Next Article in Journal
On the Question of Finding Relationship Between Structural Features of Smectites and Adsorption and Surface Properties of Bentonites
Previous Article in Journal
Optimization of Ultra-High-Performance Concrete Using a Clinker-Free Binder and Iron Mine Tailings Aggregate
 
 
Font Type:
Arial Georgia Verdana
Font Size:
Aa Aa Aa
Line Spacing:
Column Width:
Background:
Article

Experimental Study on the Dynamic Impact Characteristics of Iron Ore Under Free-Fall Conditions

1
College of Mining, Liaoning Technical University, Fuxin 123000, China
2
CCTEG Shenyang Engineering Company, Shenyang 110066, China
3
School of Mechanical Engineering, Shenyang Jianzhu University, Shenyang 110168, China
*
Author to whom correspondence should be addressed.
Minerals 2025, 15(1), 29; https://doi.org/10.3390/min15010029
Submission received: 20 November 2024 / Revised: 12 December 2024 / Accepted: 26 December 2024 / Published: 29 December 2024
(This article belongs to the Section Mineral Processing and Extractive Metallurgy)

Abstract

Ore processing equipment is constantly subjected to impacts from various types of ore. However, the impact force characteristics generated by ore particles of different masses have not been thoroughly studied, which has hindered the design and monitoring of such equipment. This paper presents an experimental study on the dynamic impact characteristics of iron ore particles under free–fall conditions. The research focuses on understanding the mechanical behavior of ore particles of varying sizes and weights when colliding with metallic components, particularly crushers, which are critical in the ore processing industry. A modified Split Hopkinson Pressure Bar apparatus was utilized to measure the impact forces, durations, and deformation patterns during collisions. Two types of fired iron ore pellets were collected from industrial plants and sorted into different mass ranges for testing. The pellets were dropped from a height of 1 m to impact a steel rod, and the resulting impact forces were recorded using strain gauges. Additionally, finite element simulations were conducted to validate the experimental methodology. The results revealed significant variations in impact force, duration, and deformation patterns, influenced by particle mass and impact position. The maximum recorded impact force was approximately 7500 N, indicating the high energy involved in these collisions. Impact durations ranged from 0.05 to 0.11 milliseconds, emphasizing the rapid nature of the interactions. The deformation patterns were consistent across all particles, supporting the applicability of Hertz’s contact theory.This study offers valuable insights into the dynamic impact characteristics of iron ore particles, which are essential for optimizing the design and performance of mining machinery.

1. Introduction

In the field of ore mining and processing, the impact of falling ore particles on metallic equipment, particularly crushers, is a complex yet critical issue. Crushers, as essential machinery in the ore processing workflow, are subjected to impact loads from ores of various sizes and weights over extended periods [1,2]. The performance and lifespan of these machines are directly linked to the continuous operation and overall efficiency of the production line. Therefore, an in–depth understanding of the mechanical behavior of ore particles of different sizes and weights when impacting metal components is crucial for enhancing the impact resistance of mining machinery and optimizing crusher efficiency, thereby promoting more efficient ore processing.
The Split Hopkinson Pressure Bar (SHPB) is a widely used experimental apparatus for studying the dynamic mechanical properties of materials under high–strain rate conditions [3,4]. It consists of a steel bar that is struck by a projectile, generating a stress wave that travels through the bar and impacts the sample positioned at the other end. Strain gauges attached to the bar are used to measure the resulting deformation, from which the stress and strain in the sample can be derived. This method allows for the precise measurement of impact forces, durations, and deformation patterns, making it ideal for studying the dynamic impact characteristics of ore particles [5].
Ore crushing, the first step in ore processing, aims to break large ore chunks into sizes suitable for subsequent processing stages [6,7]. During this process, the size and weight of ore particles, along with their mechanical behavior upon impacting metal equipment—such as peak impact force, duration, and deformation patterns—play a critical role in determining crushing efficiency and the size distribution of the crushed product [8]. Detailed experimental studies and theoretical analyses that reveal the relationships between these parameters and crushing outcomes are essential for guiding crusher design optimization, improving crushing efficiency, and enhancing product quality.
The size distribution of crushed ore products is a key technical indicator in ore processing [9,10]. It not only affects the stability of downstream processes and product uniformity but also has significant economic implications for overall processing efficiency [11,12]. Achieving precise control over particle size distribution necessitates a thorough analysis and optimization of crusher design. This requires not only a deep understanding of the crushing mechanisms of ore particles but also comprehensive knowledge of the mechanical properties of ores of varying sizes and weights when they impact metal equipment [13,14,15]. Such insights are vital for the informed design of crushers.
Although previous studies have explored the impact response characteristics of ore particles, most have been limited to single mineral particles under specific conditions and have primarily focused on the crushing mechanisms of ores rather than the dynamic characteristics during impact on metal components [16,17,18]. There is still a lack of systematic understanding of the complex and variable size and weight distributions of ore particles in actual processing environments, and how these factors collectively influence the impact characteristics on metal equipment. This gap is particularly evident in the study of brittle materials such as iron ore, where the influence of particle size and weight on impact behavior and its subsequent effect on crusher efficiency remains insufficiently explored.
In response to this, the present study focuses on the impact force characteristics of ore particles of different sizes and weights during impact on metal rods. We employed a modified SHPB apparatus, which allows for precise measurement of the mechanical behavior of ore particles during impact. By systematically comparing the impact responses of ore particles of varying sizes and weights, we aim to uncover the underlying patterns of their impact force characteristics. This research provides new insights for the design and optimization of mining machinery, while also laying a theoretical foundation for improving crusher efficiency.

