Leaching Process of Weathered Crust Elution-Deposited Rare Earth Ore by Alkaline Earth Metal Carboxylate
Abstract
1. Introduction
2. Materials and Methods
2.1. Materials
2.1.1. Main Chemical Composition of Weathered Crust Elution-Deposited Rare Earth Ore
2.1.2. Mineral Composition of Weathered Crust Elution-Deposited Rare Earth Ore
2.1.3. Partitioning of the Ion-Exchangeable Rare Earth in Weathered Crust Elution-Deposited Rare Earth Ore
2.2. Experimental Method
2.2.1. Leaching Experiment
2.2.2. Zeta Potentiometry
2.3. Experimental Principle
3. Results and Discussion
3.1. Effect of Alkaline Earth Metal Carboxylate on the Leaching Process of Rare Earths in Weathered Crust Elution-Deposited Rare Earth Ore
3.1.1. Effect of Leaching Agent Concentration on the Leaching Effect of Rare Earths
3.1.2. Effect of Alkaline Earth Metal Carboxylate Concentration on Leaching Efficiency of Light, Medium and Heavy Rare Earth
3.1.3. Effect of Leaching Agent pH on the Leaching Effect of Rare Earths
3.1.4. Effect of Leaching Temperature on the Leaching Effect of Rare Earths
3.2. Effect of Alkaline Earth Metal Carboxylate on the Leaching Process of Impurity Aluminum in Weathered Crust Elution-Deposited Rare Earth Ore
3.2.1. Effect of Leaching Agent Concentration on Leaching of Impurity Aluminum
3.2.2. Effect of Leaching Agent pH on Leaching of Impurity Aluminum
3.2.3. Effect of Leaching Temperature on Leaching of Impurity Aluminum
3.3. Leaching Mechanism of Rare Earth Minerals by Alkaline Earth Metal Carboxylate
3.3.1. Leaching Mechanism of Weathered Crust Elution-Deposited Rare Earth Ore—Double Electric Layer Model
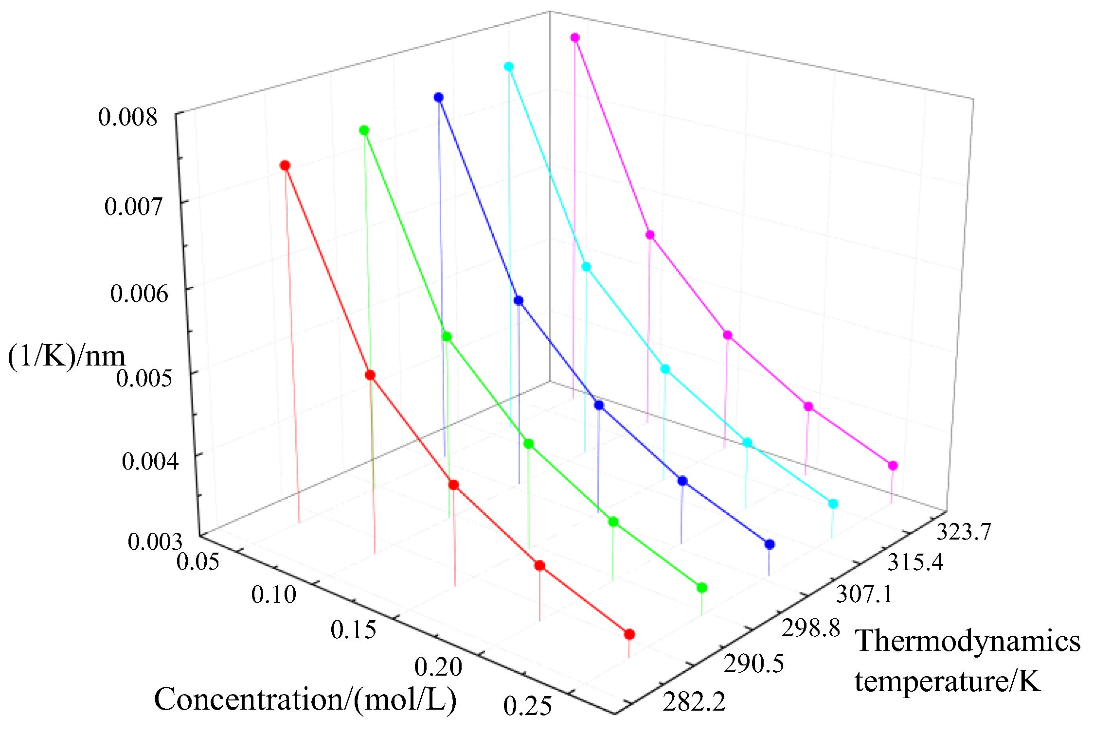
3.3.2. The Relationship Between Rare Earth Leaching Rate and Zeta Potential Under Different Leaching Agent Concentration
3.3.3. The Relationship Between Rare Earth Leaching Rate and Zeta Potential Under Different Leaching Agent Solution pH
4. Conclusions
Author Contributions
Funding
Data Availability Statement
Acknowledgments
Conflicts of Interest
References
- Zhang, Z.Y.; He, Z.Y.; Xu, Z.G.; Yu, J.X.; Zhang, Y.F.; Chi, R.A. Rare earth partitioning characteristics of China rare earth ore. Chin. Rare Earths 2016, 37, 121–127. [Google Scholar]
- Chi, R.A.; Wang, D.Z. Rare Earth Mineral Processing; Science Press: Beijing, China, 2014. [Google Scholar]
- Tian, J.; Yin, J.Q.; Chen, K.H.; Rao, G.H.; Jiang, M.T.; Chi, R.A. Optimisation of mass transfer in column elution of rare earths from low grade weathered crust elution-deposited rare earth ore. Hydrometallurgy 2010, 103, 211–214. [Google Scholar]
