Extraction of Remote Sensing Alteration Information Based on Integrated Spectral Mixture Analysis and Fractal Analysis
Abstract
1. Introduction
2. Overview of the Study Area
2.1. Geological Profile
2.2. Overview of Remote Sensing Data
2.3. Overview of Spectral Data
3. Research Methods
3.1. Sequential Maximum Angle Convex Cone
3.2. Box-Counting Fractal Method
4. Results and Discussion
4.1. Spectral Mixture Analysis
4.2. Remote Sensing Alteration Anomaly Information Extraction
4.3. Characterization of Alteration Anomalies in Remote Sensing Using Fractal Dimensions
4.4. Results of Field Survey and Laboratory Analysis
5. Conclusions
- Introducing spectral mixture analysis into the study area enables the separation of reflectance and abundance values for the various interference components contained in mixed pixels. Spectral unmixing and endmember reconstruction enhance the detectability of subtle mineralization-related alteration anomalies in the remote-sensing imagery. By accurately quantifying the spectral contribution of each surface feature, this approach prevents the loss of alteration signatures that often occurs with conventional masking techniques due to over-correction, and it markedly improves both the accuracy and completeness of alteration information extraction under diverse surface-cover conditions.
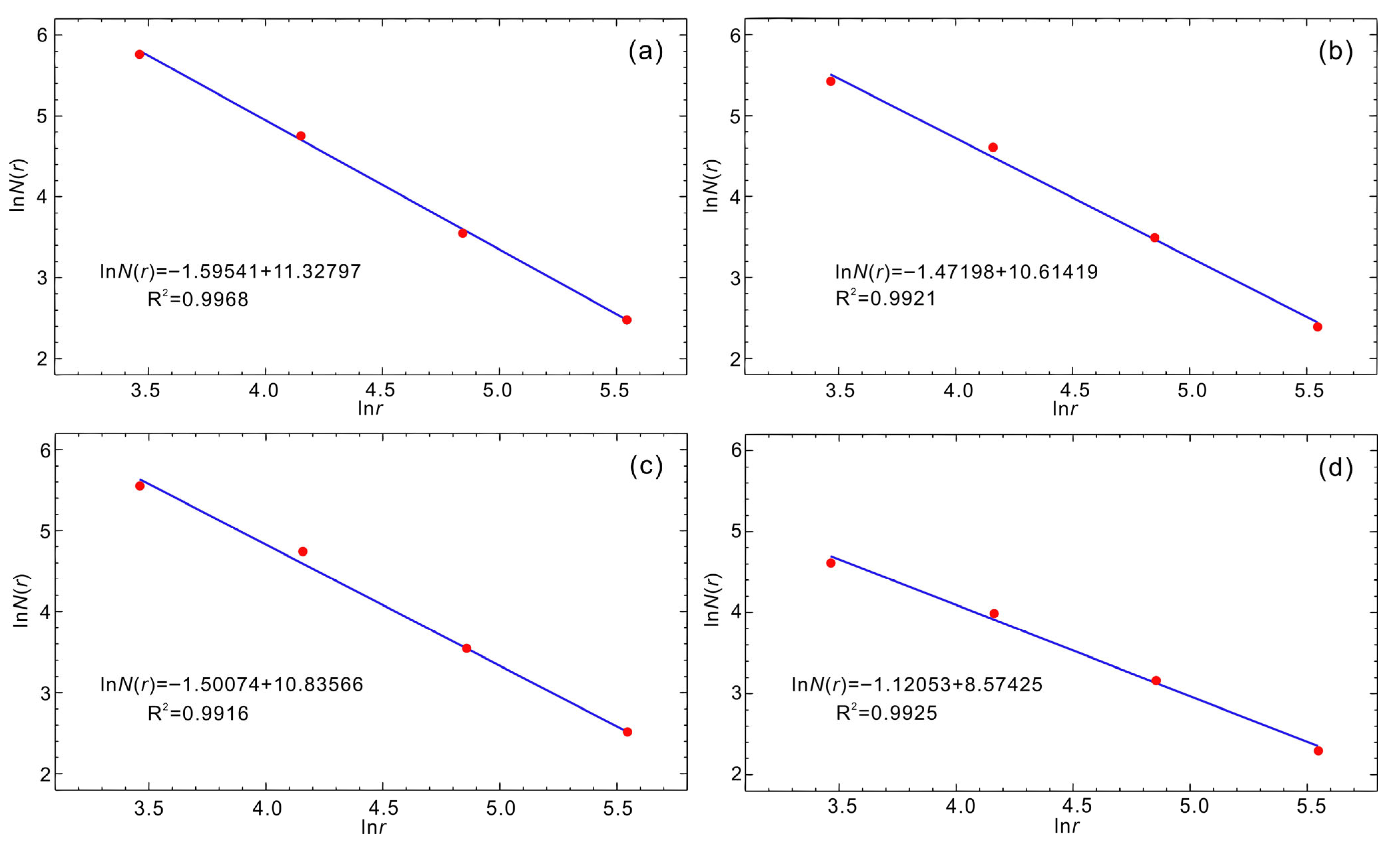
- The fractal dimensions of the various remote-sensing alteration anomalies were determined using fractal analysis, thereby quantitatively characterizing their spatial self-similarity. The iron-staining anomalies have a fractal dimension of 1.59541 with R2 = 0.9968; the Al–OH anomalies, 1.47198 with R2 = 0.9921; the Mg–OH anomalies, 1.50074 with R2 = 0.9916; and the carbonate anomalies, 1.12053 with R2 = 0.9925. Notably, all alteration types exhibit R2 values greater than 0.99, confirming that the alteration anomalies in the study area display pronounced statistical self-similarity within the selected scale range.
