Dimension Stone Processing Sludge at Different Stages of Production: Insights for Waste Management
Abstract
1. Introduction
2. Materials and Methods
2.1. Sampling
2.2. Separation of Liquid and Solid Phases and Determination of Water Content
2.3. Particle Size Analysis of the Solid Phase of DSPS
2.4. Analysis of the Chemical Composition of the Solid Phase of DSPS, Stones, and Inputs
2.5. Analysis of the Liquid Phase and the Solubilized Extract of the Solid Phase of DSPS and Rocks
3. Results
3.1. Characteristics of DSPS
3.2. Chemical Composition of the Solid Phase of DSPS
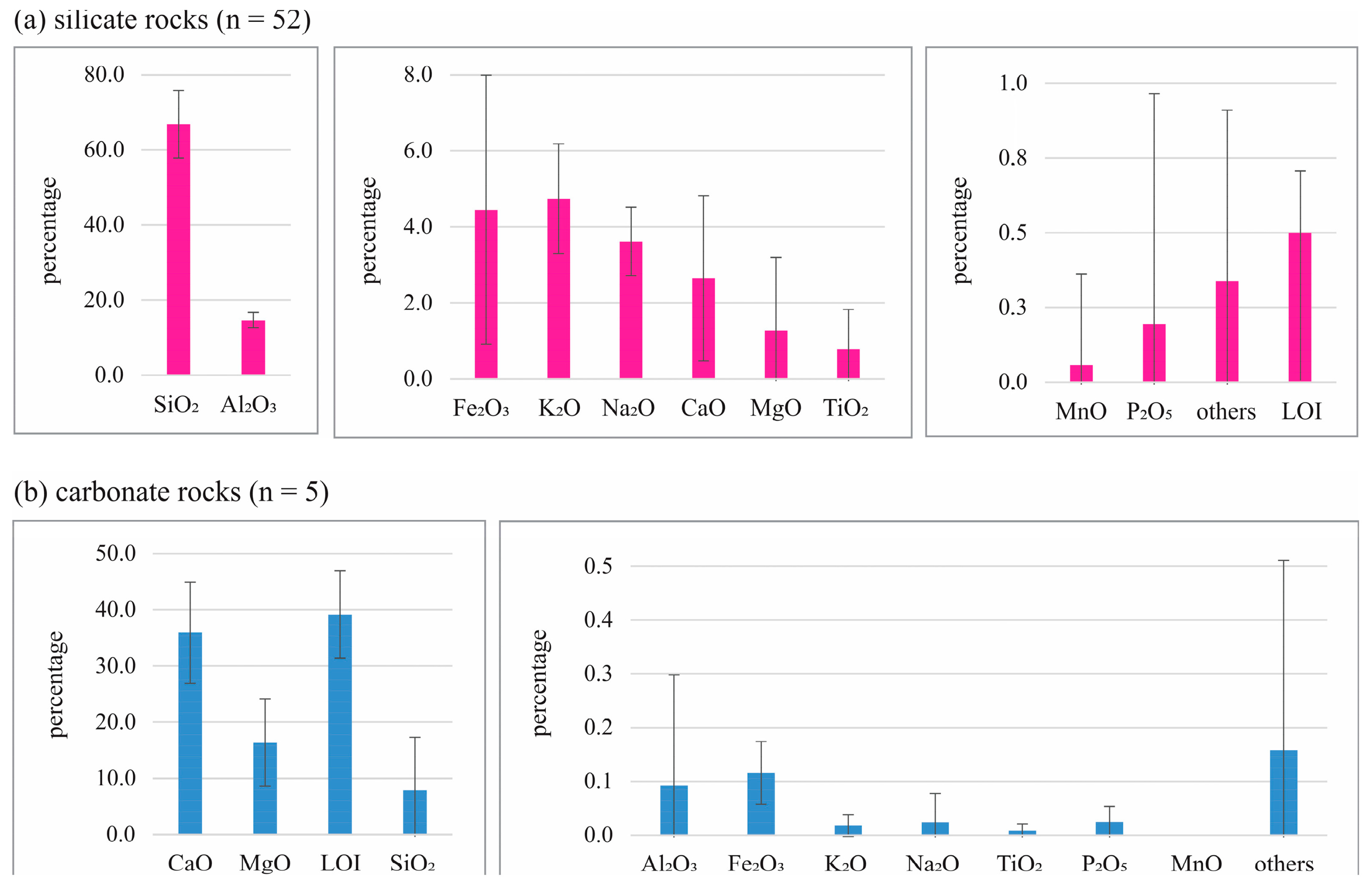
3.3. Chemical Characteristics of Processed Stones
3.4. Main Inputs Used in the Processing of Rocks
4. Discussion
5. Conclusions
Author Contributions
Funding
Data Availability Statement
Acknowledgments
Conflicts of Interest
References
- Jalalian, M.H.; Bagherpour, R.; Khoshouei, M. Wastes production in dimension stones industry: Resources, factors, and solutions to reduce them. Environ. Earth Sci. 2021, 80, 560–573. [Google Scholar] [CrossRef]
- Associação Brasileira da Indústria de Rochas Ornamentais—ABIROCHAS. Balanço das exportações e importações brasileiras de materiais rochosos naturais e artificiais de ornamentação e revestimento em 2021. Informe 2022, 1, 2–17. Available online: https://abirochas.com.br/wp-content/uploads/2022/03/Informe-01_2022-Exportacoes-2021.pdf (accessed on 6 November 2023).
- Instituto de Desenvolvimento Industrial do Espírito Santo/Federação das Indústrias do Espírito Santo IDEIES/FINDES. Análise de Competitividade do Setor das Indústrias de Rochas Ornamentais do Estado do Espírito Santo; FINDES: Vitória, Brazil, 2020. Available online: https://inovacaoedesenvolvimento.es.gov.br/ (accessed on 30 November 2023).