2. Method

2.1. Test Samples

Two distinct types of fired iron ore pellets, designated as Samples A and B, were procured from industrial facilities located in Hebei, China. Both of these samples adhered to the stringent specifications required for direct reduction processes.
Subsequently, these collected samples underwent a series of standardized evaluations that are prevalent in the pelletizing sector. Specifically, they were subjected to tumbling and abrasion assessments, as outlined in ISO 3271 [19], and crushing strength examinations, as stipulated in ISO 4700 [20].
The chemical composition of the pellets was scrutinized using X–ray fluorescence spectroscopy (Bruker S2 PUMA Series II, Bruker, Billerica, MA, USA). Additionally, porosity determinations were carried out by analyzing polished sections of pellet fragments. These fragments were carefully selected based on their strength values, which were in close proximity to the average strength established through the ISO 4700 tests. The examination of these samples was conducted under reflected light, utilizing a Zeiss optical microscope (Zeiss Axio Imager 2, Zeiss, Oberkochen, Germany.).

2.2. Impact Testing Device

The SHPB is a device used to measure the mechanical properties of materials under dynamic loading conditions. It consists of a steel rod, a positioning device, and a stress wave dynamic acquisition system. The steel rod is precisely fixed in a vertical position and is equipped with linear bearings to ensure smooth sliding. One end of the rod is subjected to an impact from the ore, while the other end is connected to a damper to absorb the stress waves within the rod. The ore impacts the steel rod through free fall. Strain gauges are used to monitor the propagation of stress waves within the rod. After conditioning and storing these transient signals using an appropriate data acquisition system, the impact time, impact force, and load–deformation curve of the specimen can be calculated.
The schematic of the impact load unit is shown in Figure 1. This unit contains a long steel rod, functioning as the incident bar of the SHPB, and is equipped with strain gauges. The ore freely falls from the upper positioning hole to impact the top end of the steel rod. The compression waves generated by the impact propagate along the steel rod and are detected by the solid–state strain gauges. To minimize the effects of bending on the measurements, non–sacrificial strain gauges are paired and adhered to the opposing surfaces of the steel rod. These strain gauges are connected in a full–bridge configuration to specifically measure the axial strain in the rod. The impact process is recorded using a high–speed camera.
Experiments were conducted utilizing pellets within various mass ranges, employing a 19 mm–diameter impact load cell. The pellets were dropped from a height of 1 m, with an impact velocity of 4.43 m/s upon contacting the top of the rod. Additionally, the weight of each pellet was precisely measured using a precision scale.

