Reservoir Characterization and Genetic Analysis Based on Shale Lithofacies Classification: A Case Study of the Paleogene Shahejie Formation, East China
Abstract
1. Introduction
2. Geological Setting
3. Data Collection and Methodology
3.1. Core Observation
3.2. X-Ray Diffraction (XRD)
3.3. Three-Dimensional Micro-CT Scanning (Micro-CT)
3.4. Low-Pressure Nitrogen Adsorption
3.5. High Pressure Mercury Intrusion Test
4. Results
4.1. Reservoir Physical Properties
4.2. Lithofacies Classification Results
4.2.1. XRD Analysis Results
4.2.2. Lithofacies Classification
- (1)
- Combined shale and lenticular crystal limestone lithofacies (C1).
- (2)
- Combination of continuous parallel planar calcareous claystone and uncontinuous laminate mudstone lithofacies (C2)
- (3)
- Combination of continuous parallel planar calcareous claystone and laminate micrite lithofacies (C3)
4.2.3. Three-Dimensional Micro CT Scanning (Micro-CT)
4.3. Pore Types
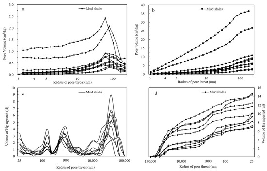
4.4. Pore Throat Distribution Characteristics
4.4.1. Results of Low-Pressure Nitrogen Adsorption
4.4.2. Results of High-Pressure Mercury Intrusion Experiment
5. Discussion
5.1. Differences in Physical Properties of Different Lithofacies
5.2. Reservoir Pore Characteristics and Genesis Under the Lithofacies Constraints
5.3. Genesis of High-Quality Shale Oil Reservoirs
6. Conclusions
- The physical properties of the combined lithofacies (C1, C2, and C3) were superior to those of other lithofacies, with C1 exhibiting the most favorable physical properties. The high porosity, permeability, and TOC of these lithofacies provide optimal conditions for shale oil enrichment. These three combined lithofacies consist of interlayers of shale/claystone and other highly brittle mineral layers.
- In this study, reservoir pores were classified into four categories: (i) micropores (<50 nm), predominantly associated with pyrite aggregates and clay mineral aggregates; (ii) small pores (50–500 nm), mainly comprising calcite intergranular pores and intergranular micropores; (iii) mesopores (500–5000 nm), dominated by intergranular macropores and diagenetic microfractures; and (iv) macropores (>5000 nm), consisting primarily of structural microcracks and bedding microcracks. The primary lithofacies (C1, C2, C3) exhibited medium to large pore throats and fractures, the development of which was controlled by mineral composition. These features serve as crucial reservoir spaces and migration pathways for shale oil. SEM observations revealed the spatial distribution and connectivity of these pores, demonstrating that microfractures and intergranular pores play a significant role in both oil storage and flow.
- The formation of micrite (C2 and C3) was attributed primarily to favorable sedimentary conditions during the diagenetic stage. In contrast, C1 lithofacies formation was associated with overpressure, the formation of interlayer bedding, and the incomplete filling of grain calcite. The high-quality reservoir conditions in the combined lithofacies were the result of basic sedimentary lithofacies and diagenetic history.
Author Contributions
Funding
Data Availability Statement
Acknowledgments
Conflicts of Interest
References
- Jiao, F.; Zou, C.; Yang, Z. Geological Theory and Exploration & Development Practice of Hydrocarbon Accumulation Inside Continental Source Kitchens. Pet. Explor. Dev. 2020, 6, 1067–1078. [Google Scholar] [CrossRef]
- Zou, C.; Yang, Z.; Zhu, R.; Zhang, G.; Hou, L.; Wu, S.; Tao, S.; Yuan, X.; Dong, D.; Wang, Y. Progress in China’s Unconventional oil & Gas Exploration and Development and Theoretical Technology. Acta Geol. Sin. 2015, 89, 938–971. [Google Scholar] [CrossRef]
- Long, S.; Peng, Y.; Lu, J. Identification and Applications of Micro to Macroscale Shale Lithofacies. J. Nanosci. Nanotechnol. 2021, 21, 659–669. [Google Scholar] [CrossRef]
