Dynamic Enhanced Weighted Drainage Catchment Basin Method for Extracting Geochemical Anomalies
Abstract
1. Introduction
2. Methodology
2.1. Multivariate Statistical Analysis
2.2. Dynamic Enhanced Weighted Drainage Catchment Basin Method
3. Workflow
- Data collection and preprocessing using ArcGIS.
- Statistical analysis and extraction of favorable metallogenic elements using SPSS.
- Establishment of the Digital Watershed Model.
- Application of the DE-WDCB method for anomaly extraction.
- Interpretation of results with a focus on spatial distribution and geochemical patterns.
4. Application Examples
4.1. Geological Setting
4.1.1. Regional Geological Setting

4.1.2. Overview of Typical Duobaoshan-Type Copper Deposits in the Study Area
4.2. Basic Data Characteristics and Multivariate Statistical Analysis
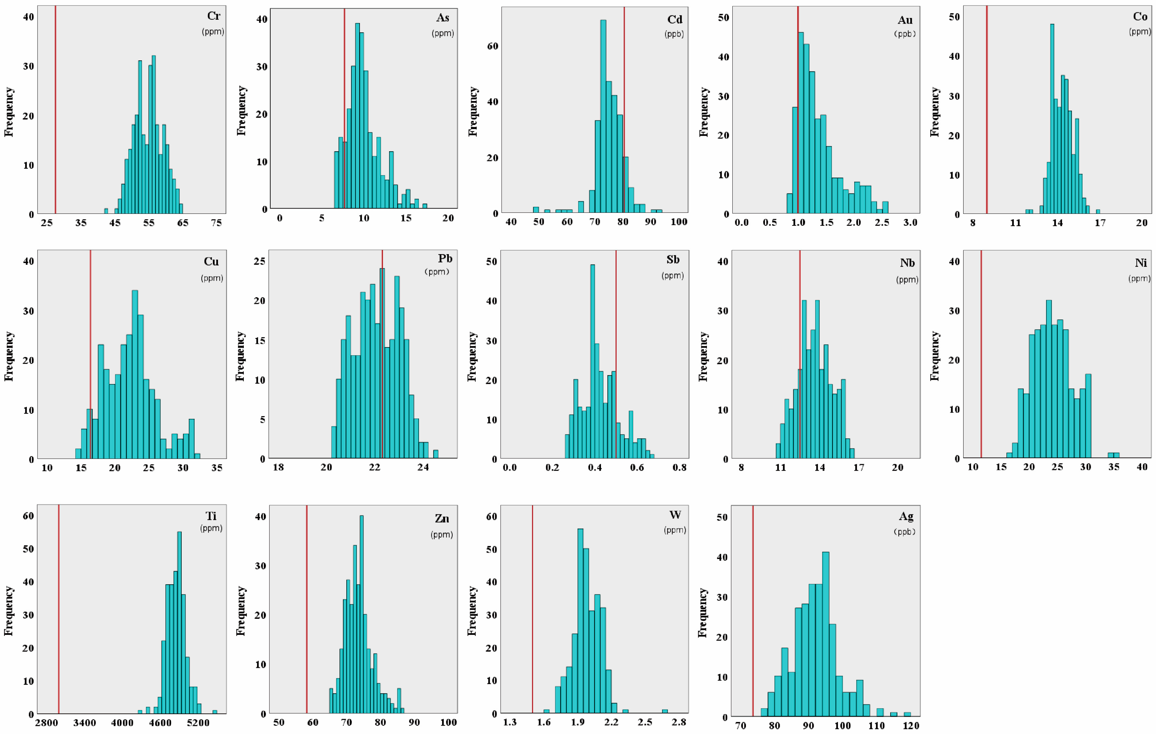
4.2.1. Basic Characteristics of Single-Element Distribution
4.2.2. Characteristics of Element Combinations
- 1.
- Cu as the Primary Ore-Forming Element and its Indicative Correlations
- 2.
- Element Grouping Revealing Copper Polymetallic Mineralization Patterns
- Group 1: Cu, Cr, Ni, Co, Ti
- Group 3: Cd, Zn, Pb
- Group 4: As, Sb, Au, Ag
- 3.