- Li, Y.X.; Zhou, X.M.; Liu, Y.Z.; Li, D.P.; Li, J.; Tang, Q. Development of high efficiency extraction and separation technologies of rare earths from ion-adsorbed type deposit. J. Chin. Soc. Rare Earths 2012, 30, 257–264. [Google Scholar]
- Yang, L.F.; Li, C.C.; Wang, D.S.; Li, F.Y.; Liu, Y.Z.; Zhou, X.Z.; Liu, M.B.; Wang, X.F.; Li, Y.X. Leaching ion adsorption rare earth by aluminum sulfate for increasing efficiency and lowering the environmental impact. J. Rare Earths 2019, 37, 429–436. [Google Scholar] [CrossRef]
- Wang, L.; Lan, Q.F.; Li, L.; Yang, Y.M.; Liao, C.F. Research status on leach chemistry of ion-adsorption type rare earth ore. Chin. Rare Earths 2018, 39, 135–143. [Google Scholar]
- Zhang, T.T.; Zhang, Z.Y.; Xu, Z.G.; Li, Q.; Chi, R.A. Study of leaching of rare earth from weathered crust elution deposited rare earth ores with mixed ammonium salt. Nonferrous Met. (Extr. Met.) 2014, 61, 30. [Google Scholar]
- Xiao, Y.F.; Chen, Y.Y.; Feng, Z.Y.; Huang, X.W.; Huang, L.; Long, Z.Q.; Cui, D.L. Leaching characteristics of ion-adsorption type rare earths ore with magnesium sulfate. Trans. Nonferrous Met. Soc. China 2015, 25, 3784–3790. [Google Scholar] [CrossRef]
- Xiao, Y.F.; Feng, Z.Y.; Huang, X.W.; Huang, L.; Chen, Y.Y.; Wang, L.S.; Long, Z.Q. Recovery of rare earths from weathered crust elution-deposited rare earth ore without ammonia-nitrogen pollution: I. leaching with magnesium sulfate. Hydrometallurgy 2015, 153, 58–65. [Google Scholar]
- Huang, X.W.; Long, Z.Q.; Li, H.W.; Ying, W.J.; Zhang, G.C.; Xue, X.X. Development of rare earth hydrometallurgy technology in China. J. Rare Earths 2005, 23, 1. [Google Scholar] [CrossRef]
- Zhang, Z.Y.; He, Z.Y.; Yu, J.X.; Xu, Z.G.; Chi, R.A. Novel solution injection technology for in-situ leaching of weathered crust elution-deposited rare earth ores. Hydrometallurgy 2016, 164, 248–256. [Google Scholar] [CrossRef]
- Li, Q.; He, Z.Y.; Zhang, Z.Y.; Zhang, T.T.; Zhong, C.B.; Chi, R.A. Studies on coordination leaching of weathered crust elution-deposited rare earth ore with citrate. Rare Earths 2015, 36, 18–22. [Google Scholar]
- Feng, J.; Wu, X.; Gao, Z.; Sun, W.; Zhou, F.; Chi, R. Leaching Behavior of Rare Earth Elements and Aluminum from Weathered Crust Elution-Deposited Rare Earth Ore with Ammonium Formate Inhibitor. Minerals 2023, 13, 1245. [Google Scholar] [CrossRef]
- Thoenen, T.; Berner, U.; Curti, E.; Hummel, W.; Pearson, F.J. Development and application of the Nagra/PSI chemical thermodynamic data base 01/01. Geol. Soc. Lond. Spec. Publ. 2004, 236, 561–577. [Google Scholar] [CrossRef]