- Su, S.; Cheng, C.; Jiang, Z.; Shan, X.; Makeen, Y.M.; Gao, Z.; Zhu, R.; Lawal, M.; Ayinla, H.A. Microscopic pore structure and connectivity of lacustrine shale of the Shahejie Formation, Zhanhua Sag, Bohai Bay Basin. Geoenergy Sci. Eng. 2023, 226, 211800. [Google Scholar] [CrossRef]
- Yu, B. Particularity of shale gas reservoir and its evaluation. Earth Sci. Front. 2012, 19, 252–258. [Google Scholar]
- Zhang, P.; Lu, S.; Li, J.; Wang, J.; Zhang, J.; Chen, G.; Huang, H.; Zhi, Q.; Yin, Y. Microscopic characteristics of pore-fracture system in lacustrine shale from Dongying Sag, Bohai Bay Basin, China: Evidence from scanning electron microscopy. Mar. Pet. Geol. 2023, 150, 106156. [Google Scholar] [CrossRef]
- Lu, S.; Xue, H.; Wang, M.; Xiao, D.; Huang, W.; Li, J.; Xie, L.; Tian, S.; Wang, S.; Li, J.; et al. Several key issues and research trends in evaluation of shale oil. Acta Pet. Sin. 2016, 37, 1309–1322. [Google Scholar] [CrossRef]
- Saraji, S.; Piri, M. The representative sample size in shale oil rocks and nano-scale characterization of transport properties. Int. J. Coal Geol. 2015, 146, 42–54. [Google Scholar] [CrossRef]
- Song, M.; Liu, H.; Wang, Y.; Liu, Y. Enrichment rules and exploration practices of Paleogene shale oil in Jiyang Depression, Bohai Bay Basin, China. Pet. Explor. Dev. 2020, 47, 225–235. [Google Scholar] [CrossRef]
- Zou, C.; Ma, F.; Pan, S.; Zhang, X.; Wu, S.; Fu, G.; Wang, H.W.; Yang, Z. Formation and distribution of global shale oil potential and the developments of continental shale oil theory and technology in China. Earth Sci. Front. 2023, 30, 128–142. [Google Scholar] [CrossRef]
- Lai, J.; Wang, G.; Pang, X.; Fan, X.; Zhou, Z.; Si, Z.; Xie, W.; Qin, Z. Effect of Pore Structure on Reservoir Quality and Oiliness in Paleogene Dongying Formation Sandstones in Nanpu Sag, Bohai Bay Basin, Eastern China. Energy Fuels 2018, 32, 9220–9232. [Google Scholar] [CrossRef]
- Li, J.; Li, H.; Jiang, W.; Cai, M.; He, J.; Wang, Q.; Li, D. Shale pore characteristics and their impact on the gas-bearing properties of the Longmaxi Formation in the Luzhou area. Sci. Rep. 2024, 14, 16896. [Google Scholar] [CrossRef] [PubMed]
- Ning, F. The main control factors of shale oil enrichment in Jiyang depression. Acta Pet. Sin. 2015, 36, 905–914. [Google Scholar] [CrossRef]
- Wu, H.; Du, Z.; Ji, Y.; Cao, H.; Meng, L.; Liu, H.; Ma, J. Diagenetic controls on pore structure variations in fan deltaic sandstones of the Eocene Shahejie Formation, Bohai Bay Basin, China: Implications for reservoir quality and oiliness heterogeneities. Geol. J. 2023, 58, 3191–3219. [Google Scholar] [CrossRef]
- Lazar, O.R.; Bohacs, K.M.; Macquaker, J.H.S.; Schieber, J.; Demko, T.M. Capturing Key Attributes of Fine-Grained Sedimentary Rocks in Outcrops, Cores, and Thin Sections: Nomenclature and Description Guidelines. J. Sediment Res. 2015, 85, 230–246. [Google Scholar] [CrossRef]
- Liu, H.; Yu, B.; Xie, Z.; Han, S.; Shen, Z.; Bai, C. Characteristics and implications of micro-lithofacies in lacustrine-basin organic-rich shale: A case study of Jiyang depression in Bohai Bay Basin. Acta Pet. Sin. 2018, 39, 16. [Google Scholar]
- Bai, C. The Genesis of Laminar Carbonates from Jiyang Sub-Basin and Their Implicate for Shale Oil Accumulation. Ph.D. Thesis, China University of Geosciences (Beijing), Beijing, China, 2019. [Google Scholar]
- Zhan, X.; Yang, W.; Feng, Q.; Zhan, Z.; Wei, S.; Zhang, Y.; Kang, H.; Cheng, T.; Zhao, H.; Cai, W. Genetically linked litho- and organo-facies in meter-scale cycles of lacustrine deposits within the Permian Lucaogou Formation in the Bogda Mountains, Northwest China: Implications for paleoenvironment and organic matter origin. Geoenergy Sci. Eng. 2024, 240, 213087. [Google Scholar] [CrossRef]
