Hydrocarbon Accumulation Evolution of the Cambrian Longwangmiao Formation in the Penglai Gas-Bearing Area, Sichuan Basin
Abstract
1. Introduction
2. Geologic Setting

3. Samples and Methods
4. Characteristics of Fluid Inclusions
4.1. Diagenetic Mineral Petrographic Characteristics
4.2. Microscopic Characteristics of Fluid Inclusions
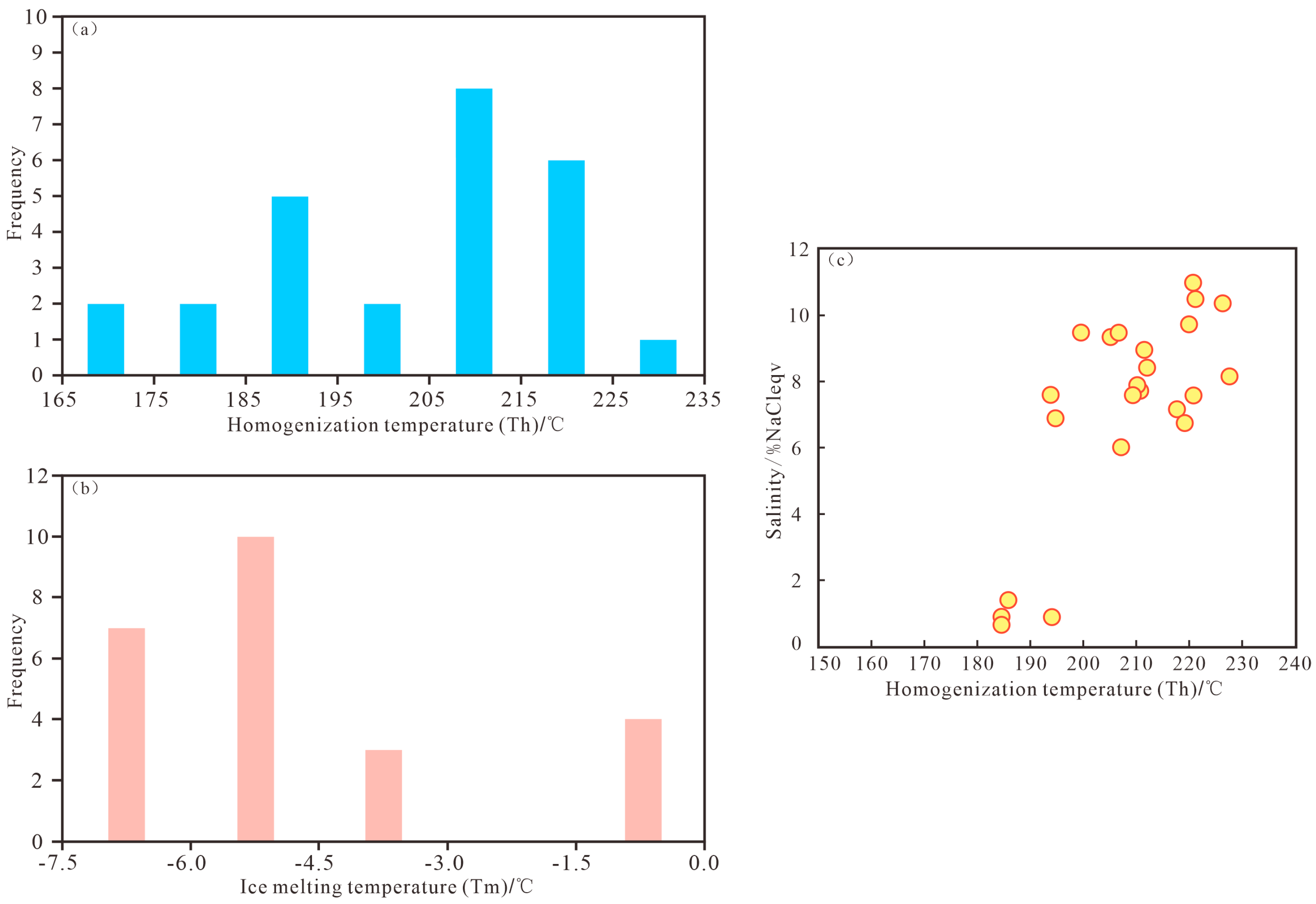
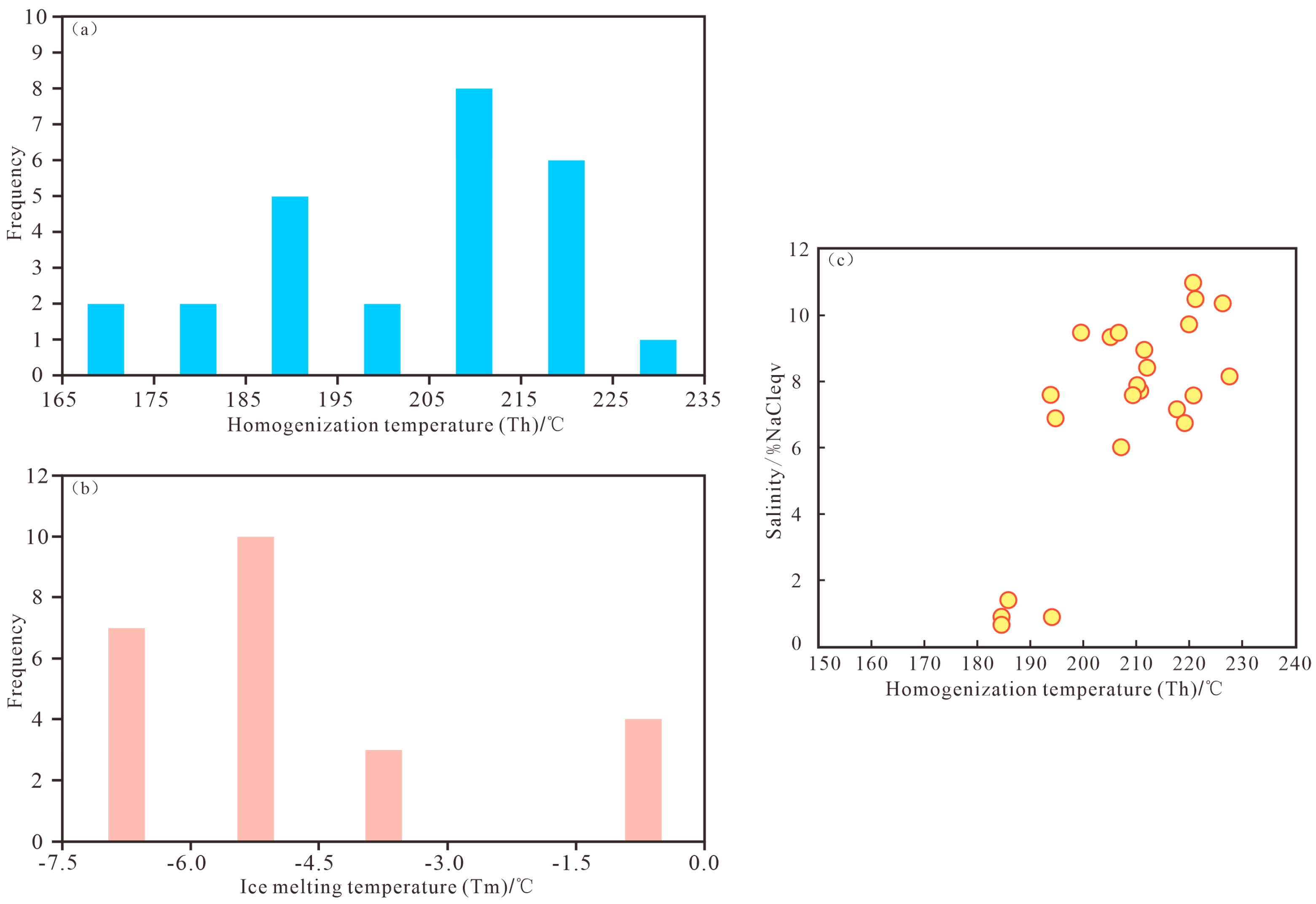
4.3. Microthermometric Results
5. Characteristics of Hydrocarbon Charging
5.1. Simulation of Burial-Thermal Evolution History
5.2. Simulated Hydrocarbon Generation History
5.3. Hydrocarbon Accumulation Stages and Time
5.4. Hydrocarbon Accumulation Evolution Model
6. Conclusions
Author Contributions
Funding
Data Availability Statement
Acknowledgments
Conflicts of Interest
References
- Zou, C.N.; Wei, G.Q.; Xu, C.C.; Du, J.H.; Xie, Z.Y.; Wang, Z.C.; Hou, L.H.; Yang, C.; Li, J.; Yang, W. Geochemistry of the Sinian-Cambrian gas system in the Sichuan Basin, China. Org. Geochem. 2014, 74, 13–21. [Google Scholar] [CrossRef]
- Zhu, G.Y.; Wang, T.S.; Xie, Z.Y.; Xie, B.H.; Liu, K.Y. Giant gas discovery in the Precambrian deeply buried reservoirs in the Sichuan Basin, China: Implications for gas exploration in old cratonic basins. Precambrian Res. 2015, 262, 45–66. [Google Scholar] [CrossRef]
- Wei, G.Q.; Wang, Z.H.; Li, J.; Yang, W.; Xie, Z.Y. Characteristics of source rocks, resource potential and exploration direction of Sinian-Cambrian in Sichuan Basin, China. J. Nat. Gas Geos. 2017, 2, 289–302. (In Chinese) [Google Scholar] [CrossRef]
- Yang, Y.; Wen, L.; Song, Z.Z.; Zhang, B.J.; Yan, W.; Zhou, G.; Tian, X.W.; Zhong, Y.; He, Y.; Ma, K.; et al. Exploration Breakthrough and potential of natural gas exploration in multi-layer system of Penglai gas area in the north of central Sichuan paleo-uplift. Acta Pet. Sin. 2022, 43, 1351–1368, 1394. (In Chinese) [Google Scholar]
- Xing, F.C.; Liu, Z.Q.; Qian, H.S.; Li, Y.; Zhou, G.; Zhang, Y.; Huang, M.X.; Li, C.L.; Long, H.Y. Characteristics of Longwangmiao reservoirs in Penglai gas area and comparison with those in Moxi-Gaoshiti area, central Sichuan Basin. Pet. Geol. Exp. 2024, 46, 510–521. (In Chinese) [Google Scholar]