- The high-potential mineralization zones delineated in the fractal-dimension contour map of alteration anomalies shows a strong spatial correspondence with known mineralization sites. In addition, two new prospective zones were identified on the periphery of the existing mineralization sites. These findings furnish a sound theoretical basis and clear exploration priorities for the next stage of prospecting in the study area.
Author Contributions
Funding
Data Availability Statement
Conflicts of Interest
References
- Crowley, J.K. Near-infrared reflectance of zunyite; implications for field mapping and remote-sensing detection of hydrothermally altered high alumina rocks. Econ. Geol. 1984, 79, 553–557. [Google Scholar] [CrossRef]
- Yang, C.; Jia, H.K.; Dong, L.F.; Zhao, H.S.; Zhao, M.H. Selection of Landsat-8 Operational Land Imager (OLI) Optimal Band Combinations for Mapping Alteration Zones. Remote Sens. 2024, 16, 392. [Google Scholar] [CrossRef]
- Corrêa da Costa, M.A.; Carneiro Naleto, J.L.; Perrotta, M.M.; Soares Monteiro, L.V.; de Souza Filho, C.R. Visible-Near Infrared–Short-Wave Infrared Spectroscopy and Mineral Mapping of Hydrothermal Alteration Zones at the Brejuí W-Mo Skarn Deposit, Seridó Mobile Belt, Borborema Province, Brazil. Econ. Geol. 2024, 119, 1171–1198. [Google Scholar] [CrossRef]
- Asadzadeh, S.; Chabrillat, S.; Cudahy, T.; Rashidi, B.; de Souza Filho, C.R. Alteration Mineral Mapping of the Shadan Porphyry Cu-Au Deposit (Iran) Using Airborne Imaging Spectroscopic Data: Implications for Exploration Drilling. Econ. Geol. 2024, 119, 139–160. [Google Scholar] [CrossRef]
- Habashi, J.; Oskouei, M.M.; Moghadam, H.J.; Pour, A.B. Optimizing alteration mineral detection: A fusion of multispectral and hyperspectral remote sensing techniques in the Sar-e-Chah-e Shur, Iran. Remote Sens. Appl. Soc. Environ. 2024, 35, 101249. [Google Scholar] [CrossRef]
- Zhao, Q.; Yan, Y.; Tonai, S.; Dilek, Y.; Zhu, Z.F. Timing of India-Asia collision and significant coupling between them around 51 Ma: Insights from the activation history of the Zhongba-Gyangze thrust in southern Tibet. Geology 2024, 52, 61–66. [Google Scholar] [CrossRef]
- Lin, B.; Tang, J.X.; Tang, P.; Beaudoin, G.; Laflamme, C.; Li, F.Q.; Zheng, W.B.; Song, Y.; Qi, J.; Sun, M.; et al. Multipulsed Magmatism and Duration of the Hydrothermal System of the Giant Jiama Porphyry Cu System, Tibet, China. Econ. Geol. 2024, 119, 201–217. [Google Scholar] [CrossRef]
- Huang, M.L.; Bi, X.W.; Hu, R.Z.; Chiaradia, M.; Zhu, J.J.; Xu, L.L.; Yang, Z.Y. Linking Porphyry Cu Formation to Tectonic Change in Postsubduction Settings: A Case Study from the Giant Yulong Belt, Eastern Tibet. Econ. Geol. 2024, 119, 279–304. [Google Scholar] [CrossRef]
- Dong, X.F.; Gan, F.P.; Li, N.; Zhang, S.F.; Li, T.T. Mineral mapping in the Duolong porphyry and epithermal ore district, Tibet, using the Gaofen-5 satellite hyperspectral remote sensing data. Ore Geol. Rev. 2022, 151, 105222. [Google Scholar] [CrossRef]
- Bai, L.Y.; Dai, J.J.; Song, Y.; Liu, Z.B.; Chen, W.; Wang, N.; Wu, C.Y. Predictive Prospecting Using Remote Sensing in a Mountainous Terrestrial Volcanic Area, in Western Bangongco–Nujiang Mineralization Belt, Tibet. Remote Sens. 2023, 15, 4851. [Google Scholar] [CrossRef]