- High-Temperature Element Combination Reflecting Copper Mineralization Potential
- Fac 1: This factor is dominated by high-temperature elements, including Co, Cr, Cu, Ni, and Ti. It primarily reflects copper mineralization information, indicating the substantial potential for copper exploration in the area.
- Fac 3: This factor is composed of Cd and Zn, elements typically enriched in medium to low-temperature metallogenic zones. It reflects the primary halo zoning phenomena exhibited by wall rock alteration during various stages of copper mineralization.
4.3. Extraction of Stream Sediment Geochemical Anomalies Using DE-WDCB
4.3.1. Construction of the Catchment Basin Landscape Model
4.3.2. Extraction and Mapping of Geochemical Anomalies for Favorable Ore-Forming Elements and Element Combinations
4.4. Comprehensive Comparison and Evaluation of Anomaly Extraction Results
4.4.1. Analysis of Traditional Anomaly Extraction Results Based on Grid Interpolation—IDW and Kriging
- 1.
- Favorable Ore-Forming Single Elements
- 2.
- Favorable Ore-Forming Element Combinations
4.4.2. Analysis of Anomaly Extraction Results Based on the Discrete Interpolation of the Catchment Basin Model—DE-WDCB
- 1.
- Favorable Ore-Forming Single Elements
- 2.
- Favorable Ore-Forming Element Combinations
4.4.3. Comparative Analysis and Advantages of the DE-WDCB Method over Traditional Approaches
5. Discussion
5.1. Interpretation of Results
5.2. Comparison with Previous Studies
5.3. Study Limitations
5.4. Future Research Directions
6. Conclusions
- The DE-WDCB method significantly enhances the detection of geochemical anomalies in the complex terrain of the Duobaoshan–Heihe area. Our study identifies two distinct geochemical element groups indicative of different mineralization environments: one associated with medium-acid, high-temperature hydrothermal activity (Cu, Cr, Ni, Co, Ti) and the other with low-temperature hydrothermal processes (As, Sb, Au, Ag). Among these, Cu exhibits strong localized enrichment and spatial differentiation, making it a key indicator for copper polymetallic deposits.
- Traditional methods like IDW and Kriging effectively detected high to moderate anomalies in the western Duobaoshan–Sankuangou area but failed to identify anomalies in the eastern regions. Traditional methods’ average anomaly mineral point coverage was 50.53% (p < 0.05, 95% CI: 33.97%–67.09%). In contrast, the DE-WDCB method, by accounting for topographic complexities and applying trend surface analysis, successfully detected and amplified low to weak anomalies, particularly in the Luotuowaizi area. The DE-WDCB method showed an average anomaly mineral point coverage of 63.57% (p < 0.05, 95% CI: 47.64%–79.50%). This method demonstrated superior spatial coverage and a stronger correlation with known mineralization points, underscoring its effectiveness in regions with complex topographic features.
- Future exploration efforts should prioritize the DE-WDCB method, especially in areas like the triangular region between Duobaoshan, Yubaoshan, and Sankuangou (Region A) and the Sandaowan–Luotuowaizi area (Region B). In Region B, the exploration should focus on avoiding the Ti anomaly-rich Songshugangzi area and instead on the higher-confidence zones identified by the DE-WDCB method. Moreover, we believe that future research should focus on expanding the application of the DE-WDCB method to diverse geological settings, particularly in areas with varied geomorphological and geochemical characteristics, to validate its effectiveness further. Integrating advanced geospatial data, such as remote sensing images, could enhance anomaly detection accuracy. Optimizing sampling strategies by exploring the impact of different sampling densities and distributions will also improve geochemical anomaly extraction.