- Chen, H.W.; Wang, S.L.; Mansour, A.; Qin, Q.R.; Ahmed, M.S.; Cen, Y.J.; Liang, F.; He, Y.; Fan, Y.; Gentzis, T. Key Characteristics and Controlling Factors of the Gas Reservoir in the Fourth Member of the Ediacaran Dengying Formation in the Penglai Gas Field, Sichuan Basin. Minerals 2025, 15, 98. [Google Scholar] [CrossRef]
- Zhang, Z.; Zhao, L.; Zhang, D.; Li, Q.; Xie, J.; Wen, L.; Zhang, B.; Zhou, G.; Zhong, Y. Formation mechanism of deep to ultra-deep carbonate reservoir: A case study of the Ediacaran Dengying Formation, Penglai area, Sichuan Basin. Aust. J. Earth Sci. 2024, 71, 875–896. [Google Scholar] [CrossRef]
- Lu, G.; He, D.F.; Kai, B. Tectonic subsidence characteristics of Sichuan Basin and its enlightenment to basin genesis. Chin. J. Geol. 2023, 58, 86–104. [Google Scholar]
- Su, G.P. Study on Structural Characteristics and Tectonic Evolution in the Northern Slope of Central Sichuan Paleo-Uplift and Their Influences on Hydrocarbon Accumulation. Ph.D. Thesis, Chengdu University of Technology, Chengdu, China, 2021. (In Chinese). [Google Scholar]
- Hu, Y.J.; Cai, C.F.; Pederson, C.L.; Liu, D.W.; Jiang, L.; He, X.Y.; Shi, S.Y.; Immenhauser, A. Dolomitization history and porosity evolution of a giant, deeply buried Ediacaran gas field (Sichuan Basin, China). Precambrian Res. 2020, 338, 105595. [Google Scholar] [CrossRef]
- Su, A.; Chen, H.H.; Feng, Y.X.; Zhao, J.X.; Wang, Z.C.; Hu, M.Y.; Jiang, H.; Nguyen, A.D. In situ U-Pb dating and geochemical characterization of multi-stage dolomite cementation in the Ediacaran Dengying Formation, Central Sichuan Basin, China: Constraints on diagenetic, hydrothermal and paleo-oil filling events. Precambrian Res. 2022, 368, 106481. [Google Scholar] [CrossRef]
- Chen, J.X. Fluid Evolution and Hydrocarbon Accumulation Processes of the Sinian Dengying Formation in the Central and Eastern Sichuan Basin. Ph.D. Thesis, China University of Geosciences, Wuhan, China, 2023. (In Chinese). [Google Scholar]
- Richardson, N.J.; Densmore, A.L.; Seward, D.; Fowler, A.; Wipf, M.; Ellis, M.A.; Li, Y.; Zhang, Y. Extraordinary denudation in the Sichuan Basin: Insights from low-temperature thermochronology adjacent to the eastern margin of the Tibetan Plateau. J. Geophys. Res. 2008, 113, B04409. [Google Scholar] [CrossRef]
- Su, A.; Wang, Z.C.; Chen, H.H.; Feng, Y.X.; Zhao, J.X.; Jiang, H.; Nguyen, A.D.; Sun, P. Temporal constraints on hydrothermal circulation associated with strike-slip faulting in the Permian Maokou carbonates, central Sichuan Basin (SW China). Mar. Pet. Geol. 2023, 160, 106643. [Google Scholar] [CrossRef]
