Next Article in Journal
Correction: Wang et al. Age, Genesis, and Tectonic Setting of the Serbian Čukaru Peki Copper Deposit in Timok Ore Cluster Area, Eastern Europe: Constraints from Zircon U-Pb Dating, Pyrite Re-Os Dating, and Geochemical Data. Minerals 2025, 15, 1178
Previous Article in Journal
Radionuclide Removal in Rare Earth Mineral Processing: A Review of Existing Methods and Emerging Biochemical Approaches Using Siderophores
Previous Article in Special Issue
Activation of Mineral Composition via Thermochemical Disintegration
 
 
Font Type:
Arial Georgia Verdana
Font Size:
Aa Aa Aa
Line Spacing:
Column Width:
Background:
Article

Performance Evaluation of an Activated Greek Palygorskite in High-Salinity and High-Hardness Water-Based Drilling Fluids

by
Dimitrios Papadimitriou
1,
Ernestos Nikolas Sarris
1,2,* and
Nikolaos Kantiranis
1
1
School of Geology, Faculty of Sciences, Department of Mineralogy-Petrology-Economic Geology, Aristotle University of Thessaloniki, GR-54124 Thessaloniki, Greece
2
Department of Engineering, Oil and Gas Program, University of Nicosia, CY-1700 Nicosia, Cyprus
*
Author to whom correspondence should be addressed.
Minerals 2025, 15(12), 1309; https://doi.org/10.3390/min15121309
Submission received: 12 November 2025 / Revised: 3 December 2025 / Accepted: 13 December 2025 / Published: 15 December 2025
(This article belongs to the Special Issue Alkali Activation of Clay-Based Materials)

Abstract

The performance of conventional bentonite-based drilling fluids is severely compromised in high-salinity and high-hardness brines, creating a need for salt-tolerant viscosifiers. This work provides a comprehensive performance evaluation of an activated palygorskite sourced from the Ventzia basin in Greece to be used as a high-performance additive for water-based drilling fluids. Six raw clay samples were mechanically processed and activated via extrusion and chemically treated with 2.25% MgO. Their rheological behavior and filtration properties were systematically investigated in three aqueous environments, (i) deionized water, (ii) API-standard salt water, and (iii) API-standard high-hardness salt water. The performance was benchmarked against that of commercial palygorskite products. The results demonstrated that the selected activated Greek samples exhibited excellent rheological properties, including higher viscosity, yield point, and thixotropic gel strength, comparable to those of the commercial benchmark. While the fluid’s rheology was suppressed by increasing salinity due to the flocculation of co-existing smectite, the best-performing Greek clays maintained a significant advantage, developing exceptionally robust gel structures critical for solid suspension in harsh conditions. Crucially, the same smectite flocculation mechanism proved highly beneficial for filtration control, leading to a significant reduction in fluid loss and the formation of a thin filter cake, particularly with the high-hardness brine. The findings confirm that activated Greek palygorskite is a technically viable, high-performance alternative to imported commercial materials, offering a sustainable solution for formulating resilient drilling fluids for challenging environments.

1. Introduction

The increasing demand for energy resources is driving oil and gas exploration into more challenging geological settings, including deepwater offshore fields and formations drilled with high-salinity brines. In such environments, the performance of conventional water-based drilling fluids, which typically rely on bentonite clay as a primary viscosifier, is severely compromised [1,2]. Maintaining wellbore stability and operational efficiency in these complex lithologies is a significant challenge for drilling fluid design [3]. In these brines, where total dissolved solids can easily exceed 50,000 ppm and may approach saturation, high electrolyte concentrations can cause bentonite suspensions to flocculate, leading to a critical loss of rheological control and operational inefficiency. This creates a pressing need for alternative, salt-tolerant viscosifiers that can ensure drilling fluid stability in these demanding conditions. Palygorskite, a naturally occurring fibrous clay, has emerged as a promising candidate to address this technological gap [4,5].
Palygorskite is widely known in industrial applications as attapulgite, which is a hydrous magnesium phyllosilicate mineral whose unique crystal structure makes it a material of significant technological importance in high-performance drilling fluids [6]. First characterized by [7], its 2:1 structure consists of elongated, prismatic crystals that form a framework of internal channels, imparting a distinctive fibrous morphology, high specific surface area, and significant porosity. This microstructure is the source of its most critical property for industrial fluids which is the ability to form a stable, thixotropic gel through primarily physical particle interactions [8]. Critically and in sharp contrast to conventional bentonite clays, this rheological behavior is maintained even in extreme chemical environments, such as in high-salinity brine [9,10]. While bentonite flocculates and loses its viscosity in the presence of electrolytes, palygorskite’s performance remains robust [1].
This critical performance difference is rooted in their fundamentally distinct viscosity-building mechanisms. Bentonite, composed of flat platelets, relies on electrostatic repulsion between its negatively charged surfaces to create a stable gel in fresh water. The introduction of salt cations neutralizes these charges, causing the structure to collapse and flocculate [2]. In stark contrast, palygorskite’s needle-like crystals build viscosity through physical and mechanical entanglement, forming a robust ‘brush-heap’ lattice [8,11]. This mechanism is independent of surface chemistry and is therefore immune to the destabilizing effects of electrolytes, making it uniquely suited for high-salinity applications. Due to this salt tolerance, palygorskite is an essential viscosifier for challenging drilling operations, including offshore and deep-well applications [6]. Its effectiveness ensures the efficient suspension and transport of drill cuttings, while its minimal swellability mitigates operational risks like formation blockage and system overpressure [12]. Beyond this primary application, it is also a consistent behavior across a wide range of temperatures and electrolytic conditions establishing attapulgite as an exceptionally reliable additive for drilling in demanding geochemical environments [13]. Beyond these technical merits, the utilization of palygorskite offers compelling local and environmental advantages. As a mineral that occurs naturally in regions like the Mediterranean, including parts of Greece, its local extraction promotes sustainable resource management by reducing the environmental footprint associated with transporting imported raw materials [14,15]. This practice can stimulate regional economies through job creation and local value addition, especially when coupled with low-impact processing methods. Furthermore, attapulgite is a natural, non-toxic, and chemically stable material. Its inherent adsorptive properties give it secondary utility in environmental remediation technologies, reinforcing its profile as a responsible industrial mineral with the potential for recycling or reuse in certain applications.
The enhancement of palygorskite’s rheological properties through mechanical and chemical treatments has been a central theme in the literature. Early works established that mechanical processing, such as extrusion, improves the viscosity of attapulgite slurries though this effect is less pronounced in saline water [6]. It was also found that attapulgite’s inherent viscosity is generally stable in electrolytic environments and can be significantly enhanced by small quantities of inorganic additives, particularly magnesium oxide MgO or magnesium hydroxide Mg(OH)2, which can increase viscosity up to fivefold [16]. The role of MgO as a performance enhancer is a recurring topic. In that work [13], its effectiveness in high-salinity fluids was noted, and studies on Senegalese palygorskite confirmed that an optimal MgO concentration (e.g., 2% by weight) maximizes viscosity [17]. The mechanism is attributed to electrostatic attraction between positively charged MgO particles and the negative surfaces of the clay fibers, which improves the gel structure and yield point of the [18,19].
As stated earlier, a key advantage of palygorskite over bentonite (smectite) is its stability in high-salinity environments. Studies on Greek palygorskite-smectite clays in the work of [9] showed that while electrolytes degrade the rheological properties of smectite-bearing clays, palygorskite-rich clays remain stable, making them highly suitable for saltwater-based drilling fluids. This was further confirmed in a study simulating Persian Gulf seawater, where bentonite suspensions failed but palygorskite maintained acceptable rheology and fluid loss control [1]. The fundamental pseudoplastic behavior of palygorskite in electrolytic solutions has been linked to the aspect ratio (length-to-width) of its crystals. It was shown that a higher aspect ratio of length the width generally leads to better rheological performance [8]. Research has also validated that palygorskite from various global sources (e.g., Spain, Mexico, Brazil) can meet American Petroleum Institute (API) specifications for drilling fluids, although performance varies depending on the deposit’s specific mineralogy [4,12,15].
More recent research has focused on advanced processing to unlock palygorskite’s full potential. A significant body of work presented in [20,21] demonstrated that high-pressure homogenization, sometimes combined with extrusion or freeze–thaw cycles [22], is highly effective at deagglomerating palygorskite bundles into individual nanofibers. This process dramatically increases the specific surface area and can boost the apparent viscosity of suspensions by an order of magnitude. This research also explored the influence of different solvents and electrolytes, finding that dispersion in solvents like DMSO improved de-bundling, while specific salts, such as zinc sulfate ZnSO4 and potassium sulfate K2SO4, could optimize surface charge and further enhance suspension stability [23,24,25,26]. In practical applications, increasing palygorskite concentration reduces filtration loss, a key performance metric for drilling fluids [27]. The importance of pH control has also been highlighted, with additives like sodium hydroxide NaOH or sodium carbonate Na2CO3 being used to improve clay dispersion and rheological stability, particularly for raw palygorskite from sources in Iraq [5,28,29].
Despite this extensive body of research on palygorskite from various global sources, a comprehensive investigation of the material from the Ventzia basin in Greece is notably absent. While the presence of palygorskite in this region has been documented [8], its potential for use in drilling fluids following targeted mechanical and chemical activation remains unexplored. Furthermore, few studies have systematically compared the performance of a newly characterized palygorskite source against commercial products under a range of realistic high-hardness saline conditions [30,31].
Aligning with the sustainable use of alkali-activated natural resources, this study investigates the use of magnesium oxide (MgO) as an alkaline component to activate a local Greek palygorskite clay. The objective is to formulate a high-performance material for subsurface geotechnical construction, representing a resource-efficient alternative to imported industrial minerals. This drilling fluid functions as a dynamic reinforcement that improves the geomechanical stability of the borehole, thereby fitting the broader theme of using alkali activation to enhance clay-rich materials for engineering applications. The novelty and primary contributions of this work are fourfold. First, it characterizes and validates a technologically unexplored Greek mineral resource, offering a potential sustainable and local alternative to imported materials. Second, it systematically benchmarks the performance of the Greek palygorskite against established commercial products, providing a clear context for its technical viability. Third, the investigation moves beyond standard salinity tests by evaluating the material in a high-hardness brine, assessing its resilience to the destabilizing effects of divalent cations which is a critical but less-studied aspect. Finally, this work provides key insights into the performance trade-offs of natural palygorskite-smectite clays, demonstrating how fluid chemistry can be leveraged to optimize filtration control even when rheological properties are suppressed. These findings offer practical guidance for formulating resilient drilling fluids for challenging geological environments.
The remainder of this paper is organized to present the research in logical progression. Section 2 outlines the geological context of the raw material. Section 3 is dedicated to the experimental program, detailing both the characterization of the palygorskite samples and the methods employed for preparing and testing the drilling fluids. In Section 4, the results are presented and analyzed in detail. Finally, Section 5 provides a summary of the key findings and the conclusions drawn from this investigation.