- Fu, Y.F.; Cheng, Q.M.; Jing, L.H.; Ye, B.; Fu, H.Z. Mineral Prospectivity Mapping of Porphyry Copper Deposits Based on Remote Sensing Imagery and Geochemical Data in the Duolong Ore District, Tibet. Remote Sens. 2023, 15, 439. [Google Scholar] [CrossRef]
- Carvalho, M.; Cardoso-Fernandes, J.; González, F.J.; Teodoro, A.C. Comparative Performance of Sentinel-2 and Landsat-9 DataforRawMaterials’ Exploration OnshoreandinCoastal Areas. Remote Sens. 2025, 17, 305. [Google Scholar] [CrossRef]
- Baid, S.; Tabit, A.; Algouti, A.; Algouti, A.; Aboulfaraj, A.; Ezzahzi, S.; Kabili, S.; Elkhounaijiri, H. Integrating geochemical insights and remote sensing for enhanced identification of hydrothermal alterations in the Igoudrane region, Anti-Atlas, Morocco. J. Afr. Earth Sci. 2024, 218, 105368. [Google Scholar] [CrossRef]
- Abdelkader, M.A.; Watanabe, Y.; Shebl, A.; Badawi, M.; Dawoud, M.; El-Dokouny, H.A.; Csámer, Á.; Abdellatif, M. Advanced exploration of rare metal mineralization through integrated remote sensing and geophysical analysis of structurally-controlled hydrothermal alterations. J. Geochem. Explor. 2024, 267, 107598. [Google Scholar] [CrossRef]
- Mbianya, G.N.; Ngnotue, T.; Wambo, J.D.T.; Ganno, S.; Pour, A.B.; Kenne, P.A.; Fossi, S.H.; Wolf, I.D. Remote sensing satellite-based structural/alteration mapping for gold exploration in the Ketté goldfield, Eastern Cameroon. J. Afr. Earth Sci. 2021, 184, 104386. [Google Scholar] [CrossRef]
- Abedini, M.; Ziaii, M.; Timkin, T.; Pour, A.B. Machine Learning (ML)-Based Copper Mineralization Prospectivity Mapping (MPM) Using Mining Geochemistry Method and Remote Sensing Satellite Data. Remote Sens. 2023, 15, 3708. [Google Scholar] [CrossRef]
- Hegab, M.A.E.-R. A multi-disciplinary approach for uranium exploration using remote sensing and airborne gamma-ray spectrometry data in the Gebel Duwi area, Central Eastern Desert, Egypt. Sci. Rep. 2024, 14, 19739. [Google Scholar] [CrossRef]
- Zhao, H.Q.; Zhao, X.S. Nonlinear unmixing of minerals based on the log and continuum removal model. Eur. J. Remote Sens. 2019, 52, 277–293. [Google Scholar] [CrossRef]
- Chen, Q.; Cai, D.Y.; Xia, J.S.; Zeng, M.; Yang, H.Y.; Zhang, R.S.; He, Y.; Zhang, X.X.; Chen, Y.; Xu, X.H.; et al. Remote sensing identification of hydrothermal alteration minerals in the Duobuza porphyry copper mining area in Tibet using WorldView-3 and GF-5 data: The impact of spatial and spectral resolution. Ore Geol. Rev. 2025, 180, 106573. [Google Scholar] [CrossRef]
- Chen, Q.; Zhao, Z.F.; Zhou, J.X.; Zhu, R.F.; Xia, J.S.; Sun, T.; Zhao, X.; Chao, J.Q. ASTER and GF-5 Satellite Data for Mapping Hydrothermal Alteration Minerals in the Longtoushan Pb-Zn Deposit, SW China. Remote Sens. 2022, 14, 1253. [Google Scholar] [CrossRef]
- Yang, S.H.; Tian, S.F. Extraction of Alteration Information from Hyperspectral Data Base on Kernel Extreme Learning Machine. Remote Sens. 2024, 16, 3646. [Google Scholar] [CrossRef]
- Ren, Z.L.; Zhai, Q.P.; Sun, L. A Novel Method for Hyperspectral Mineral Mapping Based on Clustering-Matching and Nonnegative Matrix Factorization. Remote Sens. 2022, 14, 1042. [Google Scholar] [CrossRef]