2.3. Calculation Method

The impact load cell enables the determination of both the load and deformation experienced by a pellet during impact. The load exerted by the pellet on the rod is calculated using the proportionality principle of strain gauges and Hooke’s law. Assuming negligible wave dispersion or attenuation from the contact point to the strain gauges and predominantly elastic deformation within the rod (a reasonable assumption given the low measured stresses), the load can be expressed as:
F r ( t ) = A r E ε
where A r , E and ε represent the rod’s cross–sectional area, elastic modulus, and strain, respectively.
The particle’s compression at the top of the rod is not directly measured by the impact load cell. Instead, it is deduced using momentum conservation principles, incorporating the deformation of the rod. The motion of the drop weight during impact is governed by:
m b d 2 u b d t 2 = F b + m b g
where u b is the drop weight’s center of gravity position, m b its mass, F b the load exerted by the particle on the drop weight, and g the gravitational acceleration. Integrating Equation (2) with initial conditions at contact ( t = 0 ), where d u b d t = v 0 and F b = 0 , yields:
d u b d t = v 0 + g t 1 m b 0 t F b ( t ) d t
Here, v 0 represents the initial velocity of the drop weight upon contact, which under free–fall conditions can be approximated as 2 g h , where h is the effective drop height.
During impact, various wave types, including longitudinal, transverse, and Rayleigh waves, propagate within the rod [21,22]. However, considering the contact type and the rod’s geometry (length–to–diameter ratio), only longitudinal waves are included in the analysis. The relationship between loads and deformations at the rod’s top is given by:
d u r d t = 1 ρ A r C F r ( t )
where C denotes the wave propagation speed in the rod, given by [23]
C = E ρ
with ρ being the rod’s density. Assuming equilibrium of forces at the contact surfaces ( F r = F b = F ), subtracting Equation (3) and integrating gives:
α ( t ) = v 0 t + g t 2 2 1 m b 0 t 0 τ F ( τ ¯ ) d τ ¯ d τ 1 ρ A r C 0 t F ( τ ) d τ
where α = u b u r and τ ¯ is an integration variable.

3. Simulation

In this section, the correctness of the above algorithm is verified by finite element simulations.
A dynamic model of a ball impacting a rod was developed using Abaqus software, as shown in Figure 2. The bottom end of the rod was fixed, while the top end remained free. The simulation involved a ball released from a height of 1 m, impacting the center of the rod with an impact velocity of 4.426 m/s. The rod was discretized using hexahedral elements with a mesh size of 2 mm. The ball was divided into eight regions, which were also meshed with hexahedral elements. In most regions, the mesh size was maintained at 2 mm; however, at the contact area with the rod, the mesh size was reduced to 1 mm to improve computational accuracy. The specific material parameters are detailed in Table 1.
Based on the Saint–Venant’s principle, the stress within the rod is measured at a point located 13.7 cm from the rod’s end. Figure 3a illustrates that the strain at this position exhibits similarity in both amplitude and duration. The impact duration is approximately 0.1 ms in both cases. While the peak impact strain in the simulation data reaches −120 μ ε , the experimental data peaks at −85 μ ε . Simultaneously, the deformation of the pellet ball throughout the impact process and the impact force between the pellet ball and the rod are directly obtained through the finite element model. By applying Equation (6), the deformation of the pellet ball during impact can be independently computed using either the stress or the impact force. In Figure 3b, the deformation directly derived from the model (red solid line) and the deformation calculated via the impact force (black dotted line) are nearly identical, confirming the accuracy of Equation (6). However, due to slight discrepancies in the stress wave at the same cross–section of the rod, there is a minor discrepancy in the pellet deformation (blue dashed line) calculated from the stress wave. According to Equation (5), the stress wave propagates through the rod at a velocity of 5172.19 m/s. Given the 13.7 cm distance between the stress measurement point and the rod’s free end, there is a 0.02 ms delay in the deformation calculated based on the stress.

4. Result

4.1. Pellets Characteristics

The experiment employed 10 pellets, with masses varying between 40 g and 51.2 g and diameters ranging from 27 mm to 34 mm, as illustrated in Figure 4. There were an equal number of Type A and Type B pellets, with five of each. A summary of the pellets’ characteristics is provided in Table 2 and Table 3.
Table 2 indicates that the chemical analyses of the pellets are highly comparable, with pellet A exhibiting slightly higher porosity compared to pellet B.
Table 3 demonstrates that the pellets display quite similar responses across various standard tests, wherein pellet B exhibits marginally superior quality compared to pellet A, as evidenced by its higher mean compressive load to fracture, higher tumbling index, and lower abrasion index.