- Li, Q.; Liu, G.D.; Song, Z.Z.; Sun, M.L.; Zhu, L.Q.; Tian, X.W.; Ma, K.; Yang, D.L.; Wang, Y.L.; Cao, Y.S.; et al. Influence of tectonic evolution of the northern slope in the central Sichuan paleo-uplift on the Sinian-Cambrian hydrocarbon accumulations. Pet. Geol. Exp. 2022, 44, 997–1007. [Google Scholar]
- Zhou, G.; Yang, D.L.; Sun, Y.T.; Yan, W.; Zhang, Y.; Wen, H.G.; He, Y.; Liu, S.Y. Sedimentary filling process and petroleum geological significance of Cambrian Canglangpu Formation in Sichuan Basin and adjacent areas. Lith. Res. 2024, 36, 25–34. (In Chinese) [Google Scholar]
- Zhang, B.J.; Zhou, G.; Song, Z.Z.; Yan, W.; Wang, H.; Tao, J.L.; Tian, X.W.; Ding, X.H.; Zhong, Y.; Ma, K.; et al. Multi-layers three-dimensional natural gas accumulation of the Upper Sinian-Lower Cambrian marine carbonate rocks in Penglai gas area, north slope of central Sichuan paleo-uplift. Mar. Orig. Pet. Geol. 2023, 28, 401–412. (In Chinese) [Google Scholar]
- Shi, C.H.; Cao, J.; Tan, X.C.; Luo, B.; Zeng, W.; Hong, H.T.; Huang, X.; Wang, Y. Hydrocarbon generation capability of Sinian-Lower Cambrian shale, mudstone, and carbonate rocks in the Sichuan Basin, southwestern China: Implications for contributions to the giant Sinian Dengying natural gas accumulation. AAPG Bull. 2018, 102, 817–853. [Google Scholar] [CrossRef]
- Wei, G.Q.; Xie, Z.Y.; Yang, Y.; Li, J.; Yang, W.; Zhao, L.Z.; Yang, C.L.; Zhang, L.; Xie, W.R.; Jiang, H.; et al. Formation conditions of Sinian-Cambrian large lithologic gas reservoirs in the north slope area of central Sichuan Basin, SW China. Pet. Explor. Dev. 2022, 49, 835–846. [Google Scholar] [CrossRef]
- Ma, K.; Shen, P.; Wang, Z.C.; Tian, X.W.; Peng, H.L.; Wang, H.; Zhang, X.H.; Sun, Y.T.; Luo, B.; Wang, Y.L.; et al. Natural gas exploration potential of Longwangmiao Formation on the north slope of Chuanzhong paleo-uplift from the characteristics of “Four Paleo”. Nat. Gas Geos. 2019, 30, 1451–1464. (In Chinese) [Google Scholar]
- Zhang, Y.; Wu, L.Y.; Li, Y.; Zhou, G.; Su, A.; Zhang, C.; He, Y.; Long, H.Y.; Li, C.L.; Chen, Y. Natural gas accumulation mechanism of the Cambrian Longwangmiao Formation in the Penglai area on the northern slope of Central Sichuan paleouplift. Nat. Gas Ind. 2025, 45, 81–95. (In Chinese) [Google Scholar]
