.31 | 14.32 | 0.79 | 41.30 | 0.036 | 0.013 |
| QX048 | 0.25 | 16.55 | 5.37 | 68.72 | 0.12 | 0.043 | 39.87 | 14.03 | 0.76 | 39.86 | 0.036 | 0.013 |
| QX045 | 0.21 | 18.18 | 6.16 | 64.51 | 0.15 | 0.045 | 46.74 | 14.34 | 0.88 | 40.09 | 0.034 | 0.010 |
| QX042 | 0.26 | 19.47 | 6.49 | 62.77 | 0.15 | 0.045 | 48.12 | 14.01 | 0.91 | 39.20 | 0.035 | 0.010 |
| QX039 | 0.22 | 17.15 | 5.53 | 68.79 | 0.14 | 0.046 | 43.10 | 14.73 | 0.82 | 38.15 | 0.034 | 0.012 |
| QX036 | 0.20 | 18.46 | 6.37 | 63.38 | 0.16 | 0.047 | 50.22 | 14.90 | 0.95 | 38.74 | 0.037 | 0.011 |
| QX033 | 0.21 | 17.27 | 6.11 | 66.09 | 0.15 | 0.045 | 46.98 | 14.53 | 0.86 | 38.30 | 0.039 | 0.012 |
| QX030 | 0.19 | 17.03 | 5.42 | 68.81 | 0.13 | 0.045 | 40.87 | 14.25 | 0.80 | 41.38 | 0.052 | 0.018 |
| QX026 | 0.16 | 15.67 | 4.69 | 71.74 | 0.09 | 0.038 | 31.88 | 12.85 | 0.59 | 45.47 | 0.099 | 0.040 |
| QX023 | 0.17 | 12.44 | 3.19 | 79.00 | 0.07 | 0.040 | 22.14 | 13.12 | 0.52 | 47.31 | 0.081 | 0.048 |
| QX020 | 0.18 | 16.63 | 3.07 | 73.89 | 0.08 | 0.052 | 26.05 | 16.03 | 0.53 | 46.76 | 0.061 | 0.038 |
| QX017 | 0.25 | 6.33 | 1.76 | 87.83 | 0.05 | 0.051 | 14.08 | 15.12 | 0.36 | 53.26 | 0.037 | 0.040 |
| QX012 | 0.04 | 7.00 | 1.67 | 87.14 | 0.05 | 0.062 | 17.43 | 19.72 | 0.86 | 62.28 | 0.070 | 0.080 |
| QX009 | 0.04 | 6.69 | 1.62 | 86.61 | 0.05 | 0.059 | 13.89 | 16.20 | 1.01 | 59.74 | 0.065 | 0.076 |
| QX005 | 0.05 | 4.93 | 1.24 | 91.27 | 0.04 | 0.058 | 10.69 | 16.28 | 0.66 | 65.17 | 0.048 | 0.073 |
| QX001 | 0.05 | 5.98 | 1.08 | 90.42 | 0.03 | 0.057 | 8.90 | 15.57 | 0.66 | 59.84 | 0.031 | 0.054 |
| Samples | Quartz | Plagioclase | Calcite | Clay Minerlas | K-Feldspar | Dolomite |
|---|---|---|---|---|---|---|
| wt.% | wt.% | wt.% | wt.% | ppm | wt.% | |
| QX191 | 17.7 | 3.4 | 25.2 | 20.9 | 0.4 | 32.4 |
| QX188 | 11.2 | 4.1 | 72.2 | 0.8 | - | 11.7 |
| QX185 | 43.1 | 2.7 | - | 37.6 | 0.7 | 15.9 |
| QX179 | 21.9 | 4.7 | 47.0 | 25.5 | 0.2 | 0.7 |
| QX171 | 33.4 | 8.2 | 11.7 | 46.1 | 0.6 | - |
| QX166 | 36.0 | 8.2 | 12.7 | 42.5 | - | 0.6 |
| QX162 | 36.1 | 7.6 | 12.1 | 43.5 | 0.7 | - |
| QX156 | 19.7 | 4.1 | 47.3 | 28.6 | 0.3 | - |
| QX149 | 30.7 | 8.5 | 17.5 | 42.6 | 0.7 | - |
| QX147 | 33.4 | 7.9 | 11.3 | 46.2 | 0.6 | 0.6 |
| QX143 | 19.3 | 4.8 | 50.0 | 25.6 | 0.3 | - |
| QX137 | 26.1 | 6.7 | 31.2 | 35.6 | 0.4 | - |
| QX133 | 32.1 | 7.4 | 20.7 | 39.3 | 0.5 | - |
| QX129 | 30.6 | 7.7 | 14.8 | 46.9 | - | - |
| QX127 | 30.6 | 8.3 | 14.8 | 45.6 | 0.7 | - |
| QX123 | 30.1 | 7.2 | 17.9 | 44.4 | 0.4 | - |
| QX121 | 25.6 | 5.6 | 25.7 | 42.5 | 0.6 | - |
| QX117 | 21.5 | 5.0 | 32.9 | 40.3 | 0.3 | - |
| QX113 | 22.2 | 5.0 | 42.4 | 30.0 | 0.4 | - |
| QX109 | 19.5 | 4.3 | 44.2 | 31.7 | 0.3 | - |