Author Contributions
Funding
Data Availability Statement
Acknowledgments
Conflicts of Interest
References
- Wang, Q.Y.; Hu, Y.P. Considerations on the Scarcity of Metal Resources and the Exploration of Concealed Deposits. Geol. Prospect. 2004, 75–79. [Google Scholar] [CrossRef]
- Zhao, P.D. Digital Prospecting and Quantitative Evaluation in the Era of Big Data. Geol. Bull. China 2015, 34, 1255–1259. [Google Scholar]
- Chen, J.P.; Cui, N.; Zhu, X.T.; Zhang, Y.; Xiang, J. Assessment of Copper Deposit Potential in China; Geological Publishing House: Beijing, China, 2017; pp. 217–226. [Google Scholar]
- Zuo, R.G. Geochemical Data Mining and Weak Anomaly Identification in Exploration. Earth Sci. Front. 2019, 26, 67–75. [Google Scholar]
- Zhao, P.D. Quantitative prediction and evaluation of solid mineral resources. In Digital Geology; Science Press: Beijing, China, 2024; pp. 380–384. [Google Scholar]
- Liu, B.; Cui, X.; Wang, X. The Delineation of Copper Geochemical Blocks and the Identification of Ore-Related Anomalies Using Singularity Analysis of Stream Sediment Geochemical Data in the Middle and Lower Reaches of the Yangtze River and Its Adjacent Areas, China. Minerals 2023, 13, 1397. [Google Scholar] [CrossRef]
- Wang, R.T.; Mao, J.W.; Ren, X.H.; Wang, J.Y.; Ouyang, J.P.; Yuan, B.Q. Current Status and Problems in the Evaluation of Regional Geochemical Anomalies. Geol. China 2005, 168–175. [Google Scholar] [CrossRef]
- Weng, W.F.; Wang, D.E.; Wang, B.M.; Ding, Y.; Wang, Y.J. Geochemical Characteristics and Prospecting Direction of Stream Sediments in the Qimen-Yixian Area, Anhui Province. Geophys. Geochem. Explor. 2020, 44, 1–12. [Google Scholar]
- Huang, W.B.; Luo, X.R.; Liu, P.F.; Zheng, C.J.; He, W.; Yang, X.X.; Xiao, X.Q.; Wang, S.L. Geochemical Characteristics and Prospecting Prediction of Stream Sediment Measurements in the Shihuigou Area, Qinghai Province. Bull. Geol. Sci. Technol. 2020, 39, 150–159. [Google Scholar]
- Zeng, K.; Liu, H.; Huang, D.J.; Guo, W.; Qi, S.L.; Si, X.H.; Yang, Y.Z. An Analysis of the Anomalous Characteristics and Prospecting Effects of 1:50,000 Stream Sediment Measurements in the Mengweng Area, Yunnan Province. Mod. Geol. 2021, 35, 270–280. [Google Scholar]
- Rose, A.W.; Dahlberg, E.C.; Keith, M.L. A Multiple Regression Technique for Adjusting Background Values in Stream Sediment Geochemistry. Econ. Geol. 1970, 65, 156–165. [Google Scholar] [CrossRef]
- Hawkes, H.E. The Downstream Dilution of Stream Sediment Anomalies. J. Geochem. Explor. 1976, 6, 345–358. [Google Scholar] [CrossRef]
- Zou, R.; Wang, J.; Chen, G.; Yang, M. Identification of Weak Anomalies: A Multifractal Perspective. J. Geochem. Explor. 2015, 148, 12–24. [Google Scholar]
- Huang, X.K.; Wei, J.H.; Shi, W.J.; Zhang, X.M.; Gao, Q.; Wang, S. Identification and Evaluation of Geochemical Anomalies Based on Catchment Basins: A Case Study of 1:50,000 Stream Sediment Geochemical Measurements in the Wulastai Area, East Kunlun. Bull. Geol. Sci. Technol. 2023, 42, 324–338. [Google Scholar]