- Espírito Santo. Secretaria de Estado do Meio Ambiente e Recursos Hídricos. Instituto Estadual de Meio Ambiente e Recursos Hídricos. Instrução Normativa nº 11 de 11 de outubro de 2016; Diário Oficial dos Poderes do Estado: Vitória, Brazil, 2016. Available online: https://iema.es.gov.br/legislacao (accessed on 20 March 2024).
- Espírito Santo. Secretaria de Estado do Meio Ambiente e Recursos Hídricos. Instituto Estadual de Meio Ambiente e Recursos Hídricos. Instrução Normativa nº 13-N de 22 de agosto de 2023; Diário Oficial dos Poderes do Estado: Vitória, Brazil, 2023. Available online: https://iema.es.gov.br/legislacao (accessed on 20 March 2024).
- Espírito Santo. Secretaria de Estado do Meio Ambiente e Recursos Hídricos. Instituto Estadual de Meio Ambiente e Recursos Hídricos. Instrução Normativa nº 12-N de 22 de agosto de 2023; Diário Oficial dos Poderes do Estado: Vitória, Brazil, 2023. Available online: https://iema.es.gov.br/legislacao (accessed on 20 March 2024).
- Moreira, B.C.; Neves, M.A.; Pinheiro, M.M.; Nascimento, W.A.R.; Barbosa, J.L.B.; Horn, A.H. Depósitos de resíduos de rochas ornamentais: Composição, dimensionamento e possíveis usos no setor de construção civil. Geociências 2021, 40, 525–538. [Google Scholar] [CrossRef]
- Silva, A.P.M.; Viana, J.P.; Cavalcante, A.L.B. Diagnóstico dos Resíduos Sólidos da Atividade de Mineração de Substâncias Não Energéticas. In Instituto de Pesquisa Econômica Aplicada—IPEA: Brasília, Brazil; 2012. Available online: http://repositorio.ipea.gov.br/ (accessed on 6 November 2023).