- Wu, X.; Xu, H.; Zhou, H.; Wang, L.; Jiang, P.; Wu, H. Improving lithofacies prediction in lacustrine shale by combining deep learning and well log curve morphology in Sanzhao Sag, Songliao Basin, China. Comput. Geosci. 2024, 193, 105735. [Google Scholar] [CrossRef]
- Wang, L.; Li, X.; Chen, Y.N.; Guo, W.; Pei, X.; Luo, C.; Tian, C.; Zhang, J.; Qi, N.; He, W.; et al. Identification and Application of Favorable Lithofacies Associations in the Transitional Facies of the Permian Longtan Formation in Central and Southern Sichuan Basin. Minerals 2025, 15, 198. [Google Scholar] [CrossRef]
- Wang, L.; Liu, B.; Bai, L.; Ma, L.; Yu, Z.; Huo, Q.; Taylor, K.G. Differential mineral diagenetic evolution of lacustrine shale: Implications for CO2 storage. Int. J. Coal Geol. 2024, 295, 104629. [Google Scholar] [CrossRef]
- He, T.; Zhou, Y.; Li, Y.; Xie, H.; Shang, Y.; Chen, T.; Zhang, Z. Research on the microscopic pore-throat structure and reservoir quality of tight sandstone using fractal dimensions. Sci. Rep. 2024, 14, 22825. [Google Scholar] [CrossRef] [PubMed]
- Wan, J.; Yu, Z.; Yuan, Y.; Huang, W.; Dong, Z.; Rezaee, R. Lithofacies classification and reservoir property of lacustrine shale, the Cretaceous Qingshankou formation, Songliao basin, northeast China. Mar. Pet. Geol. 2025, 173, 107262. [Google Scholar] [CrossRef]
- Liu, Y.; Wei, J.; Lin, J.; Yang, Y.; Ma, W.; Li, J.; Zhao, P.; Zeng, Q.; Wu, J. Research on the Shale Reservoir Sensitivity by Using the Mineral Analysis Method. ACS Omega 2024, 9, 20196–20205. [Google Scholar] [CrossRef] [PubMed]
- Li, H.; Li, S.; Tang, D.; Li, X. Source reservoir configuration and geological geochemical control of coal and shale. Sci. Rep. 2025, 15, 5753. [Google Scholar] [CrossRef]
- Rao, Q.; He, Z.; Dong, T.; Wang, W.; Wang, X.; Rao, L.; Wang, T.; Huang, L. Pore and fracture characteristics and diagenetic evolution mechanisms of low-maturity lacustrine shales from the Paleogene Shahejie Formation in the Jiyang Depression, Bohai Bay Basin, Eastern China. Mar. Pet. Geol. 2024, 170, 107154. [Google Scholar] [CrossRef]
- Zhao, T.; Xu, S.; Hao, F. Differential adsorption of clay minerals: Implications for organic matter enrichment. Earth Sci. Rev. 2023, 246, 104598. [Google Scholar] [CrossRef]
- Iqbal, M.A.; Rezaee, R.; Smith, G.; Ekundayo, J.M. Shale lithofacies controls on porosity and pore structure: An example from Ordovician Goldwyer Formation, Canning Basin, Western Australia. J. Nat. Gas Sci. Eng. 2021, 89, 103888. [Google Scholar] [CrossRef]
- Qu, Y.; Ouyang, S.; Gao, J.; Shi, J.; Wu, Y.; Cheng, Y.; Zhou, Z.; Lyu, Z.; Sun, W.; Wu, H. Pore Space Characteristics and Migration Changes in Hydrocarbons in Shale Reservoir. Fractal Fract. 2024, 8, 588. [Google Scholar] [CrossRef]
- Wang, X.; Zhu, X.; Lai, J.; Lin, X.; Wang, X.; Du, Y.; Huang, C.; Zhu, Y. Paleoenvironmental reconstruction and organic matter accumulation of the paleogene shahejie oil shale in the Zhanhua Sag, Bohai Bay Basin, Eastern China. Pet. Sci. 2024, 21, 1552–1568. [Google Scholar] [CrossRef]
- Fan, X.; Lu, Y.; Liu, Z.; Lu, Y.; Zhang, J.; Deng, K.; Zhou, T.; Tai, H.; Li, L. Lacustrine shale lithofacies and depositional environment in the paleocene second member of the funing formation, Subei basin, China: Insights into shale oil development prospects. Mar. Pet. Geol. 2024, 164, 106849. [Google Scholar] [CrossRef]
- Wang, L.; Golfier, F.; Tinet, A.J.; Chen, W.; Vuik, C. An efficient adaptive implicit scheme with equivalent continuum approach for two-phase flow in fractured vuggy porous media. Adv. Water Resour. 2022, 163, 104186. [Google Scholar] [CrossRef]
- Zhang, J.; Lin, L.; Li, Y.; Tang, X.; Zhu, L.; Xing, Y.; Jiang, S.; Jing, T.; Yang, S. Classification and evaluation of shale oil. Earth Sci. Front. 2012, 19, 322–331. [Google Scholar]