- Zhang, W.L. Study on the Extraction Methods of Stream Sediment Information in the Duolong Ore Cluster Area, Tibet. Master’s Thesis, Chengdu University of Technology, Chengdu, China, 2018. [Google Scholar]
- Bonham-Carter, G.F.; Rogers, P.J.; Ellwood, D.J. Catchment Basin Analysis Applied to Surficial Geochemical Data, Cobequid Highlands, Nova Scotia. J. Geochem. Explor. 1987, 29, 259–278. [Google Scholar] [CrossRef]
- Spadoni, M. Geochemical Mapping Using a Geomorphologic Approach Based on Catchments. J. Geochem. Explor. 2006, 90, 183–196. [Google Scholar] [CrossRef]
- Yousefi, M.; Carranza, E.J.M.; Kamkar-Rouhani, A. Weighted Drainage Catchment Basin Mapping of Geochemical Anomalies Using Stream Sediment Data for Mineral Potential Modeling. J. Geochem. Explor. 2013, 128, 88–96. [Google Scholar] [CrossRef]
- Farahbakhsh, E.; Chandra, R.; Eslamkish, T.; Müller, R.D. Modeling Geochemical Anomalies of Stream Sediment Data through a Weighted Drainage Catchment Basin Method for Detecting Porphyry Cu-Au Mineralization. J. Geochem. Explor. 2019, 204, 12–32. [Google Scholar] [CrossRef]
- Wu, J.Y. Comparative Study on the Extraction and Method Effectiveness of Geochemical Anomalies in the Lanping-Simao Area. Master’s Thesis, China University of Geosciences (Beijing), Beijing, China, 2020. [Google Scholar]
- Kong, Y.H. Modeling Geochemical Element Migration Based on Catchment Basins: A Case Study of the Jiama Mining Area in Tibet. Master’s Thesis, Chengdu University of Technology, Chengdu, China, 2021. [Google Scholar]
- Wang, L.; Qin, K.Z.; Pang, X.Y.; Song, G.X.; Jin, L.Y.; Li, G.M.; Zhao, C. Geological characteristics and alteration zoning of the Tongshan porphyry copper deposit in Duobaoshan ore field: Implications for hydrothermal-mineralization centers and deep exploration. Miner. Depos. 2017, 36, 1143–1168. [Google Scholar]
- Li, C.L.; Fu, A.Z.; Xu, W.X.; Yuan, M.W.; Liu, B.S.; Yang, W.P.; Zhao, R.J.; Zhao, Z.H. Characteristics of Structural Overlap Halos and Deep Prospecting Prediction of the Yongxin Gold Deposit in the Duobaoshan Area, Heilongjiang Province. Mod. Geol. 2023, 37, 674–689. [Google Scholar]
- Xu, D.H.; Wan, T.P.; Shi, G.M. Geochemical Characteristics and Metallogenic Prospect Zoning of Stream Sediments in the Duobaoshan Area, Heilongjiang Province. Gold 2019, 40, 18–22. [Google Scholar]
- Zhang, L. Comparative Study on Geochemical Exploration Methods of 1:50000 Scale in the Duobaoshan Area, Heilongjiang Province. Geophys. Geochem. Explor. Comput. Technol. 2022, 44, 525–532. [Google Scholar]
- Singer, D.A.; Kouda, R. Some Simple Guides to Finding Useful Information in Exploration Geochemical Data. Nat. Resour. Res. 2001, 10, 137–147. [Google Scholar] [CrossRef]
- Cheng, Q.; Bonham-Carter, G.; Wang, W.; Zhang, S.; Li, W.; Qinglin, X. A Spatially Weighted Principal Component Analysis for Multi-Element Geochemical Data for Mapping Locations of Felsic Intrusions in the Gejiu Mineral District of Yunnan, China. Comput. Geosci. 2011, 37, 662–669. [Google Scholar] [CrossRef]
