Geochemical Characteristics, U-Pb Age, and Hf Isotope of Zircons from Muscovite Granite in Aotou Sn Deposit, Eastern Nanling Range, South China
Abstract
1. Introduction
2. Geological Background
3. Deposit Geology
4. Sampling and Methods
4.1. Sampling
4.2. Whole-Rock Major and Trace Element Analyses
4.3. Zircon LA–ICP–MS In Situ U–Pb Dating Method
4.4. In Situ Zircon Hf Isotope Analyses
5. Results
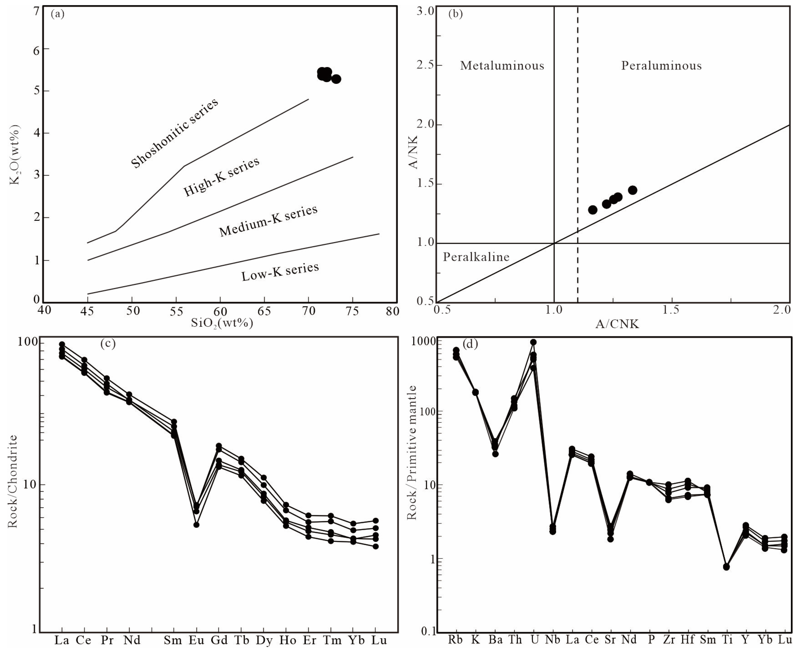
5.1. Whole-Rock Major and Trace Element Compositions
5.2. Zircon U–Pb Ages
5.3. Zircon Hf Isotopes
6. Discussion
6.1. Timing of Granite Emplacement in the Aotou Deposit
6.2. Origin of Magmatism
6.3. Geodynamic Setting of the Aotou Granite
7. Conclusions
- LA–ICP–MS zircon U–Pb dating of the Aotou concealed granite yields lower intercept ages of 238.7 ± 1.0 Ma and 225.4 ± 0.9 Ma, indicating that the pluton experienced two intrusive phases during the Indosinian period.
- The geochemical characteristics and Hf isotopes indicate that the Aotou granite was highly differentiated and derived from the late Paleoproterozoic lower crustal materials.
- The Jiulongnao W–Sn ore field experienced two intrusive stages during the Indosinian period, and the second-stage granites are closely related to Sn(–W) mineralization.
Author Contributions
Funding
Data Availability Statement
Acknowledgments
Conflicts of Interest
References
- Chen, J.; Wang, R.C.; Zhu, J.C.; Lu, J.J.; Ma, D.S. Multiple-aged granitoids and related tungsten-tin mineralization in the Nanling Range, South China. Sci. China (Earth Sci.) 2014, 56, 111–121, (In Chinese with English abstract). [Google Scholar] [CrossRef]
- Jiang, S.Y.; Zhao, K.D.; Jiang, H.; Su, H.M.; Xiong, S.F.; Xiong, Y.Q.; Xu, Y.M.; Zhang, W.; Zhu, L.Y. Spatiotemporal distribution, geological characteristics and metallogenic mechanism of tungsten and tin deposits in China: An overview. Chin. Sci. Bull. 2020, 65, 3730–3745, (In Chinese with English abstract). [Google Scholar]
- Wu, F.Y.; Guo, C.L.; Hu, F.Y.; Liu, X.C.; Zhao, J.X.; Li, X.F.; Qin, K.Z. Petrogenesis of the highly fractionated granites and their mineralizations in Nanling Rang, South China. Acta Petrol. Sin. 2021, 39, 1–36, (In Chinese with English abstract). [Google Scholar] [CrossRef] [PubMed]
- Mao, J.W.; Pirajno, F.; Cook, N. Mesozoic metallogeny in East China and corresponding geodynamic settings—An introduction to the special issue. Ore Geol. Rev. 2011, 43, 1–7. [Google Scholar] [CrossRef]
- Mao, J.W.; Cheng, Y.B.; Chen, M.H.; Pirajno, F. Major types and time-space distribution of Mesozoic ore deposits in South China and their geodynamic settings. Miner. Depos. 2013, 48, 267–294. [Google Scholar]
- Legros, H.; Harlaux, M.; Mercadier, J.; Romer, R.L.; Poujol, M.; Camacho, A.; Marignac, C.; Cuney, M.; Wang, R.C.; Charlesb, N.; et al. The world-class Nanling metallogenic belt (Jiangxi, China): W and Sn deposition at 160 Ma followed by 30 my of hydrothermal metal redistribution. Ore Geol. Rev. 2020, 117, 103302. [Google Scholar] [CrossRef]
- Wang, D.H.; Huang, F.; Wang, Y.; He, H.H.; Li, X.F.; Liu, X.X.; Sheng, J.F.; Liang, T. Regional metallogeny of Tungsten-tin-polymetallic deposits in Nanling region, South China. Ore Geol. Rev. 2020, 120, 103305. [Google Scholar] [CrossRef]
- Li, W.; Tang, J.X.; Guo, N.; Lang, X.H.; Song, S.W.; Wu, Z.R.; Peng, L.L.; Fang, X.; Chen, B.F.; Lian, D.M.; et al. Robust timing constraints for granitic magmatism and hydrothermal mineralization in the Tieshanlong W-Sn ore field, Eastern Nanling Range, South China. Acta Geol. Sin. 2024, 98, 1255–1269. [Google Scholar] [CrossRef]