- Kim, Y.; Park, H. A value-added synthetic process utilizing mining wastes and industrial byproducts for wear-resistant glass ceramics. ACS Sustain. Chem. Eng. 2020, 8, 2196–2204. [Google Scholar] [CrossRef]
- Menezes, R.R.; Ferreira, H.S.; Neves, G.A.; Lira, H.L.L.; Ferreira, H.C. Use of granite sawing wastes in the production of ceramic bricks and tiles. J. Eur. Ceram. Soc. 2005, 25, 1149–1158. [Google Scholar] [CrossRef]
- Silva, K.R.; Campos, L.F.A.; Santana, L.N. Use of experimental design to evaluate the effect of the incorporation of quartzite residues in ceramic mass for porcelain tile production. Mat. Res. 2019, 22, e20180388. [Google Scholar] [CrossRef]
- Taguchi, S.P.; Santos, J.C.; Gomes, T.M.; Cunha, N.A. Avaliação das propriedades tecnológicas de cerâmica vermelha incorporada com resíduo de rocha ornamental proveniente do tear de fio diamantado. Cerâmica 2014, 60, 291–296. [Google Scholar] [CrossRef]
- Al-Zboon, K.; Al-Zou’by, J. Recycling of stone cutting slurry in concrete mixes. J. Mater. Cycles Waste Manag. 2015, 17, 324–335. [Google Scholar] [CrossRef]
- Azevedo, A.R.G.; Marvila, M.T.; Barroso, L.S.; Zanelato, E.B.; Alexandre, J.; Xavier, G.C.; Monteiro, S.N. Effect of granite residue incorporation on the behavior of mortars. Materials 2019, 12, 1449. [Google Scholar] [CrossRef] [PubMed]
- Buyuksagis, I.S.; Uygunoglu, T.; Tatar, E. Investigation on the usage of waste marble powder in cement bases adhesive mortar. Constr. Build. Mater. 2017, 154, 734–742. [Google Scholar] [CrossRef]
- Ghorbani, S.; Taju, I.; Tavakkolizadeh, M.; Davodi, A.; Brito, J. Improving corrosion resistance of steel rebars in concrete with marble and granite waste dust as partial cement replacement. Constr. Build. Mater. 2018, 185, 110–119. [Google Scholar] [CrossRef]
- Barros, M.M.; Oliveira, M.F.L.; Ribeiro, R.C.C.; Bastos, D.C.; Oliveira, M.G. Ecological bricks from dimension stone waste and polyester resin. Constr. Build. Mater. 2020, 232, 117–252. [Google Scholar] [CrossRef]
- Eliche-Quesada, D.; Corpas-Iglesias, F.A.; Pérez-Villarejo, L.; Iglesias-Godino, F.J. Recycling of sawdust, spent earth from oil filtration, compost and marble residues for brick manufacturing. Constr. Build. Mater. 2012, 34, 275–284. [Google Scholar] [CrossRef]
- França, B.R.; Azevedo, A.R.G.; Monteiro, S.N.; Filho, F.C.G.; Marvila, M.T.; Alexandre, J.; Zanelato, E.B. Durability of Soil-Cement Blocks with the Incorporation of Limestone Residues from the Processing of Marble. Mat. Res. 2018, 21, e20171118. [Google Scholar] [CrossRef]
- Pérez-Sirvent, C.; García-Lorenzo, M.L.; Martínez-Sánchez, M.J.; Navarro, M.C.; Marimón, J.; Bech, J. Metal-contaminated soil remediation by using sludges of the marble industry: Toxicological evaluation. Environ. Int. 2007, 33, 502–504. [Google Scholar] [CrossRef] [PubMed]