- Zhu, R.W. Research on Enhanced Extraction Methods for Geochemical Mineralization Anomalies in Stream Sediments. Master’s Thesis, China University of Geosciences (Beijing), Beijing, China, 2022. [Google Scholar]
- Ge, W.C.; Wu, F.Y.; Zhou, C.Y.; Zhang, J.H. Metallogenic Epoch and Geodynamic Significance of Porphyry Cu and Mo Deposits in the Eastern Segment of the Xingmeng Orogenic Belt. Chin. Sci. Bull. 2007, 52, 2407–2417. [Google Scholar] [CrossRef]
- Liu, B.S. Multiphase Mineralization and Superimposed Transformation of the Duobaoshan Porphyry Copper Deposit in Heilongjiang. Geol. Rev. 2020, 66, 29–32. [Google Scholar]
- Yang, X.P.; Ma, J.S.; Pang, X.J.; Yang, Y.J.; Jiang, B.; Fu, J.Y. Reconstruction of the Early Paleozoic trench-arc-basin system in Duobaoshan, Heilongjiang Province. Acta Petrol. Sin. 2022, 38, 2269–2291. [Google Scholar]
- Liu, Y.; Cheng, X.Z.; Wang, X.C.; Liu, J.Y.; Wang, L.; Wang, X.L. Copper metal source and enrichment law of the Duobaoshan porphyry copper deposit in Heilongjiang Province. Geol. Sci. 2008, 43, 671–684. [Google Scholar]
- Gao, R.; Xue, C.; Lü, X.; Zhao, X.; Yang, Y.; Li, C. Genesis of the Zhengguang Gold Deposit in the Duobaoshan Ore Field, Heilongjiang Province, NE China: Constraints from Geology, Geochronology and S-Pb Isotopic Compositions. Ore Geol. Rev. 2017, 84, 202–217. [Google Scholar] [CrossRef]
- Wang, X.C.; Wang, X.L.; Wang, L.; Liu, J.Y.; Xia, B.; Deng, J.; Xu, X.M. Mineralization and later transformation of the Duobaoshan super-large porphyry copper deposit in Heilongjiang Province. Geol. Sci. 2007, 124–133. [Google Scholar] [CrossRef]
- Zhou, J.; Han, J.; Zhou, G.; Zhang, X.; Cao, J.; Wang, B.; Pei, S. The Emplacement Time of the Hegenshan Ophiolite: Constraints from the Unconformably Overlying Paleozoic Strata. Tectonophysics 2015, 662, 398–415. [Google Scholar] [CrossRef]
- Bai, C.L.; Xie, G.Q.; Zhao, J.K.; Li, W.; Zhu, Q.Q. Discussion on the Metallogenic Characteristics and Deposit Model of the Porphyry Copper and Epithermal Low-Temperature Gold System in the Duobaoshan Ore Field, Eastern Central Asian Orogenic Belt. Earth Sci. Front. 2024, 31, 1081–1103. [Google Scholar]
- Li, X.Y.; Cui, J.; Hu, W.S.; Li, C.L. Application of machine learning methods based on multi-source geophysical data in geological body classification: A case study of the Duobaoshan mining area in Heilongjiang. Chin. J. Geophys. 2022, 65, 3634–3649. [Google Scholar]
- Yang, Z.Y.; Tang, J.X.; Ren, D.X.; Deng, A.; Wang, Y.; Wu, X. Progress in Geophysical and Geochemical Exploration of the Sinongduo Silver-Polymetallic Deposit in Tibet. Earth Sci. 2024, 49, 1081–1103. [Google Scholar]
- Shi, C.Y.; Liang, M.; Feng, B. Background Values of 39 Elements in Stream Sediments in China. Earth Sci. 2016, 41, 234–251. [Google Scholar]
- Parsa, M.; Maghsoudi, A.; Carranza, E.J.M.; Yousefi, M. Enhancement and Mapping of Weak Multivariate Stream Sediment Geochemical Anomalies in Ahar Area, NW Iran. Nat. Resour. Res. 2017, 26, 443–455. [Google Scholar] [CrossRef]