- Liang, E.Y. Metallogenic Mechanism of the W-Sn-Cu Polymetallic Deposits in the Tongshanling-Dupangling Area, Southern Hunan. Ph.D. Thesis, Central South University, Changsha, China, 2022. (In Chinese with English abstract). [Google Scholar]
- Pan, Z.B.; Feng, M.; Qin, Y.; Feng, Z.H.; Kang, Z.Q.; Bai, L.A.; Zhao, C.; Han, W.B. Zircon and cassiterite U-Pb ages of Limu tin polymetallic ore field in Guangxi and their geological significance. Miner. Depos. 2023, 42, 481–505, (In Chinese with English abstract). [Google Scholar]
- Bai, X.J.; Liu, M.; Hu, R.G.; Fang, Y.; Liu, X.; Tang, B.; Qiu, H.N. Well-constrained mineralization ages by integrated 40Ar/39Ar and U-Pb dating techniques for the Xitian W-Sn polymetallic deposit, South China. Econ. Geol. 2022, 117, 833–852. [Google Scholar] [CrossRef]
- Li, W.S.; Ni, P.; Pan, J.Y.; Fan, M.S.; Chen, L.L.; Zhang, D.; Wu, X.W.; Gao, Y. Constraints on the timing and genetic link of scheelite- and wolframite-bearing quartz veins in the chuankou W ore field, South China. Ore Geol. Rev. 2021, 133, 104122. [Google Scholar] [CrossRef]
- Li, W.; Tang, J.X.; Zhang, J.; He, G.W.; Chen, B.F.; Chen, W.; Liu, X.X.; Lu, J.; Lian, D.M. Indosinian W-Sn mineralization event in the Xikeng deposit, southern Jiangxi Province, Nanling Range: Evidence from U-Pb geochronology and Hf isotopes. Ore Geol. Rev. 2023, 163, 105715. [Google Scholar] [CrossRef]
- Li, W.; Tang, J.X.; Guo, N.; Song, S.W.; Wu, Z.R.; Lang, X.H.; Lu, J.; Lian, D.M. Time constraints for multistage Sn mineralization in southern Jiangxi Province, South China: Evidence from cassiterite and wolframite U-Pb geochronology. Acta Petrol. Sin. 2025, 41, 1818–1836, (In Chinese with English abstract). [Google Scholar] [CrossRef]
- Mao, J.W.; Zhou, Z.H.; Feng, C.Y.; Wang, Y.T.; Zhang, C.Q.; Peng, H.J.; Yu, M. A preliminary study of the Triassic large-scale mineralization in China and its geodynamic setting. Geol. China 2012, 39, 1437–1471, (In Chinese with English abstract). [Google Scholar]
- Wang, D.H.; Chen, Y.C.; Jiang, B.; Huang, F.; Wang, Y.; Li, H.Q.; Hou, K.J. Preliminary study on the Triassic continental mineralization system in China. Earth Sci. Front. 2020, 27, 45–59, (In Chinese with English abstract). [Google Scholar]
- Guo, C.L.; Chen, Z.H.; Lou, F.S.; Xu, Y.M. Geochemical characteristics and genetic types of the W–Sn bearing late Jurassic granites in the Nanling Region. Geotecton. Metallog. 2014, 38, 301–311, (In Chinese with English abstract). [Google Scholar]
- Mao, J.W.; Ouyang, H.G.; Song, S.W.; Santosh, W.; Yuan, S.D.; Zhou, Z.H.; Zheng, W.; Liu, P.; Cheng, Y.B.; Chen, M.H. Chapter 10 Geology and metallogeny of tungsten and tin deposits in China. In Mineral Deposits of China; Chang, Z.S., Goldfarb, R.J., Eds.; Society of Economic Geologists: Littleton, CO, USA, 2019; Volume 22, pp. 411–482. [Google Scholar]
- Liu, S.B.; Wang, D.H.; Chen, Y.C.; Li, J.K.; Ying, L.J.; Xu, J.X.; Zeng, Z.L. 40Ar/39Ar ages of muscovite from different types tungsten-bearing quartz veins in the Chong-Yu-You concentrated mineral area in Gannan region and its geological significance. Acta Geol. Sin. 2008, 82, 932–940, (In Chinese with English abstract). [Google Scholar]
- Guo, C.L.; Chen, Y.C.; Lin, Z.Y.; Lou, F.S.; Zeng, Z.L. SHRIMP zircon U-Pb dating, geochemistry and zircon Hf isotopic characteristics of granitoids in Keshuling granites, Jiangxi Province and their genetic analysis. Acta Petrol. Min. 2011, 30, 567–580, (In Chinese with English abstract). [Google Scholar]
- Zhao, Z.; Zhao, W.W.; Lu, L.; Wang, H.Y. Constraints of multiple dating of the Qingshan tungsten deposit on the Triassic W(-Sn) mineralization in the Nanling region, south China. Ore Geol. Rev. 2018, 94, 46–57. [Google Scholar] [CrossRef]