- Ji, Y. Petroleum Reservoir Geology; China University of Petroleum Press: Dongying, China, 2016. [Google Scholar]
- Nie, H.; Zhang, P.; Bian, R.; Wu, X.; Zhai, C. Characteristics of continental shale oil enrichment in China. Earth Sci. Front. 2016, 23, 55–62. [Google Scholar] [CrossRef]
- Song, G.; Xu, X.; Li, Z.; Wang, X. Factors controlling oil production from Paleogene shale in Jiyang depression. Oil Gas Geol. 2015, 36, 463–471. [Google Scholar] [CrossRef]
- Bai, C.; Yu, B.; Liu, H.; Xie, Z.; Han, S.; Zhang, L.; Ye, R.; Ge, J. The genesis and evolution of carbonate minerals in shale oil formations from Dongying depression, Bohai Bay Basin, China. Int. J. Coal Geol. 2018, 189, 8–26. [Google Scholar] [CrossRef]
- Li, B.; Pang, X.; Dong, Y.; Peng, J.; Gao, P.; Wu, H.; Huang, C.; Shao, X. Lithofacies and pore characterization in an argillaceous-siliceous-calcareous shale system: A case study of the Shahejie Formation in Nanpu Sag, Bohai Bay Basin, China. J. Pet. Sci. Eng. 2019, 173, 804–819. [Google Scholar] [CrossRef]
- Wang, H.; Yang, R.; Zhang, F.; Zhang, B. Research status and trends in the characterization of organic matter rich shale lithology. Geol. Sci. Technol. Inf. 2018, 37, 141–148. [Google Scholar] [CrossRef]
- Wang, W.; Liu, H.; Li, J. Paleogene shale fabric and typical lithofacies reservoir characteristics in Dongying Sag. Pet. Geol. Recovery Effic. 2024, 31, 1–16. [Google Scholar] [CrossRef]
- Wang, Y.; Zhao, X.; Gao, B. Characteristics of Structural Evolution in Jiyang Depression. J. Chengdu Univ. Technol. 2002, 29, 181–187. [Google Scholar]
- Wang, M.; Ma, R.; Li, J.; Lu, S.; Li, C.; Guo, Z.; Li, Z. Occurrence mechanism of lacustrine shale oil in the Paleogene Shahejie Formation of Jiyang Depression, Bohai Bay Basin, China. Pet. Explor. Dev. 2019, 46, 789–802. [Google Scholar] [CrossRef]
- Guo, X.; He, S.; Liu, K.; Song, G.; Wang, X.; Shi, Z. Oil generation as the dominant overpressure mechanism in the Cenozoic Dongying depression, Bohai Bay Basin, China. Am. Assoc. Pet. Geol. Bull. 2010, 12, 1859–1881. [Google Scholar] [CrossRef]
- Wang, M.; Chen, Y.; Bain, W.M.; Song, G.; Liu, K.; Zhou, Z.; Steele-MacInnis, M. Direct evidence for fluid overpressure during hydrocarbon generation and expulsion from organic-rich shales. Geology 2020, 48, 374–378. [Google Scholar] [CrossRef]
- Wei, W.; Lu, Y.; Ma, Y.; Zhang, J.; Song, H.; Chen, L.; Liu, H.; Zhang, S. Nitrogen isotopes as paleoenvironmental proxies in marginal-marine shales, Bohai Bay Basin, NE China. Sediment Geol. 2021, 421, 105963. [Google Scholar] [CrossRef]
- Zhang, S.; Liu, H.; Song, G.; Wang, Y.; Chen, S.; Zhang, S. Genesis and Control factors of Shale Oil Reserving Space in Dongying Depression. Acta Pet. Sin. 2016, 37, 1495–1507, 1527. [Google Scholar] [CrossRef]
- Liu, C.; Xia, B. Relationship between cenozoic tectonic evolution and play in Jiyang depression. Nat. Gas Geosci. 2007, 18, 209–214. [Google Scholar] [CrossRef]
- Wu, M.; Yuan, S. Geological Research and Exploration Practice in Shengli Oil Region; Petroleum University Press: Dongying, China, 1992. [Google Scholar]
- Zhao, Z. Principle of Adsorption Application; Chemical Industry Press: Beijing, China, 2005. [Google Scholar]
- Sun, M. Characteristics of Pore Structure and Its Constrainson Gas Accumulation and Migration in Marine Shaleof South China; China University of Geosciences (Beijing): Beijing, China, 2017. [Google Scholar]
- Cao, Y.; Jin, Z.; Zhu, R.; Liu, K. Pore systems and their correlation with oil enrichment in various lithofacies of saline lacustrine shale strata. Int. J. Coal Geol. 2024, 282, 104444. [Google Scholar] [CrossRef]
- SY/T 5336-2006; Petroleum and Natural Gas Industry Standards of the People’s Republic of China: Core Sampling and Analysis Methods. National Energy Administration: Beijing, China, 2006.