- Lu, K.L.; Wu, K.J.; Li, Z.J.; Sun, Y.H.; Xu, S.H.; Liang, F.; Liu, L.; Li, S. Characteristics and evolution model of hydrocarbon accumulation of Cambrian Longwangmiao Formation in the north slope of central Sichuan paleo-uplift. Lith. Res. 2024, 36, 159–168. (In Chinese) [Google Scholar]
- Huang, S.P.; Jiang, H.; Wang, T.S.; Wen, L.; Guan, S.W.; Zeng, F.Y.; Zhu, G.Y.; Tian, X.W.; Zhang, T.Y. Accumulation conditions and favorable exploration zones for natural gas in 8000 meters marine ultra-deep strata in the Sichuan basin. Acta Geol. Sin. 2023, 97, 1544–1560. (In Chinese) [Google Scholar]
- Yang, Y.M.; Wang, W.Z.; Wen, L.; Luo, B.; Zhang, X.; Chen, X.; Jia, M.; Long, H.Y. Sedimentary evolution characteristics and large-scale natural gas accumulation pat-tern of microbial carbonate in the slope area of major paleouplift, the Sichuan Basin. Nat. Gas Ind. 2021, 41, 38–47. (In Chinese) [Google Scholar]
- Liu, W.; Qiu, N.S.; Xu, Q.C.; Liu, Y.F. Precambrian temperature and pressure system of Gaoshiti-Moxi block in the central paleo-uplift of Sichuan Basin, southwest China. Precambrian Res. 2018, 313, 91–108. [Google Scholar] [CrossRef]
- Su, A.; Chen, H.H.; Feng, Y.X.; Wang, Z.C.; Jiang, H.; Zhao, J.X. Tracking multiple paleo oil charges in the Precambrian dolomite reservoirs of the central Sichuan Basin, China. Mar. Pet. Geol. 2023, 156, 106423. [Google Scholar] [CrossRef]
- Yang, H.X.; Geng, C.; Zheng, M.J.; Zheng, Z.W.; Long, H.; Chang, Z.J.; Li, J.K.; Pang, H.; Yang, J. Application of the Hydrocarbon Generation Potential Method in Resource Potential Evaluation: A Case Study of the Qiongzhusi Formation in the Sichuan Basin, China. Processes 2024, 12, 2928. [Google Scholar] [CrossRef]
- Xie, Z.Y.; Li, J.; Yang, C.L.; Tian, X.W.; Zhang, L.; Li, J.; Li, Z.S.; Guo, J.Y.; Xie, W.R.; Guo, Z.Q.; et al. Geochemical characteristics of Sinian-Cambrian natural gas in central Sichuan paleo-uplift and exploration potential of Taihe gas area. Nat. Gas Ind. 2021, 41, 1–14. (In Chinese) [Google Scholar]
- Gao, P.; Liu, G.D.; Lash, G.G.; Li, B.Y.; Yan, D.T.; Chen, C. Occurrences and origin of reservoir solid bitumen in Sinian Dengying Formation dolomites of the Sichuan Basin, SW China. Int. J. Coal Geol. 2018, 200, 135–152. [Google Scholar] [CrossRef]