- Li, W.; Liu, C.H.; Tan, Y.; Chen, W.; Lu, J.; Yin, J.Y.; Chen, Z.W. Zircon U-Pb age, petro-geochemical and mineralization characteristics of Keshuling granites in southern Jiangxi Province. Geol. Rev. 2021, 67, 1309–1320, (In Chinese with English abstract). [Google Scholar]
- Zhang, J.; Liu, X.X.; Li, W.; Zeng, Z.L.; Hu, H.B.; Peng, L.L.; Cheng, J.W.; Lu, K.X.; Li, P.Z. The metallogenic epoch and geological implications of the tungsten-tin polymetallic deposits in southern Jiangxi province, China: Constraints from cassiterite U-Pb and molybdenite Re-Os isotopic dating. Ore Geol. Rev. 2021, 134, 104159. [Google Scholar] [CrossRef]
- Liu, X.X.; Zhang, J.; Huang, F.; Cheng, J.W.; Lu, K.X.; Yang, J.F.; Wang, M.; Wang, Y.X.; Qiu, J.W.; Zhang, X.Y. Tungsten deposits in southern Jiangxi province: Constraints on the origin of wolframite from in-situ U-Pb isotope dating. Ore Geol. Rev. 2022, 143, 104774. [Google Scholar] [CrossRef]
- Liu, L.; Xu, G.F.; Lu, Y.Y.; Fu, J.M.; Sun, L.; Chen, X.Y.; Zhang, Y.F.; Cheng, S.B.; Zhang, C.Y.; Chen, Q.Y.; et al. Muscovite 40Ar-39Ar and cassiterite U-Pb dating of the Indosinian Aotou quartz-vein type tin deposit, southern China and its geological significance. Ore Geol. Rev. 2023, 158, 105516. [Google Scholar] [CrossRef]
- Guo, N.X.; Zhao, Z.; Gao, J.F.; Chen, W.; Wang, D.H.; Chen, Y.C. Magmatic evolution and W-Sn-U-Nb-Ta mineralization of the Mesozoic Jiulongnao granitic complex, Nanling Range, South China. Ore Geol. Rev. 2018, 94, 414–434. [Google Scholar] [CrossRef]
- Li, J.; Huang, H.Y.; Liu, Z.J.; Zhang, T.; Wang, Q.L.; Fang, S.Y.; Zou, M.L. LA-ICP-MS U-Pb ages and trace element compositions of zircon from Indosinian granites in middle Zhuguangshan. Geotecton. Metallog. 2021, 45, 1216–1232, (In Chinese with English abstract). [Google Scholar]
- Deng, P.; Ren, J.S.; Ling, H.F.; Shen, W.Z.; Sun, L.Q.; Zhu, B.; Tan, Z.Z. SHRIMP zircon U-Pb ages and tectonic implications for Indosinian granitoids of southern Zhuguangshan granitic composite, South China. Chin. Sci. Bull. 2012, 57, 1542–1552. [Google Scholar] [CrossRef]
- Zhang, L.; Chen, Z.Y.; Li, X.F.; Li, S.R.; Santosh, M.; Huang, G.L. Zircon U-Pb geochronology and geochemistry of granites in the Zhuguangshan complex, South China: Implications for uranium mineralization. Lithos 2018, 308–309, 19–33. [Google Scholar] [CrossRef]
- Cai, P.R.; Wang, T.; Wang, Z.Q.; Li, L.M.; Jia, J.L.; Wang, M.Q. Geochronology and geochemistry of late Paleozoic volcanic rocks from eastern Inner Mongolia, NE China: Implications for igneous petrogenesis, tectonic setting, and geodynamic evolution of the south-eastern Central Asian Orogenic Belt. Lithos 2020, 362–363, 105480. [Google Scholar] [CrossRef]
- Ludwig, K.R. Isoplot/Ex Version 3.00: A Geochronological Toolkit for Microsoft Excel; Berkeley Geochronology Center: Berkeley, CA, USA, 2003. [Google Scholar]
- Wiedenbeck, M.; Alleé, P.; Corfu, F.; Griffin, W.L.; Meier, M.; Oberli, F.; Von Quadt, A.; Roddick, J.C.; Spiegel, W. Three natural zircon standards for U-Th-Pb, Lu-Hf, trace element and REE analyses. Geostand. Newsl. 1995, 19, 1–23. [Google Scholar] [CrossRef]
- Sláma, J.; Košler, J.; Condon, D.J.; Crowley, J.L.; Gerdes, A.; Hanchar, J.M.; Horstwood, M.S.A.; Morris, G.A.; Nasdala, L.; Norberg, N.; et al. Plešovice zircon—A new natural reference material for U-Pb and Hf isotopic microanalysis. Chem. Geol. 2008, 249, 1–35. [Google Scholar] [CrossRef]
- Hu, Z.C.; Li, X.H.; Luo, T.; Zhang, W.; Crowley, J.; Li, Q.L.; Ling, X.X.; Yang, C.; Li, Y.; Feng, L.P.; et al. Tanz zircon megacrysts: A new zircon reference material for the microbeam determination of U–Pb ages and Zr–O isotopes. J. Anal. At. Spectrom. 2021, 36, 2715–2734. [Google Scholar] [CrossRef]