4.2. Impact Experiment

4.2.1. Data Acquisition

In this section, the experiment for testing the impact force during the free–fall of pellet balls is introduced. The experimental setup consists of a steel rod, a positioning device, and a stress wave dynamic acquisition system, as shown in Figure 5. The dynamic strain instrument employed is the TST5961 dynamic strain gauge from TEST Company, Jiangsu, China, with a sampling frequency of 256 kHz. The strain gauges used are of the 120–3AA type, configured in a full–bridge connection to capture axial strain exclusively.
Figure 6 illustrates the dynamic process of a pellet ball impacting a rod. In Figure 6a, the stress wave within the rod is visible. Upon impact of the pellet ball on the rod, a compression wave is generated. As this wave reaches the lower boundary of the rod, part of it reflects, generating a tension wave. After reflecting off the upper surface of the rod, it converts back into a compression wave. Over time, the amplitude of the stress wave gradually diminishes. The clear distinction between the tension and compression waves observable in the figure indicates that the rod is sufficiently long, ensuring that the wave propagation time within the rod significantly exceeds the impact duration. By analyzing the time taken for the two compression waves to pass the upper strain gauge, as shown in the figure, the velocity of the stress wave can be estimated at approximately 5152.1 m/s, which aligns with the analysis presented in Section 3. Figure 6b displays the impact process captured by a high–speed camera.

4.2.2. Impact Characterization During Impact

This section presents fundamental data regarding the impact force, impact duration, and deformation during the impact process. Each pellet was subjected to 10 impact tests separately; however, some of the pellets were broken during the impact process and, therefore, did not complete the full 10 tests.
Figure 7 presents the characteristic curve of impact force measured using strain gauges, utilizing Equation (1). Figure 7a illustrates the impact force–time curves for ten pellet balls in a single experiment. From this graph, both the maximum impact force and the impact duration can be extracted. All the impact forces obtained from the experiments are shown in Figure 7b. The impact force values for the same pellet ball vary across experiments due to differences in the position where the ball strikes the cross–section of the rod. When the ball hits the center of the rod’s cross–section, the rod does not undergo bending deformation, resulting in greater axial stress and, consequently, a higher calculated impact force. The maximum impact force is approximately 7500 N. This is significantly higher than the mean compression load presented in Table 3, yet the pellet ball did not fracture. This can be attributed to the following reasons: The compression test is a static or gradually increasing process, which allows micro–cracks and defects within the pellet ball to gradually propagate over time, ultimately leading to overall failure. In contrast, the impact test is completed within a few milliseconds, leaving the pellet ball with insufficient time to respond to this rapid loading. As a result, the internal micro–cracks and defects do not have enough time to propagate and coalesce, and thus the pellet ball may exhibit higher impact resistance.
Figure 8 shows the variation in impact time for balls of different masses. Compared to a free–fall height of 1 m, the difference in mass of just 10 g between the balls is negligible. The impact times for balls of varying masses are concentrated between 0.05–0.11 ms.
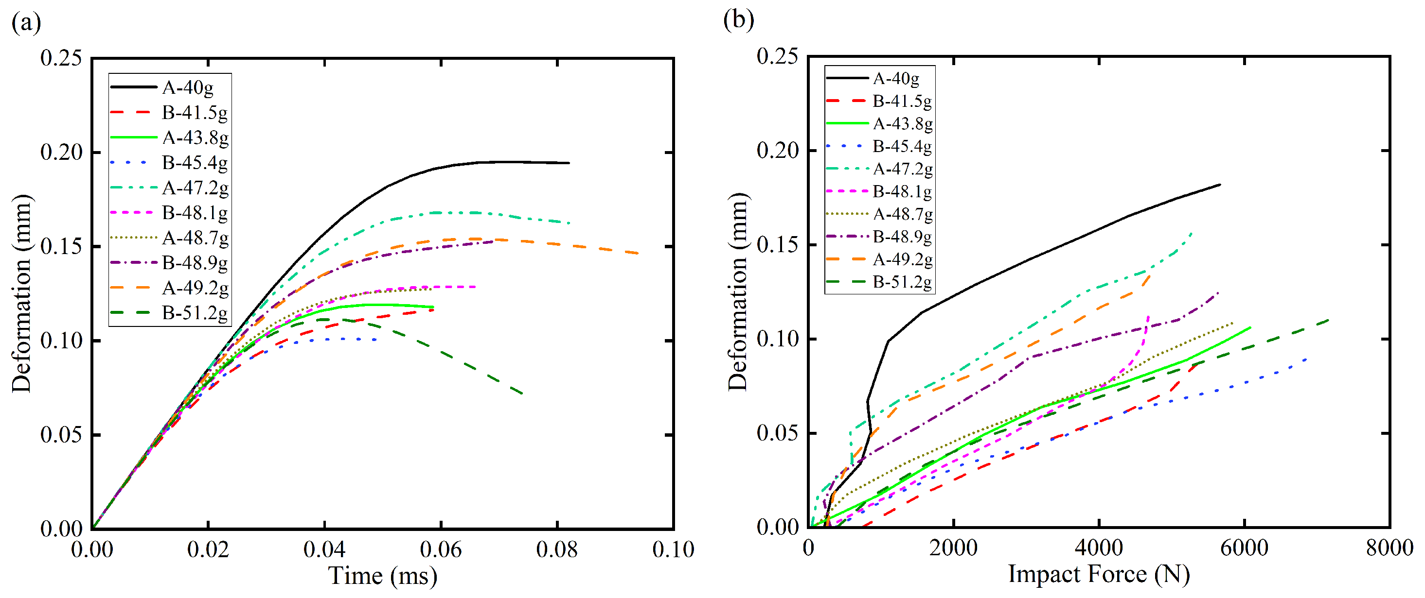
Based on Equation (6), the data presented in Figure 7a can serve as the foundation for calculating deformation. Typical force–deformation profiles are illustrated in Figure 9. During the impact process, all particulate balls in the experiment exhibited similar deformation characteristics. Figure 9b shows the data also reveal the nonlinear nature of the relationship between forces and deformations, thus confirming the reasonable applicability of Hertz’s contact theory in describing the deformation of the particulate balls [24,25].
Figure 7, Figure 8 and Figure 9 also demonstrate that pellet balls A and B exhibit almost identical impact characteristics when subjected to impact.