- SY/T 5346-2005; Petroleum and Natural Gas Industry Standards of the People’s Republic of China: Methods for Measurement of Rock Permeability under Overburden Pressure. National Energy Administration: Beijing, China, 2005.
- Peng, J.; Zeng, Y.; Yang, Y.; Yu, L.; Xu, T. Discussion on classification and naming scheme of fine-grained sedimentary rocks. Pet. Explor. Dev. 2022, 49, 106–115. [Google Scholar] [CrossRef]
- Zhu, X. Sedimentary Petrology; Petroleum Industry Press: Beijing, China, 2008. [Google Scholar]
- Loucks, R.G.; Ruppel, S.C. Mississippian Barnett Shale: Lithofacies and depositional setting of a deep-water shale-gas succession in the Fort Worth Basin, Texas. Am. Assoc. Pet. Geol. Bull. 2007, 91, 579–601. [Google Scholar] [CrossRef]
- Jiao, K.; Yao, S.; Liu, C.; Gao, Y.; Wu, H.; Li, M.; Tang, Z. The characterization and quantitative analysis of nanopores in unconventional gas reservoirs utilizing FESEM–FIB and image processing: An example from the lower Silurian Longmaxi Shale, upper Yangtze region, China. Int. J. Coal Geol. 2014, 128–129, 1–11. [Google Scholar] [CrossRef]
- Loucks, R.G.; Reed, R.M.; Ruppel, S.C.; Hammes, U. Spectrum of pore types and networks in mudrocks and a descriptive classification for matrix-related mudrock pores. Am. Assoc. Pet. Geol. Bull. 2012, 96, 1071–1098. [Google Scholar] [CrossRef]
- Lu, S.; Li, J.; Zhang, P.; Xue, H.; Wang, G.; Zhang, J.; Liu, H.; Li, Z. Classification of microscopic pore-throats and the grading evaluation on shale oil reservoirs. Pet. Explor. Dev. 2018, 45, 436–444. [Google Scholar] [CrossRef]
- Slatt, R.M.; O’Brien, N.R. Pore types in the Barnett and Woodford gas shales: Contribution to understanding gas storage and migration pathways in fine-grained rocks. Am. Assoc. Pet. Geol. Bull. 2011, 95, 2017–2030. [Google Scholar] [CrossRef]
- Jiang, Z.; Zhang, W.; Liang, C.; Wang, Y.; Liu, H.; Chen, X. Characteristics and evaluation elements of shale oil reservoirs. Acta Pet. Sin. 2014, 35, 184–196. [Google Scholar]
- Lu, S.; Zhang, M. Oil and Gas Geochemistry; Petroleum Industry Press: Beijing, China, 2017. [Google Scholar]
- Liu, L.; Min, L.; Sun, Z.; Pei, L.; Gu, H. Pore structure and percolation characteristics in shale oil reservoir of Jiyang Depression. Pet. Geol. Recovery Effic. 2021, 28, 106–114. [Google Scholar] [CrossRef]
- Wang, R.; Hu, Z.H.; Dong, L.; Gao, B.; Sun, C.; Yang, T.; Wang, G.; Yin, S. Advancement and trends of shale gas reservoir characterization and evaluation. Oil Gas J. 2021, 42, 54–65. [Google Scholar] [CrossRef]
- Suess, E. Interaction of organic compounds with calcium carbonate-II. Organo-carbonate association in Recent sediments. Geochim. Cosmochim. Acta 1973, 37, 2435–2447. [Google Scholar] [CrossRef]
- Zhao, W.; Zhu, R.; Hu, S.; Hou, L.; Wu, S. Accumulation contribution differences between lacustrine organic-rich shales and mudstones and their significance in shale oil evaluation. Pet. Explor. Dev. 2020, 47, 1079–1089. [Google Scholar] [CrossRef]
- Liu, L.; Zhu, N. Pollen-based Reconstructions of the Ek1 and the Lower Part of Es4 of the Paleogene Vegetation and Climatic Characteristics in Dongying Depression. Sustain. Dev. Nat. Resour. 2013, 616–618 Pt 1–3, 1557–1560. [Google Scholar] [CrossRef]