- Ling, X.X.; Li, Q.L.; Yang, C.; Chu, Z.Y.; Feng, L.J.; Huang, C.; Huang, L.L.; Zhang, H.; Hou, Z.H.; Xu, J.J.; et al. Zircon ZS—A homogenous natural reference material for U–Pb age and O–Hf isotope microanalyses. At. Spectros. 2022, 43, 134–144. [Google Scholar] [CrossRef]
- Wu, F.; Yang, Y.; Xie, L.; Yang, J.; Xu, P. Hf isotopic compositions of the standard zircons and baddeleyites used in U–Pb geochronology. Chem. Geol. 2006, 234, 105–126. [Google Scholar] [CrossRef]
- Hu, Z.C.; Zhang, W.; Liu, Y.S.; Gao, S.; Li, M.; Zong, K.Q.; Chen, H.H.; Hu, S.H. “Wave” signal-smoothing and mercury-removing device for Laser Ablation Quadrupole and Multiple Collector ICPMS analysis: Application to Lead isotope analysis. Anal. Chem. 2015, 87, 1152–1157. [Google Scholar] [CrossRef] [PubMed]
- Chu, N.; Taylor, R.; Chavagnac, V.; Nesbitt, R.; Boella, R.; Milton, J.; Germain, C.; Bayon, G.; Burton, K. Hf isotope ratio analysis using multi-collector inductively coupled plasma mass spectrometry: An evaluation of isobaric interference corrections. J. Anal. At. Spectrom. 2002, 17, 1567–1574. [Google Scholar] [CrossRef]
- Griffin, W.; Pearson, N.; Belousova, E.; Jackson, S.; Van Achterbergh, E.; O’Reilly, S.Y.; Shee, S.R. The Hf isotope composition of cratonic mantle: LAM-MC-ICPMS analysis of zircon megacrysts in kimberlites. Geochim. Cosmochim. Acta 2000, 64, 133–147. [Google Scholar] [CrossRef]
- Rudnick, R.L.; Gao, S. Composition of the Continental Crust. Crust Treatise Geochem. 2013, 4, 1–51. [Google Scholar]
- Sun, S.; McDonough, W. Chemical and isotopic systematics of oceanic basalts: Implications for mantle composition and processes. Geol. Soc. Lond. Spec. Publ. 1989, 42, 313–345. [Google Scholar] [CrossRef]
- Wu, Y.B.; Zheng, Y.F. Study on zircon genetic mineralogy and its constraints on the interpretation of U-Pb age. Chin. Sci. Bull. 2004, 49, 1589–1604, (In Chinese with English abstract). [Google Scholar] [CrossRef]
- Wang, D.H. Metallogenic Regularity and Deep Prospecting Demonstration of Jiulongnao Ore Field in Eastern Nanling; China Science publishing & Media Ltd.: Beijing, China, 2020; pp. 51–55, (In Chinese with English abstract). [Google Scholar]
- Guo, C.L.; Chen, Y.C.; Li, C.B.; Chen, Z.H.; Lou, F.S. Zircon SHRIMP U-Pb dating, geochemistry, Sr-Nd isotopic analysis of the late Jurassic granitoids in the Jiulongnao W-Sn-Pb-Zn ore-concentrated areas in Jiangxi Province and their geological significance. Acta Geol. Sin. 2011, 85, 1188–1205, (In Chinese with English abstract). [Google Scholar]
- Wang, D.H.; Zhao, Z.; Liu, S.B.; Guo, N.X.; Liang, T.; Chen, W.; Zhou, X.P. Patterns of metallogenesis of Jiulongnao orefield in the east section of Nanling region and direction for prospecting. Acta Geol. Sin. 2016, 90, 2399–2411, (In Chinese with English abstract). [Google Scholar]
- Guo, N.X.; Wang, D.H.; Zhao, Z.; Chen, Y.C.; Chen, W.; Xie, X.W. Mineral characteristies of the Jiulongnao granite batholith in Southern Jiangxi province and its indication of magma evolution and mineralization. Earth Sci. Front. 2017, 24, 76–92, (In Chinese with English abstract). [Google Scholar]
- Hua, R.M.; Wang, D.H. Clarification of some basic concepts concerning the granite-related mineralization. Min. Dep. 2012, 31, 165–175, (In Chinese with English abstract). [Google Scholar]
- Li, H.; Sun, H.S.; Algeo, T.J.; Wu, J.H.; Cao, J.Y.; Wu, Q.H. Mesozoic multi-stage W–Sn polymetallic mineralization in the Nanling Range, South China: An example from the Dengfuxian–Xitian ore field. Geol. J. 2019, 54, 3755–3785. [Google Scholar] [CrossRef]