5. Discussion

The experimental investigation into the dynamic impact characteristics of iron ore particles provides significant insights into their mechanical behavior during collisions with metal components, particularly in mining machinery applications. The results indicate that the impact force, duration, and deformation patterns of ore particles are crucial factors that influence the performance of crushers and other mining equipment.
The results demonstrate considerable variations in impact force, duration, and deformation patterns influenced by particle mass and impact position. The maximum recorded impact force of approximately 7500 N underscores the high energy involved in these collisions, highlighting the importance of considering dynamic impact loads in the design and optimization of mining machinery, particularly crushers. The brief impact durations (ranging from 0.05 to 0.11 ms) emphasize the need for mining equipment to withstand rapid loading conditions. The consistency in deformation patterns across different particles supports the applicability of Hertz’s contact theory in describing the deformation behavior under impact.
The study also highlights several limitations that need to be addressed in future research. The restricted sample size and focus on a single material type limit the generalizability of the findings. Expanding the sample size and exploring other ore types would enhance the robustness and applicability of the results. Furthermore, investigating various loading conditions could provide a more comprehensive understanding of the mechanical behavior of ore particles during impact.

6. Conclusions

This study presents a systematic experimental investigation into the dynamic impact characteristics of iron ore particles, offering critical insights into their behavior during collisions. The findings reveal the significant influence of particle mass and impact position on impact force, duration, and deformation patterns. These insights are vital for optimizing the design and performance of mining machinery, particularly crushers, in order to improve ore processing efficiency and product quality.
The use of a modified SHPB apparatus enabled precise measurements, and the validation through finite element simulations further strengthens the reliability of the results. However, future research should aim to address the identified limitations by expanding the sample size, exploring diverse ore types, and investigating various loading conditions. This will advance our knowledge of the dynamics of ore particle interactions in practical applications, ultimately contributing to more efficient and durable mining machinery design. Additionally, applying this research methodology to study the process of ore screening by sieves and the impact of ore particles on conveyor belts holds promising potential.
Additionally, there is potential to extend our research methodology to consider the process of sieving on sieves, where each large grain experiences multiple contacts with the sieve surface. It would also be worthwhile to investigate the scenario of grains falling onto conveyor belts, exploring whether grains of specific diameters (e.g., 10, 50, 100, 200 mm) could damage sieves or conveyor belts with known parameters within a given timeframe. Such investigations promise to yield intriguing and practical insights.
Ultimately, the insights from this study have significant implications for improving ore processing efficiency and product quality in the mining industry. Future research should aim to address the identified limitations, thereby advancing our knowledge of the dynamics of ore particle interactions in practical applications.

Author Contributions

Conceptualization, Z.W. and B.S.; writing original draft preparation, Z.W.; methodology, Z.W. and Y.Y.; software, J.H.; validation, H.W. and C.L.; data curation, X.L. All authors have read and agreed to the published version of the manuscript.

Funding

This research was funded by the National Key Research and Development Program of China (Grant No. 2023YFF1306001).

Data Availability Statement

The data used to support the findings of this study are included within the article.