| QX105 | 18.7 | 4.9 | 46.3 | 29.9 | 0.2 | - |
| QX101 | 32.3 | 7.8 | 16.9 | 42.6 | 0.4 | - |
| QX097 | 30.8 | 7.0 | 12.9 | 48.7 | 0.6 | - |
| QX093 | 31.6 | 7.3 | 8.8 | 51.8 | 0.5 | - |
| QX085 | 32.7 | 7.8 | 11.6 | 47.2 | 0.7 | - |
| QX080 | 30.1 | 7.3 | 13.1 | 48.9 | 0.6 | - |
| QX076 | 30.7 | 7.7 | 16.8 | 44.3 | 0.5 | - |
| QX074 | 21.6 | 5.4 | 32.5 | 39.3 | 0.3 | 0.9 |
| QX072 | 21.9 | 4.9 | 41.3 | 30.8 | 1.1 | - |
| QX063 | 18.7 | 5.0 | 43.5 | 29.6 | 0.1 | 3.1 |
| QX042 | 9.0 | 3.1 | 69.0 | 13.6 | - | 5.3 |
| QX036 | 7.3 | 2.7 | 64.5 | 13.8 | 0.2 | 11.5 |
| QX012 | 3.5 | 2.4 | 92.2 | 1.9 | - | - |
| QX009 | 3.8 | 2.5 | 90.2 | 2.0 | - | 1.5 |
Disclaimer/Publisher’s Note: The statements, opinions and data contained in all publications are solely those of the individual author(s) and contributor(s) and not of MDPI and/or the editor(s). MDPI and/or the editor(s) disclaim responsibility for any injury to people or property resulting from any ideas, methods, instructions or products referred to in the content. |
© 2025 by the authors. Licensee MDPI, Basel, Switzerland. This article is an open access article distributed under the terms and conditions of the Creative Commons Attribution (CC BY) license (https://creativecommons.org/licenses/by/4.0/).
Share and Cite
Ji, C.; Mansour, A.; Chen, Y.; Wu, Z.; Wagreich, M. Cyclic Changes in Sea Level and Sequence Stratigraphy During the Latest Pliensbachian–Early Toarcian (Early Jurassic) in the Southern Qiangtang Basin (Eastern Tethys): Geochemical and Mineralogical Perspectives. Minerals 2025, 15, 440. https://doi.org/10.3390/min15050440
Ji C, Mansour A, Chen Y, Wu Z, Wagreich M. Cyclic Changes in Sea Level and Sequence Stratigraphy During the Latest Pliensbachian–Early Toarcian (Early Jurassic) in the Southern Qiangtang Basin (Eastern Tethys): Geochemical and Mineralogical Perspectives. Minerals. 2025; 15(5):440. https://doi.org/10.3390/min15050440
Chicago/Turabian StyleJi, Changjun, Ahmed Mansour, Yun Chen, Zhenhan Wu, and Michael Wagreich. 2025. "Cyclic Changes in Sea Level and Sequence Stratigraphy During the Latest Pliensbachian–Early Toarcian (Early Jurassic) in the Southern Qiangtang Basin (Eastern Tethys): Geochemical and Mineralogical Perspectives" Minerals 15, no. 5: 440. https://doi.org/10.3390/min15050440
APA StyleJi, C., Mansour, A., Chen, Y., Wu, Z., & Wagreich, M. (2025). Cyclic Changes in Sea Level and Sequence Stratigraphy During the Latest Pliensbachian–Early Toarcian (Early Jurassic) in the Southern Qiangtang Basin (Eastern Tethys): Geochemical and Mineralogical Perspectives. Minerals, 15(5), 440. https://doi.org/10.3390/min15050440