- Ghoneim, S.M.; Ali, H.F.; Abdelrahman, K.; Fnais, M.S.; Lala, A.M.S. Integrating remote sensing and geophysical data for mapping potential gold mineralization localities at Abu Marawat area, central Eastern Desert, Egypt. Sci. Rep. 2024, 14, 18273. [Google Scholar] [CrossRef]
- Yao, F.J.; Liu, S.B.; Wang, D.H.; Geng, X.X.; Wang, C.H.; Jiang, N.; Wang, Y.K. Review on the development of multi- and hyperspectral remote sensing technology for exploration of copper-gold deposits. Ore Geol. Rev. 2023, 162, 105732. [Google Scholar] [CrossRef]
- Sikakwe, G.U. Mineral exploration employing drones, contemporary geological satellite remote sensing and geographical information system (GIS) procedures: A review. Remote Sens. Appl. Soc. Environ. 2023, 31, 100988. [Google Scholar] [CrossRef]
- Yuan, C.J.; Zhao, J.; Liu, Z.B.; Liu, X.F.; Tang, J. Detecting mineralization via white mica spectral footprints: From field-based sampling to satellite hyperspectral remote sensing. Ore Geol. Rev. 2025, 181, 106588. [Google Scholar] [CrossRef]
- Naceur, M.S.; Loghmari, M.A.; Boussema, M.R. The contribution of the sources separation method in the decomposition of mixed pixels. IEEE Trans. Geosci. Remote Sens. 2004, 42, 2642–2653. [Google Scholar] [CrossRef]
- Miao, L.D.; Qi, H.R.; Szu, H. A maximum entropy approach to unsupervised mixed-pixel decomposition. IEEE Trans. Image Process. 2007, 16, 1008–1021. [Google Scholar] [CrossRef]
- Hosseinjani, M.; Tangestani, M.H. Mapping alteration minerals using sub-pixel unmixing of ASTER data in the Sarduiyeh area, SE Kerman, Iran. Int. J. Digit. Earth 2011, 4, 487–504. [Google Scholar] [CrossRef]
- Sharifi, A.; Hosseingholizadeh, M.H. Validation of extracted endmembers from hyperspectral images. The International Archives of the Photogrammetry. Remote Sens. Spat. Inf. Sci. 2019, 42, 989–992. [Google Scholar]
- Mandelbrot, B.B. The Fractal Geometry of Nature; WH Freeman: New York, NY, USA, 1983; pp. 17–179. [Google Scholar]
- Cheng, Q.M. The perimeter-area fractal model and its application to geology. Math. Geol. 1995, 27, 69–82. [Google Scholar] [CrossRef]
- Kong, F.C.; Ding, G.Y. The implications the fractal dimension values of lineaments. Earthquake 1991, 5, 33–37. [Google Scholar]
- Zuo, R.G.; Wang, J.L. ArcFractal: An ArcGIS add-in for processing geoscience data using fractal/ multifractal models. Nat. Resour. Res. 2020, 29, 3–12. [Google Scholar] [CrossRef]
- Sun, T.; Li, H.; Wu, K.X.; Chen, L.K.; Liu, W.M.; Hu, Z.J. Fractal and multifractal characteristics of regional fractures in Tongling metallogenic Area. Nonferrous Met. Eng. 2018, 8, 111–115. [Google Scholar]
- Liu, Z.H.; Han, L.; Du, C.Y.; Cao, H.Y.; Guo, J.H.; Wang, H.Y. Fractal and Multifractal Characteristics of Lineaments in the Qianhe Graben and Its Tectonic Significance Using Remote Sensing Images. Remote Sens. 2021, 13, 587. [Google Scholar] [CrossRef]
- Zhao, Z.; Qiao, K.; Liu, Y.; Chen, J.; Li, C.L. Geochemical Data Mining by Integrated Multivariate Component Data Analysis: The Heilongjiang Duobaoshan Area (China) Case Study. Minerals 2022, 12, 1035. [Google Scholar] [CrossRef]