- Raymundo, V.; Neves, M.A.; Cardoso, M.S.N.; Bregonci, I.S.; Lima, J.S.S.; Fonseca, A.B. Resíduos de serragem de mármores como corretivo da acidez de solo. Rev. Bras. Eng. Agríc. Ambient. 2013, 17, 47–53. [Google Scholar] [CrossRef]
- Tozsin, G.; Oztas, T.; Arol, A.I.; Kalkan, E. Changes in the chemical composition of an acidic soil treated with marble quarry and marble cutting wastes. Chemosphere 2015, 138, 664–667. [Google Scholar] [CrossRef]
- Cazotti, M.M.; Costa, L.M.; Cecon, P.R. Biogenic, sedimentary, and metamorphic limestone: A comparative characterization of soil amendments. Rev. Ceres 2019, 66, 63–71. [Google Scholar] [CrossRef]
- Silva, M.T.B.; Hermo, B.S.; García-Rodeja, E.; Freire, N.V. Reutilization of granite powder as an amendment and fertilizer for acid soils. Chemosphere 2005, 61, 993–1002. [Google Scholar] [CrossRef]
- Theodoro, S.H.; Leonardos, O.H. The use of rocks to improve family agriculture in Brazil. An. Acad. Bras. Ciênc. 2006, 78, 721–730. [Google Scholar] [CrossRef]
- Duarte, E.B.; Nascimento, A.P.S.; Gandine, S.M.S.; Carvalho, J.R.; Burak, D.L.; Neves, M.A. Liberação de potássio e sódio a partir de resíduos do beneficiamento de rochas ornamentais. Pesqui. Geociênc 2021, 48, e101373. [Google Scholar] [CrossRef]
- Neves, M.A.; Prado, A.C.A.; Marques, R.A.; Fonseca, A.B.; Machado, M.E.S. Lama de beneficiamento de rochas ornamentais processadas no Espírito Santo: Composição e aproveitamento. Geociências 2021, 40, 123–136. [Google Scholar] [CrossRef]
- Neves, M.A.; Raymundo, V. Depósitos de resíduos finos do beneficiamento de rochas ornamentais e qualidade do aquífero freático. Eng. Sanit. Ambient. 2022, 27, 257–267. [Google Scholar] [CrossRef]
- Aguiar, L.L.; Tonon, C.B.; Nunes, E.K.; Braga, A.C.A.; Neves, M.A.; David, J.A.O. Mutagenetic potential of fine waste from dimension stone industry. Ecotoxicol. Environ. Saf. 2016, 125, 116–120. [Google Scholar] [CrossRef] [PubMed]
- Associação Brasileira de Normas Técnicas—ABNT. NBR 10.004: Resíduos Sólidos—Classificação; ABNT: Rio de Janeiro, Brazil, 2004. [Google Scholar]
- Associação Brasileira de Normas Técnicas—ABNT. NBR 10.005: Procedimento para Obtenção de Extrato Lixiviado de Resíduos Sólidos; ABNT: Rio de Janeiro, Brazil, 2004. [Google Scholar]
- Associação Brasileira de Normas Técnicas—ABNT. NBR 10.006: Procedimento para Obtenção de Extrato Solubilizado de Resíduos Sólidos; ABNT: Rio de Janeiro, Brazil, 2004. [Google Scholar]
- Venturoti, G.P.; Boldrini-França, J.; Kiffer, W.P.; Francisco, A.P.; Gomes, A.S.; Gomes, L.C. Toxic effects of ornamental stone processing waste effluents on Geophagus brasiliensis (Teleostei: Cichlidae). Environ. Toxicol. Pharmacol. 2019, 72, 103268. [Google Scholar] [CrossRef]