Conflicts of Interest

Author Zhongxin Wang, Bo Song, Yangyang Yi, Jianhua Hu, Hui Wang and Chang Liu were employed by the company CCTEG Shenyang Engineering Company. The remaining authors declare that the research was conducted in the absence of any commercial or financial relationships that could be construed as a potential conflict of interest.

References

  1. Kondrakhin, V.P.; Martyushev, N.V.; Klyuev, R.V.; Sorokova, S.N.; Efremenkov, E.A.; Valuev, D.V.; Mengxu, Q. Mathematical modeling and multi-criteria optimization of design parameters for the gyratory crusher. Mathematics 2023, 11, 2345. [Google Scholar] [CrossRef]
  2. Nematollahi, E.; Zare, S.; Maleki-Moghaddam, M.; Ghasemi, A.; Ghorbani, F.; Banisi, S.J. DEM-based design of feed chute to improve performance of cone crushers. Miner. Eng. 2021, 168, 106927. [Google Scholar] [CrossRef]
  3. Khan, M.M.; Iqbal, M.A. Design, development, and calibration of split Hopkinson pressure bar system for Dynamic material characterization of concrete. Int. J. Prot. Struct. 2024, 15, 195–223. [Google Scholar] [CrossRef]
  4. Sun, X.; Jin, T.; Li, J.; Xie, J.; Li, C.; Li, X. Dynamic characteristics and crack evolution laws of coal and rock under split Hopkinson pressure bar impact loading. Meas. Sci. Technol. 2023, 34, 075601. [Google Scholar] [CrossRef]
  5. Huang, B.; Zhang, X.; Ma, X. Dynamic compressive impact tests of building sandstone with a large split hopkinson pressure bar. J. Build. Eng. 2023, 67, 106023. [Google Scholar] [CrossRef]
  6. Zhang, Z.X.; Sanchidrián, J.A.; Ouchterlony, F.; Luukkanen, S. Reduction of fragment size from mining to mineral processing: A review. Rock Mech. Rock Eng. 2023, 56, 747–778. [Google Scholar] [CrossRef]
  7. Yamashita, A.S.; Thivierge, A.; Euzébio, T.A. A review of modeling and control strategies for cone crushers in the mineral processing and quarrying industries. Miner. Eng. 2021, 170, 107036. [Google Scholar] [CrossRef]
  8. Liu, C.; Chen, Z.; Zhang, W.; Mao, Y.; Xu, P.; Xie, Q. Analysis of vertical roller mill performance with changes in material properties and operating conditions using DEM. Miner. Eng. 2022, 182, 107573. [Google Scholar] [CrossRef]
  9. Sousa, R.; Futuro, A.; Fiúza, A.; Leite, M.M. Pre-concentration at crushing sizes for low-grade ores processing–Ore macro texture characterization and liberation assessment. Miner. Eng. 2020, 147, 106156. [Google Scholar] [CrossRef]
  10. Saramak, D. Challenges in raw material treatment at the mechanical processing stage. Minerals 2021, 11, 940. [Google Scholar] [CrossRef]
  11. Aleksandrova, T.; Nikolaeva, N.; Afanasova, A.; Romashev, A.; Kuznetsov, V. Selective disintegration justification based on the mineralogical and technological features of the polymetallic ores. Minerals 2021, 11, 851. [Google Scholar] [CrossRef]
  12. Zhang, B.; Zhao, P.; Yan, G.; Zhang, Z.; Zhu, G.; Guo, J. A novel crushing pretreatment: Inhibitory effect for micro-fine grinding products of China copper ore based on high voltage pulse. Powder Technol. 2020, 359, 8–16. [Google Scholar] [CrossRef]
  13. Dai, B.; Tang, P.; Wei, J.; Zhang, Z.; Chen, T.; Ma, W. Optimization of roller teeth based on the analysis of the crushing mechanism of sintered ore. Ironmak. Steelmak. 2023, 50, 1601–1617. [Google Scholar] [CrossRef]
  14. Rasyid, M.A.; Aslam, A.; Rafiei, A.; Hassani, F.; Sasmito, A.P. Application of instantaneous power draw analysis to investigate the impact of microwave heating on kimberlite ore crushing. Appl. Energy 2023, 352, 121900. [Google Scholar] [CrossRef]
  15. Liu, B.; Gao, Y.T.; Jin, A.B. Dynamic mechanical properties of an ore rock with varying grade and engineering applications in mines. Eng. Comput. 2022, 38, 2433–2445. [Google Scholar] [CrossRef]
  16. Saeidi, F.; Yahyaei, M.; Powell, M.; Tavares, L.M. Investigating the effect of applied strain rate in a single breakage event. Miner. Eng. 2017, 100, 211–222. [Google Scholar] [CrossRef]
  17. Nadolski, D.G.S.; Sun, C.; Klein, B.; Kou, J. The effect of strain rate on particle breakage characteristics. Powder Technol. 2018, 339, 595–605. [Google Scholar]
  18. Cavalcanti, P.P.; Tavares, L.M. Static and dynamic compressive loading of fired iron ore pellets. Powder Technol. 2019, 354, 281–288. [Google Scholar] [CrossRef]
  19. ISO 3271: 2015; Iron Ores for Blast Furnace and Direct Reduction Feedstocks—Determination of the Tumble and Abrasion Indices. International Organization for Standardization: Geneva, Switzerland, 2015; 5p.
  20. ISO 4700: 2015; Iron Ore Pellets for Blast Furnace and Direct Reduction Feedstocks—Determination of the Crushing Strength. International Organization for Standardization: Geneva, Switzerland, 2015; 5p.
  21. Wang, C.; Zhang, F.; Chen, Y.; Wang, W.; Wang, Y.; Lu, K.; Ding, Y.; Shen, Y.; Ju, B.F. Study on the interaction mechanism of laser-generated Rayleigh waves and subsurface inclined cracks. Meas. Sci. Technol. 2024, 35, 115207. [Google Scholar] [CrossRef]
  22. Zeighami, F.; Palermo, A.; Bogomolov, D.; Marzani, A. Experimental investigation of Rayleigh wave propagation in a locally resonant metamaterial layer resting on an elastic half-space. APL Mater. 2024, 12, 021115. [Google Scholar] [CrossRef]
  23. Kolsky, H. Stress Waves in Solids; Dover: New York, NY, USA, 1963. [Google Scholar]
  24. Lu, H.; Li, C.; Liu, C.; Hua, C.; Hao, J.; Miao, H.; Xu, M. Nonlinear vibration analysis in high speed milling of single crystal silicon considering dynamic cutting thickness. Nonlinear Dyn. 2024, 112, 16081–16111. [Google Scholar] [CrossRef]