- Sun, W.; Zheng, Y.; Wang, W.; Feng, X.; Zhu, X.; Zhang, Z.; Hou, H.; Ge, L.; Lv, H. Geochemical Characteristics of Primary Halos and Prospecting Significance of the Qulong Porphyry Copper-Molybdenum Deposit in Tibet. Minerals 2023, 13, 333. [Google Scholar] [CrossRef]













| Element | Iterative Data Exclusion | Mean | Standard Deviation | Background Value of Greater Khingan Range | Range Coefficient (%) | Kurtosis Coefficient | Skewness Coefficient | Concentration Coefficient | Variation Coefficient | Abnormal Outer Band | Abnormal Middle Band | Abnormal Inner Band |
|---|---|---|---|---|---|---|---|---|---|---|---|---|
| Au | 4 | 1.4 | 1.9 | 1.0 | 126.5 | 0.7 | 1.2 | 1.4 | 1.4 | 1.7 | 2.2 | 2.2 |
| As | 4 | 10.0 | 7.5 | 7.7 | 104.9 | 0.8 | 0.9 | 1.3 | 0.7 | 11.8 | 13.4 | 14.6 |
| Ag | 14 | 135.9 | 210.5 | 73.7 | 1093.5 | 22.0 | 4.8 | 1.2 | 1.5 | 97.7 | 104.1 | 105.7 |
| Cd | 8 | 75.1 | 72.0 | 80.5 | 59.4 | 6.1 | −1.0 | 0.9 | 1.0 | 79.8 | 82.2 | 84.8 |
| Co | 3 | 14.3 | 5.3 | 9.0 | 34.9 | 0.1 | 1.2 | 1.6 | 0.4 | 15.2 | 15.5 | 15.8 |
| Cr | 0 | 55.0 | 16.0 | 27.5 | 40.2 | −0.6 | 0.0 | 2.0 | 0.3 | 59.8 | 61.9 | 63.0 |
| Cu | 12 | 22.2 | 131.7 | 16.4 | 78.4 | 0.0 | 8.4 | 1.4 | 5.9 | 25.7 | 29.9 | 31.0 |
| Nb | 0 | 13.7 | 2.2 | 12.5 | 40.7 | −0.7 | 0.0 | 1.1 | 0.2 | 15.1 | 15.8 | 16.0 |
| Ni | 2 | 24.2 | 6.6 | 11.5 | 77.8 | −0.4 | 0.3 | 2.1 | 0.3 | 28.2 | 30.1 | 30.6 |
| Pb | 5 | 22.1 | 17.3 | 22.3 | 19.2 | −1.9 | 0.1 | 1.0 | 0.8 | 23.1 | 23.5 | 23.7 |
| Sb | 0 | 0.4 | 0.1 | 0.5 | 97.3 | −0.1 | 0.5 | 0.9 | 0.3 | 0.5 | 0.6 | 0.6 |
| Ti | 4 | 4854.3 | 3558.2 | 2991.3 | 24.8 | 1.6 | 0.1 | 1.6 | 0.7 | 4986.0 | 5098.1 | 5161.3 |
| W | 2 | 2.0 | 3.9 | 1.5 | 52.7 | 3.1 | 0.4 | 1.3 | 1.9 | 2.1 | 2.2 | 2.2 |
| Zn | 7 | 73.5 | 83.2 | 58.3 | 28.6 | 0.7 | 1.7 | 1.3 | 1.1 | 76.8 | 79.5 | 81.7 |
| KMO | 0.733 | |
| Bartlett’s test of sphericity | Approximate chi-square | 3579.201 |
| Degrees of freedom (df) | 91 | |
| Significance | 0.000 | |
| Element | Component Factors | |||
|---|---|---|---|---|
| Fac 1 | Fac 2 | Fac 3 | Fac 4 | |
| Au | −0.320 | 0.674 | 0.381 | 0.153 |
| As | −0.102 | 0.884 | −0.053 | −0.078 |
| Ag | −0.334 | 0.191 | −0.269 | −0.540 |
| Cd | 0.324 | −0.110 | 0.695 | 0.424 |
| Co | 0.785 | 0.451 | 0.193 | −0.236 |
| Cr | 0.879 | −0.010 | 0.120 | −0.218 |
| Cu | 0.771 | 0.378 | −0.047 | 0.188 |
| Nb | 0.404 | −0.286 | −0.439 | 0.561 |
| Ni | 0.888 | −0.172 | 0.111 | −0.077 |
| Pb | −0.245 | −0.696 | 0.313 | −0.099 |
| Sb | −0.181 | 0.938 | 0.101 | 0.103 |
| Ti | 0.804 | −0.027 | 0.097 | −0.329 |
| W | 0.154 | 0.192 | −0.338 | 0.698 |
| Zn | −0.339 | −0.081 | 0.801 | 0.152 |
| Method | Optimal Parameters | Qualitative Parameters |
|---|---|---|
| IDW | Optimal Distance Index (OOD) | 1 ≤ α ≤ 2 |
| Search Step Number | 12 | |
| Kriging | Kernel Function Model | Gaussian Model |
| Search Direction | Four Directions | |
| Search Step Number | 12 |
| Methods | Elements | Proportion of Anomalies in Total Area (%) | Number of Mineral Points within Anomalies | Total Mineral Point Coverage (%) | |||||
|---|---|---|---|---|---|---|---|---|---|