- Su, A.; Chen, H.H.; Feng, Y.X.; Zhao, J.X.; Nguyen, A.D.; Wang, Z.C.; Long, X.P. Dating and characterizing primary gas accumulation in Precambrian dolomite reservoirs, Central Sichuan Basin, China: Insights from pyrobitumen Re-Os and dolomite U-Pb geochronology. Precambrian Res. 2020, 350, 105897. [Google Scholar] [CrossRef]
- Zou, X.J.; Xiao, H.; Cheng, L.B. Determination of hydrocarbon accumulation stages using fluorescence spectrum of hydrocarbon inclusions: A case study of Sinian Dengying Formation in central Sichuan paleo-uplift area. Unconv. Oil Gas. 2024, 11, 49–57. [Google Scholar]
- Niu, S.Q.; Liu, G.D.; Wang, Y.L.; Song, Z.Z.; Zhu, L.Q.; Zhao, W.Z.; Tian, X.W.; Yang, D.L.; Li, Y.S. Occurrence characteristics and genesis mechanism of pyrobitumen in Sinian Dengying to Cambrian Longwangmiao reservoirs in central Sichuan Basin. Pet. Geol. Exp. 2024, 46, 1039–1049. (In Chinese) [Google Scholar]
- Hao, B.; Zhao, W.Z.; Hu, S.Y.; Shi, S.Y.; Gao, P.; Wang, T.S.; Huang, S.P.; Jiang, H. Bitumen genesis and hydrocarbon accumulation history of the Cambrian Longwangmiao Formation in Central Sichuan Basin. Acta Pet. Sin. 2017, 38, 863–875. (In Chinese) [Google Scholar]
- Randive, K.R.; Hari, K.R.; Dora, M.L.; Malpe, D.B.; Bhondwe, A.A. Study of fluid inclusions: Methods, techniques and applications. Geol. Mag. 2014, 151, 19–28. [Google Scholar]
- Bourdet, J.; Pironon, J.; Levresse, G.; Tritlla, J. Petroleum accumulation and leakage in a deeply buried carbonate reservoir, Níspero field (Mexico). Mar. Pet. Geol. 2010, 27, 126–142. [Google Scholar] [CrossRef]
- Chi, G.; Diamond, L.W.; Lu, H.; Lai, J.H.; Chu, H.X. Common problems and pitfalls in fluid inclusion study: A review and discussion. Minerals 2021, 11, 7. [Google Scholar] [CrossRef]
- Su, A.; Chen, H.H.; Zhao, J.X.; Feng, Y.X. Integrated fluid inclusion analysis and petrography constraints on the petroleum system evolution of the central and southern Biyang Sag, Nanxiang Basin, Eastern China. Mar. Pet. Geol. 2020, 118, 104437. [Google Scholar] [CrossRef]
- Zheng, H.F.; Ma, Y.S.; Chi, G.X.; Qing, H.R.; Liu, B.; Zhang, X.F.; Shen, Y.C.; Liu, J.Q.; Wang, Y.C. Stratigraphic and structural control on hydrothermal dolomitization in the Middle Permian carbonates, southwestern Sichuan Basin (China). Minerals 2019, 9, 32. [Google Scholar] [CrossRef]
- Hantschel, T.; Kauerauf, A. Fundamentals of Basin and Petroleum Systems Modeling; Springer: Heidelberg, Germany, 2009; 476p. [Google Scholar]