- Zhang, R.Q.; Lu, J.J.; Lehmann, B.; Li, C.Y.; Li, G.L.; Zhang, L.P.; Guo, J.; Sun, W.D. Combined zircon and cassiterite U-Pb dating of the Piaotang granite-related tungsten-tin deposit, southern Jiangxi tungsten district, China. Ore Geol. Rev. 2017, 82, 268–284. [Google Scholar] [CrossRef]
- Wu, F.Y.; Liu, X.C.; Ji, W.Q.; Wang, J.M.; Yang, L. Highly fractionated granites: Recognition and research. Sci. China (Earth Sci.) 2017, 60, 1201–1219, (In Chinese with English abstract). [Google Scholar] [CrossRef]
- Guo, C.L.; Lin, Z.Y.; Wang, D.H.; Chen, W.; Zhang, Y.; Feng, C.Y.; Chen, Z.H.; Zeng, Z.L.; Cai, R.Q. Petrologic characteristics of the granites and greisens and muscovite 40Ar/39Ar dating in the Taoxikeng tungsten polymetallic deposit, southern Jiangxi province. Acta Geol. Sin. 2008, 82, 1274–1284, (In Chinese with English abstract). [Google Scholar]
- Feng, C.Y.; Zeng, Z.L.; Zhang, D.Q.; Qu, W.J.; Du, A.D.; Li, D.X.; She, H.Q. SHRIMP zircon U–Pb and molybdenite Re–Os isotopic dating of the tungsten deposits in the Tianmenshan–Hongtaoling W–Sn orefield, southern Jiangxi Province, China, and geological implications. Ore Geol. Rev. 2011, 43, 8–25. [Google Scholar] [CrossRef]
- Hofmann, A.W. Chemical differentiation of the earth: The relationship between mantal continental crust, and oceanic crust. Earth Planet. Sci. Lett. 1998, 90, 297–314. [Google Scholar] [CrossRef]
- Taylor, S.R.; Mclennan, S.M. The Continental Crust: Its Composition and Evolution; Blackwell Scientific Pub.: Oxford, UK, 1985; pp. 91–92. [Google Scholar]
- Wu, F.Y.; Li, X.H.; Yang, J.H.; Zheng, Y.F. Discussions on the petrogenesis of granites. Acta Petrol. Sin. 2007, 23, 1217–1238, (In Chinese with English abstract). [Google Scholar]
- Griffin, W.L.; Wang, X.; Jackson, S.E.; Pearson, N.J.; O’Reilly, S.Y.; Xu, X.; Zhou, X.M. Zircon chemistry and magma mixing, SE China: In-situ analysis of Hf isotopes, Tonglu and Pingtan igneous complexes. Lithosphere 2002, 61, 237–269. [Google Scholar] [CrossRef]
- Whalen, J.B.; Currie, K.L.; Chappell, B.W. A-type granites: Geochemical characteristics, discriminatuon and petrogenesis. Contrib. Mineral. Petrol. 1987, 95, 407–419. [Google Scholar] [CrossRef]
- Chappell, B. Aluminium saturation in I-and S-type granites and the characterization of fractionated haplogranites. Lithos 1999, 46, 535–551. [Google Scholar] [CrossRef]
- Batchelor, R.A.; Bowden, P. Petrogenetic interpretation of granitoid rock series using multicationic parameters. Chem. Geol. 1985, 48, 43–55. [Google Scholar] [CrossRef]
- Li, X.H.; Li, Z.; Li, W.X.; Wang, Y. Initiation of the Indosinian orogeny in south China: Evidence for a permian magmatic arc on Hainan island. J. Geol. 2006, 114, 341–353, (In Chinese with English abstract). [Google Scholar] [CrossRef]
- Sun, T.; Zhou, X.M.; Chen, P.R.; Li, H.M.; Zhou, H.Y.; Wang, Z.C.; Shen, W.Z. Strongly peraluminous granites of Mesozoic in eastern Nanling range, southern China: Petrogenesis and implications for tectonics. Sci. China (Earth Sci.) 2004, 12, 1209–1218, In Chinese with English abstract. [Google Scholar] [CrossRef]
- Li, J.H.; Zhao, G.C.; Johnston, S.T.; Dong, S.W.; Zhang, Y.Q.; Xin, Y.J.; Wang, W.B.; Sun, H.S.; Yu, Y. Permo-Triassic structural evolution of the Shiwandashan and Youjiang structural belts, South China. J. Struct. Geol. 2017, 100, 24–44. [Google Scholar] [CrossRef]
- Li, Y.J.; Wei, J.H.; Santosh, M.; Tan, J.; Fu, L.B.; Zhao, S.Q. Geochronology and petrogenesis of Middle Permian S-type granitoid in southeastern Guangxi Province, South China: Implications for closure of the Paleo-Tethys. Tectonophysics 2016, 682, 1–16. [Google Scholar] [CrossRef]