- Neves, M.A.; Nadai, C.P.; Fonseca, A.B.; Prado, A.C.A.; Giannotti, J.D.G.; Raymundo, V. pH e umidade dos resíduos finos de beneficiamento de rochas ornamentais. Rev. Esc. Minas 2013, 66, 239–244. [Google Scholar] [CrossRef]
- Manhães, J.V.T.; Holanda, J.N.F. Caracterização e classificação de resíduo sólido ‘pó de rocha granítica’ gerado na indústria de rochas ornamentais. Quím. Nova 2008, 31, 105–122. [Google Scholar] [CrossRef]
- Braga, F.S.; Buzzi, D.C.; Couto, M.C.L.; Lange, L.C. Caracterização ambiental de lamas de beneficiamento de rochas ornamentais. Eng. Sanit. Ambient. 2010, 15, 237–244. [Google Scholar] [CrossRef]
- Kabata-Pendias, A. Trace Elements in Soils and Plants; Taylor & Francis: New York, NY, USA, 2011. [Google Scholar]







| (a) Liquid Phase of DSPS (mg L−1) | ||||||||
| Elements | Al | Fe | Mn | Ba | Ti | Ca | Mg | |
| T-Inert | 0.2 | 0.3 | 0.1 | 0.7 | (null) | (null) | (null) | |
| Conventional (n = 46) | mean | 2.64 | 1.57 | 0.05 | 0.18 | 0.03 | 47.41 | 28.22 |
| median | 0.56 | 0.18 | 0.01 | 0.13 | 0.00 | 25.98 | 11.13 | |
| stand.dev. | 4.74 | 4.24 | 0.13 | 0.22 | 0.09 | 64.18 | 48.53 | |
| minimum | 0.00 | 0.00 | 0.00 | 0.00 | 0.00 | 1.01 | 0.01 | |
| maximum | 20.71 | 23.81 | 0.79 | 1.13 | 0.47 | 366.30 | 266.80 | |
| multi-wire (n = 34) | mean | 1.43 | 0.67 | 0.15 | 0.12 | 0.05 | 65.69 | 37.99 |
| median | 0.14 | 0.04 | 0.07 | 0.10 | 0.00 | 23.86 | 16.86 | |
| stand.dev. | 3.91 | 1.83 | 0.27 | 0.09 | 0.16 | 110.31 | 32.35 | |
| minimum | 0.00 | 0.00 | 0.00 | 0.00 | 0.00 | 0.00 | 9.23 | |
| maximum | 18.54 | 9.19 | 1.34 | 0.40 | 0.81 | 477.00 | 105.30 | |
| Polishing (n = 20) | mean | 0.47 | 0.36 | 0.09 | 0.17 | 0.03 | 16.78 | 47.31 |
| median | 0.13 | 0.02 | 0.09 | 0.12 | 0.00 | 16.41 | 12.12 | |
| stand.dev. | 0.98 | 0.89 | 0.07 | 0.15 | 0.09 | 6.03 | 74.25 | |
| minimum | 0.00 | 0.00 | 0.01 | 0.00 | 0.00 | 8.13 | 6.92 | |
| maximum | 4.42 | 3.86 | 0.22 | 0.48 | 0.41 | 23.17 | 208.10 | |
| (b) Solubilized extract of the solid phase of DSPS (mg L−1) | ||||||||
| Elements | Al | Fe | Mn | Ba | Ti | Ca | Mg | |
| T-Inert | 0.2 | 0.3 | 0.1 | 0.7 | (null) | (null) | (null) | |
| Conventional (n = 42) | mean | 0.30 | 0.07 | 0.00 | 0.01 | 0.04 | 6.81 | 1.27 |
| median | 0.07 | 0.00 | 0.00 | 0.00 | 0.02 | 4.25 | 0.15 | |
| stand.dev. | 0.69 | 0.14 | 0.00 | 0.01 | 0.04 | 7.16 | 2.05 | |
| minimum | 0.00 | 0.00 | 0.00 | 0.00 | 0.02 | 0.72 | 0.01 | |
| maximum | 4.31 | 0.57 | 0.01 | 0.03 | 0.09 | 32.53 | 7.42 | |
| multi-wire (n = 26) | mean | 0.40 | 0.15 | 0.03 | 0.05 | 0.01 | 34.20 | 5.71 |
| median | 0.14 | 0.04 | 0.01 | 0.04 | 0.00 | 17.48 | 4.32 | |
| stand.dev. | 0.63 | 0.23 | 0.07 | 0.04 | 0.02 | 80.84 | 3.95 | |