2. Geological and Mineralogical Profile of the Ventzia Basin

2.1. Geological Context and Basin Development

The study area is the well-known Plio-Pleistocene Ventzia basin that is located in the Grevena-Kozani region of Greece (Figure 1). This basin is part of the Pelagonian geotectonic zone and is notable for containing significant deposits of palygorskite and associated Mg-Fe-smectite. The geological foundation of the basin is critical to the formation of these magnesium-rich clays. Its basement is primarily composed of ultramafic rocks from the Vourinos ophiolite complex, which provided the essential magnesium and silicon source materials for clay authigenesis.
Depositional activity during the Plio-Pleistocene (~2 Ma), an age confirmed by both fault activity and fossil evidence [32], resulted in a sequence of clastic fluvio-lacustrine sediments up to 200 m thick. These sediments overlie the ophiolitic basement with an angular unconformity. The basin’s stratigraphy progresses upwards from a basal conglomerate derived from the ophiolite, through intermediate alternations of conglomerates and sandy clays, to the fine-grained upper members. It is within these uppermost layers that the palygorskite-rich clay deposits of interest for this study were sampled and prepared for drilling fluid testing [33].
The basin’s development was shaped by persistent, predominantly extensional faulting. While this tectonic activity did not cause large-scale disruptions to the parallel bedding of the upper layers, it is controlled by the overall depositional environment, and this is evidenced by microstructures within the sediments.
Figure 1. Geological map of the study area within the Plio-Pleistocene Ventzia basin, part of the Pelagonian geotectonic zone. The two locations from which palygorskite samples were collected, Pefkaki and Belanida, are highlighted in green [33].
Figure 1. Geological map of the study area within the Plio-Pleistocene Ventzia basin, part of the Pelagonian geotectonic zone. The two locations from which palygorskite samples were collected, Pefkaki and Belanida, are highlighted in green [33].
Minerals 15 01309 g001

2.2. Paleo-Environment and Clay Formation Conditions

The formation of the Ventzia basin’s unique clay deposits was controlled by specific paleo-environmental conditions. According to [34], isotopic data (δ18O and δ13C) indicate a climate characterized by alternations between warm, humid periods and dry to semi-arid periods. During the humid phases, the weathering and alteration of the ultramafic basement rocks favored the formation of smectite. The depositional environment is described as a distal alluvial fan transitioning to an alkaline lake margin. The magnesium-rich clays, including the precursor smectite, were deposited as lake sediments. The subsequent authigenesis of palygorskite was driven by a combination of factors. (i) A continuous supply of magnesium and silicon from the post-depositional alteration of the parent rocks. (ii) The prevalence of highly alkaline conditions (high pH) during the drier and semi-arid intervals which increased evaporation and ion concentration. (iii) Mild diagenetic processes that transformed the precursor smectite into palygorskite under low-grade conditions. These mechanisms of formation require a semi-arid climate, high pH, and a steady supply of elements from the alteration of ultramafic rocks, are consistent with findings for other major palygorskite deposits worldwide [8,14,35,36].

2.3. Sampling Sites and Material Implications

Sampling was conducted at two distinct locations within the Ventzia basin: the Pefkaki site and the Velanida site (Figure 1). Four samples were collected from Pefkaki (K30B, K30CB, K40B, K70) and two from Velanida (V20, BA40). To clearly summarize and directly compare the key geological and stratigraphic characteristics of the two sampling locations, the information is summarized in Table 1, which highlights the distinct features of each site and their corresponding implications for the composition and expected variability of the raw material.
Pefkaki Site: The stratigraphy at this location is characterized by significant heterogeneity (Figure 2). It consists of relatively thin, frequent and multi-colored alternations of palygorskite, smectite, and ultramafic microconglomerates. This complex layering suggests that the raw material sourced from this site is inherently variable and may contain a higher proportion of non-clay impurities (e.g., carbonates from the conglomerate matrix) alongside the co-deposited smectite [33,34,37].
Belanida Site: In contrast, the Velanida site features thicker and more massive beds of palygorskite and smectite, indicating a more stable and consistent depositional environment. While this may yield a more uniform raw material compared to Pefkaki, the stratigraphy still highlights the intimate association between the target palygorskite and smectite [33,34,37]. The presence of thick limestone conglomerates as overburden also indicates a potential source of carbonate contamination during mining, which may result in selective mining methods for future exploitation. These differences underscore the importance of characterizing each sample individually before evaluating its performance.

2.4. Mineralogy of the Clays

The clays of the Ventzia basin exhibit a variable mineralogical composition. They consist of palygorskite-rich clay layers, layers of mixed clay (palygorskite-smectite), and smectite-rich clays [33,34,37]. According to [34], the palygorskite exhibits a mixed di- and tri-octahedral character due to the presence of Mg3OH and Fe3+Fe3+OH bonds. The smectite is characterized as ferruginous di-octahedral, although the presence of trioctahedral smectite is not excluded. Other researchers have reached similar conclusions regarding the characterization of the palygorskite and smectite types in the Ventzia basin [38,39,40,41,42,43].

3. Materials and Methods

This section details the experimental program, organized to follow a clear and logical workflow. The methodology is presented in a sequential manner, beginning with the characterization of the source clay materials to establish their baseline mineralogical properties. Following this, the procedures for preparing the experimental fluids are detailed, encompassing the formulation of the three distinct aqueous environments and the mechanical and chemical activation of the clays. The section concludes by outlining the standardized API test methods used to conduct the rheological and filtration performance evaluations. This structure is intended to guide the reader systematically from the raw materials through the preparation process to the final analytical protocols.

3.1. Materials and Mineralogical Characterization

The experimental program was designed to systematically evaluate the performance of the activated Greek palygorskite against two sets of commercial ZEOGEL and benchmark palygorskite. The primary experimental group consisted of six raw clay samples sourced from the Ventzia basin, designated K30B, K30CB, K40B, K70, V20, and BA40. Following activation with 2.25% MgO, each of these samples, along with a leading commercial product, ZEOGEL from Halliburton, was used to formulate the drilling fluid suspensions in three distinct aqueous environments. This allowed for a comprehensive assessment of their performance in laboratory conditions. The trademark ZEOGEL is a well-established commercial attapulgite product sourced from the extensive palygorskite deposits of the Meigs-Attapulgus-Quincy district in the Southeastern United States [6,13].
A second set of commercial benchmark samples, sourced from Senegal (designated SEN 1 and SEN 2), was prepared to provide further comparative data on the effect of activation levels. These samples originate from the major commercial palygorskite deposit located at Allou Kagne in the Thiès Region of western Senegal, a globally significant source of this material [17]. These samples were chemically activated with 2.25% MgO. This comparative set was specifically formulated in the saline environments to assess performance under these conditions. The three aqueous environments used throughout this study were: (A) Deionized Water (DW), (B) API-standard Salt Water (SW), and (C) API-standard High-Hardness Salt Water (HH). A complete list and description of all samples characterized is summarized in Table 2. All samples from the Ventzia basin are primarily composed of palygorskite with a significant smectite component. This identification is based on the characteristic broad reflection at approximately 14.5–15.9 Å and is consistent with extensive prior mineralogical studies on the Ventzia basin deposits, which have definitively confirmed the presence of ferruginous and trioctahedral smectites using detailed analytical techniques [33,34,43].

3.1.1. Clay Sample Sources and Mineralogical Composition

The mineralogical composition of the samples was determined by X-ray diffraction (XRD) (see Figure 3, Figure 4 and Figure 5). The samples were first finely grounded in an agate mortar, after which randomly oriented powder mounts were prepared and placed in a specialized sample holder. The analysis was performed using a PHILIPS PW 170 diffractometer, located at the Department of Mineralogy-Petrology-Economic Geology of the School of Geology, Aristotle University of Thessaloniki. The operating conditions for the measurements were a voltage of 35 kV, a current of 25 mA, and a scanning speed of 1.2°/sec over a scanning range of 3° to 63° 2θ. Copper X-ray radiation (CuKα) with a wavelength of 1.54056 Å was used, and a 0.0170 mm Ni filter was employed to isolate the Kβ radiation. Prior to the analysis, the instrument’s accuracy and calibration were verified using a pure silicon standard. The results of this check indicated a deviation of ±0.0007 Å for d-values and ±0.0018° for 2θ values. The identification of the clay minerals was based on the interpretation of the diffractograms according to the methods described by [44]. The analysis was performed on randomly oriented powder mounts with the objective of determining the bulk mineralogical assemblage of the raw materials, rather than a detailed crystallographic characterization of the clay fraction. No purification steps were performed to remove accessory minerals or potential non-crystalline components, as the objective of the study was to evaluate the performance of the bulk, as-mined material in a state representative of a potential industrial product.
The results are summarized below in Table 2 and grouped by the source location of the samples. A detailed breakdown of the identified mineral phases for each sample is also presented.

3.1.2. Samples from the Ventzia Basin (Pefkaki and Belanida Sites)

The XRD analysis revealed that all samples from the Ventzia basin are composed of a mineralogical assemblage containing palygorskite and smectite as the main clay mineral phases. Accessory minerals identified include serpentine (likely lizardite), chlorite, quartz, and in some samples, talc. This assemblage is consistent with the weathering of the ultramafic parent rocks in the region. While our qualitative XRD analysis does not permit a quantitative assessment, the relative intensities of the primary reflections suggest that palygorskite and smectite are the principal components in all samples.

3.1.3. Commercial Benchmark Clay Samples

The commercial benchmark samples also showed a mixed mineralogy, containing impurities commonly found in industrial-grade clay products. ZEOGEL, which is one of the industry leaders, was confirmed to be composed of primarily palygorskite and smectite, but also contained significant carbonate impurities, specifically dolomite and calcite, in addition to quartz. The Senegal samples (SEN1, SEN2) which are both naturally occurring but for the purposes of this study are treated as benchmark sample material from Senegal, are composed from palygorskite and smectite with quartz. The SEN2 sample also contains calcite and dolomite. The commercial ZEOGEL and Senegal benchmark palygorskite samples used for comparative evaluation in this study were obtained from industrial suppliers. These materials were chosen specifically because they represent the type of industrial-grade products used in field applications, allowing for a direct and practically relevant performance comparison rather than a comparison against purified, laboratory-grade reference clays.