- Qiu, N.S.; Liu, W.; Fu, X.D.; Li, W.Z.; Xu, Q.C.; Zhu, C.Q. Maturity evolution of Lower Cambrian Qiongzhusi Formation shale of the Sichuan Basin. Mar. Pet. Geol. 2021, 128, 105061. [Google Scholar] [CrossRef]
- Zhu, C.Q.; Hu, S.B.; Qiu, N.S.; Rao, S.; Yuan, Y.S. Thermal history of the Sichuan Basin, SW China: Evidence from deep boreholes. Sci. China Earth Sci. 2016, 59, 70–82. (In Chinese) [Google Scholar] [CrossRef]
- He, B.; Xu, Y.G.; Chung, S.L.; Xiao, L.; Wang, Y.M. Sedimentary evidence for a rapid, kilometer-scale crustal doming prior to the eruption of the Emeishan flood basalts. Earth Planet. Sci. Lett. 2003, 213, 391–405. [Google Scholar] [CrossRef]
- Feng, Q.Q.; Qiu, N.S.; Fu, X.D.; Li, W.Z.; Xu, Q.; Li, X.; Wang, J.S. Permian geothermal units in the Sichuan Basin: Implications for the thermal effect of the Emeishan mantle plume. Mar. Pet. Geol. 2021, 132, 105226. [Google Scholar] [CrossRef]
- Zhu, C.Q.; Hu, S.B.; Qiu, N.S.; Jiang, Q.; Rao, S.; Liu, S. Geothermal constraints on Emeishan mantle plume magmatism: Paleotemperature reconstruction of the Sichuan Basin, SW China. Int. J. Earth Sci. 2018, 107, 71–88. [Google Scholar] [CrossRef]
- Ni, Z.Y.; Zhu, C.Q.; Liu, H.C.; Yang, C.Y.; Shao, G.G.; Zhang, W.; Luo, B. The role of the Emeishan large igneous province in hydrocarbon formation in the Anyue Gas Field, Sichuan Basin, China. Minerals 2024, 14, 1266. [Google Scholar] [CrossRef]
- Li, S.J.; Gao, J.; Yang, T.B.; Li, T.Y.; Liu, T.J.; Hao, Y.Q.; He, Z.L.; Liu, E.T. Source and U-Pb chronology of diagenetic fluids in the Permian Maokou Formation dolomite reservoir, Eastern Sichuan Basin, China. Minerals 2024, 14, 803. [Google Scholar] [CrossRef]
- Mei, Q.H. Tectonic Evolution and Formation Mechanism of Leshan-Longnüsi Paleo-Uplift, Sichuan Basin. Ph.D. Thesis, China University of Geosciences (Beijing), Beijing, China, 2015. (In Chinese). [Google Scholar]
- Sweeney, J.J.; Burnham, A.K. Evaluation of a simple model of vitrinite reflectance based on chemical kinetics. AAPG Bull. 1990, 74, 1559–1570. [Google Scholar] [CrossRef]
- Su, A.; Chen, H.H.; Feng, Y.X.; Zhao, J.X.; Wang, Z.C. Paleo fluid system change from deep burial to exhumation of the Precambrian petroleum reservoirs in the Sichuan Basin, China: Evidence from PTX records. Mar. Pet. Geol. 2023, 155, 106404. [Google Scholar] [CrossRef]