- Chunhui, H. Rare Earth Coordination Chemistry; Science Press: Beijing, China, 1997. [Google Scholar]
- Xu, Z.; Li, G.; Yang, H.; Sha, A.; He, Z.; Tang, Y.; Wu, M.; Qu, J. Development Review on Leaching Technology and Leaching Agents of Weathered Crust Elution-Deposited Rare Earth Ores. Minerals 2023, 13, 1223. [Google Scholar] [CrossRef]
- Ran, X.C. Leaching Experimental Study for Ion-Adsorption Rare Earth Ore. Master’s Thesis, Wuhan University of Technology, Wuhan, China, 2018. [Google Scholar]
- Wang, L.; Wang, C.; Liao, C.F.; Yang, Y.M. Effect of ionic interaction on leaching behavior of ion-adsorption type rare earth ore. Rare Met. 2018, 42, 1002–1008. [Google Scholar]
- Lin, D.Y. Soil Science Experimental Practice Guide; China Forestry Publishing House: Beijing, China, 2004. [Google Scholar]
- Chi, R.A.; Wang, D.Z. Progress of ionic rare earth beneficiation process and technology. Hunan Nonferrous Met. 1990, 03, 29–34. [Google Scholar]
- Xi, G.Q. Study of ionic radius. J. Hainan Norm. Coll. (Nat. Sci. Ed.) 2001, 3, 68–75. [Google Scholar]
- Dean, J.A. Langley Handbook of Chemistry; Science Press: Beijing, China, 1991. [Google Scholar]
- Gao, X.; Ma, Y.; Zhou, F.; Zhang, Q.; Zhang, D.; Yu, J.; Chi, R. Promotion Mechanism of Ammonium Formate in Ammonium Salt Leaching Process for Weathered Crust Elution-Deposited Rare Earth Ores. Minerals 2023, 13, 1286. [Google Scholar] [CrossRef]
- Huang, S.; Feng, J.; Yu, J.; Wang, Y.; Liu, J.; Chi, R.; Hou, H. Adsorption and desorption performances of ammonium on the weathered crust elution-deposited rare earth ore. Colloids Surf. A 2021, 613, 126139. [Google Scholar] [CrossRef]
- He, Z.; Zhang, Z.; Yu, J.; Xu, Z.; Chi, R. Process optimization of rare earth and aluminum leaching from weathered crust elution-deposited rare earth ore with compound ammonium salts. J. Rare Earths 2016, 34, 413–419. [Google Scholar] [CrossRef]
- Li, J.; Wen, Y.; Chu, Y.; Liu, W.; Liu, J.; Wang, R.; Xu, Z. Separation of Rare Earth and Aluminum by Selective Complexation. Minerals 2022, 12, 743. [Google Scholar] [CrossRef]
- Zhu, D.; Qiu, T.; Zhong, J.; Zeng, Q.; Fang, X. Molecular dynamics simulation of aluminum inhibited leaching during ion-adsorbed type rare earth ore leaching process. J. Rare Earths 2019, 37, 1334–1340. [Google Scholar] [CrossRef]
- Wu, X.; Feng, J.; Zhou, F.; Liu, C.; Chi, R. Optimization of a Rare Earth and Aluminum Leaching Process from Weathered Crust Elution-Deposited Rare Earth Ore with Surfactant CTAB. Minerals 2024, 14, 321. [Google Scholar] [CrossRef]