3.1.4. Laser Particle Size Analysis (LPSA)

The Laser Particle Size Analysis (LPSA) of the final, powdered clay samples was conducted using a Malvern Mastersizer 2000 laser diffraction analyzer. The analysis was conducted via a dry powder dispersion method, where the sample is introduced directly into the measurement cell. This instrument measures particle sizes across a range of 0.02 to 2000 μm. The results are reported as a volume-based percentage, from which the characteristic 10th (D10), 50th (D50), and 90th (D90) percentile values were calculated and shown in Table 3.
The results from the Laser Particle Size Analysis (LPSA) of the powdered clay samples is presented in Figure 6. The results reveal a distinct difference between the Greek palygorskite samples and the commercial ZEOGEL benchmark.
All six Greek samples exhibit very similar, broad and unimodal distributions with a median particle size (D50) ranging from approximately 31 to 40 μm. In contrast, the commercial ZEOGEL product shows a significantly narrower and more controlled particle size distribution. Its median particle size (D50) of 33.9 μm is comparable to that of the Greek clays and its D10 and D90 values reveal a more refined grind. The Greek clays possess a larger fraction of very fine particles (D10 values of 5–6 μm), whereas the ZEOGEL has a coarser fine fraction (D10 of 12.2 μm). More significantly, the Greek clays have a substantial tail of coarser particles with D90 values in the range of 105–122 μm. The ZEOGEL has a sharply truncated coarse end, with a D90 of only 73.8 μm. This indicates that the Greek clays that were processed at laboratory scale represent a less classified material with a wider PSD. This broader distribution that contains a mix of fine, medium, and coarse particles, may contribute positively to filtration control by enabling more efficient particle packing and the formation of a less permeable filter cake, a phenomenon explored later in this study.

3.1.5. Zeta Potential Analysis

The surface charge characteristics of the clay samples were evaluated by measuring their zeta potential (ζ). The measurements were performed on samples diluted to 0.1% w/w in deionized water using a Malvern Zetasizer Nano ZS (ZEN3600) was obtained from Malvern Panalytical, Malvern, United Kingdom. To further investigate the colloidal properties of the clays, the results from zeta potential measurements are presented in Table 4.
All samples exhibited the expected negative surface charge in deionized water, with ζ values ranging from near-neutral (−0.02) to −10.8 mV. This range indicates that the suspensions possess low electrostatic stability, suggesting that the fluid’s rheology is not primarily governed by inter-particle repulsion. A critical finding is the near-zero zeta potential of sample K30CB (−0.02 mV), which was the top-performing sample in rheological tests. This seemingly counterintuitive result provides a key insight into palygorskite’s viscosity-building mechanism. Unlike bentonite, which relies on electrostatic repulsion to create a stable gel, palygorskite builds structure through the mechanical entanglement of its needle-like fibers. The near-neutral surface of K30CB minimizes repulsive forces, allowing for more intimate fiber-to-fiber interaction and the formation of a more robust and efficient mechanical network, thus explaining its superior performance.

3.2. Preparation of Base Fluids

For the purposes of this work, three aqueous environments were used for preparing the drilling fluids: (a) Deionized Water (DW); (b) API-standard Salt Water (SW), prepared by dissolving 45 g ± 0.1 g of NaCl in 100 ± 1 mL of deionized water [45]; and (c) API-standard High-Hardness Salt Water (HH) [46]. The preparation of the high-hardness brine begins with the preparation of a base NaCl solution in a suitable container. To prepare this solution, 40 g ± 0.1 g of NaCl is dissolved in 100 ± 1 mL of deionized water. Following the API protocol, these formulations yield unsaturated brines with final concentrations below the saturation point of NaCl at room temperature. After continuous stirring, the solution is allowed to stand for at least 1 h before use. The solution is then decanted or filtered into a suitable storage container. Next, the high-hardness brine is prepared by adding 125.00 g ± 0.05 g of calcium chloride and 22.00 g ± 0.05 g of magnesium chloride to a sufficient quantity of the previously prepared NaCl solution to make a final volume of 1 L. The resulting brine was stirred for 30 min ± 30 s and then allowed to age for 16 h ± 2 h at room temperature, a step required by the API protocol to ensure complete dissolution and ionic equilibrium, after which it was collected in a large container.

3.3. Methods of Sample Sampling, Processing and Activation

A total of six bulk samples were collected from surface outcrops within the Ventzia basin. The sampling strategy was designed to obtain material that was representative of the deposit’s physical and mineralogical properties. To achieve this, suitable palygorskite-rich stratigraphic horizons were first identified. At each selected location, a transverse trench was excavated across the full thickness of the target layer, a standard geological technique known as channel sampling. Approximately 15 kg of material was collected from each channel to ensure a homogeneous and representative sample. The collected material was immediately placed in heavy-duty plastic bags, which were hermetically sealed to preserve the natural moisture content of the clay. This entire sampling procedure was conducted in accordance with established geological methods for mineral resource exploration [47].
The raw, bulk palygorskite samples were first processed by reducing their particle size to less than 2 cm using a laboratory jaw crusher. To ensure the material was fully representative of the as-mined deposit, the entire sample was processed, and no portion was sieved or rejected at this stage. Chemical activation was then performed by adding 2.25% by weight of reagent-grade magnesium oxide (MgO, >86% purity). The MgO powder was added directly to the crushed clay, which was at its natural moisture content of 40%–45% by weight, while the samples from Senegal had a moisture content of approximately 11%. It should be mentioned that, for the Ventzia samples, no preliminary drying was performed, ensuring their natural moisture content, while some water was added in the Senegal samples where necessary for the extrusion procedure. The produced mixtures were mechanically blended to form a homogeneous mixing process ensuring uniform distribution of the activator throughout the clay. Following this preparation, the activated clay mass was subjected to extrusion. Extrusion is a technological process aimed at improving the properties of clays by applying pressure to a plastic clay mass, forcing it to pass through circular dies [21]. An electric motor rotates a screw auger, which conveys the material under pressure towards a die plate with circular openings. The laboratory-scale extruder used for this study was not instrumented to directly measure extrusion pressure. However, the manufacturer states that the extruded is of low pressure operating in the range of 5–10 MPa. To maintain consistency across all samples we ensured a constant screw speed and using a fixed die geometry for all experimental runs. The material emerges from these openings shaped into cylindrical, elongated bodies. This process was repeated twice for each sample to achieve maximum efficiency. Extrusion also ensures the thorough mixing of the clay with any additives for optimal performance [18]. For the present study, the extrusion of the clays was performed at a laboratory scale. The extruded, cylindrical clay bodies, as well as the non-extruded reference samples, were placed in metal pans and subsequently transferred to a drying oven set at 60 °C. According to international standards, the moisture content of palygorskite should not exceed 16% by weight [45]. After drying, the samples were ground into a fine powder for laboratory use with a hammer mill. A hammer mill equipped with hardened stainless-steel hammers was selected for this final grinding stage. This method was chosen because it provides an efficient and rapid size reduction of the brittle extruded material, a process that is analogous to the large-scale milling techniques used in the commercial production of industrial minerals. The particle size of the resulting powdered clays did not exceed 120 μm.

3.4. Drilling Fluids Formulation

A series of drilling fluid suspensions were formulated to evaluate the performance of the activated Greek palygorskite and to compare it with the commercial ZEOGEL and the Senegal benchmark palygorskite. The experimental program included the following sets of fluids:
Activated Greek Palygorskite: The primary test fluids were prepared by dispersing the activated Greek palygorskite (containing 2.25% MgO by weight) into each of the three make-up waters: Deionized Water (DW), Salt Water (SW), and High-Hardness Salt Water (HH).
Commercial ZEOGEL and Senegal benchmark Palygorskite: For comparison, fluids were prepared using the two commercial samples from Senegal (SEN 1 and SEN 2). These samples were first activated with 2.25% MgO by weight and were subsequently tested under several conditions: initially dispersed in Deionized Water (DW), and then in both Salt Water (SW) and High-Hardness Salt Water (HH). This approach allows for a comprehensive evaluation of the Greek palygorskite’s performance against a benchmark across a range of relevant environmental conditions and activation levels.
Palygorskite suspensions for all test environments were prepared by adding 20 g of palygorskite to 350 mL of the respective aqueous solution. The suspensions were then mixed for a total of 20 min using a standard laboratory drilling fluid mixer (Hamilton Beach-type) equipped with corrugated impeller blades, operating at a nominal speed of 11,500 RPM. This equipment and the entire mixing procedure are in direct compliance with the specifications outlined in API Recommended Practice 13B-I [46]. After mixing, rheological measurements were taken using a Fann-type viscometer. For palygorskite to be suitable for use, it must comply with the requirements of this international standard as presented below in Table 5 [45,46].
The procedure for determining the rheological parameters of palygorskite begins with the preparation of a sufficient quantity of a NaCl solution. To prepare the palygorskite suspension, 350 ± 3 mL of the NaCl solution is placed into a specialized mixing cup, which is then mounted on a high-shear mixer. While the solution is under continuous agitation, a quantity of 20 ± 0.01 g of palygorskite is added to the mixing cup. After mixing for 5 min ± 6 s, the cup is removed from the mixer, and any clay material adhering to the walls is scraped down with a spatula (if necessary). The suspension is then returned to the mixer for further agitation. If necessary, the mixing cup is removed again to scrape down any adhered clay. This process is repeated after another 5 min, and then again after 10 min, for a total mixing time of 20 ± 1 min. Upon completion of the 20 min mixing period, the palygorskite suspension is poured into the specialized metal cup of a rotational viscometer. To reduce any foam that has formed on the surface, 2 to 3 drops of an anti-foaming agent was added. The cup containing the suspension is placed on the viscometer, and the instrument is set in motion. The viscometer dial reading for six speeds {600, 300, 200, 100, 6, 3} RPM is recorded once it reaches a stable value.

3.5. Testing Methods

The performance of each drilling fluid was evaluated using standard American Petroleum Institute (API) protocols [45,46]. These methods are widely applied for the fundamental characterization of various water-based drilling fluid systems, from conventional fluids to those designed for specialized applications like deepwater drilling or those incorporating novel additives [48,49]. Standard rheological measurements were taken by recording the dial readings from a Couette rotational viscometer at various speeds. As a key part of this profile, the fluid’s thixotropic behavior was quantified by measuring its 10 s and 10 min gel strengths, which indicate the ability to suspend solids during static periods. This procedure was conducted in accordance with API standards, by first pre-shearing the fluid at 600 rpm for 10–15 s to standardize its initial state. The 10 s gel strength was then determined by recording the peak dial deflection at 3 rpm after a 10 s static interval. The process was repeated with a 10 min static period to obtain the 10 min gel strength, with all values reported in Pascals after appropriate conversions. The static filtration behavior of each drilling fluid was characterized to assess its sealing efficiency. The LPLT (Low-Pressure, Low-Temperature) filtration test was conducted as per API guidelines. For each test, a fluid sample was subjected to a constant differential pressure of 100 psi for a 30 min period. The total volume of collected liquid, reported in mL, constitutes the API filtrate loss. Following the test at 30 min, the thickness of the filter cake thickness that was deposited on the filter paper is measured in (mm) to evaluate its quality [2,30].