- Zhao, F.W.; Hu, J.H.; Yang, Y.N.; Xiao, H.X.; Ma, F.C. Cross-Scale Study on Lime Modified Phosphogypsum Cemented Backfill by Fractal Theory. Minerals 2022, 12, 403. [Google Scholar] [CrossRef]
- Chen, J.; Zhao, Z.H.; Yang, Y.J.; Li, C.L.; Zhao, X.; Zhao, N.; Tian, J.W.; Li, H.N. Metallogenic prediction based on fractal theory and machine learning in Duobaoshan Area, Heilongjiang Province. Ore Geol. Rev. 2024, 168, 106030. [Google Scholar] [CrossRef]
- Forouzan, M.; Arfania, R. Integration of the bands of ASTER, OLI, MSI remote sensing sensors for detection of hydrothermal alterations in southwestern area of the Ardestan, Isfahan Province, Central Iran. Egypt. J. Remote Sens. Space Sci. 2020, 23, 145–157. [Google Scholar] [CrossRef]
- Khashaba, S.M.A.; El-Shibiny, N.H.; Hassan, S.M.; Takazawa, E.; Khedr, M.Z. Application of remote sensing data integration in detecting mineralized granitic zones: A case study of the Gabal Al-Ijlah Al-Hamra, Central Eastern Desert, Egypt. J. Afr. Earth Sci. 2023, 200, 104855. [Google Scholar] [CrossRef]
- Zhang, G.; Zhao, Z.F.; Zhang, X.L.; Wu, X.T.; Zheng, Y.F.; Feng, L.X.; Huang, Z.Q. Comprehensive Multi-Source remote sensing data integration for enhanced mineralization alteration extraction and geological structure interpretation in the Lala region of Sichuan Province. Ore Geol. Rev. 2024, 168, 106032. [Google Scholar] [CrossRef]
- Ding, H.F.; Jing, L.H.; Xi, M.J.; Bai, S.; Yao, C.Y.; Li, L. Research on Scale Improvement of Geochemical Exploration Based on Remote Sensing Image Fusion. Remote Sens. 2023, 15, 1993. [Google Scholar] [CrossRef]
- Kokaly, R.F.; Clark, R.N.; Swayze, G.A.; Livo, K.E.; Hoefen, T.M.; Pearson, N.C.; Wise, R.A.; Benzel, W.; Lowers, H.A.; Driscoll, R.L.; et al. USGS Spectral Library Version 7; US Geological Survey: Reston, VA, USA, 2017; pp. 1–60. [Google Scholar]
- Zhang, H.C.; Zhang, Y.N.; Duan, F. A robust and fast geometry based unmixing algorithm for hyperspectral imagery. Int. J. Remote Sens. 2010, 31, 5481–5493. [Google Scholar] [CrossRef]
- Filippi, A.M.; Güneralp, İ.; Castillo, C.R.; Ma, A.; Paulus, G.; Anders, K.H. Comparison of Image Endmember- and Object-Based Classification of Very-High-Spatial-Resolution Unmanned Aircraft System (UAS) Narrow-Band Images for Mapping Riparian Forests and Other Land Covers. Land 2022, 11, 246. [Google Scholar] [CrossRef]
- Hamedianfar, A.; Laakso, K.; Middleton, M.; Törmänen, T.; Köykkä, J.; Torppa, J. Leveraging High-Resolution Long-Wave Infrared Hyperspectral Laboratory Imaging Data for Mineral Identification Using Machine Learning Methods. Remote Sens. 2023, 15, 4806. [Google Scholar] [CrossRef]
- Thompson, D.R.; Mandrake, L.; Gilmore, M.S.; Castano, R. Superpixel endmember detection. IEEE Trans. Geosci. Remote Sens. 2010, 48, 4023–4033. [Google Scholar] [CrossRef]
- Gruninger, J.H.; Ratkowski, A.J.; Hoke, M.L. The Sequential Maximum Angle Convex Cone (SMACC) Endmember Model. In Algorithms and Technologies for Multispectral, Hyperspectral, and Ultraspectral Imagery X; SPIE: Bellingham, WA, USA, 2004; Volume 5425, pp. 1–14. [Google Scholar]