- Zolitschka, B.; Negendank, J.F.W. High-resolution records from European Lakes. Quat. Sci. Rev. 1999, 18, 885–888. [Google Scholar] [CrossRef]
- Zhang, S.; Liu, H.; Wang, M.; Fu, A.; Bao, Y.; Wang, W.; Teng, J.; Fang, Z. Pore evolution of shale oil reservoirs in Dongying sag. Acta Pet. Sin. 2018, 39, 754–766. [Google Scholar] [CrossRef]
- Zhang, S.; Liu, H.; Wang, Y.; Zhang, S.; Zhang, K.; Wang, M.; Wang, Y.; Fu, A.; Bao, Y. Diagenetic event of Paleogene shale and its influence on development characteristics of shale pore space in Dongying Sag. Pet. Geol. Recovery Effic. 2019, 26, 109–118. [Google Scholar] [CrossRef]












| Sample | Well | Depth | Member | Lithofacies |
|---|---|---|---|---|
| 1 | L69 | 3136.05 | Es4 | L2 |
| 2 | L69 | 3041.55 | Es3 | L2 |
| 3 | L67 | 3140.5 | Es4 | C3 |
| 4 | G110 | 2453.4 | Es4 | C3 |
| 5 | L69 | 3066.6 | Es3 | C3 |
| 6 | L69 | 3081.65 | Es3 | C3 |
| 7 | W31 | 2492.4 | Es3 | C3 |
| 8 | N55-X1 | 3338.5 | Es3 | C2 |
| 9 | G110 | 2454 | Es4 | C2 |
| 10 | N55-X1 | 3509.55 | Es4 | C2 |
| 11 | FY1 | 3418.35 | Es4 | C1 |
| 12 | L69 | 3026.25 | Es3 | C1 |
| 13 | L69 | 3062.2 | Es3 | C1 |
| 14 | N55-X1 | 3581.8 | Es4 | C1 |
| 15 | GX27 | 2317.29 | Es4 | C1 |
| Sample | Depth (m) | Location | Mineral (%) | ||||||||
|---|---|---|---|---|---|---|---|---|---|---|---|
| Felsic | Carbonate Minerals | Pyrite | Gypsum | Clay Minerals | |||||||
| Quartz | Feldspar | Plagioclase | Calcite | Dolomite | Aragonite | ||||||
| L67-1-23a | 3140.50 | 1 | 9.9 | 60.4 | 7.0 | 4.1 | 18.6 | ||||
| L67-1-23b | 3140.50 | 2 | 11.1 | 56.4 | 11.2 | 3.9 | 0.3 | 17.1 | |||
| L67-1-24a | 3146.26 | 1 | 8.8 | 61.5 | 9.5 | 4.2 | 16.0 | ||||
| L67-1-24b | 3146.26 | 2 | 10.0 | 61.2 | 8.7 | 4.1 | 16.0 | ||||
| L67-1-25a | 3158.85 | 1 | 10.2 | 62.6 | 8.0 | 3.4 | 15.8 | ||||
| L67-1-25b | 3158.85 | 2 | 11.3 | 61.1 | 7.8 | 3.4 | 16.4 | ||||
| L67-1-46a | 3159.76 | 1 | 9.3 | 63.9 | / | 2.6 | 24.2 | ||||
| L67-1-46b | 3133.36 | 2 | 20.7 | 11.4 | 14.7 | 6.4 | 46.8 | ||||
| L67-1-37 | 3060.60 | 13.9 | 43.8 | 13.6 | 3.4 | 1 | 24.3 | ||||
| L67-1-47 | 3060.60 | 9.7 | 69.2 | 4.8 | 16.3 | ||||||
| L69-1-27a | 3081.65 | 1 | 7.4 | 68.1 | 9.5 | 3.0 | 12.0 | ||||
| L69-1-27b | 3081.65 | 2 | 9.6 | 61.4 | 7.8 | 3.9 | 17.3 | ||||
| L69-1-30a | 3096.95 | 1 | 7.0 | 68.5 | 10.4 | 2.7 | 11.4 | ||||
| L69-1-30b | 2911.15 | 2 | 8.4 | 62.3 | 8.9 | 3.2 | 17.2 | ||||
| L69-1-31 | 2948.35 | 5.7 | 71.5 | 6.9 | 2.8 | 13.1 | |||||
| L69-1-39 | 3061.70 | 15.0 | 2.9 | 37.2 | 6.4 | 4.0 | 34.5 | ||||
| L69-1-40 | 3061.70 | 12.3 | 34.4 | 5.3 | 3.2 | 44.8 | |||||
| L69-1-44a | 3041.55 | 1 | 10.7 | 60.7 | 6.0 | 4.2 | 18.4 | ||||
| L69-1-44b | 3041.55 | 2 | 18.3 | 2 | 23.2 | 9.5 | 5.8 | 41.2 | |||
| L69-1-48 | 3057.30 | 9.6 | 66.4 | 5.3 | 18.7 | ||||||
| L69-1-49 | 3058.70 | 7.8 | 71.9 | 3.4 | 16.9 | ||||||
| L69-1-50 | 3062.00 | 9.1 | 75.5 | 2.0 | 13.4 | ||||||
| L69-1-51 | 3061.00 | 6.6 | 77.4 | 2.6 | 13.4 | ||||||
| L69-1-52 | 3078.00 | 5.7 | 73.6 | 5.0 | 15.7 | ||||||
| L69-1-53 | 3048.70 | 7.8 | 67.8 | 3.6 | 5.0 | 15.8 | |||||
| L69-1-53 | 3048.70 | 13.9 | 19.2 | 16.2 | 6.1 | 44.6 | |||||
| G110-1-10 | 2444.20 | 8.8 | 47.5 | 25.8 | 1.7 | 16.2 | |||||