4. Experimental Results and Discussion

This section presents the analysis of the experimental results, beginning with the fundamental rheological behavior of the fluid suspensions. The experimental flow curve data (shear stress vs. shear rate) for all suspensions were fitted to the three-parameter Herschel–Bulkley (H-B) constitutive model. This model was chosen because it accurately describes the behavior of yield-pseudoplastic fluids, which is characteristic of most drilling muds. Furthermore, the H-B model is a more comprehensive representation than simpler two-parameter models like the Bingham Plastic or Power Law, as it accounts for both the initial yield stress (τ0) required to initiate flow and the non-linear, shear-thinning behavior of the fluid. The mathematical form of the Herschel–Bulkley model is [2]:
τ = τ 0 + K γ ˙ n
where τ is the shear stress, τ0 is the yield stress, K is the consistency index, γ ˙ is the shear rate, and n is the flow behavior index. The model provided an excellent fit to our experimental data across all tested fluids, with coefficients of determination (R2) consistently exceeding 0.99, confirming its suitability for this analysis. More details on the curve fitting method we have used can be found in [50].
Following this, a detailed analysis of the key API rheological parameters is provided, including plastic viscosity, yield point, and the 10 s and 10 min gel strengths, which are critical for assessing the fluid’s carrying capacity and thixotropic properties. The influence of the clays on the fluid’s pH is also presented. Finally, the crucial performance metric of filtration control is evaluated through an analysis of API fluid loss and filter cake thickness. Throughout this section, the performance of the Ventzia basin samples is systematically compared against the commercial ZEOGEL and the Senegal benchmarks across the three different aqueous environments (DW, SW, and HH).
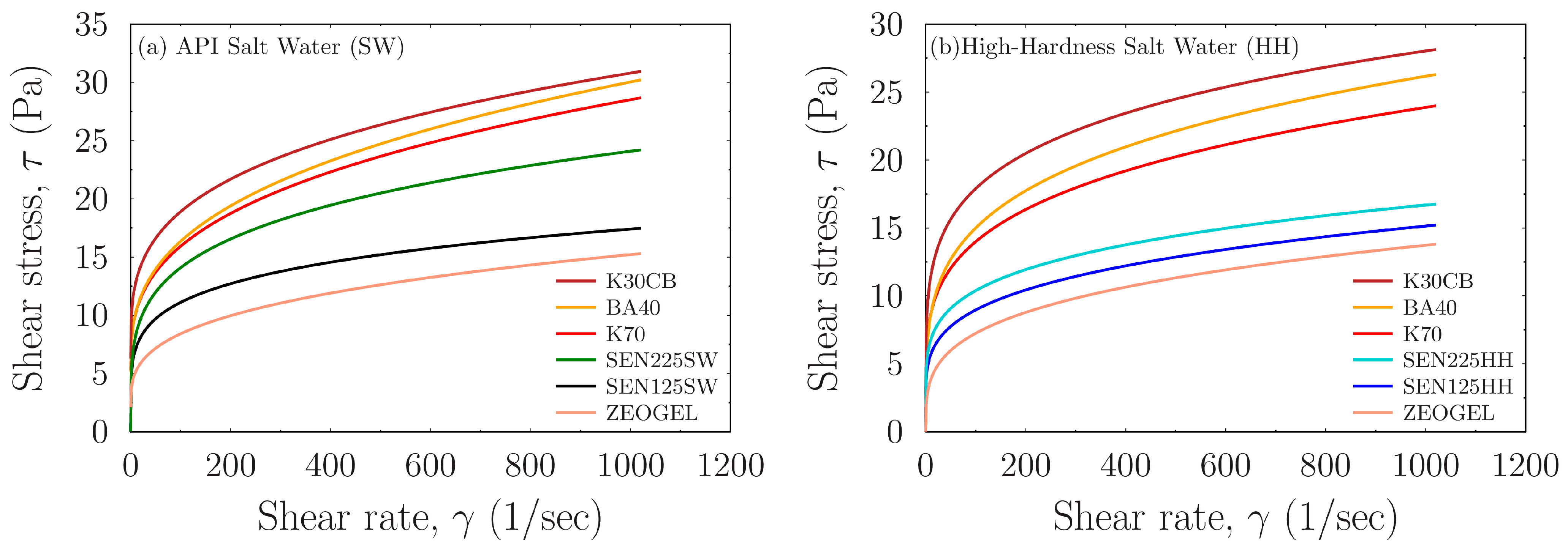
The fundamental rheological behavior of the prepared drilling fluids is presented in Figure 7, which shows the flow curves (shear stress, τ, versus shear rate, γ) for all palygorskite suspensions examined. These curves provide a comprehensive fingerprint of each drilling fluid’s performance across the different aqueous environments. All suspensions exhibit non-Newtonian, pseudoplastic behavior, characterized by a non-linear relationship where viscosity decreases as shear rate increases. Furthermore, the positive intercepts on the shear stress axis indicate that all fluids possess a yield stress that is critical for suspending drill cuttings under static conditions.
Figure 7a illustrates the performance of the six activated Greek palygorskite drilling fluid suspensions and the commercial ZEOGEL in deionized water. There is a distinct hierarchy of performance among the samples. The suspensions prepared with samples K70 and K30CB exhibit the highest shear stresses across the entire range of shear rates, indicating they have higher thixotropy. Several other Greek samples, including BA40 and K30B, also show robust performance. Notably, these top-tier Greek samples compare quite well with the commercial ZEOGEL, which ranks low in the group. The sample K40B consistently shows the lowest rheological profile. The performance of samples K70 and K30CB in an environment like deionized water suggests they possess a combination of favorable intrinsic properties. As established in the literature [8], a higher aspect ratio (length-to-width) of palygorskite’s needle-like fibers leads to more efficient mechanical entanglement and the formation of a more robust ‘brush-heap’ structure. Therefore, the exceptionally high shear stresses generated by K70 and K30CB are indicative of a palygorskite component with these favorable morphological characteristics, combined with a high degree of purity and dispersion. This creates greater resistance to flow. The comparatively moderate performance of ZEOGEL can be linked to its mineralogical composition. The XRD analysis confirmed the presence of carbonate impurities (dolomite and calcite). These non-clay minerals act as inert solids with little contribution to the viscosity and effectively diluting the concentration of the active palygorskite, thus diminishing its overall viscosifying efficiency.
Figure 7b shows the flow curves for the same set of samples prepared in API-standard salt water (45 g/L NaCl). A general suppression of rheological performance is observed for most samples when compared to their behavior in deionized water, as evidenced by the overall lower shear stress values. However, the performance ranking remains largely consistent. Samples K70 and K30CB continue to be the top performers, maintaining a significant thixotropy advantage. The gap between the best-performing Greek clays and the commercial ZEOGEL appears to widen in this saline environment. The reduction in viscosity is primarily due to the presence of co-existing smectite in the raw clay samples. In a high-electrolyte environment, the sodium cations (Na+) from the salt compresses the electrical double layer (EDL) surrounding the smectite platelets. This neutralizes the electrostatic repulsive forces that cause smectite to swell and build viscosity in fresh water, leading to flocculation and a collapse of its contribution to the fluid’s structure. The sustained high performance of K70 and K30CB powerfully demonstrates the salt tolerance of palygorskite. Since palygorskite builds viscosity mainly through mechanical fiber entanglement, a mechanism independent of surface charge, it remains effective in this aqueous environment. These samples behave better because their rheology is dominated by their high-quality palygorskite component, which is resilient to the destabilizing effects of salinity.
Figure 7c presents the flow curves for the suspensions in the high-hardness saline environment, which contains divalent cations (Ca2+ and Mg2+) in addition to NaCl. The rheological suppression is even more pronounced in the high-hardness water. All samples exhibit lower shear stresses than in the standard salt water. The performance hierarchy is maintained, but the differentiation becomes starker. The K70 and K30CB samples retain a clear lead, while the lower-performing samples are clustered together at the bottom with very similar, diminished profiles. The severe degradation in performance is caused by the divalent cations (Ca2+, Mg2+). These ions are far more effective at compressing the EDL of smectite than monovalent Na+, leading to an almost complete neutralization of the smectite’s viscosifying contribution. In this harsh chemical environment, the measured rheology is almost exclusively a function of the palygorskite’s structural network and the MgO activation. The exceptional performance of K70 and K30CB under these challenging conditions underscores the high quality of their palygorskite fraction, confirming their suitability for applications in hard brines where conventional bentonite-based systems would fail entirely.
Figure 7d illustrates the rheological behavior of the commercial Senegal samples, activated with 2.25% MgO, across the three different aqueous environments. The results demonstrate that the performance of the activated clay is highly dependent on the make-up water. A notable trend is observed in the deionized water suspension (SEN225DW), which exhibits a unique profile: it shows high shear stress at low shear rates but is surpassed by the saltwater equivalent (SEN225SW) at higher shear rates. The crossover behavior suggests a complex interaction between the MgO activation and fluid chemistry. In deionized water, the highly activated clay may form initial aggregates that provide high initial viscosity but are susceptible to breaking down under increasing shear. In contrast, the electrolytes in the saline water may help stabilize the particle network, leading to a more durable structure at higher shear rates. This highlights that the effectiveness of the MgO activation is strongly influenced by the ionic environment of the drilling fluid. Positively charged MgO particles are believed to interact with the negatively charged surfaces of the clay fibers, strengthening the particle network and enhancing the gel structure, as suggested by [18]. This leads to a more robust fluid and a higher yield point. The crossover behavior observed in Figure 7d suggests a complex interaction between activation and fluid chemistry. In deionized water, the highly activated clay may form initial aggregates that break down under shear, while in saline water, the presence of electrolytes may help stabilize the MgO-clay interactions, leading to a more durable structure at higher shear rates.
When comparing the rheological profiles across the different sources, the top-performing Greek clays from the Pefkaki site (K70 and K30CB) consistently demonstrated a superior intrinsic quality. Even when compared to the highly activated Senegal benchmark (SEN225), these specific Ventzia samples generated higher shear stress, particularly in the challenging saline and high-hardness environments. The samples from the Belanida site also proved to be competitive, delivering a rheological performance that was often comparable to the main commercial drilling fluid ZEOGEL. The Senegal samples, in turn, serve as an excellent benchmark for the activation process itself because they show a strong and positive response to the 2.25% MgO treatment, achieving a high level of performance. However, results from the best Pefkaki samples suggest that their raw mineralogical characteristics, such as palygorskite purity and fiber aspect ratio, provide a higher performance ceiling that is less dependent on chemical enhancement alone.
To quantify the performance differences observed in the flow curves, the data were used to calculate the standard American Petroleum Institute (API) rheological parameters. Figure 8 presents a comparative analysis of the Plastic Viscosity (PV), Yield Point (YP), and the 10 s and 10 min Gel Strengths (GS) for all samples across the three aqueous environments. These parameters provide critical insights into the fluid’s mechanical friction, carrying capacity, and thixotropic properties. Figure 8a shows the Plastic Viscosity, which represents the mechanical friction within the drilling fluid caused by the size, shape, and concentration of the suspended solids. In deionized water, samples K30CB and K70 exhibit the highest PV values, consistent with their superior performance in the flow curves. As the fluid environment becomes more saline, the PV of most Greek samples tends to decrease. In contrast, the commercial ZEOGEL and the Senegal benchmark samples show a more stable or slightly decreasing PV across the different water types. The high PV of K30CB and K70 in deionized water reflects a high concentration of well-dispersed, high-aspect-ratio fibers, which increases the potential for mechanical interference and friction under shear. The general decrease in PV for the Greek samples in saline and hard water is primarily a consequence of the flocculation of the co-existing smectite phase. As the smectite platelets aggregate due to charge neutralization, their contribution to the overall mechanical friction diminishes, resulting in a lower PV.
The relative stability of the commercial samples’ PV suggests they may contain less smectite or a less reactive form of it, making their mechanical friction properties less sensitive to changes in water chemistry.
The Yield Point, presented in Figure 8b, is a measure of the electrochemical or attractive forces within the fluid under flow conditions. It is a critical indicator of a drilling fluid’s ability to lift and carry drill cuttings to the surface. The YP data strongly correlates with the overall performance trends. Samples K30CB and K70 demonstrate exceptionally high YP values in deionized water, far surpassing all other samples, including the highly activated Senegal clay SEN225. A dramatic reduction in YP is observed for all Greek samples upon introduction of salt (SW) and is further suppressed in the presence of divalent cations (HH). Despite this reduction, K30CB and K70 maintain the highest YP values among the Greek clays in these challenging environments. Notably, the highly activated Senegal sample (SEN225) shows robust YP performance in saline water, rivaling that of the top Greek samples. The outstanding YP of K30CB and K70 in deionized water is the result of a synergistic effect between the mechanical entanglement of the palygorskite fibers and the electrostatic repulsion of the well-dispersed smectite platelets. This creates a very strong and resilient fluid structure. The sharp drop in YP in saline environments is a clear indicator of the collapse of the smectite’s contribution due to flocculation. In SW and HH water, the measured YP is almost entirely dependent on the quality of the palygorskite’s “brush-heap” network and the effect of the MgO activation. The fact that K30CB and K70 still lead the Greek samples under these conditions confirms the high quality of their palygorskite component. The strong performance of SEN225 highlights the significant benefit of a higher MgO activation level in enhancing the particle-particle attractive forces that govern the YP.
The excellent performance of samples K30CB and K70, particularly their high yield point and viscosity, can be directly attributed to the morphological characteristics of their palygorskite fibers. As established in the literature, a high aspect ratio (length-to-width) of the individual fibers is the critical factor governing the performance of palygorskite in fluid suspensions. Studies by [8] demonstrated a direct correlation, showing that samples with longer and thinner fibers exhibit significantly higher viscosity and yield values. This is because a higher aspect ratio promotes more efficient mechanical entanglement, leading to the formation of a more robust ‘brush-heap’ structure [4]. Furthermore, the quality and crystallinity of the palygorskite, which is reflected in longer fiber lengths (10–50 μm), is known to be controlled by the magnesium content of the parent material [51]. Therefore, while direct SEM imaging was not conducted as part of this study, the exceptional rheological data and parameters for K30CB and K70 serve as strong indirect evidence that these specific samples from the Ventzia basin possess a palygorskite component with these favorable, high-aspect-ratio morphological characteristics. The comparatively moderate performance of ZEOGEL, in contrast, can be linked to its mineralogical composition, as the presence of non-viscosifying carbonate impurities acts to dilute the concentration of the active palygorskite.
Figure 8c,d illustrate the 10 s and 10 min gel strengths, respectively. These parameters quantify the thixotropic nature of the fluid, which is its ability to form a gel structure under static conditions to suspend solids and then thin again upon agitation. The gel strength trends closely mirror those of the Yield Point. Samples K30CB and K70 consistently generate the most robust gel structures, especially in the 10 min measurement (Figure 8d). The performance of K30CB is particularly remarkable in the high-hardness water (HH), where its 10 min gel strength is the highest of all samples, indicating exceptional stability. Conversely, the commercial ZEOGEL exhibits consistently low gel strengths across all environments, suggesting low suspension capacity during static periods. The strong gel development in samples K30CB and K70 is a direct result of their high-quality palygorskite network, which rapidly re-establishes its structure after shearing stops. The exceptional 10 min gel strength of K30CB in the high-hardness brine is a key finding. It demonstrates that this specific material can form a highly effective and cation-resistant thixotropic gel, making it ideal for challenging drilling applications were preventing the settling of cuttings is critical. The low gel strength performance of ZEOGEL appears as a deficiency. While it can provide viscosity under flow (as seen in its YP values), its weakness to form a strong static gel would make it unreliable for suspending weighting agents and cuttings when circulation is stopped.
It is also important to note the standout performance of sample BA40 in the 10 min gel strength measurement, particularly in the high-hardness brine (Figure 8d). While its Yield Point is lower than that of the top-performing samples (K30CB & K70), its 10 min gel strength is exceptionally high. This behavior is likely attributed to a synergistic interaction between its palygorskite and smectite components. In the cation-rich HH environment, the aggressive flocculation of the smectite platelets creates aggregates that may not significantly contribute to the fluid’s dynamic strength. However, over a 10 min static period, these flocculated smectite structures can effectively reinforce the primary palygorskite fiber network, leading to the formation of an exceptionally robust static gel. This interpretation is consistent with BA40’s excellent filtration control performance in the same brine as it will be shown in Figure 10.
The pH of a drilling fluid is a master variable that influences clay hydration, additive performance, and overall system stability. It is important to note that the pH values reported in this study were not adjusted to a specific setpoint. Instead, they represent the final, un-buffered equilibrium pH that naturally resulted from the chemical interactions between each clay sample, the MgO activator, and the specific aqueous environment. Figure 9 presents the final pH values measured for all palygorskite suspensions, providing insight into the chemical interactions between the clays and the three distinct aqueous environments. The results reveal a clear and systematic relationship between the fluid’s ionic composition and its final pH. A consistent trend is observed across all tested samples. Suspensions prepared in deionized water (DW) uniformly exhibit a strongly alkaline character, with pH values typically ranging from 9.5 to nearly 10.0. When the same clays are prepared in API-standard salt water (SW), the pH is consistently lowered into a mildly alkaline range, generally between 8.0 and 8.7. This effect is even more pronounced in the high-hardness salt water (HH), which drives the pH of all suspensions down to a near-neutral range of approximately 7.0 to 7.5.
The explanation for these systematic shifts lies in the governing chemical equilibria. The high alkalinity observed in deionized water is primarily driven by the hydrolysis of MgO, which was added as an activator. MgO reacts with water to form magnesium hydroxide, a base that releases hydroxide ions (OH) and raises the pH. In the saline water, the high ionic strength of the NaCl solution creates a buffering effect that suppresses the dissolution of alkaline components, resulting in a lower final pH. The most significant chemical interaction occurs in the high-hardness brine. The high concentration of divalent cations (Ca2+ and Mg2+) readily reacts with the available hydroxide ions to precipitate as low-solubility hydroxides, primarily Mg(OH)2. This precipitation reaction effectively consumes the OH ions from the fluid, preventing the pH from rising and stabilizing it near neutrality. This demonstrates the powerful buffering capacity of hard brines, an important consideration for drilling fluid formulation where pH control is critical.
An essential function of a drilling fluid is to form a thin, low-permeability filter cake on the wellbore wall to minimize fluid invasion into the formation and ensure wellbore stability. Figure 10 presents the results of the static LPLT filtration tests, showing the API fluid loss volume (a) and the corresponding filter cake thickness (b) for all suspensions. The results reveal a consistent and somewhat counterintuitive trend across all palygorskite samples. The highest fluid loss, indicating the poorest filtration control, is consistently observed in the deionized water (DW) suspensions. The introduction of salinity significantly improves performance, with the API salt water (SW) fluids showing substantially lower fluid loss. The best performance, characterized by the lowest fluid loss volumes, is uniformly achieved in the high-hardness salt water (HH) environment. This demonstrates that the same chemical conditions that suppress the fluid’s rheology enhance its sealing capabilities. Samples from the Ventzia basin, particularly K30B, V20, and BA40, exhibit excellent filtration control in the HH brine, with fluid loss values that are competitive with or superior to the commercial benchmarks.
The possible reason for this behavior is directly linked to the flocculation of the smectite component present in the clays. In deionized water, the smectite platelets are well-dispersed, and the palygorskite fibers form a network. This combination creates a relatively disordered and highly permeable filter cake, allowing a large volume of filtrate to pass through. In saline environments (SW and HH), cations neutralize the surface charges on the smectite, causing the platelets to flocculate into aggregates. These aggregates are far more effective at plugging the pores in the filter medium, creating a much less permeable seal and drastically reducing fluid loss. The divalent cations (Ca2+ and Mg2+) in the HH brine are particularly effective flocculants, which explains why the best filtration control is observed in this fluid.
The filter cake thickness data that is shown in Figure 10b provides further insight into the cake’s structure. While high fluid loss in DW corresponds to a thick inefficient filter cake, the cakes formed in the saline fluids present a more complex picture. The flocculated aggregates in the SW environment often form a thick but low-permeability cake, as seen with sample BA40, which has the thickest cake in SW but maintains good fluid loss control. In the HH brine, the intense flocculation leads to the formation of a much thinner, denser, and more competent filter cake. This is the ideal scenario for a drilling fluid, minimal fluid loss combined with a thin, non-invasive filter cake. The ability of the Greek palygorskites to produce these high-quality filter cakes in hard brines underscores their potential for future use in drilling fluids.
A noteworthy observation in Figure 10b is the behavior of sample BA40 in the API Salt Water (SW). While it provides effective filtrate loss control, it forms a comparatively thick filter cake that seems counterintuitive. This phenomenon can be explained by the microstructure of the cake formed by flocculated smectite in a monovalent saline environment. The sodium cations in the SW brine induce a voluminous ‘house-of-cards’ flocculation of the smectite platelets. This structure is inherently thick because it does not pack efficiently and traps a significant amount of fluid within its matrix. However, the flow paths through this network are highly tortuous, which does not allow easy transmissibility for filtrate loss resulting in effective fluid loss control. This contrasts with the behavior in the high-hardness brine, where divalent cations promote more compact aggregation, leading to the formation of a much thinner and denser filter cake, as observed for most samples in the HH environment.
Figure 11 presents a direct comparison of the rheological performance of selected activated Greek palygorskite samples (K30CB, BA40, K70), commercial benchmarks (ZEOGEL), and activated Senegal clays (SEN125, SEN225). The flow curves are plotted for (a) API Salt Water (SW) and (b) High-Hardness Salt Water (HH). In Figure 11a,b, the curves demonstrate non-Newtonian, pseudoplastic behavior with a distinct yield stress, which is characteristic of effective drilling fluid viscosifiers.
The presented comparison of Figure 11 provides visual evidence for the high performance of the activated Greek palygorskite. The materials sourced from the Ventzia basin, particularly samples K30CB, BA40 and 70, show comparable behavior to established commercial and international benchmarks in demanding saline and high-hardness conditions. The ability of the Greek clays to maintain a significant rheological advantage in the presence of high concentrations of monovalent and divalent cations shows their robustness and high intrinsic quality. This confirms their strong potential as a high-performance, locally sourced alternative for formulating resilient water-based drilling fluids for challenging environments.