- Chen, J.; Bing, Z.B.; Mao, Z.X.; Zhang, C.P.; Bi, Z.W.; Yang, Z. Using geochemical data for prospecting target areas by the sequential maximum angle convex cone method in the Manzhouli area, China. Geochem. J. 2018, 52, 13–27. [Google Scholar] [CrossRef]
- Qiu, J.T.; Zhang, C.; Hu, X. Integration of Concentration-Area Fractal Modeling and Spectral Angle Mapper for Ferric Iron Alteration Mapping and Uranium Exploration in the Xiemisitan Area, NW China. Remote Sens. 2015, 7, 13878–13894. [Google Scholar] [CrossRef]
- Lyu, C.; Cheng, Q.M.; Zuo, R.G.; Wang, X.P. Mapping Spatial Distribution Characteristics of Lineaments Extracted from Remote Sensing Image Using Fractal and Multifractal Models. J. Earth Sci. 2017, 28, 507–515. [Google Scholar] [CrossRef]
- Maghsoudi Moud, F.; van Ruitenbeek, F.; Hewson, R.; van der Meijde, M. An Approach to Accuracy Assessment of ASTER Derived Mineral Maps. Remote Sens. 2021, 13, 2499. [Google Scholar] [CrossRef]
- Ni, C.Z.; Zhang, S.T.; Chen, Z.; Yan, Y.F.; Li, Y.J. Mapping the spatial distribution and characteristics of lineaments using fractal and multifractal models: A case study from Northeastern Yunnan Province, China. Sci. Rep. 2017, 7, 10511. [Google Scholar] [CrossRef]
- Dinç Göğüş, Ö.; Avşar, E.; Develi, K.; Çalık, A. Quantifying the Rock Damage Intensity Controlled by Mineral Compositions: Insights from Fractal Analyses. Fractal Fract. 2023, 7, 383. [Google Scholar] [CrossRef]
- Shi, R.; Xiao, H.G. Particle Flow Simulation of the Mechanical Properties and Fracture Behavior of Multi-Mineral Rock Models with Different Fractal Dimensions. Fractal Fract. 2025, 9, 13. [Google Scholar] [CrossRef]
- Sun, T.; Feng, M.; Pu, W.B.; Liu, Y.; Chen, F.; Zhang, H.W.; Huang, J.Q.; Mao, L.T.; Wang, Z.Q. Fractal-Based Multi-Criteria Feature Selection to Enhance Predictive Capability of AI-Driven Mineral Prospectivity Mapping. Fractal Fract. 2024, 8, 224. [Google Scholar] [CrossRef]
- Zhao, Z.H.; Chen, J.; Cheng, B.B.; Liu, Y.W.; Qiao, K.; Cui, X.M.; Yin, Y.C.; Li, C.L. Spatial Analysis of Structure and Metal Mineralization Based on Fractal Theory and Fry Analysis: A Case Study in Nenjiang–Heihe Metallogenic Belt. Minerals 2023, 13, 313. [Google Scholar] [CrossRef]
- Cheng, L.; Wang, G.M.; Ma, Z.J.; Guo, H.; Gao, Y.; Zhang, Q.; Gao, J.; Fu, H.H. Self-similarity study based on the particle sizes of coal-series diatomite. Sci. Rep. 2024, 14, 7502. [Google Scholar] [CrossRef] [PubMed]
- Liu, Y.; Sun, T.; Wu, K.X.; Zhang, H.W.; Zhang, J.W.; Jiang, X.W.; Lin, Q.W.; Feng, M. Fractal-Based Pattern Quantification of Mineral Grains: A Case Study of Yichun Rare-Metal Granite. Fractal Fract. 2024, 8, 49. [Google Scholar] [CrossRef]
- Liu, H.; Mukherjee, B.; Zuo, Y.J.; Roy, P.N.S.; Wu, Z.H.; Sun, W.J.B.; Zheng, L.L.; Pan, C.; Lin, J.Y. Fractal dimension used as a proxy to understand the spatial distribution for carlin-type gold deposits. Ore Geol. Rev. 2023, 158, 105534. [Google Scholar] [CrossRef]
- Fernández-Martínez, M.; Sánchez-Granero, M.A. Fractal dimension for fractal structures: A Hausdorff approach revisited. J. Math. Anal. Appl. 2014, 409, 321–330. [Google Scholar] [CrossRef]
- Hummer, D.R. Fractal distribution of mineral species among the crystallographic point groups. Am. Miner. 2021, 106, 1574–1579. [Google Scholar] [CrossRef]