- Liang, C.H.; Luo, B.J.; Xu, X.B.; Chen, J.J.; Xu, Y.D. Geochronology, petrogenesis and tectonic implications of Late Triassic and Late Jurassic granitoids in the South China Block. J. Asian Earth Sci. 2023, 250, 105651. [Google Scholar] [CrossRef]
- Xu, Z.; Kong, J.; Cheng, R.; Wang, L. U-Pb dating of detrital zircons in the eastern Guangdong Basin, South China, and constraints on the tectonic transformation from the Early to Middle Jurassic. Can. J. Earth Sci. 2020, 57, 477–493. [Google Scholar] [CrossRef]
- Yang, H.; Yao, J.L.; Zhao, G.C.; Han, Y.G.; Wang, X.S.; Zhang, Q. Permo-Triassic lithospheric reactivation in South China triggered by subduction of the Paleo-Pacific Plate: Constraints from hornblende gabbro in the Yunkai Massif. Lithos 2025, 518–519, 108337. [Google Scholar] [CrossRef]
- Chen, W.; Yang, Z.Y.; Liao, Z.Q.; Yang, B.; Ding, M. Metallogical characteristics and prospecting prediction of Jiulongnao ore field in southern Jiangxi. J.Jilin Univ. (Earth Sci. Ed.) 2022, 52, 403–417, (In Chinese with English abstract). [Google Scholar]





| Sample Numbers | SiO2 | TiO2 | Al2O3 | TFe2O3 | FeO | MnO | MgO | CaO | Na2O | K2O | P2O5 | LOI | A/CNK |
| AT-H1 | 73.17 | 0.165 | 14.19 | 1.43 | 1.13 | 0.032 | 0.492 | 0.823 | 2.95 | 5.29 | 0.233 | 1.19 | 1.23 |
| AT-H2 | 71.56 | 0.170 | 15.60 | 1.43 | 1.03 | 0.034 | 0.503 | 0.768 | 3.01 | 5.46 | 0.235 | 1.18 | 1.33 |
| AT-H3 | 71.58 | 0.169 | 15.41 | 1.45 | 1.13 | 0.034 | 0.462 | 0.837 | 3.29 | 5.36 | 0.236 | 1.12 | 1.26 |
| AT-H4 | 72.09 | 0.164 | 15.13 | 1.39 | 1.03 | 0.035 | 0.422 | 0.833 | 3.24 | 5.33 | 0.236 | 1.09 | 1.25 |
| AT-H5 | 72.15 | 0.169 | 14.67 | 1.45 | 1.13 | 0.035 | 0.407 | 0.911 | 3.39 | 5.46 | 0.233 | 1.08 | 1.16 |
| Sample Numbers | AR | σ43 | R1 | R2 | La | Ce | Pr | Nd | Sm | Eu | Gd | Tb | Dy |
| AT-H1 | 2.3 | 2.26 | 2527 | 388 | 17.3 | 34.7 | 3.97 | 16.8 | 3.27 | 0.310 | 2.70 | 0.430 | 1.97 |
| AT-H2 | 2.17 | 2.53 | 2364 | 410 | 17.5 | 35.0 | 4.01 | 16.9 | 3.30 | 0.382 | 2.80 | 0.458 | 2.12 |
| AT-H3 | 2.36 | 2.63 | 2286 | 412 | 18.3 | 36.8 | 4.32 | 17.5 | 3.50 | 0.422 | 2.99 | 0.470 | 2.21 |
| AT-H4 | 2.36 | 2.53 | 2351 | 404 | 21.1 | 42.6 | 4.97 | 19.0 | 4.08 | 0.410 | 3.76 | 0.560 | 2.84 |
| AT-H5 | 2.54 | 2.7 | 2266 | 402 | 19.5 | 39.0 | 4.57 | 17.4 | 3.78 | 0.413 | 3.55 | 0.529 | 2.52 |
| Sample Numbers | Ho | Er | Tm | Yb | Lu | Y | ΣREE | (La/Yb)N | δEu | δCe | Li | Be | Rb |
| AT-H1 | 0.298 | 0.735 | 0.106 | 0.698 | 0.097 | 9.34 | 83.4 | 17.8 | 0.32 | 1.03 | 57.8 | 13.0 | 344 |
| AT-H2 | 0.317 | 0.803 | 0.117 | 0.736 | 0.109 | 10.2 | 84.6 | 17.1 | 0.38 | 1.02 | 62.1 | 12.3 | 375 |
| AT-H3 | 0.325 | 0.851 | 0.122 | 0.731 | 0.116 | 10.6 | 88.6 | 18.0 | 0.40 | 1.01 | 62.7 | 9.67 | 373 |
| AT-H4 | 0.414 | 1.03 | 0.157 | 0.927 | 0.145 | 12.8 | 102 | 16.3 | 0.32 | 1.02 | 76.1 | 14.6 | 424 |
| AT-H5 | 0.379 | 0.925 | 0.144 | 0.836 | 0.129 | 12.1 | 93.7 | 16.7 | 0.34 | 1.01 | 78.9 | 10.8 | 422 |
| Sample Numbers | Ba | Th | U | Nb | Sr | Zr | Hf | Sc | Ta | Cr | Co | Ni | Cs |
| AT-H1 | 179 | 9.35 | 12.1 | 13.8 | 37.9 | 70.6 | 2.13 | 2.83 | 1.63 | 7.90 | 1.33 | 4.72 | 27.0 |
| AT-H2 | 249 | 10.1 | 11.1 | 14.8 | 46.2 | 73.3 | 2.23 | 3.11 | 1.66 | 6.89 | 1.33 | 3.40 | 29.1 |
| AT-H3 | 271 | 9.86 | 8.01 | 14.9 | 50.9 | 113 | 3.49 | 2.99 | 1.65 | 8.43 | 1.49 | 3.07 | 29.4 |
| AT-H4 | 224 | 12.63 | 10.6 | 16.5 | 52.2 | 86.9 | 2.83 | 3.35 | 1.79 | 8.62 | 1.72 | 6.28 | 34.8 |
| AT-H5 | 238 | 11.33 | 18.0 | 17.0 | 57.7 | 97.9 | 3.15 | 3.45 | 1.94 | 8.83 | 1.65 | 3.67 | 33.4 |
| Sample Numbers | V | Ga | As | Bi | Sb | W | Sn | Cu | Pb | Zn | Rb/Sr | Zr/Hf | Nb/Ta |