| G110-1-12a | 2446.50 | 1 | 9.7 | 54.9 | 8.2 | 2.7 | 24.5 | ||||
| G110-1-12b | 2446.50 | 2 | 9.5 | 48.6 | 8.7 | 7.9 | 25.3 | ||||
| G110-1-13 | 2447.20 | 7.8 | 2.1 | 1.6 | 63.7 | 8.9 | 15.9 | ||||
| G110-1-14 | 2452.20 | 5.8 | 64.8 | 15.0 | 2.0 | 12.4 | |||||
| G110-1-15a | 2452.50 | 1 | 14.8 | 7.4 | 44.2 | 12.8 | 20.8 | ||||
| G110-1-15b | 2452.50 | 2 | 15.8 | 5.3 | 5.4 | 20.0 | 4.8 | 48.7 | |||
| G110-1-16 | 2453.40 | 8.4 | 62.1 | 13.1 | 16.4 | ||||||
| G110-1-33 | 2444.80 | 18.2 | 4.6 | 7.6 | 11.5 | 6.4 | 51.7 | ||||
| G110-1-34 | 2447.85 | 11.5 | 3.3 | 35.8 | 11.6 | 5.4 | 32.4 | ||||
| G110-1-35 | 2449.80 | 10.5 | 3.1 | 36.5 | 14.9 | 3.8 | 31.2 | ||||
| Name | Min | 25% | Mean | Median | 75% | Max |
|---|---|---|---|---|---|---|
| Porosity (n = 342, %) | 1.20 | 4.00 | 5.45 | 5.10 | 6.50 | 15.20 |
| Permeability (n = 316, md) | 0.01 | 0.22 | 5.26 | 0.73 | 3.07 | 153.00 |
| TOC (n = 468) | 0.26 | 2.04 | 3.03 | 2.53 | 3.50 | 11.83 |
| Category | Number | Lithofacies [17] | Lithofacies Code [17] | Lithofacies | Lithofacies Code (This Paper) | Description | Sedimentary Environment |
|---|---|---|---|---|---|---|---|
| Lithofacies combination | 1 | Thin, lens-shaped grain limestone | LF1 | Combination lithofacies of shale and lenticular crystal limestone | C1 | Shale and carbonate minerals are interbedded, and carbonate mineral crystals are thick, bright, and distributed in a thin, lens-like or slightly thin, long, lens-like pattern | deep lake |
| 2 | Laminated mudstone limestone | LF2 | Combination lithofacies of continuous parallel planar calcareous mudstone and uncontinuous laminate mudstone | C2 | Carbonate mineral crystals are small and composed mainly of mud crystals, with continuous distribution of laminates | semideep lake environment | |
| 3 | Combination lithofacies of continuous parallel planar calcareous mudstone and continuous laminate mudstone | C3 | Compared with C2, continuous layered structures have developed | semideep lake environment | |||
| Argillaceous limestone | 4 | Continuous parallel planar argillaceous limestone | L1 | Compared with L2, there are differences in composition | shallow lake | ||
| Calcareous mudstone | 5 | Thick, block-shaped calcareous mudstone | LF3 | Continuous parallel planar calcareous mudstone | L2 | Gray mudstone with continuous distribution of laminates | deep lake |
| Mudstone | 6 | Block-shaped calcareous mudstone | LF4 | Continuous parallel planar argillaceous rock | L3 | Compared with L4, continuous layered structures have developed | deep lake |
| 7 | Massive argillaceous rock | L4 | Massive mudstone, composed mainly of clay minerals | deep lake | |||
| Shale | 8 | Shale | LF5 | Shale | L5 | The color is mostly dark and has a good page structure formed by the directional arrangement of clay minerals | deep lake |
| Well | Depth | Lithofacies | Sample | Maximum Pore Throat Radius (nm) | Average Pore Throat Radius (nm) | Surface Area, m2/g | Pore Volume (Cumulative), cm3/kg |
|---|---|---|---|---|---|---|---|
| G17-X10 | 3224.4 | L4 | 1 | 180.8 | 2.971 | 27.206 | 27 |
| G17-11 | 3275.85 | L4 | 2 | 181.0 | 3.149 | 41.615 | 37 |
| G17-11 | 3168.60 | L3 | 3 | 209.4 | 2.975 | 6.752 | 11 |