5. Conclusions

This study conducted a comprehensive performance evaluation of palygorskite sourced from the Ventzia basin in Greece to determine its suitability as a viscosifying additive for water-based drilling fluids in saline environments. Following a defined protocol of mechanical and chemical activation via extrusion and treatment with magnesium oxide, the rheological and filtration characteristics of six distinct Greek clay samples were systematically investigated. The evaluation was performed across three progressively challenging aqueous environments: deionized water, API-standard salt water, and a high-hardness saline brine. By benchmarking the performance of the activated Greek palygorskite against that of established commercial products, this work provides a clear assessment of the material’s potential as a technically viable solution and locally sourced alternative for the drilling industry. The key findings from this investigation are summarized as follows:
  • Greek Palygorskite drilling fluid suspensions presented excellent rheological performance. The samples from the Ventzia basin, specifically K70 and K30CB, demonstrated rheological performance that is comparable to and, in some cases, better than that of the commercial ZEOGEL and Senegal benchmarks. These samples consistently produced fluids with higher viscosity, Yield Point, and thixotropic gel strengths, highlighting the high quality of the raw material.
  • The sample K30CB showed greater gel strength. A standout finding was the ability of most Greek palygorskites to generate robust thixotropic gel structures. This performance was most notable in the high-hardness brine, where the material’s ability to develop strong gels after 10 min is critical for preventing solids from settling in challenging drilling operations.
  • The study identified a crucial performance trade-off related to the smectite present in the Ventzia basin clays. That is, the co-existing smectite in the samples had influential effects. The flocculation of this smectite in saline environments caused a reduction in the fluid’s viscosity and Yield Point. However, this same flocculation mechanism was highly beneficial for filtration control, as the aggregated particles created a low-permeability filter cake and significantly reduced fluid loss.
  • The investigation confirmed that the ionic composition of the make-up water is the primary factor controlling the performance of these mixed-mineralogy clays, showing that fluid chemistry is the dominant performance driver. This is a key conclusion, that fluid chemistries can influence the rheological properties. It was shown that high salinity and high hardness simultaneously enhance the fluid’s sealing and filtration control capabilities.
  • The overall performance of the activated Greek palygorskite from the Ventzia basin, especially its resilience in high-salinity and high-hardness brines, confirms its potential as a technically viable, high-performance, and locally sourced alternative to imported commercial products for the drilling fluids industry.
Ultimately, this investigation provides the first comprehensive performance validation of palygorskite from the Ventzia basin for high-performance water-based drilling fluid suspensions. The novelty of this study lies in its systematic evaluation of this specific, under-characterized Greek resource following a targeted activation protocol, and testing it under a range of challenging saline and high-hardness conditions not widely addressed in the literature. The direct benchmarking against industry-standard commercial products further establishes a clear context for its capabilities. The significance of these findings is twofold. First, it highlights the potential for a domestic mineral resource to serve as a technically robust and sustainable alternative to imported materials, offering clear economic and environmental advantages. While a full economic assessment, including a detailed estimation of the deposit’s resource size, is beyond the scope of this technical study, these positive performance results provide the foundational justification for such future commercial evaluation. Second, it provides valuable technical insights into the performance trade-offs of palygorskite-smectite clays in cation-rich brines, offering practical guidance for the formulation of resilient drilling fluids. Therefore, this study not only fills a significant gap in the characterization of a regional clay deposit but also supports the broader goals of sustainable resource management in the industrial minerals sector. While this investigation establishes the material’s robust performance under complex chemical conditions, a future study evaluating its thermal stability under HPHT conditions would be a valuable next step in fully qualifying it for deep well applications.

Author Contributions

Conceptualization, D.P., E.N.S. and N.K.; Methodology, D.P., E.N.S. and N.K.; Software, D.P. and E.N.S.; Validation, D.P., E.N.S. and N.K.; Formal analysis, D.P., E.N.S. and N.K.; Investigation, D.P., E.N.S. and N.K.; Resources, D.P., E.N.S. and N.K.; Data curation, D.P., E.N.S. and N.K.; Writing—original draft, D.P., E.N.S. and N.K.; Writing—review & editing, D.P., E.N.S. and N.K.; Visualization, D.P., E.N.S. and N.K.; Supervision, E.N.S. and N.K.; Project administration, E.N.S. and N.K. All authors have read and agreed to the published version of the manuscript.

Funding

This research work received no funding.

Data Availability Statement

All data are embedded in the results. The authors would gladly share the results upon request.

Conflicts of Interest

The authors declare no conflict of interest.