| AT-H1 | 7.57 | 17.6 | 0.679 | 0.453 | 0.117 | 3.34 | 20.1 | 3.70 | 33.8 | 53.4 | 9.06 | 33.19 | 8.47 |
| AT-H2 | 8.44 | 19.5 | 0.747 | 0.519 | 0.074 | 3.47 | 20.7 | 3.01 | 35.0 | 46.3 | 8.13 | 32.85 | 8.96 |
| AT-H3 | 8.53 | 19.8 | 0.826 | 0.926 | 0.113 | 3.17 | 21.5 | 3.82 | 35.4 | 45.6 | 7.33 | 32.29 | 9.03 |
| AT-H4 | 9.28 | 22.5 | 0.956 | 0.580 | 0.126 | 4.01 | 25.1 | 4.48 | 39.4 | 58.0 | 8.16 | 30.73 | 9.21 |
| AT-H5 | 9.21 | 23.1 | 1.62 | 0.522 | 0.091 | 3.44 | 24.6 | 4.77 | 40.0 | 52.3 | 7.30 | 31.06 | 8.77 |
| Sample (Spot) | U μg/g | Th μg/g | U/Th Ratio | 207Pb/206Pb | 1 Sigma | 207Pb/235U | 1 Sigma | 206Pb/238U | 1 Sigma | 206Pb/238U Age (Ma) | 1 Sigma | Cor. % |
|---|---|---|---|---|---|---|---|---|---|---|---|---|
| Mean = 225.4 ± 1.8 Ma, MSWD = 0.5, n = 12 | ||||||||||||
| AT01-01 | 815 | 166 | 0.20 | 0.0504 | 0.0006 | 0.2491 | 0.0038 | 0.0359 | 0.0004 | 227.2 | 2.5 | 99.4 |
| AT01-02 | 1020 | 143 | 0.14 | 0.0503 | 0.0009 | 0.2469 | 0.0058 | 0.0358 | 0.0008 | 226.5 | 4.7 | 98.9 |
| AT01-04 | 555 | 129 | 0.23 | 0.0505 | 0.0007 | 0.2482 | 0.0052 | 0.0356 | 0.0006 | 225.5 | 3.5 | 99.8 |
| AT01-05 | 460 | 171 | 0.37 | 0.0504 | 0.0006 | 0.2459 | 0.0036 | 0.0354 | 0.0004 | 224.2 | 2.4 | 99.6 |
| AT01-06 | 436 | 106 | 0.24 | 0.0503 | 0.0007 | 0.2444 | 0.0052 | 0.0352 | 0.0005 | 223.2 | 3.4 | 99.5 |
| AT01-12 | 2560 | 242 | 0.09 | 0.0512 | 0.0006 | 0.2473 | 0.0037 | 0.0350 | 0.0004 | 221.7 | 2.6 | 98.8 |
| AT01-13 | 688 | 177 | 0.26 | 0.0503 | 0.0007 | 0.2471 | 0.0046 | 0.0356 | 0.0005 | 225.3 | 3.2 | 99.5 |
| AT01-16 | 1320 | 207 | 0.16 | 0.0507 | 0.0008 | 0.2509 | 0.0038 | 0.0360 | 0.0005 | 227.7 | 3.1 | 99.8 |
| AT01-17 | 534 | 138 | 0.26 | 0.0507 | 0.0009 | 0.2520 | 0.0055 | 0.0360 | 0.0006 | 227.9 | 3.6 | 99.9 |
| AT01-18 | 775 | 174 | 0.22 | 0.0513 | 0.0009 | 0.2505 | 0.0050 | 0.0355 | 0.0006 | 224.6 | 3.7 | 99.0 |
| AT01-23 | 373 | 221 | 0.59 | 0.0506 | 0.0010 | 0.2470 | 0.0053 | 0.0355 | 0.0005 | 225.1 | 2.8 | 99.6 |
| AT01-24 | 406 | 199 | 0.49 | 0.0504 | 0.0012 | 0.2506 | 0.0077 | 0.0362 | 0.0006 | 229.2 | 4.0 | 99.1 |
| Mean = 238.7 ± 1.0 Ma, MSWD = 0.6, n = 8 | ||||||||||||
| AT01-09 | 369 | 187 | 0.51 | 0.0510 | 0.0008 | 0.2670 | 0.0056 | 0.0380 | 0.0006 | 240.4 | 3.6 | 100 |
| AT01-10 | 913 | 331 | 0.36 | 0.0513 | 0.0009 | 0.2659 | 0.0049 | 0.0376 | 0.0004 | 237.9 | 2.8 | 99.4 |
| AT01-11 | 1350 | 203 | 0.15 | 0.0505 | 0.0005 | 0.2636 | 0.0043 | 0.0378 | 0.0005 | 239.0 | 3.1 | 99.4 |
| AT01-14 | 1060 | 157 | 0.15 | 0.0507 | 0.0005 | 0.2623 | 0.0043 | 0.0375 | 0.0005 | 237.4 | 3.1 | 99.6 |
| AT01-15 | 413 | 232 | 0.56 | 0.0509 | 0.0007 | 0.2647 | 0.0038 | 0.0377 | 0.0004 | 238.4 | 2.4 | 100 |
| AT01-19 | 782 | 158 | 0.20 | 0.0504 | 0.0006 | 0.2617 | 0.0042 | 0.0377 | 0.0006 | 238.4 | 3.6 | 99.0 |
| AT01-20 | 848 | 217 | 0.26 | 0.0512 | 0.0008 | 0.2681 | 0.0052 | 0.0380 | 0.0006 | 240.3 | 3.7 | 99.7 |
| AT01-21 | 218 | 217 | 1.00 | 0.0509 | 0.0009 | 0.2663 | 0.0057 | 0.0379 | 0.0005 | 240.0 | 3.1 | 99.9 |
| Sample (Spot) | t (Ma) | 176Yb/177Hf (Corr.) | 2 Sigma | 176Lu/177Hf (Corr.) | 2 Sigma | 176Hf/177Hf (Corr.) | 2 Sigma | εHf(t) | TDM1 (Ma) | TDM2 (Ma) | fLu/Hf |
|---|---|---|---|---|---|---|---|---|---|---|---|
| the first stage | |||||||||||
| AT01-01 | 227.2 | 0.03164 | 0.00068 | 0.001186 | 0.000027 | 0.282321 | 0.000015 | −11.1 | 1321 | 1966 | −0.96 |
| AT01-02 | 226.5 | 0.03995 | 0.00167 | 0.001608 | 0.000065 | 0.282339 | 0.000016 | −10.6 | 1310 | 1930 | −0.95 |
| AT01-04 | 225.5 | 0.02102 | 0.00022 | 0.000831 | 0.000010 | 0.282353 | 0.000014 | −10.0 | 1264 | 1893 | −0.97 |
| AT01-05 | 224.2 | 0.02151 | 0.00013 | 0.000846 | 0.000006 | 0.282405 | 0.000015 | −8.2 | 1191 | 1777 | −0.97 |