| minimum | 0.00 | 0.00 | 0.00 | 0.00 | 0.00 | 0.00 | 0.25 | |
| maximum | 2.41 | 0.84 | 0.27 | 0.17 | 0.06 | 426.00 | 15.19 | |
| Polishing (n = 10) | mean | 0.55 | 0.35 | 0.01 | 0.04 | 0.04 | 13.32 | 9.72 |
| median | 0.12 | 0.21 | 0.01 | 0.03 | 0.03 | 10.93 | 12.33 | |
| stand.dev. | 0.67 | 0.45 | 0.01 | 0.02 | 0.05 | 9.30 | 5.14 | |
| minimum | 0.00 | 0.00 | 0.00 | 0.00 | 0.00 | 6.04 | 2.18 | |
| maximum | 1.74 | 1.50 | 0.03 | 0.08 | 0.12 | 35.85 | 15.17 | |
| Elements | Al | Fe | Mn | Ba | Ti | Ca | Mg |
|---|---|---|---|---|---|---|---|
| T-Inert | 0.2 | 0.3 | 0.1 | 0.7 | (null) | (null) | (null) |
| mean | 0.73 | 0.57 | 0.01 | 0.03 | 0.05 | 20.55 | 3.06 |
| median | 0.22 | 0.00 | 0.00 | 0.01 | 0.00 | 23.34 | 1.79 |
| stand.dev. | 1.33 | 2.06 | 0.03 | 0.06 | 0.22 | 9.68 | 3.21 |
| minimum | 0.00 | 0.00 | 0.00 | 0.00 | 0.00 | 3.45 | 0.22 |
| maximum | 5.40 | 9.26 | 0.12 | 0.19 | 0.98 | 30.30 | 12.61 |
| Origin of the Sample | Type | |
|---|---|---|
| Non-Inert | Inert | |
| conventional loom + polishing machine (n = 120) | 51% | 49% |
| conventional loom + multi-wire loom + polishing machine (n = 40) | 45% | 55% |
| multi-wire loom + polishing machine (n = 49) | 43% | 57% |
| polishing machine (n = 14) | 50% | 50% |
| TOTAL (n = 223) | 48% | 52% |
Disclaimer/Publisher’s Note: The statements, opinions and data contained in all publications are solely those of the individual author(s) and contributor(s) and not of MDPI and/or the editor(s). MDPI and/or the editor(s) disclaim responsibility for any injury to people or property resulting from any ideas, methods, instructions or products referred to in the content. |
© 2024 by the authors. Licensee MDPI, Basel, Switzerland. This article is an open access article distributed under the terms and conditions of the Creative Commons Attribution (CC BY) license (https://creativecommons.org/licenses/by/4.0/).
Share and Cite
Neves, M.A.; Nascimento, W.A.R.; Horn, A.H. Dimension Stone Processing Sludge at Different Stages of Production: Insights for Waste Management. Minerals 2025, 15, 39. https://doi.org/10.3390/min15010039
Neves MA, Nascimento WAR, Horn AH. Dimension Stone Processing Sludge at Different Stages of Production: Insights for Waste Management. Minerals. 2025; 15(1):39. https://doi.org/10.3390/min15010039
Chicago/Turabian StyleNeves, Mirna A., Wenderson A. R. Nascimento, and Adolf H. Horn. 2025. "Dimension Stone Processing Sludge at Different Stages of Production: Insights for Waste Management" Minerals 15, no. 1: 39. https://doi.org/10.3390/min15010039
APA StyleNeves, M. A., Nascimento, W. A. R., & Horn, A. H. (2025). Dimension Stone Processing Sludge at Different Stages of Production: Insights for Waste Management. Minerals, 15(1), 39. https://doi.org/10.3390/min15010039