- Zhang, J.; Wang, D.C.; Ding, H. Study on the sequence of washing out rare earths from ammonium acetate at ele-vated temperatures and the preparation of high purity yttrium oxide by separation. Rare Earths 1981, 03, 30–32. [Google Scholar]
- Xiao, Y.; Gao, G.; Huang, L.; Feng, Z.; Lai, F.; Long, Z. A discussion on the leaching process of the ion-adsorption type rare earth ore with the electrical double layer model. Min. Eng. 2018, 120, 35–43. [Google Scholar]
- Chen, W.D.; Zhang, Z.Y.; Chi, R.A. Assisted leaching process of weathered crust elution-deposited rare earth ore by ammonium carboxylate. Met. Mine 2020, 5, 191–196. [Google Scholar]
- Xu, R.K.; Zhao, A.Z.; Ji, G.L. Effect of low molecular weight organic anions on adsorption of potassium by variable charge soils. Commun. Soil Sci. Plant Anal. 2005, 36, 1029–1039. [Google Scholar] [CrossRef]
- Zhang, Y.; Chen, J.; Huang, X. Reducing rare earth loss by adding acetic acid in the aluminum removal process of rare earth leaching solution. J. Clean. Prod. 2024, 435, 140537. [Google Scholar] [CrossRef]
- Zhang, Z.Y.; Chi, R.A.; Chen, Z.; Chen, W.D. Effects of ion characteristics on the leaching of weathered crust elution-deposited rare earth ore. Front. Chem. 2020, 8, 605968. [Google Scholar] [CrossRef]













| Component | REO | SiO2 | Al2O3 | Fe2O3 | K2O | MgO | TiO2 | MnO | ZrO2 | PbO | Loss |
|---|---|---|---|---|---|---|---|---|---|---|---|
| Content/% | 0.13 | 47.12 | 34.84 | 3.42 | 3.19 | 0.30 | 0.35 | 0.10 | 0.03 | 0.02 | 10.50 |
| Component | La | Ce | Pr | Nd | Sm | Eu | Gd | Tb |
| Content/% | 26.84 | 1.69 | 3.37 | 23.89 | 5.25 | 0.68 | 4.39 | 0.64 |
| Component | Dy | Ho | Er | Tm | Yb | Lu | Y | |
| Content/% | 3.95 | 0.78 | 2.15 | 0.32 | 2.08 | 0.31 | 23.66 |
| Cationic Species | Ionic Radius/Å | Approximate Effective Ionic Radius in Aqueous Solution at 298 K/Å |
|---|---|---|
| Mg2+ | 0.72 | 8.00 |
| Ca2+ | 1.00 | 6.00 |
| NH4+ | 1.43 | 2.50 |
| Concentration of Leaching Agent/mol/L | LREEs/(ug/g) | MREEs + HREEs/(ug/g) | REEs/(ug/g) | R | K | |
|---|---|---|---|---|---|---|
| Calcium acetate | 0.05 | 569.90 | 393.74 | 963.64 | 0.69 | 40.86 |
| 0.10 | 623.15 | 440.28 | 1063.22 | 0.70 | 41.41 | |
| 0.15 | 662.00 | 470.29 | 1132.40 | 0.71 | 41.53 | |
| 0.20 | 675.86 | 484.93 | 1160.68 | 0.72 | 41.78 | |
| 0.25 | 660.31 | 481.03 | 1141.23 | 0.73 | 42.15 | |
| Magnesium acetate | 0.05 | 517.92 | 377.92 | 895.84 | 0.73 | 42.19 |