| AT01-06 | 223.2 | 0.02092 | 0.00040 | 0.000829 | 0.000015 | 0.282353 | 0.000017 | −10.1 | 1264 | 1895 | −0.98 |
| AT01-12 | 227.9 | 0.04517 | 0.00103 | 0.001756 | 0.000036 | 0.282346 | 0.000014 | −10.3 | 1305 | 1914 | −0.95 |
| AT01-13 | 224.6 | 0.01852 | 0.00019 | 0.000722 | 0.000010 | 0.282340 | 0.000014 | −10.5 | 1279 | 1922 | −0.98 |
| AT01-16 | 240.4 | 0.03705 | 0.00061 | 0.001400 | 0.000026 | 0.282272 | 0.000014 | −12.6 | 1398 | 2071 | −0.96 |
| AT01-17 | 237.9 | 0.02783 | 0.00037 | 0.001077 | 0.000014 | 0.282348 | 0.000013 | −10.0 | 1280 | 1900 | −0.97 |
| AT01-18 | 239.0 | 0.02616 | 0.00071 | 0.001038 | 0.000028 | 0.282369 | 0.000015 | −9.2 | 1248 | 1850 | −0.97 |
| AT01-23 | 240.3 | 0.02606 | 0.00030 | 0.001038 | 0.000013 | 0.282305 | 0.000014 | −11.4 | 1338 | 1994 | −0.97 |
| AT01-24 | 240.0 | 0.02203 | 0.0005 | 0.000868 | 0.000018 | 0.282359 | 0.000018 | −9.5 | 1257 | 1870 | −0.97 |
| the second stage | |||||||||||
| AT01-09 | 221.7 | 0.01743 | 0.00024 | 0.000684 | 0.000008 | 0.282346 | 0.000015 | −10.3 | 1269 | 1909 | −0.98 |
| AT01-10 | 225.3 | 0.03029 | 0.00063 | 0.001197 | 0.000022 | 0.282375 | 0.000015 | −9.3 | 1245 | 1847 | −0.96 |
| AT01-11 | 227.7 | 0.03459 | 0.00097 | 0.001328 | 0.000024 | 0.282282 | 0.000014 | −12.5 | 1381 | 2055 | −0.96 |
| AT01-14 | 225.1 | 0.03407 | 0.00071 | 0.001329 | 0.000023 | 0.282377 | 0.000012 | −9.2 | 1246 | 1843 | −0.96 |
| AT01-15 | 229.2 | 0.02026 | 0.00012 | 0.000784 | 0.000002 | 0.282349 | 0.000016 | −10.0 | 1267 | 1898 | −0.98 |
| AT01-19 | 237.4 | 0.02417 | 0.00046 | 0.000952 | 0.000012 | 0.282327 | 0.000013 | −10.7 | 1305 | 1945 | −0.97 |
| AT01-20 | 238.4 | 0.02820 | 0.00040 | 0.001126 | 0.000018 | 0.282380 | 0.000016 | −8.8 | 1236 | 1828 | −0.97 |
| AT01-21 | 238.4 | 0.01987 | 0.00016 | 0.000770 | 0.000007 | 0.282399 | 0.000014 | −8.1 | 1197 | 1780 | −0.98 |
Disclaimer/Publisher’s Note: The statements, opinions and data contained in all publications are solely those of the individual author(s) and contributor(s) and not of MDPI and/or the editor(s). MDPI and/or the editor(s) disclaim responsibility for any injury to people or property resulting from any ideas, methods, instructions or products referred to in the content. |
© 2025 by the authors. Licensee MDPI, Basel, Switzerland. This article is an open access article distributed under the terms and conditions of the Creative Commons Attribution (CC BY) license (https://creativecommons.org/licenses/by/4.0/).
Share and Cite
Li, W.; Guo, N.; Lu, J.; Lang, X.; Lian, D.; Yuan, Q.; Chen, S. Geochemical Characteristics, U-Pb Age, and Hf Isotope of Zircons from Muscovite Granite in Aotou Sn Deposit, Eastern Nanling Range, South China. Minerals 2025, 15, 1331. https://doi.org/10.3390/min15121331
Li W, Guo N, Lu J, Lang X, Lian D, Yuan Q, Chen S. Geochemical Characteristics, U-Pb Age, and Hf Isotope of Zircons from Muscovite Granite in Aotou Sn Deposit, Eastern Nanling Range, South China. Minerals. 2025; 15(12):1331. https://doi.org/10.3390/min15121331
Chicago/Turabian StyleLi, Wei, Na Guo, Jie Lu, Xinghai Lang, Dunmei Lian, Qiwen Yuan, and Shuwen Chen. 2025. "Geochemical Characteristics, U-Pb Age, and Hf Isotope of Zircons from Muscovite Granite in Aotou Sn Deposit, Eastern Nanling Range, South China" Minerals 15, no. 12: 1331. https://doi.org/10.3390/min15121331
APA StyleLi, W., Guo, N., Lu, J., Lang, X., Lian, D., Yuan, Q., & Chen, S. (2025). Geochemical Characteristics, U-Pb Age, and Hf Isotope of Zircons from Muscovite Granite in Aotou Sn Deposit, Eastern Nanling Range, South China. Minerals, 15(12), 1331. https://doi.org/10.3390/min15121331