| Formation | Primary Minerals | Alteration Minerals |
|---|---|---|
| Dajiling Formation | Quartz, Plagioclase, Mica | Sericite, Limonite, malachite |
| Ziqu Formation | Calcite, Quartz | Chlorite, Hematite |
| Zhongba Formation | Calcite | Limonite, Silicification |
| Gangzhutang Formation | Quartz, Mica | Sericite, Epidote |
| Gazhale Formation | Quartz, Plagioclase, Mica | Sericite, Limonite |
| Kagongyan Formation | Pyroxene, Plagioclase | Sericite, Chlorite |
| Yaquyan Formation | Quattez, Clay minerals | Chlorite, Limonite |
| Niuku Formations | Quattez, Clay minerals | Chlorite, Limonite |
| Tunjuri Formation | Calcite, Quartz, | Sericite, Limonite |
| Jipuyan Formation | Olivine, Pyroxene, Plagioclase | Sericite, Chlorite |
| Jiabula Formation | Calcite, Quartz | Limonite, Silicification |
| Angren Formation | Quartz | Sericite, Limonite |
| Chuangde Formation | Quattez, Clay minerals | Limonite |
| Zongzhuo Formation | Quartz, Plagioclase | Sericite, Epidote |
| Zezuweng Formation | Quartz, Mica | Sericite, Chlorite |
| Dasangyan Formation | Quattez, Clay minerals | Limonite |
| Danga Formation | Quartz | Silicification |
| Quaternary Alluvium | Quartz, Feldspar fragments | Limonite |
| Granite Diabase | Quartz, Feldspar | Sericite, Limonite, Hematite |
| Band 2 | Band 3 | Band 4 | Band 5 | Band 6 | Band 7 | Band 8a | Band 11 | Band 12 | |
|---|---|---|---|---|---|---|---|---|---|
| 1 | 4912 | 5948 | 6560 | 6675 | 6676 | 6734 | 6808 | 7893 | 6424 |
| 2 | 6512 | 6712 | 6640 | 5651 | 5453 | 5157 | 4789 | 2267 | 2162 |
| 3 | 3444 | 2256 | 2268 | 3435 | 3367 | 3691 | 4311 | 6460 | 6342 |
| 4 | 1675 | 2190 | 2122 | 2777 | 4259 | 4604 | 4920 | 4181 | 3007 |
| 5 | 6572 | 6916 | 6936 | 4633 | 4448 | 4396 | 4204 | 2853 | 2534 |
| 6 | 3856 | 4012 | 4372 | 3648 | 3618 | 4031 | 4278 | 5825 | 6136 |
| 7 | 2440 | 3432 | 4272 | 4548 | 4702 | 4913 | 4987 | 7146 | 6375 |
| 8 | 4524 | 5092 | 5044 | 5780 | 5638 | 5435 | 4974 | 2311 | 1975 |
| 9 | 2144 | 2636 | 2960 | 3083 | 3133 | 3325 | 3489 | 6116 | 5621 |
| Band | Calculation Formula |
|---|---|
| 2 | (DN1 − F3 × 3444 − F4 × 1675 − F6 × 3856)/(1 − F3 − F4 − F6) |
| 3 | (DN2 − F3 × 2256 − F4 × 2190 − F6 × 4012)/(1 − F3 − F4 − F6) |
| 4 | (DN3 − F3 × 2268 − F4 × 2122 − F6 × 4372)/(1 − F3 − F4 − F6) |
| 5 | (DN4 − F3 × 3435 − F4 × 2777 − F6 × 3648)/(1 − F3 − F4 − F6) |
| 6 | (DN5 − F3 × 3367 − F4 × 4259 − F6 × 3618)/(1 − F3 − F4 − F6) |
| 7 | (DN6 − F3 × 3691 − F4 × 4604 − F6 × 4031)/(1 − F3 − F4 − F6) |
| 8a | (DN7 − F3 × 4311 − F4 × 4920 − F6 × 4278)/(1 − F3 − F4 − F6) |
| 11 | (DN8 − F3 × 6460 − F4 × 4181 − F6 × 5825)/(1 − F3 − F4 − F6) |
| 12 | (DN9 − F3 × 6342 − F4 × 3007 − F6 × 6136)/(1 − F3 − F4 − F6) |
| Type | Eigenvector | Band 2 | Band 4 | Band 8A | Band 11 |
|---|---|---|---|---|---|
| Iron-staining | PC1 | 0.313681 | 0.478547 | 0.517353 | 0.636351 |
| PC2 | 0.617418 | 0.340468 | 0.160370 | −0.690767 | |
| PC3 | −0.568580 | 0.785637 | −0.181369 | −0.163086 | |
| PC4 | −0.443977 | −0.194549 | 0.820812 | −0.302163 | |
| Type | Eigenvector | Band 6 | Band 8A | Band 11 | Band 12 |
| Al-OH | PC1 | −0.480088 | −0.506195 | −0.516806 | −0.49618 |