| 0.10 | 626.20 | 443.13 | 1069.34 | 0.71 | 41.44 | |
| 0.15 | 654.21 | 460.29 | 1114.49 | 0.70 | 41.30 | |
| 0.20 | 652.46 | 465.84 | 1118.30 | 0.71 | 41.66 | |
| 0.25 | 644.33 | 464.78 | 1109.11 | 0.72 | 41.91 | |
| Ammonium acetate | 0.20 | 711.13 | 487.07 | 1198.20 | 0.68 | 40.65 |
| Ammonium chloride | 0.20 | 779.93 | 468.02 | 1238.95 | 0.60 | 37.78 |
| log β1 | log β2 | log β3 | log β4 | Ks × 107 | ||
|---|---|---|---|---|---|---|
| Acetate ligand | RE | 1.60~1.90 | 2.80~3.00 | 3.30~3.70 | ~3.30 | 5.01∼7.94 × 104 |
| La (III) | 1.56 | 2.48 | 2.98 | ~2.95 | 9.33 × 102 | |
| Ce (III) | 1.68 | 2.69 | 3.13 | 3.18 | 4.79 × 103 | |
| Y (III) | 1.53 | 2.65 | 3.38 | ~3.30 | 7.24 × 103 | |
| La | 3.64 | 4.36 × 10−4 | ||||
| Sulfate ligand | Ce (III) | 3.40 | 2.51 × 10−4 | |||
| Pr | 3.62 | 4.17 × 10−4 | ||||
| Nd | 3.64 | 4.36 × 10−4 | ||||
| Sm | 3.66 | 4.57 × 10−4 | ||||
| Gd | 3.66 | 4.57 × 10−4 | ||||
| Ho | 3.58 | 3.80 × 10−4 | ||||
| Er | 3.58 | 3.80 × 10−4 | ||||
| Yb | 3.58 | 3.80 × 10−4 | ||||
| Y | 3.47 | 2.95 × 10−4 |
Disclaimer/Publisher’s Note: The statements, opinions and data contained in all publications are solely those of the individual author(s) and contributor(s) and not of MDPI and/or the editor(s). MDPI and/or the editor(s) disclaim responsibility for any injury to people or property resulting from any ideas, methods, instructions or products referred to in the content. |
© 2025 by the authors. Licensee MDPI, Basel, Switzerland. This article is an open access article distributed under the terms and conditions of the Creative Commons Attribution (CC BY) license (https://creativecommons.org/licenses/by/4.0/).
Share and Cite
Long, F.; Chi, R.; Li, D.; Zhang, Z. Leaching Process of Weathered Crust Elution-Deposited Rare Earth Ore by Alkaline Earth Metal Carboxylate. Minerals 2025, 15, 205. https://doi.org/10.3390/min15030205
Long F, Chi R, Li D, Zhang Z. Leaching Process of Weathered Crust Elution-Deposited Rare Earth Ore by Alkaline Earth Metal Carboxylate. Minerals. 2025; 15(3):205. https://doi.org/10.3390/min15030205
Chicago/Turabian StyleLong, Fei, Ruan Chi, Dan Li, and Zhenyue Zhang. 2025. "Leaching Process of Weathered Crust Elution-Deposited Rare Earth Ore by Alkaline Earth Metal Carboxylate" Minerals 15, no. 3: 205. https://doi.org/10.3390/min15030205
APA StyleLong, F., Chi, R., Li, D., & Zhang, Z. (2025). Leaching Process of Weathered Crust Elution-Deposited Rare Earth Ore by Alkaline Earth Metal Carboxylate. Minerals, 15(3), 205. https://doi.org/10.3390/min15030205