  25. Qian, Z.; Jin, C.; Ni, Y.; Zhang, D. Modelling threshing using an entropy regularisation approach with frictional contact dynamics and a flexible threshing mechanism. Biosyst. Eng. 2023, 226, 144–154. [Google Scholar] [CrossRef]
Figure 1. Schematics of impact load cell device.
Figure 1. Schematics of impact load cell device.
Minerals 15 00029 g001
Figure 2. A dynamic model of a ball impacting a rod. (a) The finite model; (b) Partial enlarged view of (a).
Figure 2. A dynamic model of a ball impacting a rod. (a) The finite model; (b) Partial enlarged view of (a).
Minerals 15 00029 g002
Figure 3. Strain in the rod and deformation of pellet ball during impact process. (a) Comparison of strain in the rod between simulation and experiment; (b) Comparison of pellet ball deformation derived from simulation data. In (b), the deformation directly extracted from the model (red solid line) and the deformation calculated through the impact force (black dotted line) are nearly identical, indicating the correctness of Equation (6). Owing to the 10 cm distance between the stress pickup point and the free end of the rod, the deformation calculated based on the stress in the rod shows a slight delay.
Figure 3. Strain in the rod and deformation of pellet ball during impact process. (a) Comparison of strain in the rod between simulation and experiment; (b) Comparison of pellet ball deformation derived from simulation data. In (b), the deformation directly extracted from the model (red solid line) and the deformation calculated through the impact force (black dotted line) are nearly identical, indicating the correctness of Equation (6). Owing to the 10 cm distance between the stress pickup point and the free end of the rod, the deformation calculated based on the stress in the rod shows a slight delay.
Minerals 15 00029 g003
Figure 4. Pellet ball.
Figure 4. Pellet ball.
Minerals 15 00029 g004
Figure 5. Impact test equipment. It consists of a steel rod, a positioning device, and a stress wave dynamic acquisition system.
Figure 5. Impact test equipment. It consists of a steel rod, a positioning device, and a stress wave dynamic acquisition system.
Minerals 15 00029 g005
Figure 6. Dynamic process of pellet ball impacting a rod. (a) Stress wave in the rod; (b) High–speed camera captures the impact process.
Figure 6. Dynamic process of pellet ball impacting a rod. (a) Stress wave in the rod; (b) High–speed camera captures the impact process.
Minerals 15 00029 g006
Figure 7. Impact force characteristic curves. (a) shows the impact force–time curves for ten particulate balls in a single experiment. (b) displays the maximum impact forces for all particulate balls across all experiments. The maximum impact force is approximately 7500 N.
Figure 7. Impact force characteristic curves. (a) shows the impact force–time curves for ten particulate balls in a single experiment. (b) displays the maximum impact forces for all particulate balls across all experiments. The maximum impact force is approximately 7500 N.
Minerals 15 00029 g007
Figure 8. Characteristic curves of impact time. The impact time ranges from 0.05 to 0.11 ms.
Figure 8. Characteristic curves of impact time. The impact time ranges from 0.05 to 0.11 ms.
Minerals 15 00029 g008
Figure 9. Characteristic curves of impact deformation. (a) Time–domain curve of deformation during impact; (b) Relationship between deformation and impact force during impact. (b) illustrates a nonlinear relationship between impact force and deformation.
Figure 9. Characteristic curves of impact deformation. (a) Time–domain curve of deformation during impact; (b) Relationship between deformation and impact force during impact. (b) illustrates a nonlinear relationship between impact force and deformation.
Minerals 15 00029 g009
Table 1. Material parameters of the model.
Table 1. Material parameters of the model.
ParametersValuesUnits
Pellet ballDiameter30mm
Density3600kg/m3
Modulus of elasticity100GPa
Poisson’s Ratio0.3
v 0 4.426m/s
RodLength1.6m
Diameter19mm
Cross–sectional area2.834 × 10−4m2
Density7850kg/m3
Modulus of elasticity210GPa
Poisson’s Ratio0.3
OtherFriction coefficient0.1
Gravitational acceleration9.8m/s2
Table 2. Chemical composition and estimate of porosity of the samples.
Table 2. Chemical composition and estimate of porosity of the samples.
Pellet SampleFe2O3 (%)FeO (%)TiO2 (%)V2O5 (%)P2O5 (%)Porosity (%)
A30.0816.387.730.82.9644.5
B30.0516.497.750.82.9742.3
Table 3. Summary of compressive strength of 12.5–16 mm (ISO 4700 [20]), tumbling and abrasion indices (ISO 3271 [19]) of the pellet samples studied.
Table 3. Summary of compressive strength of 12.5–16 mm (ISO 4700 [20]), tumbling and abrasion indices (ISO 3271 [19]) of the pellet samples studied.
MeansurePellet Sample
AB
Mean compression load (N)3100.13130.5
Standard deviation of compression load (kgf)11501230
Pellets with compression load < 2000 N (%)1519
Tumbling index (%)94.293.5
Abrasion index (%)5.65.7
Compressive strength (MPa)11.212.93
Disclaimer/Publisher’s Note: The statements, opinions and data contained in all publications are solely those of the individual author(s) and contributor(s) and not of MDPI and/or the editor(s). MDPI and/or the editor(s) disclaim responsibility for any injury to people or property resulting from any ideas, methods, instructions or products referred to in the content.