References

  1. Choupani, M.A.; Moradi, S.S.T.; Nejad, S.A.T. Study on attapulgite as drilling fluid clay additive in Persian Gulf seawater. Int. J. Eng. 2022, 35, 587–595. [Google Scholar] [CrossRef]
  2. Ramsis, Y.; Gravanis, E.; Sarris, E. Colloidal properties of polymer amended Cyprus bentonite for water-based drilling fluid applications. Colloids Surf. A 2024, 682, 132983. [Google Scholar] [CrossRef]
  3. Zhao, X.; Wang, Y.B.; Cao, F.H.; Niu, C.Y.; Liu, Z.Q.; Wang, L. Optimization and application of KCl polymer drilling fluid balancing wellbore stability and logging response accuracy. Pet. Sci. 2025, 22, 4645–4655. [Google Scholar] [CrossRef]
  4. Baltar, C.A.M.; Luz, A.B.; Baltar, L.M.; Oliveira, C.H.; Bezerra, F.J. Influence of morphology and surface charge on the suitability of palygorskite as drilling fluid. Appl. Clay Sci. 2009, 42, 597–600. [Google Scholar] [CrossRef]
  5. Santanna, V.C.; Silva, S.L.; Silva, R.P.; Castro Dantas, T.N. Use of palygorskite as a viscosity enhancer in salted water-based muds. Clay Miner. 2020, 55, 48–52. [Google Scholar] [CrossRef]
  6. Haden, L.W., Jr.; Schwint, A.I. Attapulgite: Its properties and applications. Ind. Eng. Chem. 1967, 59, 8–69. [Google Scholar] [CrossRef]
  7. Bradley, W.F. The structural scheme of attapulgite. Am. Mineral. 1940, 25, 405–410. [Google Scholar]
  8. Neaman, A.; Singer, A. Rheological properties of aqueous suspensions of palygorskite. Soil Sci. Soc. Am. J. 2000, 64, 427–436. [Google Scholar] [CrossRef]
  9. Christidis, G.E.; Katsiki, P.; Pratikakis, A.; Kacandes, G. Rheological properties of Palygorskite–Smectite suspensions from the Ventzia basin, W. Macedonia, Greece. Bull. Geol. Soc. Greece 2010, 43, 2552–2569. [Google Scholar] [CrossRef][Green Version]
  10. Chemeda, Y.C.; Christidis, G.E.; Khan, T.N.; Koutsopoulou, E.; Haztistamou, K.; Kelessidis, V.C. Rheological properties of palygorskite–bentonite and sepiolite–bentonite mixed clay suspensions. Appl. Clay Sci. 2014, 90, 165–174. [Google Scholar] [CrossRef]
  11. Murray, H.H. Traditional and new applications for kaolin, smectite, and palygorskite. Appl. Clay Sci. 2000, 17, 207–221. [Google Scholar] [CrossRef]
  12. Neaman, A.; Singer, A. Possible use of Sacalum (Yucatan) palygorskite as drilling mud. Appl. Clay Sci. 2004, 25, 121–124. [Google Scholar] [CrossRef]
  13. Murray, H.H. Applied Clay Mineralogy (Developments in Clay Science, Vol. 2); Elsevier: Amsterdam, The Netherlands, 2007. [Google Scholar]
  14. Jones, B.F.; Galán, E. Sepiolite and palygorskite. In Hydrous Phyllosilicates (Reviews in Mineralogy, Vol. 19); Bailey, S.W., Ed.; Mineralogical Society of America: Washington, DC, USA, 1988; pp. 631–674. [Google Scholar]
  15. Galán, E.; Mesa, J.M.; Sanchez, C. Properties and applications of palygorskite clays from Central Spain. Appl. Clay Sci. 1994, 9, 293–302. [Google Scholar] [CrossRef]
  16. Sawyer, E.; Haden, W., Jr. Drilling Fluid and Mud Thickening Agent. U.S. Patent 3,185,642, 25 May 1965. [Google Scholar]
  17. Diop, M.B.; Kane, A.D.; Diasse-Sarr, A.; Ndiaye, A.A.; Gomina, M.; Bouguerra, A. Valorisation des rejets de traitement d’attapulgite de Allou Kagne en boue de forage: Caractérisation et étude expérimentale. J. Soc. Ouest Afr. Chim. 2006, 21, 19–27. [Google Scholar]
  18. Zhou, F.; Li, T.; Yan, Y.; Cao, C.; Zhou, L.; Liu, Y. Enhanced viscosity of aqueous palygorskite suspensions through physical and chemical processing. Adv. Mater. Sci. Eng. 2015, 2015, 941580. [Google Scholar] [CrossRef]
  19. Zhang, T.; Li, T.; Li, Y.; Guo, G.; Gui, J.; Zhou, F. Preparation and rheological properties of attapulgite gel. In Advances in Computer Science Research; Atlantis Press: Paris, France, 2016; Volume 59. [Google Scholar]
  20. Xu, J.X.; Zhang, J.P.; Wang, Q.; Wang, A.Q. Disaggregation of palygorskite crystal bundles via high-pressure homogenization. Appl. Clay Sci. 2011, 54, 118–123. [Google Scholar] [CrossRef]
  21. Xu, J.; Wang, W.; Wang, A. Enhanced microscopic structure via extrusion & homogenization. Appl. Clay Sci. 2014, 95, 365–370. [Google Scholar]
  22. Chen, J.; Jin, Y.L.; Qian, Y.H.; Hu, T. A new approach to efficiently disperse aggregated palygorskite into single crystals via adding freeze process into traditional extrusion treatment. IEEE Trans. Nanotechnol. 2010, 9, 6–10. [Google Scholar] [CrossRef]
  23. Xu, J.; Wang, W.; Mu, B.; Wang, A. Effects of inorganic sulfates on palygorskite. Colloids Surf. A 2012, 405, 59–64. [Google Scholar] [CrossRef]
  24. Xu, J.; Wang, W.; Wang, A. Superior dispersion properties of palygorskite in DMSO. Appl. Clay Sci. 2013, 86, 174–178. [Google Scholar] [CrossRef]
  25. Xu, J.; Wang, W.; Wang, A. Solvent treatment & homogenization for dispersion of palygorskite. Powder Technol. 2013, 235, 652–660. [Google Scholar]
  26. Xu, J.; Wang, W.; Wang, A. Influence of anions on electrokinetic and colloidal properties. J. Chem. Eng. Data 2013, 58, 764–772. [Google Scholar] [CrossRef]
  27. Simonton, T.C.; Komarneni, S.; Roy, R. Gelling properties of sepiolite vs. montmorillonite. Appl. Clay Sci. 1988, 3, 165–176. [Google Scholar] [CrossRef]
  28. Sulaiman, N.M.; Al-Zubaidi, N.S. Improve rheological properties of palygorskite water-based drilling fluid by caustic soda and soda ash. J. Eng. 2020, 26, 1–17. [Google Scholar] [CrossRef]
  29. Sulaiman, N.M.; Al-Zubaidi, N.S. The performance of Iraqi palygorskite in salt drilling fluid. Assoc. Arab Univ. J. Eng. Sci. 2020, 27, 74–82. [Google Scholar] [CrossRef]
  30. Papadimitriou, D.; Sarris, E.N.; Georgakopoulos, A.; Kantiranis, N. Colloidal Properties of Clays from Ventzia Basin Enhanced with Chemical Additives and Subjected to Dynamic Thermal Aging Suitable for Water-Based Drilling Fluids. Colloids Interfaces 2025, 9, 65. [Google Scholar] [CrossRef]
  31. Buffett, J.B. Attapulgite Clay Thickening Agent and Method for Making the Same. U.S. Patent 3,205,082, 7 September 1965. [Google Scholar]
  32. Kostopoulos, D.S.; Koufos, G.D. Palaeoecological remarks on Plio-Pleistocene mammalian faunas. Geol. Soc. Greece Spec. Publ. 2000, 9, 139–150. [Google Scholar]
  33. Papadimitriou, D.S. Rheological Properties of Suspensions of Activated Palygorskite and Mg-Fe-Smectite from Grevena Using Polymers. Master’s Thesis, Aristotle University of Thessaloniki, Thessaloniki, Greece, 2020. [Google Scholar]
  34. Mytiglaki, C. Genesis of the Palygorskite–Smectite Deposits in the Wider Area of Grevena-Kozani. Ph.D. Thesis, Aristotle University of Thessaloniki, Thessaloniki, Greece, 2023. [Google Scholar]
  35. Singer, A. Palygorskite and sepiolite. In Soil Mineralogy with Environmental Applications; Dixon, J.B., Schulze, D.G., Eds.; SSSA Book Series, No. 7; Soil Science Society of America: Madison, WI, USA, 2002; pp. 555–583. [Google Scholar]
  36. Singer, A.; Galán, E. Developments in Palygorskite–Sepiolite Research: A New Outlook on These Nanomaterials (Developments in Clay Science, Vol. 3); Elsevier: Amsterdam, The Netherlands, 2011. [Google Scholar]
  37. Kastritis, I.D.; Kacandes, G.H.; Mposkos, E. The palygorskite and Mg-Fe-smectite clay deposits of the Ventzia Basin, Western Macedonia, Greece. In Mineral Exploration and Sustainable Development; Eliopoulos, D.G., Ed.; Millpress: Rotterdam, The Netherlands, 2003; pp. 891–894. [Google Scholar]
  38. Gionis, V.; Kacandes, G.H.; Kastritis, I.D.; Chryssikos, G.D. On the structure of Palygorskite by mid and near-infrared spectroscopy. Am. Mineral. 2006, 91, 1125–1133. [Google Scholar] [CrossRef]
  39. Gionis, V.; Kacandes, G.H.; Kastritis, I.D.; Chryssikos, G.D. Combined near-infrared and XRD investigation of the octahedral sheet composition of Palygorskite. Clays Clay Miner. 2007, 55, 543–553. [Google Scholar] [CrossRef]
  40. Chryssikos, G.D.; Gionis, V.; Kacandes, G.H.; Stathopoulou, E.T.; Suárez, M.; García-Romero, E.; Del Río, M.S. Octahedral cation distribution in Palygorskite. Am. Mineral. 2009, 94, 200–203. [Google Scholar] [CrossRef]
  41. Nikolopoulou, A.; Papoulis, D.; Komarneni, S.; Tsolis-Katagas, P.; Panagiotaras, D.; Kacandes, G.H.; Zhang, P.; Yin, S.; Sato, T. Solvothermal preparation of TiO2/saponite nanocomposites and photocatalytic activity. Appl. Clay Sci. 2009, 46, 363–368. [Google Scholar] [CrossRef]
  42. Stathopoulou, E.T.; Suárez, M.; García-Romero, E.; Sánchez del Río, M.; Kacandes, G.H.; Gionis, V.; Chryssikos, G.D. Trioctahedral entities in Palygorskite. Eur. J. Mineral. 2011, 23, 567–576. [Google Scholar] [CrossRef]
  43. Kaufhold, S.; Chryssikos, G.D.; Kacandes, G.; Gionis, V.; Ufer, K.; Dohrmann, R. Geochemical and mineralogical characterization of Smectites from the Ventzia basin, Western Macedonia, Greece. Clay Miner. 2019, 54, 95–107. [Google Scholar] [CrossRef]
  44. Moore, D.M.; Reynolds, R.C. X-Ray Diffraction and the Identification and Analysis of Clay Minerals, 2nd ed.; Oxford University Press: New York, NY, USA, 1997. [Google Scholar]
  45. API Specification 13A; Specification for Drilling Fluids. American Petroleum Institute: Washington, DC, USA, 2019.
  46. API RP 13I; Recommended Practice for Field Testing Water-Based Drilling Fluids, 9th ed. American Petroleum Institute: Washington, DC, USA, 2020.
  47. Marjoribanks, R. Geological Methods in Mineral Exploration and Mining; Springer Science & Business Media: Heidelberg, Germany, 2010. [Google Scholar]
  48. Zhao, X.; Qiu, Z.; Huang, W.; Wang, M. Mechanism and method for controlling low-temperature rheology of water-based drilling fluids in deepwater drilling. J. Pet. Sci. Eng. 2017, 154, 405–416. [Google Scholar] [CrossRef]
  49. Zhao, X.; Zhang, H.; Wang, S.; Su, W.; Sun, H.; Ren, X. Characterization and performance evaluation of modified apatite ore as a new acid-soluble weighting agent for drilling fluids. SPE J. 2024, 29, 55–63. [Google Scholar] [CrossRef]
  50. Apostolidou, C.; Sarris, E.; Georgakopoulos, A. Dynamic thermal aging of water-based drilling fluids with different types of low-rank coals as environmentally friendly shear thinning additives. J. Pet. Sci. Eng. 2022, 208, 109758. [Google Scholar] [CrossRef]
  51. Merkl, R.S. A Sedimentological, Mineralogical and Geochemical Study of the Fuller’s Earth Deposits of the Miocene Hawthorne Group of South Georgia-North Florida. Ph.D. Thesis, Indiana University, Bloomington, IN, USA, 1989. [Google Scholar]