| High Anomaly | Medium Anomaly | Low Anomaly | Total Anomaly | A Region | B Region | Total Region | |||
| IDW | Co | 0.92 | 3.03 | 9.14 | 13.09 | 15 | 0 | 15 | 42.8 |
| Cr | 0.95 | 2.60 | 14.92 | 18.48 | 15 | 0 | 15 | 42.8 | |
| Cu | 0.95 | 2.87 | 8.68 | 12.49 | 16 | 0 | 16 | 45.7 | |
| Ni | 0.32 | 2.65 | 10.30 | 13.28 | 17 | 0 | 17 | 48.5 | |
| Ti | 0.72 | 3.67 | 7.71 | 12.10 | 0 | 2 | 2 | 5.7 | |
| Fac | 1.00 | 2.96 | 8.02 | 11.99 | 17 | 0 | 17 | 48.5 | |
| Kriging | Co | 1.10 | 3.87 | 8.88 | 13.84 | 15 | 0 | 15 | 42.8 |
| Cr | 1.45 | 2.46 | 9.60 | 13.51 | 21 | 0 | 21 | 60.0 | |
| Cu | 2.15 | 3.49 | 8.59 | 14.23 | 17 | 1 | 18 | 51.4 | |
| Ni | 1.31 | 3.70 | 9.75 | 14.76 | 18 | 0 | 18 | 51.4 | |
| Ti | 1.64 | 3.65 | 8.43 | 13.73 | 1 | 0 | 1 | 2.8 | |
| Fac | 0.08 | 3.13 | 10.48 | 13.69 | 20 | 0 | 20 | 57.1 | |
| DE-WDCB | Co | 0.81 | 2.92 | 26.48 | 30.21 | 17 | 2 | 19 | 54.3 |
| Cr | 1.09 | 2.24 | 27.47 | 30.81 | 17 | 2 | 19 | 54.3 | |
| Cu | 1.05 | 2.16 | 23.29 | 26.50 | 18 | 2 | 20 | 57.1 | |
| Ni | 0.53 | 2.21 | 23.09 | 25.84 | 18 | 2 | 20 | 57.1 | |
| Ti | 1.16 | 2.68 | 22.88 | 26.72 | 0 | 1 | 1 | 2.9 | |
| Fac | 1.36 | 2.13 | 23.99 | 27.48 | 19 | 6 | 25 | 71.4 | |
| Thresholds for Abnormal Grading (ppm) | Low Value | Medium Value | High Value |
|---|---|---|---|
| Co | 15.2 | 15.5 | 15.7 |
| Cr | 59.8 | 61.8 | 63.0 |
| Cu | 25.7 | 29.8 | 31.0 |
| Ni | 28.1 | 30.1 | 30.5 |
| Ti | 4985.9 | 5098.0 | 5161.2 |
| Fac | 1.1 | 1.6 | 1.9 |
Disclaimer/Publisher’s Note: The statements, opinions and data contained in all publications are solely those of the individual author(s) and contributor(s) and not of MDPI and/or the editor(s). MDPI and/or the editor(s) disclaim responsibility for any injury to people or property resulting from any ideas, methods, instructions or products referred to in the content. |
© 2024 by the authors. Licensee MDPI, Basel, Switzerland. This article is an open access article distributed under the terms and conditions of the Creative Commons Attribution (CC BY) license (https://creativecommons.org/licenses/by/4.0/).
Share and Cite
Cui, Z.; Chen, J.; Zhu, R.; Zhang, Q.; Zhou, G.; Jia, Z.; Liu, C. Dynamic Enhanced Weighted Drainage Catchment Basin Method for Extracting Geochemical Anomalies. Minerals 2024, 14, 912. https://doi.org/10.3390/min14090912
Cui Z, Chen J, Zhu R, Zhang Q, Zhou G, Jia Z, Liu C. Dynamic Enhanced Weighted Drainage Catchment Basin Method for Extracting Geochemical Anomalies. Minerals. 2024; 14(9):912. https://doi.org/10.3390/min14090912
Chicago/Turabian StyleCui, Zijia, Jianping Chen, Renwei Zhu, Quanping Zhang, Guanyun Zhou, Zhen Jia, and Chang Liu. 2024. "Dynamic Enhanced Weighted Drainage Catchment Basin Method for Extracting Geochemical Anomalies" Minerals 14, no. 9: 912. https://doi.org/10.3390/min14090912
APA StyleCui, Z., Chen, J., Zhu, R., Zhang, Q., Zhou, G., Jia, Z., & Liu, C. (2024). Dynamic Enhanced Weighted Drainage Catchment Basin Method for Extracting Geochemical Anomalies. Minerals, 14(9), 912. https://doi.org/10.3390/min14090912