- Bhullar, A.G.; Karlsen, D.A.; Backer-Owe, K.; Seland, R.T.; Le Tran, K. Dating reservoir filling—A case history from the North Sea. Mar. Pet. Geol. 1999, 16, 581–603. [Google Scholar] [CrossRef]
- Munz, I.A.; Wangen, M.; Girard, J.P.; Lacharpagne, J.C.; Johansen, H. Pressure-temperature-time-composition (P-T-t-X) constraints of multiple petroleum charges in the Hild field, Norwegian North Sea. Mar. Pet. Geol. 2004, 21, 1043–1060. [Google Scholar] [CrossRef]
- Volk, H.; George, S.C. Using petroleum inclusions to trace petroleum systems—A review. Org. Geochem. 2019, 129, 99–123. [Google Scholar] [CrossRef]
- Tseng, H.-Y.; Pottorf, R.J. Fluid inclusion constraints on petroleum PVT and compositional history of the Greater Alwyn-South Brent petroleum system, northern North Sea. Mar. Pet. Geol. 2002, 19, 797–809. [Google Scholar] [CrossRef]










Disclaimer/Publisher’s Note: The statements, opinions and data contained in all publications are solely those of the individual author(s) and contributor(s) and not of MDPI and/or the editor(s). MDPI and/or the editor(s) disclaim responsibility for any injury to people or property resulting from any ideas, methods, instructions or products referred to in the content. |
© 2025 by the authors. Licensee MDPI, Basel, Switzerland. This article is an open access article distributed under the terms and conditions of the Creative Commons Attribution (CC BY) license (https://creativecommons.org/licenses/by/4.0/).
Share and Cite
Zhao, S.; Su, A. Hydrocarbon Accumulation Evolution of the Cambrian Longwangmiao Formation in the Penglai Gas-Bearing Area, Sichuan Basin. Minerals 2025, 15, 1269. https://doi.org/10.3390/min15121269
Zhao S, Su A. Hydrocarbon Accumulation Evolution of the Cambrian Longwangmiao Formation in the Penglai Gas-Bearing Area, Sichuan Basin. Minerals. 2025; 15(12):1269. https://doi.org/10.3390/min15121269
Chicago/Turabian StyleZhao, Siqi, and Ao Su. 2025. "Hydrocarbon Accumulation Evolution of the Cambrian Longwangmiao Formation in the Penglai Gas-Bearing Area, Sichuan Basin" Minerals 15, no. 12: 1269. https://doi.org/10.3390/min15121269
APA StyleZhao, S., & Su, A. (2025). Hydrocarbon Accumulation Evolution of the Cambrian Longwangmiao Formation in the Penglai Gas-Bearing Area, Sichuan Basin. Minerals, 15(12), 1269. https://doi.org/10.3390/min15121269