Figure 2. Comparative stratigraphy of the Pefkaki (left) and Belanida (right) sites, illustrating the different depositional sequences within the Ventzia basin. The Pefkaki section is characterized by thinner, frequent alternations of palygorskite (A) with ultramafic conglomerates (G), while the Belanida section shows thicker, more massive units of palygorskite and smectite (S).
Figure 2. Comparative stratigraphy of the Pefkaki (left) and Belanida (right) sites, illustrating the different depositional sequences within the Ventzia basin. The Pefkaki section is characterized by thinner, frequent alternations of palygorskite (A) with ultramafic conglomerates (G), while the Belanida section shows thicker, more massive units of palygorskite and smectite (S).
Minerals 15 01309 g002
Figure 3. Comparative X-ray diffractograms of the raw clay samples from Pefkaki site (K30B, K30CB, K40, K70) and the commercial benchmark ZEOGEL. The patterns highlight the mineralogical composition of each material. The principal mineral phases are identified as, Pal: Palygorskite, Sm: Smectite: Srp: Serpentine, Qz: Quartz, Cc: Calcite, and Do: Dolomite.
Figure 3. Comparative X-ray diffractograms of the raw clay samples from Pefkaki site (K30B, K30CB, K40, K70) and the commercial benchmark ZEOGEL. The patterns highlight the mineralogical composition of each material. The principal mineral phases are identified as, Pal: Palygorskite, Sm: Smectite: Srp: Serpentine, Qz: Quartz, Cc: Calcite, and Do: Dolomite.
Minerals 15 01309 g003
Figure 4. Comparative X-ray diffractograms of the raw clay samples from Belanida site (V20, BA40) and the commercial benchmark ZEOGEL. The patterns show that palygorskite as clay mineral has highest peaks in all samples including, Pal: Palygorskite, Sm: Smectite, Srp: Serpentine, Qz: Quartz, Cc: Calcite, and Do: Dolomite.
Figure 4. Comparative X-ray diffractograms of the raw clay samples from Belanida site (V20, BA40) and the commercial benchmark ZEOGEL. The patterns show that palygorskite as clay mineral has highest peaks in all samples including, Pal: Palygorskite, Sm: Smectite, Srp: Serpentine, Qz: Quartz, Cc: Calcite, and Do: Dolomite.
Minerals 15 01309 g004
Figure 5. Comparative X-ray diffractograms of the benchmark Senegal clays (SEN1, SEN2) and the commercial ZEOGEL. The patterns illustrate the mineralogical differences between the commercial sources. Key to mineral phases include, Pal: Palygorskite, Sm: Smectite, Qz: Quartz, Cc: Calcite, and Do: Dolomite.
Figure 5. Comparative X-ray diffractograms of the benchmark Senegal clays (SEN1, SEN2) and the commercial ZEOGEL. The patterns illustrate the mineralogical differences between the commercial sources. Key to mineral phases include, Pal: Palygorskite, Sm: Smectite, Qz: Quartz, Cc: Calcite, and Do: Dolomite.
Minerals 15 01309 g005
Figure 6. Laser Particle Size Analysis (LPSA) distribution of the activated Greek palygorskite samples and the commercial ZEOGEL benchmark, as determined by laser diffraction.
Figure 6. Laser Particle Size Analysis (LPSA) distribution of the activated Greek palygorskite samples and the commercial ZEOGEL benchmark, as determined by laser diffraction.
Minerals 15 01309 g006
Figure 7. Comparison of the palygorskite drilling fluid suspensions with respect to their performance between the activated Greek palygorskite samples and the commercial ZEOGEL benchmarks and the Senegal benchmark prepared with: (a) Deionized Water (DW), (b) API Salt Water (SW), and (c) High-Hardness Salt Water (HH), (d) illustrates the rheological behavior of the Senegal benchmark samples (SEN), activated with 2.25% wt. MgO, across the same three aqueous environments.
Figure 7. Comparison of the palygorskite drilling fluid suspensions with respect to their performance between the activated Greek palygorskite samples and the commercial ZEOGEL benchmarks and the Senegal benchmark prepared with: (a) Deionized Water (DW), (b) API Salt Water (SW), and (c) High-Hardness Salt Water (HH), (d) illustrates the rheological behavior of the Senegal benchmark samples (SEN), activated with 2.25% wt. MgO, across the same three aqueous environments.
Minerals 15 01309 g007
Figure 8. Quantitative analysis of the rheological properties of the drilling fluids. The bars compare the performance of the Greek palygorskite drilling fluid suspensions and the commercial ZEOGEL and Senegal benchmark samples in Deionized Water (DW), API Salt Water (SW), and High-Hardness Salt Water (HH), based on four standard API metrics: (a) Plastic Viscosity, (b) Yield Point, (c) 10 s Gel Strength, and (d) 10 min Gel Strength.
Figure 8. Quantitative analysis of the rheological properties of the drilling fluids. The bars compare the performance of the Greek palygorskite drilling fluid suspensions and the commercial ZEOGEL and Senegal benchmark samples in Deionized Water (DW), API Salt Water (SW), and High-Hardness Salt Water (HH), based on four standard API metrics: (a) Plastic Viscosity, (b) Yield Point, (c) 10 s Gel Strength, and (d) 10 min Gel Strength.
Minerals 15 01309 g008
Figure 9. Comparison of the final pH values of the palygorskite drilling fluid suspensions. The bars show the pH for each of the Greek and commercial clay samples when prepared in Deionized Water (DW), API Salt Water (SW), and High-Hardness Salt Water (HH).
Figure 9. Comparison of the final pH values of the palygorskite drilling fluid suspensions. The bars show the pH for each of the Greek and commercial clay samples when prepared in Deionized Water (DW), API Salt Water (SW), and High-Hardness Salt Water (HH).
Minerals 15 01309 g009
Figure 10. Evaluation of fluid loss control and filter cake quality for the palygorskite drilling fluid suspensions. The bars present (a) the total volume of filtrate collected during the 30 min LPLT test and (b) the thickness in mm of the filter cake formed. The results are for all samples across the three distinct aqueous environments. Deionized Water (DW), API Salt Water (SW), and High-Hardness Salt Water (HH).
Figure 10. Evaluation of fluid loss control and filter cake quality for the palygorskite drilling fluid suspensions. The bars present (a) the total volume of filtrate collected during the 30 min LPLT test and (b) the thickness in mm of the filter cake formed. The results are for all samples across the three distinct aqueous environments. Deionized Water (DW), API Salt Water (SW), and High-Hardness Salt Water (HH).
Minerals 15 01309 g010
Figure 11. Direct comparison of the rheological behavior of selected palygorskite drilling fluid suspensions. The flow curves illustrate the performance of the top-performing activated Greek samples (K30CB, K70, BA40) against the commercial ZEOGEL and the activated Senegal benchmarks (SEN125, SEN225). The evaluation is presented in two challenging aqueous environments: (a) API Salt Water (SW), and (b) High-Hardness Salt Water (HH).
Figure 11. Direct comparison of the rheological behavior of selected palygorskite drilling fluid suspensions. The flow curves illustrate the performance of the top-performing activated Greek samples (K30CB, K70, BA40) against the commercial ZEOGEL and the activated Senegal benchmarks (SEN125, SEN225). The evaluation is presented in two challenging aqueous environments: (a) API Salt Water (SW), and (b) High-Hardness Salt Water (HH).
Minerals 15 01309 g011
Table 1. Comparative summary of the geological characteristics of the Pefkaki and Belanida sampling sites.
Table 1. Comparative summary of the geological characteristics of the Pefkaki and Belanida sampling sites.
FeaturePefkaki SiteBelanida Site
Stratigraphic StyleThin, frequent, and heterogeneous alternationsThick, massive, and more uniform beds
Lithological CompositionMulti-colored palygorskite, smectite, and ultramafic microconglomeratesGreyish-brown palygorskite and smectite; minor microconglomerates
Implied Material HeterogeneityHigh. Potential for significant variability and non-clay impurities (e.g., carbonates).Moderate. More consistent, but with intimate palygorskite-smectite association.
Deposit ThicknessAverage of 10–12 mPalygorskite and smectite layers are thick, reaching up to 12 m individually.
OverburdenUp to 6.5 m of loose conglomerate and overburdenThick limestone conglomerates
Samples CollectedK30B, K30CB, K40B, K70V20, BA40
Table 2. Summary of mineral phases identified by XRD in the raw clay samples.
Table 2. Summary of mineral phases identified by XRD in the raw clay samples.
Sample IDSource LocationPalygorskite
(d-Spacing Å)
Smectite
(d-Spacing Å)
Other Minerals
V2Belanida10.5115.04Serpentine (lizardite), Quartz, Chlorite
BA40Belanida10.5315.01Serpentine (lizardite), Quartz, Chlorite, Talc
K40Pefkaki10.5714.95Serpentine (lizardite), Quartz, Chlorite, Talc
K70Pefkaki10.5015.04Serpentine (lizardite), Quartz, Chlorite
K30BPefkaki10.5114.52Serpentine (lizardite), Quartz, Chlorite, Talc
K30CBPefkaki10.7814.48Serpentine, Quartz, Chlorite
ZEOGELCommercial10.5015.88Quartz, Dolomite, Calcite
SEN1Senegal
(Benchmark)
10.4814.64Quartz
SEN2Senegal
(Benchmark)
10.5014.93Quartz, Calcite, Dolomite
Table 3. Key particle size distribution parameters for the Greek and commercial clay samples.
Table 3. Key particle size distribution parameters for the Greek and commercial clay samples.
Sample IDD10 (μm)D50 (μm)D90 (μm)
K30B5.4837.07114.77
K30CB4.8731.25116.14
K404.9034.77115.16
K706.0437.89121.66
V206.0939.58116.00
BA405.8434.49104.73
ZEOGEL12.2233.8973.81
Table 4. Key particle size distribution parameters for the Greek and commercial.
Table 4. Key particle size distribution parameters for the Greek and commercial.
Sample IDLocationζ (mV)—Rawζ (mV)—Activated
K30BPefkaki−9.39−10.80
K30CBPefkaki−0.02−0.57
K40BPefkaki−6.53−6.57
K70Pefkaki−9.06−9.07
V20Belanida−8.05−10.60
BA40Belanida−4.61−7.27
ZEOGELCommercialN/A−6.80
Table 5. Specifications for palygorskite [45,46].
Table 5. Specifications for palygorskite [45,46].
Suspension Property RequirementsSpecification
Viscometer Dial Reading at 600 RPM (θ600)≥30
Solids content > 75 μm (wet sieving)≤8% by weight
Moisture Content≤16% by weight
Disclaimer/Publisher’s Note: The statements, opinions and data contained in all publications are solely those of the individual author(s) and contributor(s) and not of MDPI and/or the editor(s). MDPI and/or the editor(s) disclaim responsibility for any injury to people or property resulting from any ideas, methods, instructions or products referred to in the content.