Share and Cite

MDPI and ACS Style

Wang, Z.; Song, B.; Yi, Y.; Hu, J.; Wang, H.; Liu, C.; Li, X. Experimental Study on the Dynamic Impact Characteristics of Iron Ore Under Free-Fall Conditions. Minerals 2025, 15, 29. https://doi.org/10.3390/min15010029

AMA Style

Wang Z, Song B, Yi Y, Hu J, Wang H, Liu C, Li X. Experimental Study on the Dynamic Impact Characteristics of Iron Ore Under Free-Fall Conditions. Minerals. 2025; 15(1):29. https://doi.org/10.3390/min15010029

Chicago/Turabian Style

Wang, Zhongxin, Bo Song, Yangyang Yi, Jianhua Hu, Hui Wang, Chang Liu, and Xiangsen Li. 2025. "Experimental Study on the Dynamic Impact Characteristics of Iron Ore Under Free-Fall Conditions" Minerals 15, no. 1: 29. https://doi.org/10.3390/min15010029

APA Style

Wang, Z., Song, B., Yi, Y., Hu, J., Wang, H., Liu, C., & Li, X. (2025). Experimental Study on the Dynamic Impact Characteristics of Iron Ore Under Free-Fall Conditions. Minerals, 15(1), 29. https://doi.org/10.3390/min15010029

Note that from the first issue of 2016, this journal uses article numbers instead of page numbers. See further details here.

Article Metrics

Back to TopTop