| PC2 | 0.468644 | 0.504798 | −0.674377 | −0.26602 | |
| PC3 | −0.419601 | 0.146771 | −0.480054 | 0.756269 | |
| PC4 | 0.611411 | −0.68367 | −0.218348 | 0.333311 | |
| Type | Eigenvector | Band 2 | Band 8A | Band 11 | Band 12 |
| Mg-OH | PC1 | −0.410902 | −0.526081 | −0.537109 | −0.515667 |
| PC2 | 0.571009 | 0.46045 | −0.619561 | −0.279426 | |
| PC3 | 0.543775 | −0.362285 | 0.491561 | −0.575698 | |
| PC4 | 0.457622 | −0.61642 | −0.293304 | 0.56972 |
| Type | Mean | Standard Deviation | Anomaly Value |
|---|---|---|---|
| Iron-staining | 0 | 114.79 | 344.37 |
| Al-OH | 0 | 70.09 | 210.27 |
| Mg-OH | 0 | 140.50 | 421.5 |
| Carbonate | 1.3 | 1.35 | 4 |
| Type | Fractal Dimension | Type | Fractal Dimension | ||||||
|---|---|---|---|---|---|---|---|---|---|
| r/km | N(r) | lnr | LnN(r) | r/km | N(r) | lnr | LnN(r) | ||
| Iron- staining | 6.123 | 12 | 5.77455 | 3.46574 | Al-OH | 6.123 | 11 | 5.42935 | 3.46574 |
| 3.062 | 35 | 4.74493 | 4.15888 | 3.062 | 33 | 4.60517 | 4.15888 | ||
| 1.531 | 115 | 3.55535 | 4.85203 | 1.531 | 100 | 3.49651 | 4.85203 | ||
| 0.765 | 322 | 2.48491 | 5.54518 | 0.765 | 228 | 2.3979 | 5.54518 | ||
| Mg-OH | 6.123 | 12 | 5.54908 | 3.46574 | Carbonate | 6.123 | 10 | 4.61512 | 3.46574 |
| 3.062 | 34 | 4.7362 | 4.15888 | 3.062 | 24 | 4.00733 | 4.15888 | ||
| 1.531 | 114 | 3.52636 | 4.85203 | 1.531 | 55 | 3.17805 | 4.85203 | ||
| 0.765 | 257 | 2.48491 | 5.54518 | 0.765 | 101 | 2.30259 | 5.54518 | ||
Disclaimer/Publisher’s Note: The statements, opinions and data contained in all publications are solely those of the individual author(s) and contributor(s) and not of MDPI and/or the editor(s). MDPI and/or the editor(s) disclaim responsibility for any injury to people or property resulting from any ideas, methods, instructions or products referred to in the content. |
© 2025 by the authors. Licensee MDPI, Basel, Switzerland. This article is an open access article distributed under the terms and conditions of the Creative Commons Attribution (CC BY) license (https://creativecommons.org/licenses/by/4.0/).
Share and Cite
Qiao, K.; Luo, T.; Ding, S.; Quan, L.; Kong, J.; Liu, Y.; Ren, Z.; Gong, S.; Huang, Y. Extraction of Remote Sensing Alteration Information Based on Integrated Spectral Mixture Analysis and Fractal Analysis. Minerals 2025, 15, 1047. https://doi.org/10.3390/min15101047
Qiao K, Luo T, Ding S, Quan L, Kong J, Liu Y, Ren Z, Gong S, Huang Y. Extraction of Remote Sensing Alteration Information Based on Integrated Spectral Mixture Analysis and Fractal Analysis. Minerals. 2025; 15(10):1047. https://doi.org/10.3390/min15101047
Chicago/Turabian StyleQiao, Kai, Tao Luo, Shihao Ding, Licheng Quan, Jingui Kong, Yiwen Liu, Zhiwen Ren, Shisong Gong, and Yong Huang. 2025. "Extraction of Remote Sensing Alteration Information Based on Integrated Spectral Mixture Analysis and Fractal Analysis" Minerals 15, no. 10: 1047. https://doi.org/10.3390/min15101047
APA StyleQiao, K., Luo, T., Ding, S., Quan, L., Kong, J., Liu, Y., Ren, Z., Gong, S., & Huang, Y. (2025). Extraction of Remote Sensing Alteration Information Based on Integrated Spectral Mixture Analysis and Fractal Analysis. Minerals, 15(10), 1047. https://doi.org/10.3390/min15101047