Share and Cite

MDPI and ACS Style

Papadimitriou, D.; Sarris, E.N.; Kantiranis, N. Performance Evaluation of an Activated Greek Palygorskite in High-Salinity and High-Hardness Water-Based Drilling Fluids. Minerals 2025, 15, 1309. https://doi.org/10.3390/min15121309

AMA Style

Papadimitriou D, Sarris EN, Kantiranis N. Performance Evaluation of an Activated Greek Palygorskite in High-Salinity and High-Hardness Water-Based Drilling Fluids. Minerals. 2025; 15(12):1309. https://doi.org/10.3390/min15121309

Chicago/Turabian Style

Papadimitriou, Dimitrios, Ernestos Nikolas Sarris, and Nikolaos Kantiranis. 2025. "Performance Evaluation of an Activated Greek Palygorskite in High-Salinity and High-Hardness Water-Based Drilling Fluids" Minerals 15, no. 12: 1309. https://doi.org/10.3390/min15121309

APA Style

Papadimitriou, D., Sarris, E. N., & Kantiranis, N. (2025). Performance Evaluation of an Activated Greek Palygorskite in High-Salinity and High-Hardness Water-Based Drilling Fluids. Minerals, 15(12), 1309. https://doi.org/10.3390/min15121309

Note that from the first issue of 2016, this journal uses article numbers instead of page numbers. See further details here.

Article Metrics

Back to TopTop