| G17-11 | 3282.70 | L3 | 4 | 264.9 | 3.146 | 3.142 | 9 |
| G17-X10 | 3152.50 | L2 | 5 | 216.5 | 3.140 | 3.381 | 7 |
| G17-11 | 3166.00 | L2 | 6 | 197.6 | 2.976 | 3.017 | 6 |
| G17-X10 | 3168.70 | C3 | 7 | 186.7 | 3.136 | 2.664 | 6 |
| G17-X10 | 3221.34 | C3 | 8 | 182.3 | 3.322 | 3.206 | 9 |
| G17-X10 | 3171.64 | C2 | 9 | 200.3 | 3.716 | 1.544 | 4 |
| G17-X10 | 3168.09 | C2 | 10 | 221.8 | 3.718 | 0.84 | 3 |
| G17-X10 | 3176.60 | C1 | 11 | 199.7 | 2.976 | 0.859 | 3 |
| G17-X10 | 3203.25 | C1 | 12 | 227.6 | 3.148 | 2.473 | 0.006 |
| Well | Sample | Depth (m) | Lithofacies | Member | Porosity (%) | Average Porosity (%) | Maximum Mercury Saturation (%) | Pore Volume (Cumulative) (μL) | Average Pore Throat Radius (nm) |
|---|---|---|---|---|---|---|---|---|---|
| FY1 | 1 | 3201.49 | C1 | Es3 | 4.17 | 4.35 | 35.01 | 14.60 | 18,500 |
| FY1 | 2 | 3180.34 | C1 | Es3 | 4.53 | 29.61 | 14.32 | 19,250 | |
| FY1 | 3 | 3267.51 | C3 | Es4 | 3.24 | 3.38 | 34.85 | 11.29 | 29,030 |
| FY1 | 4 | 3090.74 | C3 | Es3 | 3.52 | 35.53 | 12.50 | 19,920 | |
| FY1 | 5 | 3135.06 | C2 | Es3 | 3.18 | 3.31 | 36.93 | 11.71 | 21,710 |
| FY1 | 6 | 3257.37 | C2 | Es4 | 3.45 | 28.79 | 10.35 | 19,120 | |
| FY1 | 7 | 3120.85 | L2 | Es3 | 2.44 | 2.75 | 27.99 | 6.83 | 17,330 |
| FY1 | 8 | 3098.26 | L2 | Es3 | 3.06 | 24.66 | 7.52 | 20,610 | |
| FY1 | 9 | 3367.33 | L3 | Es4 | 3.19 | 3.03 | 29.23 | 9.32 | 6784 |
| FY1 | 10 | 3376.44 | L3 | Es4 | 2.88 | 18.58 | 7.17 | 5399 |
Disclaimer/Publisher’s Note: The statements, opinions and data contained in all publications are solely those of the individual author(s) and contributor(s) and not of MDPI and/or the editor(s). MDPI and/or the editor(s) disclaim responsibility for any injury to people or property resulting from any ideas, methods, instructions or products referred to in the content. |
© 2025 by the authors. Licensee MDPI, Basel, Switzerland. This article is an open access article distributed under the terms and conditions of the Creative Commons Attribution (CC BY) license (https://creativecommons.org/licenses/by/4.0/).
Share and Cite
Fu, Y.; Ruan, Z.; Yu, B.; Hou, G.; Bai, C.; Chang, Q. Reservoir Characterization and Genetic Analysis Based on Shale Lithofacies Classification: A Case Study of the Paleogene Shahejie Formation, East China. Minerals 2025, 15, 406. https://doi.org/10.3390/min15040406
Fu Y, Ruan Z, Yu B, Hou G, Bai C, Chang Q. Reservoir Characterization and Genetic Analysis Based on Shale Lithofacies Classification: A Case Study of the Paleogene Shahejie Formation, East China. Minerals. 2025; 15(4):406. https://doi.org/10.3390/min15040406
Chicago/Turabian StyleFu, Yanli, Zhuang Ruan, Bingsong Yu, Gaofeng Hou, Chenyang Bai, and Qiuhong Chang. 2025. "Reservoir Characterization and Genetic Analysis Based on Shale Lithofacies Classification: A Case Study of the Paleogene Shahejie Formation, East China" Minerals 15, no. 4: 406. https://doi.org/10.3390/min15040406
APA StyleFu, Y., Ruan, Z., Yu, B., Hou, G., Bai, C., & Chang, Q. (2025). Reservoir Characterization and Genetic Analysis Based on Shale Lithofacies Classification: A Case Study of the Paleogene Shahejie Formation, East China. Minerals, 15(4), 406. https://doi.org/10.3390/min15040406

